2-DIMENSIONAL FORWARD ALGORITHM FOR TIME SPECTRAL RESISTIVITY
-
摘要: 时间谱电阻率(TSR)法的二维正演, 是计算可极化二维地电构造上三维电流偶极源的电场瞬变响应, 属所谓2.5维时间域电磁场数值模拟问题, 是目前国际上未妥善解决的计算地球物理疑难问题.针对现有算法的局限性, 建立了新的算法, 其特点是: (1)采用二维有限单元算法, 在矩形网格中增加两对角线形成三角网格剖分, 同时用高斯消元法消除矩形网格中心结点的待求未知量.这样, 既可较准确地模拟任意二维复杂地电断面, 又可节省计算量.(2)采用直接计算二次场的新算法, 只需计算电场和磁场沿地电构造走向两个分量的一次场, 因而, 不但计算精度较高, 而且不显著增加计算量.(3)采用G -S变换法作逆拉氏变换, 并利用拉氏变换延迟定理在倍增的时间间隔中插值, 从而实现对密集采样时间瞬变过程的快速计算.(4)能对可极化和导电大地(即同时包括IP和EM效应).Abstract: The 2 dimensional forward calculation for time spectral resistivity (TSR) is to compute the electric field transient response caused by a 3-D electric current dipole on the 2-D polarizable earth surface. As part of the so called 2.5-D numerical simulation for time domain electromagnetic field, this 2 dimensional forward calculation is still a difficult problem in geophysics. In this paper, a new algorithm is established for this problem with the following four features: (1) A 2-D finite element method is adopted to subdivide a triangular lattice by adding two diagonal lines in the rectangular lattice, and at the same time to eliminate unknown variables to be calculated at the central node of the rectangular lattice by using the Gauss elimination. Therefore, this method can be used not only to simulate accurately any complex 2-D geoelectric section, but also to save the calculation load. (2) A new algorithm for the computation of the secondary field is directly employed to compute only a primary field of the two components of electric and magnetic fields along the geoelectric structure. Such a method is advantageous not only in the relatively high computation precision, but also in the absence of much increase in calculation load. (3) The new G-S transformation method is used to make the inverse Laplace transformation, and, at the same time, the delay theorem of the Laplace transformation is used to calculate the interpolation at the intervals of the multiplication time, resulting in the rapid calculation of the transient electromagnetic responses to the dense samples. (4) This algorithm can be used to compute the transient electromagnetic response to the polarizable and conductive earth (including the IP and EM effects).
-
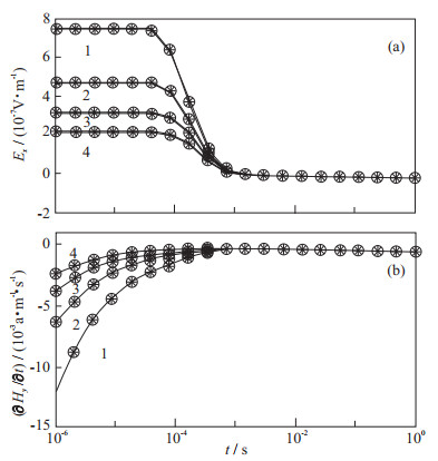
图 5 可极化与无极化二维直立板状体有限单元算法结果对比
*.板状体可极化; ○.板状体无板化; 板状体几何参数同图 4, 围岩ρ=100Ωm, 板状体ρ1=10Ωm, 极化率m=0.25;时间常数τ=1 s, 频率相关系数c=0.5.1. TR=400 m; 2. TR=500 m; 3.TR=600 m; 4.TR=700 m
Fig. 5. Comparison between the finite-element solution and the integral-equation solution for a 2-D vertical plate with polarization
-
[1] Newman G A, Hohmann G W. Transient electromagnetic responses of high-contrast prisms in a layered earth[J]. Geophysics, 1988, 53: 691~706. doi: 10.1190/1.1442503 [2] Everett M E, Edwards R N. Transient marine electromagnetics: the 2.5-D forward problem[J]. Geophys J Int, 1993, 113: 545~561. doi: 10.1111/j.1365-246X.1993.tb04651.x [3] Yu L M. Computation of the electrical responses of mid-ocean ridged structures[D]. Toronto: University of Toronto, 1994. [4] 孟永良, 罗延钟. 电偶源CSAMT法二维正演的有限单元算法[A]. 见: 罗延钟, 编. 勘查地球物理勘查地球化学文集, 第20集[C]. 北京: 地质出版社, 1996. 103~114. [5] 罗延钟, 张桂青. 电子计算机在电法勘探中的应用[M]. 武汉: 武汉地质学院出版社, 1987. [6] Unsworth M J, Traves B J, Chave A D. Electromagnetic induction by a finite electric dipole source over a 2-D earth[J]. Geophysics, 1993, 58: 198~214. doi: 10.1190/1.1443406 [7] Knight J H, Raich A P. Transient electro-magnetic calculations using the Gaver-Stehfest inverse Laplace transform method[J]. Geophysics, 1982, 47(1): 224~228. [8] 罗延钟, 昌彦君, 张桂青. 层状可极化大地上偶极-偶极装置瞬变电场的异常性态[A]. 见: 叶笃正, 编. 赵九章纪念文集[C]. 北京: 科学出版社, 1997. 400~406. [9] Pelton W H, Ward S H, Hallof P G, et al. Mineral discrimination and removal of inductive coupling with multifrequency IP[J]. Geophysics, 1978, 43: 588. doi: 10.1190/1.1440839 -




下载: