DISTRIBUTED MULTIGRID COMPUTATION WITH DOMAIN DECOMPOSITION
-
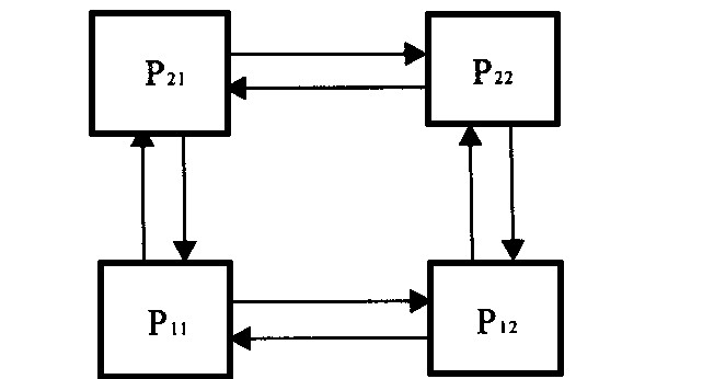
摘要: 对分布式多重网格计算进行了研究.其顺序算法描述的是非递归形式, 算法并行化是基于区域分裂实现的.网状拓扑结构组织在多处理机上, 并行算法映射到多进程上, 在一定程度上显著提高并行化速度和并行化效率Abstract: This paper presents the distributed multigrid computation. The sequential algorithm is expressed in a non recursive form. The parallel algorithm is achieved based on domain decomposition. Mesh topology architectures are organized with multiple transputers. Parallel algorithms are mapped onto processes, increasing markedly, to some extent, the speed and efficiency of parallelization.
-
Key words:
- distribution /
- multigrid computation /
- mesh topology architectures /
- parallelization
-
表 1 执行时间
Table 1. Executive time
-
[1] McCormick S F. Mult-igrid methods[M]. SIAM: Philadelphia, 1987. [2] Hackbusch W. Multigrid algorithms. Introduction, survey and convergence analysis[A]. In: Spedicato E, ed. Computer algorithms for solving linear algebraic equations[C]. The State of the Art: Springer-Verlag, 1990.133160. [3] Xu Z Q. Distributing mult-igrid computation on a message passing system[D]. Wuhan: Huazhong University of Science and Technology, 1993. [4] Xu Z Q, Libert G. Non-recursive multigrid computation on transputers[A]. In: Veronis A M, Paker Y, eds. Transputer research and applications 5[C]. Amsterdam: IOS Press, 1992.302309. -




下载: