Natural Radioactivity Logs and Interpretation from the CCSD Main Hole
-
摘要: 为了认识江苏东海超高压变质带上地壳岩石自然放射性的垂向分布特征, 榴辉岩退变质程度对放射性元素浓度的影响, 以及放射性产热率对地温梯度的影响, 利用中国大陆科学钻探(CCSD) 主孔100~5000m自然放射性测井(自然伽马和自然伽马能谱) 资料统计了CCSD主孔各类岩石的自然放射性强度和铀、钍、钾元素的浓度, 计算出产热率曲线.自然伽马, 铀、钍、钾浓度和产热率从蛇纹岩到榴辉岩、角闪岩、副片麻岩、正片麻岩依次增大.随着榴辉岩退变质程度的增强, 其铀、钍、钾元素的浓度值逐渐增大.CCSD主孔自然放射性的垂向分布特征主要受岩性控制, 自然放射性随深度增加有增强趋势.产热率与自然伽马测井值之间有很好的线性关系, 在高放射性岩层的上部, 地温梯度会出现较强扰动和低值异常.
-
关键词:
- 中国大陆科学钻探主孔 /
- 超高压变质岩 /
- 自然放射性测井 /
- 产热率
Abstract: In order to understand the vertical distribution of natural radioactivity of the upper crust of the ultra-high pressure (UHP) metamorphic belt in Donghai County, Jiangsu province, as well as the influence of the retrogression intensity of eclogite on the concentration of radioelement, and the influence of radiogenic heat production rate on the geothermal gradient, the natural radioactivity logs (gamma ray and gamma spectrometry logs) from the main hole of the Chinese Continental Scientific Drilling (CCSD) were utilized to obtain the natural gamma intensity and the concentration of U, Th and K of main lithologies and the heat production rate log. The natural gamma intensity and concentration of U, Th and K gradually increase from serpentine to eclogite, amphibolite, paragneiss, and orthogneiss. With the strengthening of the retrogression of eclogite, the concentration of U, Th and K of eclogite increase. This indicates that some exotic fluids with U, Th and K elements join in the retrograde metamorphism. The vertical distribution of the natural gamma intensity and concentration of U, Th and K is dominated mainly by lithology. The natural gamma intensity approximately increases with the depth. The heat production rate and the natural gamma log have a good linear relationship. The formation with high radioactivity could cause disturbance and low anomalies on geothermal gradient on its upper formation. -
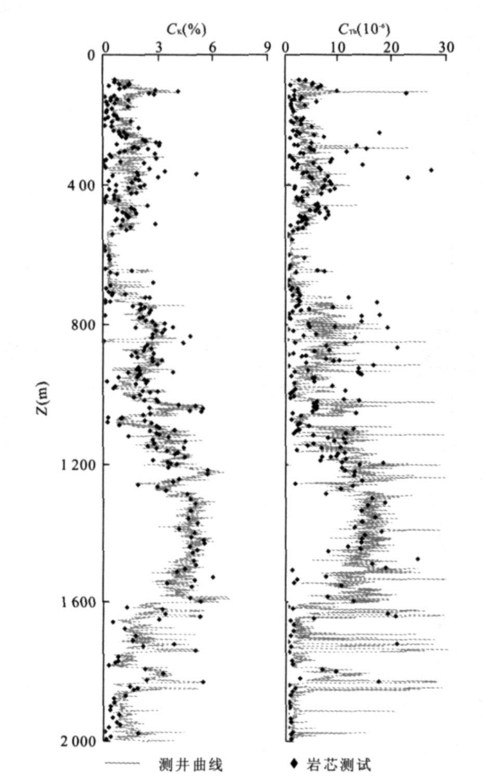
图 2 CCSD主孔100~2 000 m的测井和岩心样品CK, CTh测量结果的对比(岩心测试数据引自曾令森等, 2005)
Fig. 2. Curves showing the contrast of CKand CThfrom well logs and core test in 100~2 000 m interval of CCSD main hole
图 4 超高压榴辉岩退变质过程的P-T轨迹及其CU, CTh, CK的变化(图(a) 引自张泽明等(2005))
M.角闪岩; EA.绿帘角闪岩相; EC.榴辉岩相; GR.麻粒岩相; GS.绿片岩相; BS.蓝闪片岩相; P.葡萄石相; PA.绿纤石阳起石相; PP.葡萄石阳起石相; Qtz.石英; Coe.柯石英; Pg.钠云母; Omp.绿辉石; Ky.蓝晶石; W.水; Gr.石墨; Dia.金刚石; FR.新鲜榴辉岩; WM.弱至中等退变质榴辉岩; SR.强退变质榴辉岩; TR.完全退变质榴辉岩
Fig. 4. P-T path and variation of CU, CTh, CK of ultra-high pressure eclogite
图 5 CCSD主孔A、T、G与λc的分布(地温、地温梯度与热导率资料来源于何丽娟等(2006))
Fig. 5. The distribution of heat ptoduction rate, temperature, thermal gradient and thermal conductivity in CCSD main hole
表 1 CCSD主孔UHP变质岩γt、CK、CU、CTh的统计结果
Table 1. Statistics data of γt、CK、CU、CTh of UHP rocks in CCSD main hole
表 2 不同退变质程度榴辉岩的γt、CU、CK、CTh的统计结果
Table 2. Statistics data of γt、CU、CK、CTh of eclogites of different retrogressions
表 3 CCSD主孔UHP变质岩的密度和生热率
Table 3. Density and heat production rate of UHP metamorphic rocks in CCSD main hole
-
Bücker, C., Rybach, L., 1996. Asi mple method to determineheat production from gamma-ray logs. Marine and Petroleum Geology, 13 (4): 373-375. doi: 10.1016/0264-8172(95)00089-5 Chen, S. Z., Yang, J. S., Xu, Z. Q., et al., 2006. Transformation of chromiumspinel and garnet: Evidence of CCSD-PP3ultramafic rocks processed UHP metamorphism. Earth Science—Journal of China University of Geosciences, 31 (4): 475-487 (in Chinese with English abstract). Chi, Q. H., Yan, M. C., 1998. Radioactive elements of rocksin North China platform and the thermal structure andtemperature distribution of the modern continental lithosphere. Acta Geophysics Sinica, 41 (1): 38-48 (in Chinese with English abstract). Chiozzi, P., Pasquale, V., Verdoya, M., 1998. Ground radiometric survey of U, Th and K on the Lipari Island, Italy. Journal of Applied Geophysics, 38 (3): 209-217. doi: 10.1016/S0926-9851(97)00035-9 Cong, B. L., Wang, Q. L., Zhai, M. G., et al., 1994. UHPmetamorphic rocks in the Dabie-Sulu region, China: Their formation and exhumation. Island Arc, 3: 135-150. doi: 10.1111/j.1440-1738.1994.tb00103.x Hawkesworth, C. I., 1974. Vertical distribution of heat production in the basement of the eastern Alps. Nature, 249: 435-436. doi: 10.1038/249435a0 He, L. J., Hu, S. B., Yang, W. C., et al., 2006. Temperature measurement in the main hole of the Chinese Continental Scientific Drilling. Chinese Journal of Geophysics, 2006, 49 (3): 745-752 (in Chinese with English ab-stract). Liu, F. L., Xu, Z. Q., Xue, H. M., et al., 2005a. Ultrahigh-pressure mineral inclusions preserved in zircons separated fromeclogite and its country-rocks in the main drillhole of Chinese Continental Scientific Drilling project (0-4500m). Acta Petrologica Sinica, 21 (2): 277-292 (in Chinese with English abstract). Liu, F. L., Xu, Z. Q., Yang, J. S., et al., 2005b. Geochemical characteristics and genetic mechanism of orthgneiss and paragneiss in the depth intervals of 2000-3000m from main drill hole of Chinese Continental Scientific Drilling project. Acta Petrologica Sinica, 21 (2): 305-324 (in Chinese with English abstract). Liu, S. B., 2005. Geothermal resources and its exploitation and reserve. Chemistry Industry Press, Beijing, 82-87 (in Chinese). Niu, Y. X., Pan, H. P., Wang, W. X., et al., 2004. Geophysical well logging in main hole (0-2000m) of Chinese Continental Scientific Drilling. Acta Petrologica Sinica, 20 (1): 165-178 (in Chinese with English abstract). Ou, X. G., Jin, Z. M., Wang, L., et al., 2004. Thermal conductivity and its anisotropy of rocks fromthe depth of 100-2000m main hole of Chinese Continental Scientific Drilling: Revelations to the study on thermal structure of subduction zone. Acta Petrologica Sinica, 20 (1): 109-118 (in Chinese with English abstract). Pan, H. P., Niu, Y. X., Wang, W. X., et al., 2005. The application of radioactive logging in CCSD main hole. EarthScience—Journal of China University of Geosciences, 30 (Suppl. ): 49-56 (in Chinese with English ab-stract). Rybach, L., 1988. Determination of heat production rate. In: Haenel, R., Rybach, L., Stegena, L., eds., Handbookof terrestrial heat-flow density determination. KluwerAcademic Publishers, Dordrecht. Sawka, W. N., Chappell, B. W., 1988. Fractionation of uranium, thorium and rare earth elements in a vertically zoned granodiorite: Implications for heat production in the Sierra Nevada batholith, California, U. S. A. . Geochimica et Cosmochimica Acta, 52 (5): 1131-1143. doi: 10.1016/0016-7037(88)90267-0 Tilling, R. I., Gottfried, D., Dodge, F. C. W., 1970. Radio-genic heat production of contrasting magma series: Bearing oninterpretation of heat flow. Geol. Soc. Amer. Bull. , 81: 1447-1462. doi: 10.1130/0016-7606(1970)81[1447:RHPOCM]2.0.CO;2 Wei, Z. L., Zou, C. C., 2005. Geophysical well logging. Geological Publishing House, Beijing, 78-87 (in Chinese). Xu, H. J., Jin, Z. M., Ou, X. G., et al., 2004. Effects of ret-rogression of ultrahigh-pressure eclogites on magnetic susceptibility and anisotropy. Earth Science—Journal of China University of Geosciences, 29 (6): 674-684 (in Chinese with English abstract). Xu, Z. Q., 2004. The scientific goals and investigation progresses of the Chinese Continental Scientific Drilling project. Acta Petrologica Sinica, 20 (1): 1-8 (in Chinese with English abstract). Xu, Z. Q., Qi, X. X., Yang, J. S., et al., 2006. Deep subduction erosion model for continent-continent collision ofthe sulu HP-UHP metamorphic terrain. Earth Science—Journal of China University of Geosciences, 31 (4): 427-436 (in Chinese with English abstract). Xu, Z. Q., Zhang, Z. M., Liu, F. L., et al., 2004. The structure profile of 0-1200min the main borehole, Chinese Continental Scientific Drilling and its preliminary deformation analysis. Acta Petrologica Sinica, 20 (1): 53-72 (in Chinese with English abstract). Xue, H. M., Liu, F. L., 2005. Geochemical characteristicsand genesis of plagiogneiss from the 0-2000m mainhole of the Chinese Continental Scientific Drilling project. Acta Petrologica Sinica, 21 (2): 355-368 (in Chinese with English abstract). Yang, W. C., Yang, W. Y., Jin, Z. M., et al., 2004. Lithospheric seismic fabrics of Sulu ultrahigh-pressure meta-morphic belt. Science in China (Ser. D), 34 (4): 307-319. Yang, W. C., Liu, G. L., Yang, K., et al., 2006. All-laid-outthree-dimensional seismic survey at the Chinese Continental Scientific Drilling site. Chinese Journal of Geophysics, 49 (3): 735-744 (in Chinese with English ab-stract). Yang, X. S., Jin, Z. M., 1998. The significance of the studieson petrophysical property measurements in continental scientific drilling. Earth Science Frontiers, 5 (4): 338-346 (in Chinese with English abstract). You, Z. D., Su, S. G., Liang, F. H., et al., 2005. The meta-morphic evolution of the eclogitic rocks in the main holeof the Chinese Continental Scientific Drilling Project: An elucidation on the uplift processes of the ultrahigh-pressure metamorphic terrane. Acta Petrologica Sinica, 21 (2): 381-388 (in Chinese with English ab-stract). Zeng, L. S., Liu, F. L., Zhang, Z. M., et al., 2005. Vertical distribution characteristics and origin of radiogenic heat-producing elements (HPE) in the first2000m of themain hole of the CCSD Project. Geology in China, 32 (2): 230-238 (in Chinese with English abstract). Zhang, Z. M., Xu, Z. Q., Liu, F. L., et al., 2004. Geochemistry of eclogites fromthe main hole (100-2050m) ofthe Chinese Continental Scientific Drilling Project. Acta Petrologica Sinica, 20 (1): 27-42 (in Chinese with English abstract). Zhang, Z. M., Zhang, J. F., You, Z. D., et al., 2005. Ultra-high-pressure metamorphic P-T-t path of the Sulu orogenic belt, easter central China. Acta Petrologica Sinica, 21 (2): 257-270 (in Chinese with English ab-stract). Zhao, Z. F., Zheng, Y. F., Chen, B., et al., 2005. Ageochemical study of element and Sr-Nd isotopes for eclogite andgneiss from CCSD core 734 to 933 m. Acta Petrologica Sinica, 21 (2): 325-338 (in Chinese with English ab-stract). 陈世忠, 杨经绥, 许志琴, 等, 2006. 铬尖晶石和石榴石的相变: 大陆科学钻探CCSD-PP3孔超镁铁岩超高压变质作用的证据. 地球科学——中国地质大学学报, 31 (4): 475-487. https://www.cnki.com.cn/Article/CJFDTOTAL-DQKX200604003.htm 迟清华, 鄢明才, 1998. 华北地台岩石放射性元素与现代大陆岩石圈热结构和温度分布. 地球物理学报, 41 (1): 38-48. doi: 10.3321/j.issn:0001-5733.1998.01.005 何丽娟, 胡圣标, 杨文采, 等, 2006. 中国大陆科学钻探主孔动态地温测量. 地球物理学报, 49 (3): 745-752. doi: 10.3321/j.issn:0001-5733.2006.03.018 刘福来, 许志琴, 薛怀民, 等, 2005a, 中国大陆科学钻探主孔0-4500m变质岩石锆石中保存的超高压矿物包体. 岩石学报, 21 (2): 277-292. 刘福来, 许志琴, 杨经绥, 等, 2005b. 中国大陆科学钻探工程主孔2000-3000m正、副片麻岩的地球化学性质及其成因机制. 岩石学报, 21 (2): 305-324. https://www.cnki.com.cn/Article/CJFDTOTAL-YSXB200502005.htm 刘时彬, 2005. 地热资源及其开发利用和保护. 北京: 化学工业出版社, 82-87. 牛一雄, 潘和平, 王文先, 等, 2004. 中国大陆科学钻探主孔(0-2000m) 地球物理测井. 岩石学报, 20 (1): 165-178. https://www.cnki.com.cn/Article/CJFDTOTAL-YSXB200401014.htm 欧新功, 金振民, 王璐, 等, 2004. 中国大陆科学钻探主孔100-2000m岩石热导率及其各向异性: 对研究俯冲带热结构的启示. 岩石学报, 20 (1): 109-118. https://www.cnki.com.cn/Article/CJFDTOTAL-YSXB200401008.htm 潘和平, 牛一雄, 王文先, 等, 2005. 放射性测井在中国大陆科学钻探中的应用. 地球科学——中国地质大学学报, 30 (Suppl. ): 49-56. 尉中良, 邹长春, 2005. 地球物理测井. 北京: 地质出版社, 78-87. 徐海军, 金振民, 欧新功, 等, 2004. 超高压榴辉岩退变质作用对岩石磁化率的影响. 地球科学——中国地质大学学报, 29 (6): 674-684. https://www.cnki.com.cn/Article/CJFDTOTAL-DQKX200406005.htm 许志琴, 2004. 中国大陆科学钻探工程的科学目标及初步成果. 岩石学报, 20 (1): 1-8. https://www.cnki.com.cn/Article/CJFDTOTAL-YSXB200401000.htm 许志琴, 戚学祥, 杨经绥, 等, 2006. 苏鲁高压-超高压变质地体的陆—陆碰撞深俯冲剥蚀模式. 地球科学——中国地质大学学报, 31 (4): 427-436. https://www.cnki.com.cn/Article/CJFDTOTAL-DQKX200604000.htm 许志琴, 张泽民, 刘福来, 等, 2004. 中国大陆科学钻探主孔1200m构造柱及变形构造初步解析. 岩石学报, 20 (1): 53-72. https://www.cnki.com.cn/Article/CJFDTOTAL-YSXB200401004.htm 薛怀民, 刘福来, 2005. 中国大陆科学钻探工程主孔0-2000m斜长片麻岩的地球化学性质及成因研究. 岩石学报, 21 (2): 355-368. https://www.cnki.com.cn/Article/CJFDTOTAL-YSXB200502009.htm 杨文采, 刘光林, 杨锴, 等, 2006. 中国大陆科学钻探孔区全观式三维地震采集. 地球物理学报, 49 (3): 735-744. doi: 10.3321/j.issn:0001-5733.2006.03.017 杨晓松, 金振民, 1998. 大陆科学钻探中岩石物理性质研究的意义. 地学前缘, 5 (4): 338-346. doi: 10.3321/j.issn:1005-2321.1998.04.017 游振东, 苏尚国, 梁凤华, 等, 2005. 中国大陆科学钻探主孔榴辉岩类岩石退变质过程——对超高压变质地体隆升的启示. 岩石学报, 21 (2): 381-388. https://www.cnki.com.cn/Article/CJFDTOTAL-YSXB200502011.htm 曾令森, 刘福来, 张泽明, 等, 2005. 中国大陆科学钻探工程主孔100-2000m放射性产热元素的垂向分布特征及其成因. 中国地质, 32 (2): 230-238. doi: 10.3969/j.issn.1000-3657.2005.02.006 赵子福, 郑永飞, 陈斌, 等, 2005. 中国大陆科学钻探工程主孔(734-933) m榴辉岩和片麻岩元素及Sr-Nd同位素地球化学研究. 岩石学报, 21 (2): 325-338. https://www.cnki.com.cn/Article/CJFDTOTAL-YSXB200502006.htm 张泽明, 张金凤, 游振东, 等, 2005. 苏鲁造山带超高压变质作用及其P-T-t轨迹. 岩石学报, 21 (2): 257-270. https://www.cnki.com.cn/Article/CJFDTOTAL-YSXB200502001.htm 张泽明, 许志琴, 刘福来, 等, 2004. 中国大陆科学钻探工程主孔(100-2050m) 榴辉岩岩石化学研究. 岩石学报, 20 (1): 27-42. https://www.cnki.com.cn/Article/CJFDTOTAL-YSXB200401002.htm -




下载: