2018 Vol. 43, No. 12
                Display Method:
    			
	    		
	    		
	    		
	    		
  				
   			
    	
		            2018, 43(12): 4269-4282. 
	            	doi: 10.3799/dqkx.2018.327 
   					
				
					Abstract: 
The West Kunlun orogenic belt underwent the tectonic process of Proto-and Paleo-Tethys Oceans since Phanerozoic. However, there is still much controversy over the evolution of the Paleo-Tethys Ocean. Geochemistry and zircon U-Pb and Hf isotopic compositions of the diabase dykes in Mazar, West Kunlun are reported in this paper. Zircon U-Pb dating results give an emplacement age of 287±4.6 Ma for the Mazar diabase. These rocks span a SiO2 range of 48.29%-50.21% and Mg# (0.36-0.39), characterized by moderate LREE/HREE fractionation, strong LILEs (such as Rb, Ba, Sr) enrichment and depleted Nb-Ta, P and weakly Eu depletion. They have more radiogenic zircon Hf isotopic compositions (εHf(t)=4.00-13.71, average value is 7.61) than N-MORB. In combination with the evolution of regional geology, it is suggested that these melts were derived from partial melting of an enriched lithospheric mantle that underwent early subducted fluid metasomatization. The origin of the Mazar diabase dykes indicates that the post-orogenic extension in West Kunlun, from Late Devonian to Early Permian, may be not related to the Tarim mantle plume.
		       
		        
		        
		        
			  
			The West Kunlun orogenic belt underwent the tectonic process of Proto-and Paleo-Tethys Oceans since Phanerozoic. However, there is still much controversy over the evolution of the Paleo-Tethys Ocean. Geochemistry and zircon U-Pb and Hf isotopic compositions of the diabase dykes in Mazar, West Kunlun are reported in this paper. Zircon U-Pb dating results give an emplacement age of 287±4.6 Ma for the Mazar diabase. These rocks span a SiO2 range of 48.29%-50.21% and Mg# (0.36-0.39), characterized by moderate LREE/HREE fractionation, strong LILEs (such as Rb, Ba, Sr) enrichment and depleted Nb-Ta, P and weakly Eu depletion. They have more radiogenic zircon Hf isotopic compositions (εHf(t)=4.00-13.71, average value is 7.61) than N-MORB. In combination with the evolution of regional geology, it is suggested that these melts were derived from partial melting of an enriched lithospheric mantle that underwent early subducted fluid metasomatization. The origin of the Mazar diabase dykes indicates that the post-orogenic extension in West Kunlun, from Late Devonian to Early Permian, may be not related to the Tarim mantle plume.
		            2018, 43(12): 4283-4299. 
	            	doi: 10.3799/dqkx.2018.588 
   					
				
					Abstract: 
Lying in the transitional region of the West Kunlun area and Bayankala folded fault belt of Xinjiang, the Quanshuigou pluton has indicative significance for area evolution. In order to determine the formation time, geochemical characteristics and tectonic setting of the Quanshuigou pluton, geochronology, mineralogy, petrology and geochemistry were studied. Combined with the cathodoluminescence (CL) images and element U, Th and Pb features of zircon, this study yields two ages of 217.6±0.9 Ma and 217.4±0.7 Ma for granodiorite and quartz diorite using the LA-ICP-MS zircon U-Pb dating, belonging to the Late Triassic. The geochemical analyses show that the granodiorites are characterized by high SiO2 (67.21%-68.85%), high alkali (Na2O+K2O=6.36%-6.76%, Rittman index δ=1.56-1.86), high potassium (K2O=3.50%-3.96%, K2O/Na2O=1.20-1.41), and low TiO2, MnO and P2O5 (content < 1%); and aluminum index A/CNK=0.88-1.05, indicating a transitional composition between metaluminous and peraluminous I-type granite series. The pluton is enriched in LREE, depleted in HREE ((La/Yb)N=1.03-11.05), with negative Eu anomaly (δEu=0.42-0.73). While the trace elements are characterized by enrichment of Rb, Th, K and LREE, and depletion of Ba, Sr, Ti, P. The chemical signatures indicate that the pluton experienced the highly fractionated process and partial melting. The Quanshuigou diorite with characteristic source-mixed granite from mantle and crust should be likely derived from metabasalt in lower crust, and subsequently underwent the fractional crystallization of plagioclase, pyroxene and apatite without amphibole. In the Late Triassic, the Paleo-Tethys Ocean was gradually evolved from subduction toward north to the complete closure, and at the same time regional tectonic stress was transformed from subduction process to collision compressional action environment. Based on comprehensive analysis of the genetic type of the pluton and evolution of regional tectonic environment, it is suggested that the Quanshuigou pluton formed just after this tectonic stress transfromation, which shows that this area was in continent-continent collision orogenic regime in the Late Triassic.
		       
		        
		        
		        
			  
			Lying in the transitional region of the West Kunlun area and Bayankala folded fault belt of Xinjiang, the Quanshuigou pluton has indicative significance for area evolution. In order to determine the formation time, geochemical characteristics and tectonic setting of the Quanshuigou pluton, geochronology, mineralogy, petrology and geochemistry were studied. Combined with the cathodoluminescence (CL) images and element U, Th and Pb features of zircon, this study yields two ages of 217.6±0.9 Ma and 217.4±0.7 Ma for granodiorite and quartz diorite using the LA-ICP-MS zircon U-Pb dating, belonging to the Late Triassic. The geochemical analyses show that the granodiorites are characterized by high SiO2 (67.21%-68.85%), high alkali (Na2O+K2O=6.36%-6.76%, Rittman index δ=1.56-1.86), high potassium (K2O=3.50%-3.96%, K2O/Na2O=1.20-1.41), and low TiO2, MnO and P2O5 (content < 1%); and aluminum index A/CNK=0.88-1.05, indicating a transitional composition between metaluminous and peraluminous I-type granite series. The pluton is enriched in LREE, depleted in HREE ((La/Yb)N=1.03-11.05), with negative Eu anomaly (δEu=0.42-0.73). While the trace elements are characterized by enrichment of Rb, Th, K and LREE, and depletion of Ba, Sr, Ti, P. The chemical signatures indicate that the pluton experienced the highly fractionated process and partial melting. The Quanshuigou diorite with characteristic source-mixed granite from mantle and crust should be likely derived from metabasalt in lower crust, and subsequently underwent the fractional crystallization of plagioclase, pyroxene and apatite without amphibole. In the Late Triassic, the Paleo-Tethys Ocean was gradually evolved from subduction toward north to the complete closure, and at the same time regional tectonic stress was transformed from subduction process to collision compressional action environment. Based on comprehensive analysis of the genetic type of the pluton and evolution of regional tectonic environment, it is suggested that the Quanshuigou pluton formed just after this tectonic stress transfromation, which shows that this area was in continent-continent collision orogenic regime in the Late Triassic.
		            2018, 43(12): 4300-4318. 
	            	doi: 10.3799/dqkx.2018.142 
   					
				
					Abstract: 
Eclogites have been recognized in areas of Xiarihamu-Suhaitu, Dagele, Zongjia, Garidang(the upper reach of Langmuri), Jiadang, and Wenquan, respectively, in East Kunlun orogenic belt. The eclogites in various sizes occur in Jinshuikou metamorphic rocks and different terranes of eclogites constitute the East Kunlun high pressure metamorphic belt with a length of more than 530 km. This paper presents a research on the petrology, geochemistry and isotope chronology of the eclogites. The results show that eclogite types are complex which can be further divided into eclogites, retrograded eclogites and amphibole-eclogites. The eclogite geochemical analyses show that SiO2 contents range from 41.58% to 59.00% with an average of 50.19%; Al2O3 contents range from 11.27% to 18.54% with an average of 14.66%; TiO2 contents range from 0.76% to 1.59% with an average of 1.03%; REE distribution patterns mainly show enrichment in LREE and the trace element distribution patterns show the characteristics between the E-MORB and N-MORB. 440±13 Ma metamorphism age and 934±15 Ma original age of amphibole-eclogites in Jiadang were obtained. And the histogram of eclogite zircon age shows a variety of information including three peak ages of the metamorphic ages at 451 Ma, 432 Ma and 412 Ma respectively, one peak age of the original rock age at 936 Ma, 515-440 Ma records the subduction of the magma thermal event, 440-420 Ma recording subduction and collision of high pressure metamorphic and 420-390 Ma as a reflection of eclogite degradation. It is concluded that the metamorphic age of eclogite is closely related to the tectonic evolution of East Kunlun.
		       
		        
		        
		        
			  
			Eclogites have been recognized in areas of Xiarihamu-Suhaitu, Dagele, Zongjia, Garidang(the upper reach of Langmuri), Jiadang, and Wenquan, respectively, in East Kunlun orogenic belt. The eclogites in various sizes occur in Jinshuikou metamorphic rocks and different terranes of eclogites constitute the East Kunlun high pressure metamorphic belt with a length of more than 530 km. This paper presents a research on the petrology, geochemistry and isotope chronology of the eclogites. The results show that eclogite types are complex which can be further divided into eclogites, retrograded eclogites and amphibole-eclogites. The eclogite geochemical analyses show that SiO2 contents range from 41.58% to 59.00% with an average of 50.19%; Al2O3 contents range from 11.27% to 18.54% with an average of 14.66%; TiO2 contents range from 0.76% to 1.59% with an average of 1.03%; REE distribution patterns mainly show enrichment in LREE and the trace element distribution patterns show the characteristics between the E-MORB and N-MORB. 440±13 Ma metamorphism age and 934±15 Ma original age of amphibole-eclogites in Jiadang were obtained. And the histogram of eclogite zircon age shows a variety of information including three peak ages of the metamorphic ages at 451 Ma, 432 Ma and 412 Ma respectively, one peak age of the original rock age at 936 Ma, 515-440 Ma records the subduction of the magma thermal event, 440-420 Ma recording subduction and collision of high pressure metamorphic and 420-390 Ma as a reflection of eclogite degradation. It is concluded that the metamorphic age of eclogite is closely related to the tectonic evolution of East Kunlun.
		            2018, 43(12): 4319-4333. 
	            	doi: 10.3799/dqkx.2018.133 
   					
				
					Abstract: 
The geological setting of granite formation in A'quedun area of Qimantage Mountains has important constraits in the collision-extension process in the Caledonian of East Kunlun. The A'quedun intrusive rocks mainly consist of granodiorite and tonalite. Zircon LA-ICP-MS U-Pb dating results show that granodiorite and tonalite were formed at 385±5 Ma and 393±5 Ma respectively, which should be the product of magmatism in the Middle Devonian. The granodiorites have low SiO2 (63.56%-66.57%), Mg# (0.31-0.35), K2O/Na2O ratios (0.49-0.66) and A/CNK (0.95-1.02), characterized by moderate LREE/HREE fractionation, strong LILE enrichment and depleted Nb-Ta, P, Ti and Eu depletion (δEu=0.38-0.98). Relative to the granodiorites, the tonalities have high contents of SiO2 (67.93%-70.76%) and low Mg# (0.22-0.33), stronger LREE/HREE fractionation, Nb-Ta, Ti and weakly Eu depletion (δEu=0.80-1.06). The tonalites have positive εHf(t) values (+1.91 to +15.63), and broadly two stages Hf model ages (TDM2(Hf)=0.53-1.28 Ga). Based on the regional geological data, the East Kunlun Qimantage area was in post-collision extension stage during the Middle Devonian. The A'quedun granitic rocks derived from mantle magma assimilation contamination ancient crust in a mechanism for the exhumation of the subducted slab. The granodiorite and tonalite melt pressure changes with time, showing that the crustal thickness is still in continuous thinning process during the Middle Devonian.
		       
		        
		        
		        
			  
			The geological setting of granite formation in A'quedun area of Qimantage Mountains has important constraits in the collision-extension process in the Caledonian of East Kunlun. The A'quedun intrusive rocks mainly consist of granodiorite and tonalite. Zircon LA-ICP-MS U-Pb dating results show that granodiorite and tonalite were formed at 385±5 Ma and 393±5 Ma respectively, which should be the product of magmatism in the Middle Devonian. The granodiorites have low SiO2 (63.56%-66.57%), Mg# (0.31-0.35), K2O/Na2O ratios (0.49-0.66) and A/CNK (0.95-1.02), characterized by moderate LREE/HREE fractionation, strong LILE enrichment and depleted Nb-Ta, P, Ti and Eu depletion (δEu=0.38-0.98). Relative to the granodiorites, the tonalities have high contents of SiO2 (67.93%-70.76%) and low Mg# (0.22-0.33), stronger LREE/HREE fractionation, Nb-Ta, Ti and weakly Eu depletion (δEu=0.80-1.06). The tonalites have positive εHf(t) values (+1.91 to +15.63), and broadly two stages Hf model ages (TDM2(Hf)=0.53-1.28 Ga). Based on the regional geological data, the East Kunlun Qimantage area was in post-collision extension stage during the Middle Devonian. The A'quedun granitic rocks derived from mantle magma assimilation contamination ancient crust in a mechanism for the exhumation of the subducted slab. The granodiorite and tonalite melt pressure changes with time, showing that the crustal thickness is still in continuous thinning process during the Middle Devonian.
		            2018, 43(12): 4334-4349. 
	            	doi: 10.3799/dqkx.2018.120 
   					
				
					Abstract: 
The study of the origin of mantle-derived magmatism is of great significance to the tectonic evolution history. Located in the Yingzhuagou area of Qimantag, East Kunlun, the mafic-ultramafic layered intrusion consists of olivine gabbro-norite, feldspar-olivine websterite and olivine websterite.The LA-ICP-MS zircon U-Pb dating results suggest that the olivine gabbro-norite intruded at 263±4 Ma, belonging to late Middle Permian. All the rocks are characterized by low SiO2, high MgO and FeOt, enrichment of LREE and LILE, depletion of HREE and incompatible elements (e.g.Th, U, Nb, Ta, Ti). εNd(t)=0.73-0.92, εHf(t)=8.33-13.50. Based on the regional geological background, it is suggested that the rocks were formed in an active continental margin rift setting with the subduction of Paleo-Tethys Ocean. The magma came from the lithospheric mantle metasomatized by subduction fluid and asthenosphere melt. Combining the data of granite that originated from mixing of crustal and mantle materials in the same period, it is concluded that underplating of mantle-derived magmas should have started before Middle Permian in East Kunlun area and should have been controlled by the regional extensional setting in the subduction of Paleo-Tethys Ocean.
		       
		        
		        
		        
			  
			The study of the origin of mantle-derived magmatism is of great significance to the tectonic evolution history. Located in the Yingzhuagou area of Qimantag, East Kunlun, the mafic-ultramafic layered intrusion consists of olivine gabbro-norite, feldspar-olivine websterite and olivine websterite.The LA-ICP-MS zircon U-Pb dating results suggest that the olivine gabbro-norite intruded at 263±4 Ma, belonging to late Middle Permian. All the rocks are characterized by low SiO2, high MgO and FeOt, enrichment of LREE and LILE, depletion of HREE and incompatible elements (e.g.Th, U, Nb, Ta, Ti). εNd(t)=0.73-0.92, εHf(t)=8.33-13.50. Based on the regional geological background, it is suggested that the rocks were formed in an active continental margin rift setting with the subduction of Paleo-Tethys Ocean. The magma came from the lithospheric mantle metasomatized by subduction fluid and asthenosphere melt. Combining the data of granite that originated from mixing of crustal and mantle materials in the same period, it is concluded that underplating of mantle-derived magmas should have started before Middle Permian in East Kunlun area and should have been controlled by the regional extensional setting in the subduction of Paleo-Tethys Ocean.
		            2018, 43(12): 4350-4363. 
	            	doi: 10.3799/dqkx.2018.224 
   					
				
					Abstract: 
The determination of formation time and tectonic setting of intrusions in Qimantag area can limit the time of Caledonian tectonic evolution in East Kunlun orogen. Zircon U-Pb geochronology, geochemistry of quartz diorite and monzonite adamellite in Aquedun of northwestern Qimantag area are studied in this paper. Results show that quartz diorite belongs to metaluminous-weakly peraluminous and calc-alkaline series of I-type granite, with moderate Eu negative abnormality (δEu=0.79-0.90) and significant fractionation between light REE and heavy REE, enriched in Rb, K, Hf, Zr, Tb, Nd and depleted of Ba, P, Ti, Nd, Ta, Y.Monzonite adamellite belongs to weakly peraluminous and calc-alkaline series of high-fractionated I-type granite, with significant negative Eu abnormality (δEu=0.42-0.45) and significant fractionation between light REE and heavy REE, enriched in LILE(Rb, K, La, Ce, Nd, Tb) and depleted in HFSE(P, Ti, Nd, Ta) and Ba, Sr, U.The ratios of Nd/Th, Nb/Ta and Mg# of quartz diorite show crustal characteristics with the addition of small amount of mantle-derived materials, produced by partial melting of the continental crust induced by mantle derived magmas underplating. The ratios of Nd/Th, Nb/Ta and Mg# of monzonite adamellite show crustal characteristics, produced by partial melting of the upper continental crust induced by mantle derived magmas underplating and may have experienced the fractional crystallization at the same time. Zircon LA-ICP-MS U-Pb age of the quartz diorite and monzonite adamellite are 448.8±3.9 Ma and 405.2±3.6 Ma, respectively, which represents their formation time. The chemical characteristics of quartz diorite are closely related to the island-arc environments in subduction belt.Monzonite adamellite falls into the zone of collision setting with tectonic setting discrimination diagrams, but the trace elements do not match with typical collision-orogenic granite, so we think monzonite adamellite is post-collision-orogenic granite.Combined with the regional tectonic evolution, it is concluded that Qimantag block of East Kunlun orogen maybe is in the subduction stage in Late Ordovician, and in the post-collision stage before Early Devonian.
		       
		        
		        
		        
			  
			The determination of formation time and tectonic setting of intrusions in Qimantag area can limit the time of Caledonian tectonic evolution in East Kunlun orogen. Zircon U-Pb geochronology, geochemistry of quartz diorite and monzonite adamellite in Aquedun of northwestern Qimantag area are studied in this paper. Results show that quartz diorite belongs to metaluminous-weakly peraluminous and calc-alkaline series of I-type granite, with moderate Eu negative abnormality (δEu=0.79-0.90) and significant fractionation between light REE and heavy REE, enriched in Rb, K, Hf, Zr, Tb, Nd and depleted of Ba, P, Ti, Nd, Ta, Y.Monzonite adamellite belongs to weakly peraluminous and calc-alkaline series of high-fractionated I-type granite, with significant negative Eu abnormality (δEu=0.42-0.45) and significant fractionation between light REE and heavy REE, enriched in LILE(Rb, K, La, Ce, Nd, Tb) and depleted in HFSE(P, Ti, Nd, Ta) and Ba, Sr, U.The ratios of Nd/Th, Nb/Ta and Mg# of quartz diorite show crustal characteristics with the addition of small amount of mantle-derived materials, produced by partial melting of the continental crust induced by mantle derived magmas underplating. The ratios of Nd/Th, Nb/Ta and Mg# of monzonite adamellite show crustal characteristics, produced by partial melting of the upper continental crust induced by mantle derived magmas underplating and may have experienced the fractional crystallization at the same time. Zircon LA-ICP-MS U-Pb age of the quartz diorite and monzonite adamellite are 448.8±3.9 Ma and 405.2±3.6 Ma, respectively, which represents their formation time. The chemical characteristics of quartz diorite are closely related to the island-arc environments in subduction belt.Monzonite adamellite falls into the zone of collision setting with tectonic setting discrimination diagrams, but the trace elements do not match with typical collision-orogenic granite, so we think monzonite adamellite is post-collision-orogenic granite.Combined with the regional tectonic evolution, it is concluded that Qimantag block of East Kunlun orogen maybe is in the subduction stage in Late Ordovician, and in the post-collision stage before Early Devonian.
		            2018, 43(12): 4364-4374. 
	            	doi: 10.3799/dqkx.2018.582 
   					
				
					Abstract: 
The magmatic rock of porphyroid monzonitic granite of Xishan copper polymetallic deposit, Geermu City, is located in the Late Caledonian Qinling-Qilian-Kulun orogen between the Central and North Kunlun fault, and the research work is still very poor. Based on the rock geochemistry and isotope chronology, this paper shows that the magmatic rocks belong to high potassium calc-alkaline series and peraluminous granites. The chondrite-normalized rare earth element (REE) distribution patterns of the magmatic rocks are enriched in the light REE (LREE) and display strong negative Eu anomalies. The magmatic rocks are enriched in large ion lithophile elements (Th, U, K), while depleted in high field strength elements (e.g., P, Ti) and in Ba relative to Rb and Th. The magma is the source of the crust and has the characteristics of weakly separated crystalline granite. The U-Pb weighted age (average 267.5±3.4 Ma) and concordant age (267.0±2.9 Ma) acquired in zircon from porphyritic monzonitic granite show that the rock mass formed in middle Permian, which thus constrainted the lower limit of mineralization. The origin of the deposit should be polymetallic tectonic hydrothermal type, which was related to granitic magmatism.
		       
		        
		        
		        
			  
			The magmatic rock of porphyroid monzonitic granite of Xishan copper polymetallic deposit, Geermu City, is located in the Late Caledonian Qinling-Qilian-Kulun orogen between the Central and North Kunlun fault, and the research work is still very poor. Based on the rock geochemistry and isotope chronology, this paper shows that the magmatic rocks belong to high potassium calc-alkaline series and peraluminous granites. The chondrite-normalized rare earth element (REE) distribution patterns of the magmatic rocks are enriched in the light REE (LREE) and display strong negative Eu anomalies. The magmatic rocks are enriched in large ion lithophile elements (Th, U, K), while depleted in high field strength elements (e.g., P, Ti) and in Ba relative to Rb and Th. The magma is the source of the crust and has the characteristics of weakly separated crystalline granite. The U-Pb weighted age (average 267.5±3.4 Ma) and concordant age (267.0±2.9 Ma) acquired in zircon from porphyritic monzonitic granite show that the rock mass formed in middle Permian, which thus constrainted the lower limit of mineralization. The origin of the deposit should be polymetallic tectonic hydrothermal type, which was related to granitic magmatism.
		            2018, 43(12): 4375-4389. 
	            	doi: 10.3799/dqkx.2018.176 
   					
				
					Abstract: 
The high-Mg diorites, newly discovered in Niubiziliang area, are important for discussing the evolution history of lithospheric mantle in North Qaidam, Qinghai Province. To determine the petrogenesis and geodynamic processes of these rocks, the major and trace element analysis, zircon U-Pb dating and Hf isotopic analysis have been carried out in this paper. The petrogeochemistry shows that the rocks are calc-alkaline rocks, and enriched in Mg (Mg#=62-72), Cr, Ni and LREE (LREE/HREE=2.84-4.61) elements, with low FeOT/MgO (0.70-1.12) ratios.They belong to high-magnesium diorite. All the rocks are enriched in large iron lithiphile elements (Rb, Ba, Th, U, K and LREE) and depleted in high strength field elements (Nb, Ta, Ti, P and HREE).Additionally, the diorite rocks have the same characteristics of geochemistry as typical sanukitoids. The mean U-Pb age of the zircons in these high-Mg diorites is 388 Ma, suggesting that the rocks were formed in Middle Triassic. The zircon Hf isotopes show that all the εHf(t)(4.4-11.6) are positive, indicating the magma was originated from the depleted mantle.Combined with the regional tectonic evolution process, it is suggested that the mantle source of the Niubiziliang high-Mg diorite was formed by the reaction of the slab-derived fluids with the overlying mantle peridotite in Early Paleozoic (540-520 Ma). In Late Paleozoic (400-388 Ma), partial melting of the enriched mantle might generate the studied high-Mg diorites due to lithospheric extension.
		       
		        
		        
		        
			  
			The high-Mg diorites, newly discovered in Niubiziliang area, are important for discussing the evolution history of lithospheric mantle in North Qaidam, Qinghai Province. To determine the petrogenesis and geodynamic processes of these rocks, the major and trace element analysis, zircon U-Pb dating and Hf isotopic analysis have been carried out in this paper. The petrogeochemistry shows that the rocks are calc-alkaline rocks, and enriched in Mg (Mg#=62-72), Cr, Ni and LREE (LREE/HREE=2.84-4.61) elements, with low FeOT/MgO (0.70-1.12) ratios.They belong to high-magnesium diorite. All the rocks are enriched in large iron lithiphile elements (Rb, Ba, Th, U, K and LREE) and depleted in high strength field elements (Nb, Ta, Ti, P and HREE).Additionally, the diorite rocks have the same characteristics of geochemistry as typical sanukitoids. The mean U-Pb age of the zircons in these high-Mg diorites is 388 Ma, suggesting that the rocks were formed in Middle Triassic. The zircon Hf isotopes show that all the εHf(t)(4.4-11.6) are positive, indicating the magma was originated from the depleted mantle.Combined with the regional tectonic evolution process, it is suggested that the mantle source of the Niubiziliang high-Mg diorite was formed by the reaction of the slab-derived fluids with the overlying mantle peridotite in Early Paleozoic (540-520 Ma). In Late Paleozoic (400-388 Ma), partial melting of the enriched mantle might generate the studied high-Mg diorites due to lithospheric extension.
		            2018, 43(12): 4390-4398. 
	            	doi: 10.3799/dqkx.2018.106 
   					
				
					Abstract: 
The Quanji Group is mainly distributed in the north margin of Qaidam basin and consists of non-metamorphic sandstone, quartzite, sand shale, dolomite and tillite. U-Pb ages of detrital zircons from two sandstone samples in the Zhoujieshan Formation in the Upper Quanji Group were measured using the LA-ICP-MS method. The concordant ages of detrial zircons show that the provenance in the Zhoujieshan Formation was derived mainly from the Dakendaban Group of the Quanji block (1750-1990 Ma), subordinately from the Delingha complex (2 400-2 500 Ma). In addition, the detrital zircons record two important thermal events (~1.95 Ga and ~1.85 Ga) of the Quanji block in Paleoproterozoic-strong regional metamorphism and anatexis, with magmatic intrusion.
		       
		        
		        
		        
			  
			The Quanji Group is mainly distributed in the north margin of Qaidam basin and consists of non-metamorphic sandstone, quartzite, sand shale, dolomite and tillite. U-Pb ages of detrital zircons from two sandstone samples in the Zhoujieshan Formation in the Upper Quanji Group were measured using the LA-ICP-MS method. The concordant ages of detrial zircons show that the provenance in the Zhoujieshan Formation was derived mainly from the Dakendaban Group of the Quanji block (1750-1990 Ma), subordinately from the Delingha complex (2 400-2 500 Ma). In addition, the detrital zircons record two important thermal events (~1.95 Ga and ~1.85 Ga) of the Quanji block in Paleoproterozoic-strong regional metamorphism and anatexis, with magmatic intrusion.
		            2018, 43(12): 4399-4410. 
	            	doi: 10.3799/dqkx.2018.521 
   					
				
					Abstract: 
Oktavites spiralis (Geinitz, 1842) is an index graptolite species of the Telychian age (late Llandovery, Silurian) that combined marked spiral morphology as well as a global distribution, making it stratigraphically significant. However, the first appearance datum of Oktavites spiralis is controversial, and consequently it is much difficult for regional stratigraphic correlations. In the Ziyang-Langao area of Shaanxi Province, Oktavites spiralis graptolite zone belongs to an abundance zone, rather than the FAD (first appearance datum) of this index fossil. Recent investigations in multiple Telychian profiles in the Ziyang-Langao area, along the northern margin of South China, reveal that a new species Oktavites longtanensis sp. nov. can be further distinguished from typical form of Oktavites spiralis and Oktavites contortus according to the larvas and coiled model. The new species Oktavites longtanensis sp. nov. is of a shorter stratigraphic range with great evolutionary significance, therefore has a great potential for accurate correlation of Oktavites spiralis Zone.
		       
		        
		        
		        
			  
			Oktavites spiralis (Geinitz, 1842) is an index graptolite species of the Telychian age (late Llandovery, Silurian) that combined marked spiral morphology as well as a global distribution, making it stratigraphically significant. However, the first appearance datum of Oktavites spiralis is controversial, and consequently it is much difficult for regional stratigraphic correlations. In the Ziyang-Langao area of Shaanxi Province, Oktavites spiralis graptolite zone belongs to an abundance zone, rather than the FAD (first appearance datum) of this index fossil. Recent investigations in multiple Telychian profiles in the Ziyang-Langao area, along the northern margin of South China, reveal that a new species Oktavites longtanensis sp. nov. can be further distinguished from typical form of Oktavites spiralis and Oktavites contortus according to the larvas and coiled model. The new species Oktavites longtanensis sp. nov. is of a shorter stratigraphic range with great evolutionary significance, therefore has a great potential for accurate correlation of Oktavites spiralis Zone.
		            2018, 43(12): 4411-4426. 
	            	doi: 10.3799/dqkx.2018.587 
   					
				
					Abstract: 
The Devonian Kalamaili Formation is widely exposed in the northeastern margin of Junggar basin, while its depositional age and tectonic setting are still in debate. In this study, an integrated analysis of petrology, geochemistry and isotope chronology for the Kalamaili Formation was carried out. The results show that the Kalamaili Formation, characterized by turbidite features, was mainly deposited in the slope and semi-deep ocean. Geochemically, the Kalamaili Formation sandstone is characterized by high SiO2, low Al2O3/SiO2 and high K2O/Na2O. The REE distributing patterns show rightward incline and weaker negative Eu anomaly (ΣLREE/ΣHREE=4.81-8.03, δEu=0.59-0.80). Tectonic-setting discrimination diagrams of the Kalamaili Formation sandstone indicate a passive-margin tectonic setting. The detrital zircon age spectrum of the Kalamaili Formation sandstone was composed of two age groups, including 393-524 Ma and 823-3 077 Ma, which correspond to the Early Paleozoic orogenic belt and Precambrian crystalline basement of Junggar basin, respectively. It is concluded that the Kalamaili Formation was deposited in a passive-margin of the northeastern Junggar block during the Early-Middle Devonian.Since the Middle Devonian, the Paleozoic Kalamaili Ocean subducted northward continuously, and then formed the Yemaquan island arc and related forearc sedimentary system, and finally the Kalamaili Ocean closed prior to the Early Carboniferous.
		       
		        
		        
		        
			  
			The Devonian Kalamaili Formation is widely exposed in the northeastern margin of Junggar basin, while its depositional age and tectonic setting are still in debate. In this study, an integrated analysis of petrology, geochemistry and isotope chronology for the Kalamaili Formation was carried out. The results show that the Kalamaili Formation, characterized by turbidite features, was mainly deposited in the slope and semi-deep ocean. Geochemically, the Kalamaili Formation sandstone is characterized by high SiO2, low Al2O3/SiO2 and high K2O/Na2O. The REE distributing patterns show rightward incline and weaker negative Eu anomaly (ΣLREE/ΣHREE=4.81-8.03, δEu=0.59-0.80). Tectonic-setting discrimination diagrams of the Kalamaili Formation sandstone indicate a passive-margin tectonic setting. The detrital zircon age spectrum of the Kalamaili Formation sandstone was composed of two age groups, including 393-524 Ma and 823-3 077 Ma, which correspond to the Early Paleozoic orogenic belt and Precambrian crystalline basement of Junggar basin, respectively. It is concluded that the Kalamaili Formation was deposited in a passive-margin of the northeastern Junggar block during the Early-Middle Devonian.Since the Middle Devonian, the Paleozoic Kalamaili Ocean subducted northward continuously, and then formed the Yemaquan island arc and related forearc sedimentary system, and finally the Kalamaili Ocean closed prior to the Early Carboniferous.
		            2018, 43(12): 4427-4442. 
	            	doi: 10.3799/dqkx.2018.174 
   					
				
					Abstract: 
Researches on the south of Dabaishitou gneissic granite can provide constraints on early Neoproterozoic Rodinia supercontinent convergence in the East Tianshan. In this paper, zircon LA-ICP-MS U-Pb dating, in-situ Hf isotope and whole-rock geochemical composition analyses are presented for the gneissic granite. The results show that the LA-ICP-MS zircon U-Pb isotopic dating on the gneissic granite yields a mean U-Pb age of 922.7±7.9 Ma, which approximately represents the intrusive age of the granite. Geochemical characteristics of major elements of the granite exhibit high SiO2(70.04%-71.60%), Na2O+K2O(5.93%-6.58%) and Al2O3(13.88%-14.91%) contents, and low MgO(1.13%-1.29%) contents. Al2O3/TiO2(25-27) ratios are less than 100, while CaO/Na2O(0.7) and K2O/Na2O (1.6-2.2) ratios are more than 0.3 and 1.0, respectively. The gneissic granite is characterized by relative enrichment in Rb, Th, K, La, and depletion in Ba, Ta, Nb and Sr. All the samples are slightly enriched in LREE with (La/Yb)N ratios ranging from 7.29 to 8.11 (less than 10), and all the gneissic granite show clear negative Eu abnormalies (δEu < 0. 5). These characteristics are similar to values of typical S-type granite. Additionally, zircon εHf(t) values fall in the range of 3.226 78-13.727 46, with the two stage mode age from 920-1 598 Ma. Based on the chemical characteristics and Hf isotopic compositions, the Neoproterozoic gneissic granite was likely generated in a continental margin tectonic setting. With consideration of the age information on the ancient terranes from several areas, we suggest that the Tianshan ancient blocks probably formed a part of Rodinia during early Neoproterozoic period.
		       
		        
		        
		        
			  
			Researches on the south of Dabaishitou gneissic granite can provide constraints on early Neoproterozoic Rodinia supercontinent convergence in the East Tianshan. In this paper, zircon LA-ICP-MS U-Pb dating, in-situ Hf isotope and whole-rock geochemical composition analyses are presented for the gneissic granite. The results show that the LA-ICP-MS zircon U-Pb isotopic dating on the gneissic granite yields a mean U-Pb age of 922.7±7.9 Ma, which approximately represents the intrusive age of the granite. Geochemical characteristics of major elements of the granite exhibit high SiO2(70.04%-71.60%), Na2O+K2O(5.93%-6.58%) and Al2O3(13.88%-14.91%) contents, and low MgO(1.13%-1.29%) contents. Al2O3/TiO2(25-27) ratios are less than 100, while CaO/Na2O(0.7) and K2O/Na2O (1.6-2.2) ratios are more than 0.3 and 1.0, respectively. The gneissic granite is characterized by relative enrichment in Rb, Th, K, La, and depletion in Ba, Ta, Nb and Sr. All the samples are slightly enriched in LREE with (La/Yb)N ratios ranging from 7.29 to 8.11 (less than 10), and all the gneissic granite show clear negative Eu abnormalies (δEu < 0. 5). These characteristics are similar to values of typical S-type granite. Additionally, zircon εHf(t) values fall in the range of 3.226 78-13.727 46, with the two stage mode age from 920-1 598 Ma. Based on the chemical characteristics and Hf isotopic compositions, the Neoproterozoic gneissic granite was likely generated in a continental margin tectonic setting. With consideration of the age information on the ancient terranes from several areas, we suggest that the Tianshan ancient blocks probably formed a part of Rodinia during early Neoproterozoic period.
		            2018, 43(12): 4443-4458. 
	            	doi: 10.3799/dqkx.2018.989 
   					
				
					Abstract: 
The leucogranite provides key insights into the tectonic evolution of orogenic belt. Petrology, geochemistry and geochronology results show that there are four types of leucogranites in the Xiaopu area in the southern piedmont of the Harlik area, eastern Tianshan, including the biotite leucogranite, two-mica leucogranite, tourmaline-bearing leucogranite and garnet-bearing leucogranite. These leucogranites are rich in silica (SiO2=73.22%-75.12%), aluminium (Al2O3=13.59%-14.49%), alkali(ALK=7.11%-9.67%), but low in titanium (TiO2=0.01%-0.14%), iron(TFeO=0.26%-1.37%), magnesium (MgO=0.09%-0.46%) and calcium (CaO=0.46%-1.92%), which belong to the calc-alkaline to shoshonite peraluminous granite. The high CaO/Na2O (0.46-0.47) and low Rb/Sr (0.31-0.33) ratios of the biotite leucogranite imply that it was formed by the biotite dehydration of greywacke, whereas the low CaO/Na2O (0.11-0.31) and high Rb/Sr (1.41-3.75) ratios indicate that the two-mica and tourmaline-bearing leucogranites were formed by the muscovite dehydration of meta-pelitic-arenaceous sedimentary rocks, and the strong negative Eu anomalies and "seagull forms" REE patterns reveal that the garnet-bearing leucogranite belongs to highly fractionated granite. Considered the geological features and low initial temperature (T=637-644℃), the Xiaopu leucogranites were probably formed related to the exhumation of deep material, or extensional collapse of the orogen. Zircon U-Pb results show that the formation ages of biotite and tourmaline-bearing leucogranites are 308.5±2.2 Ma and 307.8±2.3 Ma, respectively. Combining with the previous data, it is suggested that the Harlik area was in extensional tectonic setting in the Late Carboniferous.
		       
		        
		        
		        
			  
			The leucogranite provides key insights into the tectonic evolution of orogenic belt. Petrology, geochemistry and geochronology results show that there are four types of leucogranites in the Xiaopu area in the southern piedmont of the Harlik area, eastern Tianshan, including the biotite leucogranite, two-mica leucogranite, tourmaline-bearing leucogranite and garnet-bearing leucogranite. These leucogranites are rich in silica (SiO2=73.22%-75.12%), aluminium (Al2O3=13.59%-14.49%), alkali(ALK=7.11%-9.67%), but low in titanium (TiO2=0.01%-0.14%), iron(TFeO=0.26%-1.37%), magnesium (MgO=0.09%-0.46%) and calcium (CaO=0.46%-1.92%), which belong to the calc-alkaline to shoshonite peraluminous granite. The high CaO/Na2O (0.46-0.47) and low Rb/Sr (0.31-0.33) ratios of the biotite leucogranite imply that it was formed by the biotite dehydration of greywacke, whereas the low CaO/Na2O (0.11-0.31) and high Rb/Sr (1.41-3.75) ratios indicate that the two-mica and tourmaline-bearing leucogranites were formed by the muscovite dehydration of meta-pelitic-arenaceous sedimentary rocks, and the strong negative Eu anomalies and "seagull forms" REE patterns reveal that the garnet-bearing leucogranite belongs to highly fractionated granite. Considered the geological features and low initial temperature (T=637-644℃), the Xiaopu leucogranites were probably formed related to the exhumation of deep material, or extensional collapse of the orogen. Zircon U-Pb results show that the formation ages of biotite and tourmaline-bearing leucogranites are 308.5±2.2 Ma and 307.8±2.3 Ma, respectively. Combining with the previous data, it is suggested that the Harlik area was in extensional tectonic setting in the Late Carboniferous.
		            2018, 43(12): 4459-4474. 
	            	doi: 10.3799/dqkx.2018.188 
   					
				
					Abstract: 
The high Himalaya crystalline rock series occurred in Yadong area, which is an ideal area for studying the tectonic evolution of the Himalayan orogenic belt. In order to discuss the genetic type, magmatic source, formation age and tectonic significance of granitic gneiss in the Yadong area, the LA-ICP-MS zircon dating and geochemical characteristics of these granitic gneisses were studied. The results show that the granite gneisses have high SiO2, Al2O3, Na2O and K2O contents, while they are low in Fe2O3, MgO and MnO contents. The granitic gneisses have experienced obvious REE fractionation, which are relatively enriched in LREE and LILE (Rb, Th, U and K elements) but are depleted in HFSE (Ba, Nb, Ta, Sr, P and Ti elements), and their zircon 206Pb/238U ages vary from 498.5±14.7 Ma to 480.0±11.7 Ma. Thus, the granitic gneisses generally show the geochemical characteristics of undifferentiated S-type granites with calcium-alkaline and strong peraluminous properties, which might be formed by the high-temperature anatexis of terrigenous greywacke during the post-collision orogeny stage.
		       
		        
		        
		        
			  
			The high Himalaya crystalline rock series occurred in Yadong area, which is an ideal area for studying the tectonic evolution of the Himalayan orogenic belt. In order to discuss the genetic type, magmatic source, formation age and tectonic significance of granitic gneiss in the Yadong area, the LA-ICP-MS zircon dating and geochemical characteristics of these granitic gneisses were studied. The results show that the granite gneisses have high SiO2, Al2O3, Na2O and K2O contents, while they are low in Fe2O3, MgO and MnO contents. The granitic gneisses have experienced obvious REE fractionation, which are relatively enriched in LREE and LILE (Rb, Th, U and K elements) but are depleted in HFSE (Ba, Nb, Ta, Sr, P and Ti elements), and their zircon 206Pb/238U ages vary from 498.5±14.7 Ma to 480.0±11.7 Ma. Thus, the granitic gneisses generally show the geochemical characteristics of undifferentiated S-type granites with calcium-alkaline and strong peraluminous properties, which might be formed by the high-temperature anatexis of terrigenous greywacke during the post-collision orogeny stage.
		            2018, 43(12): 4475-4489. 
	            	doi: 10.3799/dqkx.2018.166 
   					
				
					Abstract: 
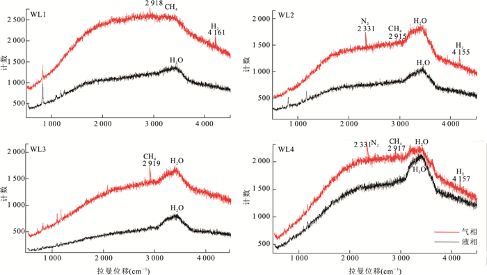
Wulunbulake copper deposit is located at the north-western segment of the Yemaquan-Qiongheba Cu-polymetallic metallogenic belt, East Junggar, Xinjiang. However, its genetic type and mineralizing age has been debated. This study presents new results on fluid inclusions and zircon U-Pb dating to precisely constrain the type and time of mineralization. The dominant fluid inclusions in Wulunbulake copper deposit are liquid-rich type, with low homogenization temperature (136.9-224.5℃), low salinity (1.7%~5.6% NaCl eqv.) and low density (0.97-1.01 g/cm3), the mineralizing pressure is 2.76×107-4.49×107 Pa and the corresponding depth is 1.04-1.95 km. The laser Raman spectroscopy results indicate that the ore-forming fluids consist of H2O, CH4, N2, H2. Zircon U-Pb dating results show that the formation age of ore-bearing quartz diorite and quartz porphyry is 440.5±3.3 Ma, and 419.7±3.3 Ma, respectively, indicating that there had experienced two-stage magmatic activities from Early Silurian. From the interior to the outer part of the deposit, there exist typical alteration zonation characteristics of porphyry deposits (silica alternation-potassic alternation-phyllic alternation-propylitization), and the geochemical characteristics of ore-bearing indicate that they were most possibly formed in arc setting. Its genetic type should be typical porphyry copper deposit and related to the southward subduction of the Paleo-Asian oceanic crust in the Early Silurian period. The East Junggar even northern Xinjiang was in the island arc environment in the Silurian, and the magmatic zone is a potential area for formation and prospecting of porphyritic Cu deposit.
		       
		        
		        
		        
			  
			Wulunbulake copper deposit is located at the north-western segment of the Yemaquan-Qiongheba Cu-polymetallic metallogenic belt, East Junggar, Xinjiang. However, its genetic type and mineralizing age has been debated. This study presents new results on fluid inclusions and zircon U-Pb dating to precisely constrain the type and time of mineralization. The dominant fluid inclusions in Wulunbulake copper deposit are liquid-rich type, with low homogenization temperature (136.9-224.5℃), low salinity (1.7%~5.6% NaCl eqv.) and low density (0.97-1.01 g/cm3), the mineralizing pressure is 2.76×107-4.49×107 Pa and the corresponding depth is 1.04-1.95 km. The laser Raman spectroscopy results indicate that the ore-forming fluids consist of H2O, CH4, N2, H2. Zircon U-Pb dating results show that the formation age of ore-bearing quartz diorite and quartz porphyry is 440.5±3.3 Ma, and 419.7±3.3 Ma, respectively, indicating that there had experienced two-stage magmatic activities from Early Silurian. From the interior to the outer part of the deposit, there exist typical alteration zonation characteristics of porphyry deposits (silica alternation-potassic alternation-phyllic alternation-propylitization), and the geochemical characteristics of ore-bearing indicate that they were most possibly formed in arc setting. Its genetic type should be typical porphyry copper deposit and related to the southward subduction of the Paleo-Asian oceanic crust in the Early Silurian period. The East Junggar even northern Xinjiang was in the island arc environment in the Silurian, and the magmatic zone is a potential area for formation and prospecting of porphyritic Cu deposit.
		            2018, 43(12): 4490-4497. 
	            	doi: 10.3799/dqkx.2018.518 
   					
				
					Abstract: 
Airborne gravity and aeromagnetic data are very effective and important for solving the basic geological structure problems. Based on the newly acquired high-precision airborne gravity and aeromagnetic data, the 1:250 000 gravity and magnetic anomalies map were compiled, the gravity and magnetic field characteristics with regional geological and geophysical materials were analyzed, the basement faults including Tanlu fault belt, Sangxu-Lianyungang fault belt, Donghai-Ganyu fault belt and Wulian-Taoyuan fault belt were recognized. It is believed that the south boundary of Sulu orogenic belt is Sangxu-Lianyungang fault, the northern basement of the fault belongs to North China plate and the southern basement belongs to the Lower Yangtze plate. Bounded by Donghai-Ganyu fault belt, the Sulu orogen can be divided into southern and northern segment, which have quite different tectonic movements.
		       
		        
		        
		        
			  
			Airborne gravity and aeromagnetic data are very effective and important for solving the basic geological structure problems. Based on the newly acquired high-precision airborne gravity and aeromagnetic data, the 1:250 000 gravity and magnetic anomalies map were compiled, the gravity and magnetic field characteristics with regional geological and geophysical materials were analyzed, the basement faults including Tanlu fault belt, Sangxu-Lianyungang fault belt, Donghai-Ganyu fault belt and Wulian-Taoyuan fault belt were recognized. It is believed that the south boundary of Sulu orogenic belt is Sangxu-Lianyungang fault, the northern basement of the fault belongs to North China plate and the southern basement belongs to the Lower Yangtze plate. Bounded by Donghai-Ganyu fault belt, the Sulu orogen can be divided into southern and northern segment, which have quite different tectonic movements.
		            2018, 43(12): 4498-4520. 
	            	doi: 10.3799/dqkx.2018.124 
   					
				
					Abstract: 
In order to study the material composition, tectonic affinity and evolution history of the Buqingshan composite accretionary mélange belt in the southern margin of East Kunlun orogen, we make a comprehensive study on the composition, formation age and tectonic affinities of the mélange belt based on the previous data. This research shows that the Buqingshan composite accretionary mélange belt is a tectonic boundary of accretionary tectonic belts separating the East Kunlun tectonic belt and Bayanhar tectonic belt, and is composed of large-scale tectonic mélange rock blocks and matrices with different tectonic properties formed in Proterozoic-Paleozoic. Tectonic mélange blocks mainly include the Mesoproterozoic metamorphic basement rocks (Kuhai complex), Cambrian ophiolite rocks, Ordovician ophiolite rocks, Carboniferous ophiolite rocks, Carboniferous oceanic island/seamount basalt rocks, Ordovician island arc magmatite rocks, and Gequ Formation etc.. The matrices rocks are mainly composed of a series of Maerzheng Formation turbidite strata with strong deformation. This mélange belt records geological events that the East Tethys Ocean (Paleo-Buqingshan Ocean) opened since the Late Neoproterozoic in the Buqingshan area, southern margin of the East Kunlun orogen, subducted northward from Late Cambrian to Middle Triassic in a continuing subduction process, and ultimately closed at the end of the Middle Triassic. This subduction and collision events led to a strong intermixing of different types tectonic blocks with the turbidites, and finally formed the key tectonic framework of the Buqingshan composite accretionary mélange belt.
		       
		        
		        
		        
			  
			In order to study the material composition, tectonic affinity and evolution history of the Buqingshan composite accretionary mélange belt in the southern margin of East Kunlun orogen, we make a comprehensive study on the composition, formation age and tectonic affinities of the mélange belt based on the previous data. This research shows that the Buqingshan composite accretionary mélange belt is a tectonic boundary of accretionary tectonic belts separating the East Kunlun tectonic belt and Bayanhar tectonic belt, and is composed of large-scale tectonic mélange rock blocks and matrices with different tectonic properties formed in Proterozoic-Paleozoic. Tectonic mélange blocks mainly include the Mesoproterozoic metamorphic basement rocks (Kuhai complex), Cambrian ophiolite rocks, Ordovician ophiolite rocks, Carboniferous ophiolite rocks, Carboniferous oceanic island/seamount basalt rocks, Ordovician island arc magmatite rocks, and Gequ Formation etc.. The matrices rocks are mainly composed of a series of Maerzheng Formation turbidite strata with strong deformation. This mélange belt records geological events that the East Tethys Ocean (Paleo-Buqingshan Ocean) opened since the Late Neoproterozoic in the Buqingshan area, southern margin of the East Kunlun orogen, subducted northward from Late Cambrian to Middle Triassic in a continuing subduction process, and ultimately closed at the end of the Middle Triassic. This subduction and collision events led to a strong intermixing of different types tectonic blocks with the turbidites, and finally formed the key tectonic framework of the Buqingshan composite accretionary mélange belt.
		            2018, 43(12): 4521-4535. 
	            	doi: 10.3799/dqkx.2018.540 
   					
				
					Abstract: 
The research on magmatic source and tectonic setting of Qingquangou basalts in eastern section of East Kunlun is important for discussion of the tectonic evolution of East Kunlun ocean. This paper presents a systematic field geology, geochemistry, and tectonic setting research. The results show that the SiO2 contents of Qingquangou basalts range from 48.60% to 49.28%, MgO contents range from 7.72%-8.00%, TiO2 contents range from 1.07%-1.10% (average values, 1.09%), which are similar to the values of Izu-Bonin-Mariana forearc basalt, West Pacific. The basalts are classified into the tholeiitic basalt of subalkaline series based on the major elements feature. Qingquangou basalts are characterized by the ∑LREEs range from 22.64×10-6-33.31×10-6, ∑HREEs range from 13.13×10-6-18.37×10-6, ∑REEs range from 36.02×10-6-51.68×10-6, and (La/Yb)N range from 0.88-1.10. The chondrite normalized REE patterns show the widely enriched-depleted feature of LREE, resembling the feature of NMORB basalts and IBM forearc basalts, West Pacific. Moreover, the samples have low ratios of Ti/Y (312) and Ti/V (< 20), also indicative of the forearc basalt feature. The primitive mantle normalized trace element spider diagram shows enriched LILEs and undifferentiated HFSEs (e.g., Nb, Ta, Zr, Hf, etc.) features. Petrogenesis research shows that its source was derived from the depleted mantle, and further proves that its partial melting degree is higher than that of NMORB-type basalts. Additionally, the tectonic discrimination diagram suggests that the basalts formed in forearc tectonic setting. Combined with the previous data, it is concluded that East Kunlun ocean began to subduct northward at Middle Cambrian (ca.510 Ma), and that Qingquangou forearc basalts were generated meanwhile, forming the nascent island arc crust.
		       
		        
		        
		        
			  
			The research on magmatic source and tectonic setting of Qingquangou basalts in eastern section of East Kunlun is important for discussion of the tectonic evolution of East Kunlun ocean. This paper presents a systematic field geology, geochemistry, and tectonic setting research. The results show that the SiO2 contents of Qingquangou basalts range from 48.60% to 49.28%, MgO contents range from 7.72%-8.00%, TiO2 contents range from 1.07%-1.10% (average values, 1.09%), which are similar to the values of Izu-Bonin-Mariana forearc basalt, West Pacific. The basalts are classified into the tholeiitic basalt of subalkaline series based on the major elements feature. Qingquangou basalts are characterized by the ∑LREEs range from 22.64×10-6-33.31×10-6, ∑HREEs range from 13.13×10-6-18.37×10-6, ∑REEs range from 36.02×10-6-51.68×10-6, and (La/Yb)N range from 0.88-1.10. The chondrite normalized REE patterns show the widely enriched-depleted feature of LREE, resembling the feature of NMORB basalts and IBM forearc basalts, West Pacific. Moreover, the samples have low ratios of Ti/Y (312) and Ti/V (< 20), also indicative of the forearc basalt feature. The primitive mantle normalized trace element spider diagram shows enriched LILEs and undifferentiated HFSEs (e.g., Nb, Ta, Zr, Hf, etc.) features. Petrogenesis research shows that its source was derived from the depleted mantle, and further proves that its partial melting degree is higher than that of NMORB-type basalts. Additionally, the tectonic discrimination diagram suggests that the basalts formed in forearc tectonic setting. Combined with the previous data, it is concluded that East Kunlun ocean began to subduct northward at Middle Cambrian (ca.510 Ma), and that Qingquangou forearc basalts were generated meanwhile, forming the nascent island arc crust.
		            2018, 43(12): 4536-4550. 
	            	doi: 10.3799/dqkx.2018.173 
   					
				
					Abstract: 
The study of Neoproterozoic magmatic rocks in the East Kunlun orogenic belt has important significances for the evolution of Proto-Tethys. Taking the Late Sinian Dundeshaerguole hornblende monzonite in east section of East Kunlun as research object, this paper constrains on the Pan-African orogenic events, tension and breach of back-arc basin in East Kunlun and Proto-Tethyan Ocean subduction by the zircon U-Pb dating in combination with regional geological data.The lithological and geochemical data indicate that Dundeshaerguole hornblende monzonite is characterized by potassic alkaline rocks. All the zircons selected from sample 11029/8 have magmatic oscillatory zoning, high Th/U ratios of 0.21-0.41, representing the magmatic origin. The LA-ICP-MS zircon U-Pb dating shows age of 544.8±7.8 Ma (MSWD=5.7), belonging to Ediacaran period in Sinian or Early Cambrian. It is concluded that the Dundeshaerguole hornblende monzonite is the products of northward subduction of Proto-Tethys.
		       
		        
		        
		        
			  
			The study of Neoproterozoic magmatic rocks in the East Kunlun orogenic belt has important significances for the evolution of Proto-Tethys. Taking the Late Sinian Dundeshaerguole hornblende monzonite in east section of East Kunlun as research object, this paper constrains on the Pan-African orogenic events, tension and breach of back-arc basin in East Kunlun and Proto-Tethyan Ocean subduction by the zircon U-Pb dating in combination with regional geological data.The lithological and geochemical data indicate that Dundeshaerguole hornblende monzonite is characterized by potassic alkaline rocks. All the zircons selected from sample 11029/8 have magmatic oscillatory zoning, high Th/U ratios of 0.21-0.41, representing the magmatic origin. The LA-ICP-MS zircon U-Pb dating shows age of 544.8±7.8 Ma (MSWD=5.7), belonging to Ediacaran period in Sinian or Early Cambrian. It is concluded that the Dundeshaerguole hornblende monzonite is the products of northward subduction of Proto-Tethys.
		            2018, 43(12): 4551-4565. 
	            	doi: 10.3799/dqkx.2018.118 
   					
				
					Abstract: 
The ore-bearing porphyry body has favorable geological conditions for porphyry copper mineralization in Cimabanshuo area, Tibet. Therefore, it is of great significance to study the geological background and genesis of diagenesis and mineralization in this area. In this paper, combined with their new understanding and new discoveries in the field works, the authors carried out a detailed research of zircon U-Pb dating and petrogeochemistry, for Youqiumi pluton in Cimabanshuo area.The results show that the granodiorite-poryphy yields an LA-ICP-MS zircon U-Pb age of 15.2±0.8 Ma to 15.2±0.7 Ma, namely the formation age of Miocene. Chemical analyses show that the granodiorite-poryphy has a characteristic of high SiO2 (65.08%-66.85%), high K2O (3.85%-4.58%), rich K2O+Na2O (7.87%-8.90%), depleted MgO (1.51%-1.84%), meta-aluminum (A/CNK=0.88-0.95). Chondrite-normalized REE distribution pattern diagrams display right-incline and weakly negative Eu anomalies, differentiated obviously (La/Yb)N=36.60-47.43. Enriched strongly in compatible elements such as Rb, Th, U, K and depleted in high field strength elements (HFSEs) such as Nb, Ta, Ce, P, Ti. Specifically, Youqiumi granitic pluton shows typical adakitic signatures:high Sr (674×10-6 to 876×10-6) and low Yb (0.560×10-6 to 0.757×10-6) and low Y (7.97×10-6 to 9.98×10-6), contents with high Sr/Y ratios (73.84-109.98). However, the whole-rock Sr, Nd isotopic compositions of granodiorite-poryphy have initial 87Sr/86Sr ratios and εNd(t) values are 0.707 878 and -8.26 respectively, with ancient Nd two-phase model ages of 1 503 Ma, which indicate that the magma sources may have contributed to partial melting of previous juvenile lower crust.Combined with igneous rocks in the studied area, it is proposed that Youqiumi granitic pluton was formed in post-collisional extension setting of India-Asia contional collision orogenic belt.
		       
		        
		        
		        
			  
			The ore-bearing porphyry body has favorable geological conditions for porphyry copper mineralization in Cimabanshuo area, Tibet. Therefore, it is of great significance to study the geological background and genesis of diagenesis and mineralization in this area. In this paper, combined with their new understanding and new discoveries in the field works, the authors carried out a detailed research of zircon U-Pb dating and petrogeochemistry, for Youqiumi pluton in Cimabanshuo area.The results show that the granodiorite-poryphy yields an LA-ICP-MS zircon U-Pb age of 15.2±0.8 Ma to 15.2±0.7 Ma, namely the formation age of Miocene. Chemical analyses show that the granodiorite-poryphy has a characteristic of high SiO2 (65.08%-66.85%), high K2O (3.85%-4.58%), rich K2O+Na2O (7.87%-8.90%), depleted MgO (1.51%-1.84%), meta-aluminum (A/CNK=0.88-0.95). Chondrite-normalized REE distribution pattern diagrams display right-incline and weakly negative Eu anomalies, differentiated obviously (La/Yb)N=36.60-47.43. Enriched strongly in compatible elements such as Rb, Th, U, K and depleted in high field strength elements (HFSEs) such as Nb, Ta, Ce, P, Ti. Specifically, Youqiumi granitic pluton shows typical adakitic signatures:high Sr (674×10-6 to 876×10-6) and low Yb (0.560×10-6 to 0.757×10-6) and low Y (7.97×10-6 to 9.98×10-6), contents with high Sr/Y ratios (73.84-109.98). However, the whole-rock Sr, Nd isotopic compositions of granodiorite-poryphy have initial 87Sr/86Sr ratios and εNd(t) values are 0.707 878 and -8.26 respectively, with ancient Nd two-phase model ages of 1 503 Ma, which indicate that the magma sources may have contributed to partial melting of previous juvenile lower crust.Combined with igneous rocks in the studied area, it is proposed that Youqiumi granitic pluton was formed in post-collisional extension setting of India-Asia contional collision orogenic belt.
		            2018, 43(12): 4566-4585. 
	            	doi: 10.3799/dqkx.2018.271 
   					
				
					Abstract: 
The study on the tectono-magmatic mineralization of the Gangdese Indosinian is relatively deficient. This paper takes Lalong granodiorite masses located in the Gangdese Lunggar-Nyainqentanglha tectono-magmatic belt as the research object. The field geological surveying, petrology, LA-ICP-MS zircon U-Pb dating, geochemistry and Hf isotope data are systematically studied to discuss the petrogenesis and tectonic settings. It is found that the LA-ICP-MS zircon U-Pb ages show a weighted average age between 223.5±3.9 Ma and 225.4±4.9 Ma, indicating that they formed in Late Triassic epoch, and they are probably tectonic-magmatic products of late period of Indosinian. The rocks show low Ti(w(TiO2)=0.46%-0.73%), rich in Si(w(SiO2)=63.24%-67.94%), Al(w(Al2O3)=14.14%-15.85%), Na(w(Na2O)=2.58%-3.04%) and K(w(K2O)=3.06%-4.89%), belonging to the high-K calc-alkaline to shoshonite series and weakly peraluminous; enrichment in REE, and the ΣREE is 138.62×10-6 to 255.53×10-6. The rare earth element distribution pattern is the right tilt type of the light rare earth element enrichment, the (La/Yb)N=8.35-17.90, with negative Eu anomaly (Eu/Eu*=0.54-0.69) and without Ce anomaly (Ce/Ce*=0.92-1.02). The rocks show depletion in Ba, Nb, Ta, Sr, Ti and P; enrichment in Rb, K, Th, U, Zr and Hf in the trace elements. The εHf(t)=-6.4-2.5, coinciding with two-phase model age (tDM2) of the crust of 980-1 479 Ma, and a same geologic age with the Nyainqentanglha Group. Lalong granodiorite masses belong to A-type granite. They are partially melted magmatic products induced by ancient lower crust material, and accompanied by a small amount of mantle material. They are formed by the local extension of the tectonic setting in the island arc environment formed by the ancient Tethys subduction.
		       
		        
		        
		        
			  
			The study on the tectono-magmatic mineralization of the Gangdese Indosinian is relatively deficient. This paper takes Lalong granodiorite masses located in the Gangdese Lunggar-Nyainqentanglha tectono-magmatic belt as the research object. The field geological surveying, petrology, LA-ICP-MS zircon U-Pb dating, geochemistry and Hf isotope data are systematically studied to discuss the petrogenesis and tectonic settings. It is found that the LA-ICP-MS zircon U-Pb ages show a weighted average age between 223.5±3.9 Ma and 225.4±4.9 Ma, indicating that they formed in Late Triassic epoch, and they are probably tectonic-magmatic products of late period of Indosinian. The rocks show low Ti(w(TiO2)=0.46%-0.73%), rich in Si(w(SiO2)=63.24%-67.94%), Al(w(Al2O3)=14.14%-15.85%), Na(w(Na2O)=2.58%-3.04%) and K(w(K2O)=3.06%-4.89%), belonging to the high-K calc-alkaline to shoshonite series and weakly peraluminous; enrichment in REE, and the ΣREE is 138.62×10-6 to 255.53×10-6. The rare earth element distribution pattern is the right tilt type of the light rare earth element enrichment, the (La/Yb)N=8.35-17.90, with negative Eu anomaly (Eu/Eu*=0.54-0.69) and without Ce anomaly (Ce/Ce*=0.92-1.02). The rocks show depletion in Ba, Nb, Ta, Sr, Ti and P; enrichment in Rb, K, Th, U, Zr and Hf in the trace elements. The εHf(t)=-6.4-2.5, coinciding with two-phase model age (tDM2) of the crust of 980-1 479 Ma, and a same geologic age with the Nyainqentanglha Group. Lalong granodiorite masses belong to A-type granite. They are partially melted magmatic products induced by ancient lower crust material, and accompanied by a small amount of mantle material. They are formed by the local extension of the tectonic setting in the island arc environment formed by the ancient Tethys subduction.
		            2018, 43(12): 4586-4605. 
	            	doi: 10.3799/dqkx.2017.598 
   					
				
					Abstract: 
Lishitan area is located in west of Ejin County of Inner Mongolia, where Late Paleozoic granitoid is exposed in a wide range. And it's a key area to the geology evolution research of Beishan orogenic belt in Late Paleozoic. The zircon LA-MC-ICP-MS U-Pb dating results show that the granitoid in this area was formed in the Late Carboniferous, the tonalite was formed at 310.8±1.4 Ma, the granodiorite was formed at 310.3±1.4 Ma, 306.0±1.2 Ma respectively, and the monzonitic granite was formed at 308.7±1.4 Ma. The petrology and lithochemistry demonstrate that the tonalite, granodiorite and monzonitic granite belong to quasi-aluminous to weakly peraluminous rocks and middle-K calc-alcaline series. The tonalite, granodiorite and monzonitic granite are enriched in LREE and part of large iron lithophile elements, including Rb, K et al., relatively depleted in HREE, Nb, Ta and Ti with weakly negative europium anomaly (δEu is 0.7-0.9).The εHf(t) values of tonalite and granodiorite are variable, ranging from 3.8 to 14.8 and 7.3 to 14.0 respectively. And the two stage Hf isotope model ages (tDMC) range from 378 to 1 083 Ma and from 433 to 868 Ma respectively. The formation of tonalite, granodiorite and monzonitic granite is related with crust-mantle mixing, which were formed in the active epicontinental arc environment in the process of the ocean lithosphere subduction in Northern Beishan orogenic belt in Late Carboniferous. Mantle convection was caused by the process, thus led to mantle-derived magma invasion, which melted the Proterozoic basement rocks, and massive granitoids formed after crust-mantle mixing in Late Carboniferous.
		       
		        
		        
		        
			  
			Lishitan area is located in west of Ejin County of Inner Mongolia, where Late Paleozoic granitoid is exposed in a wide range. And it's a key area to the geology evolution research of Beishan orogenic belt in Late Paleozoic. The zircon LA-MC-ICP-MS U-Pb dating results show that the granitoid in this area was formed in the Late Carboniferous, the tonalite was formed at 310.8±1.4 Ma, the granodiorite was formed at 310.3±1.4 Ma, 306.0±1.2 Ma respectively, and the monzonitic granite was formed at 308.7±1.4 Ma. The petrology and lithochemistry demonstrate that the tonalite, granodiorite and monzonitic granite belong to quasi-aluminous to weakly peraluminous rocks and middle-K calc-alcaline series. The tonalite, granodiorite and monzonitic granite are enriched in LREE and part of large iron lithophile elements, including Rb, K et al., relatively depleted in HREE, Nb, Ta and Ti with weakly negative europium anomaly (δEu is 0.7-0.9).The εHf(t) values of tonalite and granodiorite are variable, ranging from 3.8 to 14.8 and 7.3 to 14.0 respectively. And the two stage Hf isotope model ages (tDMC) range from 378 to 1 083 Ma and from 433 to 868 Ma respectively. The formation of tonalite, granodiorite and monzonitic granite is related with crust-mantle mixing, which were formed in the active epicontinental arc environment in the process of the ocean lithosphere subduction in Northern Beishan orogenic belt in Late Carboniferous. Mantle convection was caused by the process, thus led to mantle-derived magma invasion, which melted the Proterozoic basement rocks, and massive granitoids formed after crust-mantle mixing in Late Carboniferous.
		            2018, 43(12): 4606-4620. 
	            	doi: 10.3799/dqkx.2018.988 
   					
				
					Abstract: 
The study on direct dating of ore minerals in gold deposits in East Junggar is relatively scarce. The Dunbasitao gold deposit, located in the northeastern part of eastern Aermantai structural belt, is one of typical gold deposits in the region. Rb-Sr isotopic dating of 9 pyrites separated from the Dunbasitao gold deposit yielded an isochron age of 268.3±2.8 Ma (MSWD=0.7), and this result is in good agreement with the high-potassium calc-alkaline granite in the northwestern part of ore district, indicating that gold mineralization was related to granite crystallization.Meanwhile, combining with the studies about metallogenic chronology of diagenetic and mineralization in East Junggar in recent years, it is suggested that Middle Permian from 270 Ma to 260 Ma may be an important time range of gold mineralization in East Junggar, Xinjiang. According to previous studies and the Rb-Sr ages reported, it is interpreted that the Dunbasitao gold deposit was formed in an post-collision extended environment related to lithospheric extension with tectonic, magma and fluid activities during the Middle Permian in East Junggar. The age of Dunbasitao gold deposit reported in this study is of great significance both for comparison studies in minerization of gold deposits in the region and practice for mineral exploration.
		       
		        
		        
		        
			  
			The study on direct dating of ore minerals in gold deposits in East Junggar is relatively scarce. The Dunbasitao gold deposit, located in the northeastern part of eastern Aermantai structural belt, is one of typical gold deposits in the region. Rb-Sr isotopic dating of 9 pyrites separated from the Dunbasitao gold deposit yielded an isochron age of 268.3±2.8 Ma (MSWD=0.7), and this result is in good agreement with the high-potassium calc-alkaline granite in the northwestern part of ore district, indicating that gold mineralization was related to granite crystallization.Meanwhile, combining with the studies about metallogenic chronology of diagenetic and mineralization in East Junggar in recent years, it is suggested that Middle Permian from 270 Ma to 260 Ma may be an important time range of gold mineralization in East Junggar, Xinjiang. According to previous studies and the Rb-Sr ages reported, it is interpreted that the Dunbasitao gold deposit was formed in an post-collision extended environment related to lithospheric extension with tectonic, magma and fluid activities during the Middle Permian in East Junggar. The age of Dunbasitao gold deposit reported in this study is of great significance both for comparison studies in minerization of gold deposits in the region and practice for mineral exploration.
		            2018, 43(12): 4621-4637. 
	            	doi: 10.3799/dqkx.2017.602 
   					
				
					Abstract: 
The research of petrogenesis about Tiangongshan Indosinian granites have great significance on the magmatic evolution and dynamic process in Southwest Fujian. The Tiangongshan pluton is dominated by syenogranite. Previous studies obtained the K-Ar age of 146-149 Ma from its granites, while U-Pb zircon analyses yielded consistent age of 233±2.0 Ma and 230±2.8 Ma by LA-ICP-MS in our study, indicating that the pluton was formed in Late Triassic and Indosinian tectonic movement. The granites are characterized by high silicon and alkali (σ=1.21-2.55, A/CNK=0.97-1.73), belonging to quasi aluminum to peraluminous calc-alkaline series. The granites have high ΣREE and relative accumulation of LREE, and are deficient in Al2O3 and Sr, and rich in Y and Yb, showing obvious micrographic texture with relatively high negative Eu anomaly and moderately negative to weak positive Ce anomaly; the granites are depleted in LILE and enriched in HFSE.The Tiangongshan pluton has the characteristics of A-type granite with high Ga/Al value. Its w (P2O5) averages on 0.02%, lower than that of highly fractionated S-type granite, w (Na2O) on average of 2.93%, higher than that of highly fractionated S-type granite, and w (TFeO) on average of 1.15%, higher than that of highly fractionated I-type granite.The average saturation temperature of zircon is 729.8℃.The εHf(t) all is negative (-5.29 to -10.69), suggesting possible material sources from the lower crustal material of Paleoproterozoic. The magma of the diagenetic stage, derived from partial melting of the crustal material, is crust-derived aluminous A-type granite formed in the syn-collisional settings. Through the stage of Indosinian collisional-compressional orogeny, the Paleoproterozoic lower crustal material of the pluton initially melted. Stretched by Indosinian tectonic movements, part of the mantle material was involved in the underplating.
		       
		        
		        
		        
			  
			The research of petrogenesis about Tiangongshan Indosinian granites have great significance on the magmatic evolution and dynamic process in Southwest Fujian. The Tiangongshan pluton is dominated by syenogranite. Previous studies obtained the K-Ar age of 146-149 Ma from its granites, while U-Pb zircon analyses yielded consistent age of 233±2.0 Ma and 230±2.8 Ma by LA-ICP-MS in our study, indicating that the pluton was formed in Late Triassic and Indosinian tectonic movement. The granites are characterized by high silicon and alkali (σ=1.21-2.55, A/CNK=0.97-1.73), belonging to quasi aluminum to peraluminous calc-alkaline series. The granites have high ΣREE and relative accumulation of LREE, and are deficient in Al2O3 and Sr, and rich in Y and Yb, showing obvious micrographic texture with relatively high negative Eu anomaly and moderately negative to weak positive Ce anomaly; the granites are depleted in LILE and enriched in HFSE.The Tiangongshan pluton has the characteristics of A-type granite with high Ga/Al value. Its w (P2O5) averages on 0.02%, lower than that of highly fractionated S-type granite, w (Na2O) on average of 2.93%, higher than that of highly fractionated S-type granite, and w (TFeO) on average of 1.15%, higher than that of highly fractionated I-type granite.The average saturation temperature of zircon is 729.8℃.The εHf(t) all is negative (-5.29 to -10.69), suggesting possible material sources from the lower crustal material of Paleoproterozoic. The magma of the diagenetic stage, derived from partial melting of the crustal material, is crust-derived aluminous A-type granite formed in the syn-collisional settings. Through the stage of Indosinian collisional-compressional orogeny, the Paleoproterozoic lower crustal material of the pluton initially melted. Stretched by Indosinian tectonic movements, part of the mantle material was involved in the underplating.
		            2018, 43(12): 4638-4650. 
	            	doi: 10.3799/dqkx.2018.522 
   					
				
					Abstract: 
This paper investigates the petrogenesis of the Cretaceous Mo-bearing granites in West Dabie orogenic belt. Utilizing the rock geological chemistry of these granites, the formation condition of the Mo deposits in West Dabie orogen is discussed, which is significant to recognize the geochemical dynamics background of West Dabie Mo metallogenic belt. Similar to the Cretaceous granites in East Dabie orogen, the magmatisms of Mo-bearing granites in West Dabie orogen could be divided into two stages. The early stage was formed under thickened crustal environment, and the late stage was formed under non-thickened crustal environment. This is fundamental reason to decide the differences of the Mo metallization in West Dabie orogen. Combining with the geochemical characteristics of the Mo and the evolutionary process of central orogenic belt, the Qinling paleo-oceanic basin probably offered a favorable environment for the supergene weathering crustal Mo element, and then the Mo enriched sediment was carried by the Yangtze block and subducted underneath the North China block. Together with the Yangtze block, the Mo enriched sediment was partial melted, forming the large-scale Mo-bearing magmatism in West Dabie orogen.
		       
		        
		        
		        
			  
			This paper investigates the petrogenesis of the Cretaceous Mo-bearing granites in West Dabie orogenic belt. Utilizing the rock geological chemistry of these granites, the formation condition of the Mo deposits in West Dabie orogen is discussed, which is significant to recognize the geochemical dynamics background of West Dabie Mo metallogenic belt. Similar to the Cretaceous granites in East Dabie orogen, the magmatisms of Mo-bearing granites in West Dabie orogen could be divided into two stages. The early stage was formed under thickened crustal environment, and the late stage was formed under non-thickened crustal environment. This is fundamental reason to decide the differences of the Mo metallization in West Dabie orogen. Combining with the geochemical characteristics of the Mo and the evolutionary process of central orogenic belt, the Qinling paleo-oceanic basin probably offered a favorable environment for the supergene weathering crustal Mo element, and then the Mo enriched sediment was carried by the Yangtze block and subducted underneath the North China block. Together with the Yangtze block, the Mo enriched sediment was partial melted, forming the large-scale Mo-bearing magmatism in West Dabie orogen.
		            2018, 43(12): 4651-4670. 
	            	doi: 10.3799/dqkx.2017.548 
   					
				
					Abstract: 
Chenghai-Binchuan fault zone in the southeastern margin of the Qinghai-Tibet plateau, which has a composite activity manner of vertical and horizontal left-sliding movement. It plays an important role in regulating the internal matter in the Qinghai-Tibet plateau, and controlling the major strong earthquake activity in the region. Extracting the region tectonic landforms information from the RS (remote sensing) images and DEM (digital elevation model) to quantitative study of tectonic geomorphology of the fault zone. The results show that the fault belt have the characteristics of segmented partitions. The northern boundary faults of the Jinguan-Chenghai basin are dominated by normal faults, and they have the highest vertical movement rate in the zone. Qina faults are dominated by strike-slip movement, which have the highest strike-slip activity rate. The eastern boundary faults in Binchuan basin are also dominated by normal faults. The vertical activity rate is lower than that of the northern section. Comprehensive analysis shows that the Quaternary vertical activity of Chenghai-Binchuan fault zone is lower from north to south, and strike-slip activity in central is strongest, diminishing to south. The long-term activity rate of Binchuan fault zone has maintained a relatively stable state, the vertical activity rates between 0.09-0.69 mm/a. Horizontal strike-slip rate between 0.20-1.40 mm/a. The Quaternary activity of faults mainly is "medium" and "weak", but the future earthquake risk should not be ignored, especially in the south middle of it.
		       
		        
		        
		        
			  
			Chenghai-Binchuan fault zone in the southeastern margin of the Qinghai-Tibet plateau, which has a composite activity manner of vertical and horizontal left-sliding movement. It plays an important role in regulating the internal matter in the Qinghai-Tibet plateau, and controlling the major strong earthquake activity in the region. Extracting the region tectonic landforms information from the RS (remote sensing) images and DEM (digital elevation model) to quantitative study of tectonic geomorphology of the fault zone. The results show that the fault belt have the characteristics of segmented partitions. The northern boundary faults of the Jinguan-Chenghai basin are dominated by normal faults, and they have the highest vertical movement rate in the zone. Qina faults are dominated by strike-slip movement, which have the highest strike-slip activity rate. The eastern boundary faults in Binchuan basin are also dominated by normal faults. The vertical activity rate is lower than that of the northern section. Comprehensive analysis shows that the Quaternary vertical activity of Chenghai-Binchuan fault zone is lower from north to south, and strike-slip activity in central is strongest, diminishing to south. The long-term activity rate of Binchuan fault zone has maintained a relatively stable state, the vertical activity rates between 0.09-0.69 mm/a. Horizontal strike-slip rate between 0.20-1.40 mm/a. The Quaternary activity of faults mainly is "medium" and "weak", but the future earthquake risk should not be ignored, especially in the south middle of it.
 
		             
		        







 
 
 PDF 295KB
PDF 295KB