• 中国出版政府奖提名奖

    中国百强科技报刊

    湖北出版政府奖

    中国高校百佳科技期刊

    中国最美期刊

    留言板

    尊敬的读者、作者、审稿人, 关于本刊的投稿、审稿、编辑和出版的任何问题, 您可以本页添加留言。我们将尽快给您答复。谢谢您的支持!

    姓名
    邮箱
    手机号码
    标题
    留言内容
    验证码

    松辽盆地徐家围子断陷深层天然气同位素倒转现象研究

    黄海平

    黄海平, 2000. 松辽盆地徐家围子断陷深层天然气同位素倒转现象研究. 地球科学, 25(6): 617-623.
    引用本文: 黄海平, 2000. 松辽盆地徐家围子断陷深层天然气同位素倒转现象研究. 地球科学, 25(6): 617-623.
    HUANG Hai-ping, 2000. ISOTOPIC REVERSAL IN NATURAL GAS: AN EXAMPLE OF DEEP-STRATA GASES FROM XUJIAWEIZI DEPRESSION, SONGLIAO BASIN. Earth Science, 25(6): 617-623.
    Citation: HUANG Hai-ping, 2000. ISOTOPIC REVERSAL IN NATURAL GAS: AN EXAMPLE OF DEEP-STRATA GASES FROM XUJIAWEIZI DEPRESSION, SONGLIAO BASIN. Earth Science, 25(6): 617-623.

    松辽盆地徐家围子断陷深层天然气同位素倒转现象研究

    详细信息
      作者简介:

      黄海平, 男, 副教授, 1962年生, 1988年毕业于中国地质大学(北京)能源地质系, 获硕士学位, 现从事油气地球化学与油藏地球化学的教学与研究工作

    • 中图分类号: P618.130.1

    ISOTOPIC REVERSAL IN NATURAL GAS: AN EXAMPLE OF DEEP-STRATA GASES FROM XUJIAWEIZI DEPRESSION, SONGLIAO BASIN

    • 摘要: 天然气的同位素组成受源岩有机质类型、热演化程度和成藏后的次生变化等多种因素的影响, 其单体烃同位素分布特征是区分各种因素影响程度的地球化学指纹.天然气单体烃同位素通常有随碳数增加而变重的趋势, 而徐家围子深层天然气单体烃同位素倒转现象却比较普遍, 高地温和细菌氧化对于造成该区同位素倒转的可能性不大, 浅层油型气或无机气的混合作用没有充分的地质证据, 同层有机质中不同类型气的混合和盖层微渗漏造成的蒸发分馏作用可能是导致徐家围子断陷深层天然气同位素倒转的主要原因.

       

    • 图  1  徐家围子断陷数据深层天然气成因分类

      A.生物气; B.生物气和亚生物气; C.亚生物气; D.原油伴生气; E.油型裂解气; F.油型裂解气和煤型气; G.凝析油伴生气和煤型气; H.煤型气; I.无机气; J.无机气和煤型气; ☆.肇293

      Fig.  1.  Genetic diagram of deep gases from Xujiaweizi de-pression

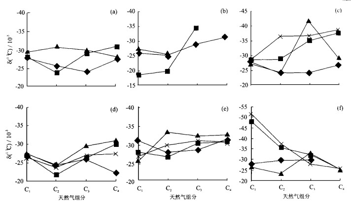
      图  2  徐家围子断陷深层天然气碳同位素分布特征

      a芳深7:◆.2988.7~3102.4m: ■.3285.2~3321.6m;▲3380.2~3 482.0m.b.◆.昌401;■.芳深2;▲芳深5.c◆.升深1:■. 升深2;▲.升深3;×.升深4.d.汪902:◆.2651.8~2670.8m;■.2716.6~2727.8 m: ▲.2795.0~2806 0m: ×.2829.0~2869.0 me汪903:◆.2198.6~2202.0m; 1.2688.2~2693.4m;▲2937.6~3053.2m; ×.2962.4~3007.0mL◆.升深101:■.升深101;▲.宋深; ×.肇293

      Fig.  2.  Isotopic distribution pattern of deep gases from Xujaweizi depression

      图  3  天然气同位素反转解释模式(据文献[11]修改)

      *.Jenden等的样品; ●.徐家围子断陷样品.1.Prinzhofer等模式; 2.Jenden等模式

      Fig.  3.  Interpreted model of isotopic reverse of natural gases

      表  1  松辽盆地徐家围子断陷深层天然气的化学和同位素组成特征

      Table  1.   Chemical compositions and isotopic properties of deep gases from Xujiaweizi depression, Songliao basin

    • [1] 郭占谦, 王先彬. 松辽盆地非生物成因气的探讨[J]. 中国科学(B辑), 1994, 24(3): 303~309. https://www.cnki.com.cn/Article/CJFDTOTAL-JBXK199403012.htm
      [2] Schoell M. Genetic characterization of natural gases[J]. AAPG Bulletin, 1983, 67(12): 2225~2238.
      [3] Schoell M. Multiple origins of methane in the earth[J]. Chem Geol, 1988, 71: 1~10. doi: 10.1016/0009-2541(88)90101-5
      [4] 沈平, 徐永昌, 王先彬, 等. 气源岩和天然气地球化学特征及成气机理研究[M]. 兰州: 甘肃科学技术出版社, 1991.
      [5] Whiticar M J. Correlation of natural gases with their sources. In: Magoon L B, Dow W G, eds. The petroleum systemfrom source to trap[J]. AAPG Memoir 60, 1994, 261~283.
      [6] Clayton C. Carbon isotope fractionation during natural gas generation from kerogen[J]. Mar Pet Geol, 1991, 8: 232 ~240. doi: 10.1016/0264-8172(91)90010-X
      [7] 戴金星. 天然气碳氢同位素特征和各类天然气鉴别[J]. 天然气地球科学, 1993, 4(2~3): 1~40. https://www.cnki.com.cn/Article/CJFDTOTAL-TDKX1993Z1000.htm
      [8] Des Marais D J, Donchin J H, Nehring N L, et al. Molecular carbon isotopic evidence for the origin of geothermal hydrocarbons[J]. Nature, 1981, 292: 826~828. doi: 10.1038/292826a0
      [9] 黄海平, 许晓宏. 天然气同位素特征及作用[J]. 石油与天然气地质, 1997, 18(2): 136~139. doi: 10.3321/j.issn:0253-9985.1997.02.009
      [10] Jenden P D, Drazan D J, Kaplan I R. Mixing of thermogenic natural gases in northern Appalachian basin[J]. AAPG Bulletin, 1993, 77(6): 980~998.
      [11] Prinzhofer A, Huc, A Y. Genetic and post-genetic molecular and isotopic fractiontions in natural gases[J]. Chem Geol, 1995, 126: 281~290. doi: 10.1016/0009-2541(95)00123-9
      [12] 王志武, 杨继良, 高瑞琪. 大庆油田. 中国石油地质志2 [M]. 北京: 石油工业出版社, 1993.
      [13] Thompson K F M. Gas-condensate migration and oil fractionation in deltaic system[J]. Mar Petrol Geol, 1988, 5: 237~246. doi: 10.1016/0264-8172(88)90004-9
    • 加载中
    图(3) / 表(1)
    计量
    • 文章访问数:  4365
    • HTML全文浏览量:  775
    • PDF下载量:  23
    • 被引次数: 0
    出版历程
    • 刊出日期:  2000-11-25

    目录

      /

      返回文章
      返回