Geochemistry of Cretaceous Volcanic Rocks of Duoni Formation in Northern Lhasa Block: Discussion of Tectonic Setting
- 
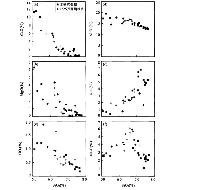
					    摘要: 拉萨地块上广泛分布有中生代的岩浆活动, 研究它们对于认识特提斯构造域的演化和理解整个青藏高原的形成过程有着重要的启示.对出露于拉萨地块北部的白垩纪多尼组火山岩进行了系统的年代学以及元素地球化学研究, 达过和马跃乡地区的多尼组火山岩主体为酸性岩, 包括少量的玄武岩和玄武安山岩(中基性岩).火山岩的地球化学组成表明多尼组中基性岩具有高的Cr (平均为184×10-6) 和Ni (平均为43×10-6), 富集强不相容性元素Rb、Th、U, 而亏损Nb、Ta、Ti的特点, 显示明显的弧火山岩成分特征, 可能来源于具有较厚陆壳背境下的大陆边缘地幔楔的部分熔融; 而酸性岩具有相对高的SiO2、K2O、K2O/Na2O以及低的Mg# (最大值为32.4), 富集大离子亲石元素Rb、Ba以及Th、U、LREE等, 具有很高的Rb/Sr (1.06~4.47, 平均为2.73), 并且与拉萨地块南部林子宗群酸性火山岩具有非常相似的蛛网图曲线, 表明多尼组酸性岩与中基性岩可能来自不同的岩浆源区, 前者很可能来源于上覆地壳的部分熔融.通过对两个酸性岩样品中锆石的U-PbLA-ICPMS定年, 分别获得了116±1Ma和115±1Ma的年龄值, 显示多尼组火山岩形成于早白垩世中期.该地区多尼组火山岩形成的构造环境仍然存在两种可能性, 其一是新特提斯班公湖-怒江洋岩石圈向南俯冲导致了该火山岩的产生; 其二可能是早白垩世该地段的构造伸展作用导致加厚地壳的广泛部分熔融形成酸性火山岩, 并伴随陆下地幔的熔融事件产生的少量中基性火山岩.Abstract: It can better understand the geological evolution of the Tethys and construction of the whole Tibet plateau through studying Mesozoic volcanic rocks widely exposed in Lhasa block.In present study, we report new major trace of elemental compositions and zircon U-Pb dating results of the Duoni Formation volcanic rocks in north Lhasa block.Duoni Formation volcanic rocks in Daguo and Mayuexiang areas mainly contain acid rocks and a few basalts, andesitic-basalts (intermediate-basic group).The intermediate-basic rocks with high Cr (184×10-6 in average) and Ni (43×10-6 in average), showing geochemical characteristics similar to the volcanic rocks that in arcs or active continental margins, such as LILE's enrichment and HFSE's depletion, which thought to be the melting products of continental marginal mantle wedge below a thickened crust due to southward subduction of the Bangongco-Nujiang ocean.The acid rocks have relatively high SiO2, K2O, K2O/Na2O and very low Mg# (the maxim is 32.4), enrich in Rb, Ba, Th, U and LREE, high Rb/Sr (1.06-4.47, the average is 2.73), and have spidergram patterns similar to the acid rocks of the Linzizong Group derived from a crust source.Thus, the acid rocks in Duoni Formation were came from a magmatic source different from those of the intermediate-basic rocks.Zircons from two acid rocks in Duoni Formation were dated by LA-ICPMS, obtaining age of 116±1Ma and 115±1Ma, respectively.We suggest that there are probably two possibilities for the formation tectonic setting of Duoni Formation: the southward subduction of the Bangongco-Nujiang ocean, or the tectonic extension in Early-Cretaceous in the Lhasa terrane.- 
									Key words:
									
- Lhasa block /
- Duoni Formation /
- Early Cretaceous /
- Bangongco-Nujiang Ocean /
- geochemistry
 
- 
						
    
图 1 西藏南部冈底斯带晚侏罗世一早白垩世火山岩分布(据朱弟成等, 2006修改) SMLMF.沙莫勒一麦拉一洛巴堆一米拉山断裂; GLZCF.噶尔一隆格尔一扎日南木错一措麦断裂带; DMDF.达瓦错一马尔下一德庆断裂; SYNJF.狮泉河一永珠一纳木错一嘉黎断裂; BNS.班公湖一怒江缝合带; IYZS.印度河一雅鲁藏布江缝合带 Fig. 1. Distribution of the Late Jurassic-Early Cretaceous volcanic rocks on Gangdese, South Tibet 图 5 多尼组火山岩TAS分类图解(林子宗群火山岩数据来源于Mo et al. (2007, 2008) Fig. 5. TAS diagram of volcanic rocks in Duoni Formation 图 6 多尼组火山岩的SiO2-K2O判别图解(a) 和Na2O-K2O判别图解(b) (数据来源同图 5) Fig. 6. Diagrams of SiO2 vs K2O (a) and Na2O vs K2O (b) of volcanic rocks in Duoni Formation 图 9 多尼组中基性(a)和酸性(b)火山岩原始地幔标准化微量元素蛛网图 新西兰Fgmont火山岩数据来源于Price et al., 1999; 阿根廷LJullallaco-Corrida de Cori area火山岩来源于Richards and Villeneuve(2002); 则弄群数据来源于康志强等, 2008; 林子宗火山岩数据来源于Mo et al. (2007, 2008) Fig. 9. Primitive mantle-normalized spidergrams for intermediate-basic (a) and acid (b) volcanic rocks of Duoni Formation respetively 图 10 多尼组基性火山岩的Th-Ta-Hf(a)(则弄群数据来源同图 9)和判别图解Th/Yb-Nb/Yb(b)(据Pearce and Peate(1995), 则弄群数据来源于朱弟成等, 2006) Fig. 10. Th-Ta-Hf (a) and Th/Yb vs Nb/Yb(b) diagrams for mafic lavas of the volcanic rocks in Duoni Formation 表 1 样品06DN04锆石LA-ICP-MS测年结果 Table 1. LA-ICPMS dating data of zircons in sample 06DNO4   表 2 样品06DN14锆石LA-ICP-MS测年结果 Table 2. LA-ICP-MS dating data of zircons in sample 06DN14   表 3 多尼组火山岩的主量(%).微量元素(10-6)分析测试结果 Table 3. Composition of major (%) and trace elements (10-6) for volcanic rocks of Duoni Formation   表 4 多尼组中基性火山岩与其他地区中基性火山岩在微量元素(10-6) 的对比 Table 4. Comparison between trace elements (10-6) of basic volcanic rocks from Duoni Formation and from some else areas   
- 
						Andersen, T., 2002. Correction of common lead in U-Pb analyses that do not report 204Pb. Chem. Geol. , 192: 59-79. doi: 10.1016/S0009-2541(02)00195-X Bacon, C. R., Druitt, T. H., 1988. Compositional evolution of the zoned calcalkaline magma chamber of mount Mazama, Crater Lake, Oregon. Contribution to Mineralogy and Petrology, 98: 224-256. doi: 10.1007/BF00402114 Baker, M. B., Hischmann, M. M., Ghiorso, M. S., et al., 1995. Compositions of near-solidus predictive melts from experiments and thermodynamic calculations. Natrue, 375: 308-311. doi: 10.1038/375308a0 Chang, C. F., Zheng, X. L., 1973. Geological structure of Qomolangma Mountains in Tibetan Plateau. Science in China (Ser. D), 2: 190-210 (in Chinese). Condie, K. C., 1973. Archean magmatism and crustal thickening. Geological Society America Bulletin, 84 (9): 2981-2991. doi: 10.1130/0016-7606(1973)84<2981:AMACT>2.0.CO;2 Condie, K. C., 2001. Mantle plume and their record in earth history. Cambridge University Press, London. Coulon, C., Maluski, H., Bollinger, C., et al., 1986. Mesozoic and Cenozoic volcanic rocks from central and southern Tibet: 39Ar/40Ar dating, petrological characteristics and geodynamical significance. Earth and Planetary Science Letters, 79: 281-302. doi: 10.1016/0012-821X(86)90186-X Davidson, J. P., De Silva, S. L., 1995. Late Cenozoic magmatism of the Bolivian Altiplano. Contrib. Mineral. Petrol., 119 (4): 387-408. doi: 10.1007/BF00286937 DeCelles, P. G., Kapp, P., Ding, L., et al., 2007. Late Cretaceous to Middle Tertiary basin evolution in the Central Tibet Plateau: Changing environments in response to tectonic partitioning, aridification, and regional elevation gain. GSA Bulletin, 119 (5-6): 654-680. doi: 10.1130/B26074.1 Ding, L., Kapp, P., Yin, A., et al., 2003. Early Tertiary volcanism in the Qiangtang terrane of central Tibet: Evidence for a transition from oceanic to continental subduction. Journal of Petrology, 44: 1833-1865. doi: 10.1093/petrology/egg061 Ding, L., Lai, Q. Z., 2003. New geological evidence of crustal thickening in the Gangdese block prior to the Indo-Asian collision. Chinese Science Bulletin, 48 (15): 1604-1610. doi: 10.1007/BF03183969 Dong, Y. H., Xu, J. F., Zeng, Q. G., et al., 2006. Is there a Neo-Tethys' subduction record earlier than arc volcanic rocks in the Sangri Group? Acta Petrologica Sinica, 22 (3): 661-668 (in Chinese with English abstract). England, P., Houseman, G., 1986. Finite strain calculations of continental deformation: 2, comparison with the Indo-Asian collision zone. J. Geol. Res. , 91: 3664-3676. doi: 10.1029/JB091iB03p03664 Gao, S., Liu, X. M., Yuan, H. L., et al., 2002. Determination of forty-two major and trace elements in USGS and NIST SRM glasses by laser-ablation inductively coupled plasma-mass spectrometry. Geostand. Newsl., 26: 181-195. doi: 10.1111/j.1751-908X.2002.tb00886.x Guffanti, M., Clynne, M. A., Muffler, L. J. P., 1996. Thermal and mass implications of magmatic evolution in the Lassen volcanic region, California, and constraints on basalt influx to the lower crust. Journal of Geophysical Research, 101 (B2): 3003-3013. doi: 10.1029/95JB03463 Harris, N. B. W., Inger, S., Xu, R. H., 1990. Cretaceous plutonism in Central Tibet: An example of post-collision magmatism? Journal of Volcanology and Geothermal Research, 44: 21-32, doi: 10.1016/0377-0273(90)90009-5. Harris, N. B. W., Xu, R. H., Lewis, C. L., et al., 1988. Isotope geochemistry of the 1985 Tibet Geotraverse, Lhasa to Golmud: Philosophical transactions of the royal society of London. Series A: Mathematical and Physical Sciences, 327: 263-285. He, Z. H., Yang, D. M., Wang, T. W., 2006. The determination of early Cretaceous post-collision granitoids in Sangba Erea of Gangdese tectonic belt and its tectonic significance. Acta Petrologica et Mineralogica, 25 (3): 185-193 (in Chinese with English abstract). He, Z. H., Yang, D. M., Zheng, C. Q., et al., 2005. Geochemistry of the Indosinian granitoids in the Mamba area Gangdise belt, Tibet and its tectonic significance. Geological Bulletin of China, 24 (4): 354-359 (in Chinese with English abstract). Hsü, K. J., Pan, G. T., Sengör, A. M. C., 1995. Tectonic evolution of the Tibetan Plateau: A working hypothesis based on the archipelago model of orogenesis. International Geology Review, 37 (6): 473-508. doi: 10.1080/00206819509465414 Ingle, S., Weis, D., Frey, F. A., 2002. Indian continental crust recovered from Elan Bank, Kerguelen Plateau (ODP Leg 183, Site 1137). Journal of Petrology, 43 (7): 1241-1257. doi: 10.1093/petrology/43.7.1241 Kang, Z. Q., Xu, J. F., Dong, Y. H., et al., 2008. Cretaceous volcanic rocks of Zenong Group in north-middle Lhasa block: Products of southward subducting of the Slainajap ocean? Acta Petrologica Sinica, 24 (2): 3-14 (in Chinese with English abstract). Kapp, P., DeCelles, P. G., Gehrels, G. E., et al., 2007. Geological records of the Lhasa-Qiangtang and India-Asian collisions in the Nima area of Central Tibet. The Geological Society of America Bulletin, 119 (7-8): 917-933. doi: 10.1130/B26033.1 Kapp, P., Murphy, M. A., Yin, A., et al., 2003. Mesozoic and Cenozoic tectonic evolution of the Shiquanhe area of western Tibet. Tectonics, 22 (4): 1029, doi: 10.1029/2001TC001332. Kapp, P., Yin, A., Harrison, T. M., et al., 2005. Cretaceous-Tertiary shortening, basin development, and volcanism in Central Tibet. GS A Bulletin, 117 (7-8): 865-878. Kay, S. M., Mpodozis, C., Ramos, V. A., et al., 1991. Magma source variations for Mid-Late Tertiary magmatic rocks associated with a shallowing subduction zone and a thickening crust in the Central Andes (28° to 33°S). In: Harmon, R. S., Rapela, C. W., eds., Andean magmatism and its tectonic setting. Geol. Soc. Am. Spec. Pap., 265: 113-137. Leier, A. L., DeCelles, P. G., Kapp, P., et al., 2007. Lower Cretaceous strata in the Lhasa terrane, Tibet, with implications for understanding the early tectonic history of the Tibetan Plateau. Journal of Sedimentary Research, 77 (10): 809-825. doi: 10.2110/jsr.2007.078 Li, C., Wang, T. W., Li, H. M., et al., 2003. Discovery of Indosinian megaporphyritic granodiorite in the Gangdise area: Evidence for the existence of Paleo-Gangdise. Geological Bulletin of China, 22 (5): 364-366 (in Chinese with English abstract). Li, P., 1955. Elementary understanding of geology in the south of Tibet. Scientific Bulletin, 23-30 (in Chinese). Liao, Z. L., Mo, X. X., Pan, G. T., et al., 2006. On peraluminous granites in Tibet, China. Geological Bulletin of China, 25 (7): 812-821 (in Chinese with English abstract). Liu, Y., Liu, H. C., Li, X. H., 1996. Simultaneous and precise determination of 40 trace elements in rock samples using ICP-MS. Geochimica, 25 (6): 552-558 (in Chinese with English abstract). Ludwig, K. R., 1991. ISOPLOT: A plotting and regression program for radiogenic-isotope data. U. S. Geological Survey Open-file Report, 39: 91-445. Mo, X. X., Dong, G. C., Zhao, Z. D., et al., 2005. Spatial and temporal distribution and characteristics of granitoids in the Gangdese, Tibet and implication for crustal growth and evolution. Geological Journal of China Universities, 11 (3): 281-290 (in Chinese with English abstract). Mo, X. X., Niu, Y. L., Dong, G. C., et al., 2008. Contribution of syncollisional felsic magmatism to continental crust growth: A case study of the Paleogene Linzizong volcanic succession in southern Tibet. Chemical Geology, 250 (1-4): 49-67. doi: 10.1016/j.chemgeo.2008.02.003 Mo, X. X., Hou, Z. Q., Niu, Y. L., et al., 2007. Mantle contributions to crustal thickening during continental collision: Evidence from Cenozoic igneous rocks in southern Tibet. Lithos, 96 (1-2): 225-242. doi: 10.1016/j.lithos.2006.10.005 Mo, X. X., Zhao, Z. D., Deng, J. F., et al., 2003. Response of volcanism to the India-Asia collision. Earth Science Frontiers, 10 (3): 135-148 (in Chinese with English abstract). Murphy, M. A., Yin, A., Harrison, T. M., et al., 1997. Did the Indo-Asian collision alone create the Tibetan Plateau? Geology, 25 (8): 719-722. doi: 10.1130/0091-7613(1997)025<0719:DTIACA>2.3.CO;2 Pan, G. T., Chen, Z. L., Li, X. Z., et al., 1997. Geological-tectonic evolution in the eastern Tethys. Geological Publishing House, Beijing, 1-218 (in Chinese). Pan, G. T., Mo, X. X., Hou, Z. Q., et al., 2006. Spatial-temporal framework of the Gangdese orogenic belt and its evolution. Acta Petrologica Sinica, 22 (3): 521-533 (in Chinese with English abstract). Pan, G. T., Wang, L. Q., Li, X. Z., et al., 2001a. The tectonic framework and spatial allocation of the archipelagic arc-basin systems on the Qinghai-Xizang Plateau. Sedimentary Geology and Tethyan Geology, 21 (3): 1-26 (in Chinese with English abstract). Pan, G. T., Wang, L. Q., Zhu, D. C., 2004. Thoughts on some important scientific problems in regional geological survey of the Qinghai-Tibet Plateau. Geological Bulletin of China, 23 (1): 12-19 (in Chinese with English abstract). Pan, G. T., Xu, Q., Wang, L. Q., 2001b. The frame mechanism of multiple island arc-bain system in Tibetan Plateau. J. Mineral. Petrol., 21 (3): 186-189 (in Chinese with English abstract). Pan, G. T., Zheng, H. X., Xu, Y. R., 1983. A preliminary study on Bangong Co-Nujiang suture. In: Geological memoirs of Qinghai-Xizang Plateau (12) -Geological tectonics of "Sanjiang". Geological Publishing House, Beijing, 229-242 (in Chinese). Pearce, J. A., 1983. Role of the sub-continental lithosphere in magma genesis at active continental margins. In: Hawkesworth, C. J., Norrym, M. J., eds., Continental basalts and mantle xenoliths. Shiva Nantwich, United Kingdom, 230-249. Pearce, J. A., Mei, H. J., 1988. Volcanic rocks of the 1985 Tibet Geotraverse: Lhasa to Golmud. Phi. Trans. Roy. Soc. Lond., A327: 169-201. Pearce, J. A., Peate, D. W., 1995. Tectonic implications of the composition of volcanic arc magmas. Annual Review of Earth and Planetary Sciences, 23: 251-285. doi: 10.1146/annurev.ea.23.050195.001343 Price, R. C., Stewart, R. B., Woodhead, J. D., et al., 1999. Petrogenesis of high-K arc magmas: Evidence from Egmont volcano, North Island, New Zealand. J. Petrol., 40: 167-197. doi: 10.1093/petroj/40.1.167 Qiu, R. Z., Zhou, S., Deng, J. F., et al., 2004. Dating of gabbro in the Shemalagou ophiolite in the western segment of the Bangong Co-Nujiang ophiolite belt, Tibet—With a discussion of the age of the Bangong Co-Nujiang ophiolite belt. Geology in China, 31 (3): 262-268 (in Chinese with English abstract). Ramos, V. A., 1999. Plate tectonic setting of the Andean Cordillera. Episodes, 22 (3): 183-190. doi: 10.18814/epiiugs/1999/v22i3/005 Richards, J. P., Villeneuve, M., 2002. Characteristics of Late Cenozoic volcanism along the Archibarca lineament from Cerro lluaillaco to Corrida de Cori, Northwest Argentina. J. Vocanol. Geotherm. Res., 116: 161-200. doi: 10.1016/S0377-0273(01)00329-8 Roberts, M. P., Clemens, J. D., 1993. Origin of high-potassium calcalkaline I-type granitoids. Geology, 21 (9): 825-828. doi: 10.1130/0091-7613(1993)021<0825:OOHPTA>2.3.CO;2 Rollinson, H. R., 1993. Using geochemical data: Evaluation, presentation, interpretation. Longman Group UK Ltd, New York, 352. Tepper, J. H., Nelson, B. K., Bergantz, G. W., et al., 1993. Petrology of the Chilliwack batholith, North Cascades, Washington: Generation of calc-alkaline granitoids by melting of mafic lower crust with variable water fugacity. Contribution to Mineralogy and Petrology, 113: 333-351. doi: 10.1007/BF00286926 Wang, X. L., Zhou, J., Qiu, J. S., et al., 2006. LA-ICP-MS U-Pb zircon geochronology of the Neoproterozoic igneous rocks from northern Guangxi, South China: Implications for tectonic evolution. Precambrian Res., 145: 111-130. doi: 10.1016/j.precamres.2005.11.014 Wood, D. A., 1980. The application of a Th-Hf-Ta diagram to problems of tectonomagmatic classification and to establishing the nature of crustal contamination of basaltic lavas of the British Tertiary volcanic province. Earth and Planetary Science Letters, 50 (1): 11-30. doi: 10.1016/0012-821X(80)90116-8 Wu, Y. B., Zheng, Y. F., 2004. Genesis of zircon and its constraints on interpretation of U-Pb age. Chinese Science Bulletin, 49 (15): 1554-1569. doi: 10.1007/BF03184122 Xiao, X. C., Li, T. D., 2000. The tectonic evolution and uplift mechanism of the Qinghai-Tibet Plateau. Guangdong Science and Technology Press, Gangzhou, 239-268 (in Chinese). Xu, R. H., Scharer, U., Allègre, C. J., 1985. Magmatism and metamorphism in the Lhasa block (Tibet): A geochronological study. Journal of Geology, 93: 41-57. doi: 10.1086/628918 Yao, P., Li, J. G., Wang, Q. H., et al., 2006. Discovery and geological significance of the adakite in Gangdise island arc belt, Xizang (Tibet). Acta Petrologica Sinica, 22 (3): 612-620 (in Chinese with English abstract). Yin, A., Harrison, T. M., 2000. Geologic evolution of the Himalayan-Tibetan orogen. Annual Review of Earth and Planetary Sciences, 28: 211-280. doi: 10.1146/annurev.earth.28.1.211 Yuan, H. L., Gao, S., Liu, X. M., et al., 2004. Accurate U-Pb age and trace element determinations of zircon by laser-ablation inductively coupled plasma-mass spectrometry. Geostandants Geochem. Res., 28 (3): 353-370. Zhai, Q. G., Li, C., Li, H. M., et al., 2005. U-Pb zircon age of leucogranite in the central Gangdise, Tibet, and its geological significance. Geological Bulletin of China, 24: 349-353 (in Chinese with English abstract). Zhang, K. J., Xia, B. D., Wang, G. M., et al., 2004. Early Cretaceous stratigraphy, depositional environments, sandstone provenance, and tectonic setting of central Tibet, western China. G. S. A. Bulletin, 116 (9-10): 1202-1222. Zheng, C. Z., Qu, Y. G., Zhang, S. Q., et al., 2003. On the lithostratigraphy and sedimentary environment of the Lower Cretaceous Duoni Formation in the Xiongmai and Qusongbo areas, northern Xizang. Geological Review, 49 (6): 638-645 (in Chinese with English abstract). Zhu, D. C., Pan, G. T., Mo, X. X., et al., 2006. Late Jurassic-Early Cretaceous geodynamic setting in middle-northern Gangdese: New insights from volcanic rocks. Acta Petrologica Sinica, 22 (3): 534-546 (in Chinese with English abstract). 常承法, 郑锡澜, 1973. 中国西藏南部珠穆朗玛地区地质构造特征及其青藏高原东西向诸山系形成的探讨. 中国科学(D辑), 2: 190-201. https://www.cnki.com.cn/Article/CJFDTOTAL-JAXK197302006.htm 董彦辉, 许继峰, 曾庆高, 等, 2006. 存在比桑日群弧火山岩更早的新特提斯洋俯冲记录么?岩石学报, 22 (3): 661-668. https://www.cnki.com.cn/Article/CJFDTOTAL-YSXB200603015.htm 和钟铧, 杨德明, 王天武, 2006. 冈底斯带桑巴区早白垩世后碰撞花岗岩类的确定及构造意义. 岩石矿物学杂志, 25 (3): 185-193. doi: 10.3969/j.issn.1000-6524.2006.03.003 和钟铧, 杨德明, 郑常青, 等, 2005. 西藏冈底斯带门巴地区印支期花岗岩地球化学特征及其构造意义. 地质通报, 24 (4): 354-359. doi: 10.3969/j.issn.1671-2552.2005.04.009 康志强, 许继峰, 董彦辉, 等, 2008. 拉萨地块中北部白垩纪则弄群火山岩: Slainajap洋南向俯冲的产物?岩石学报, 24 (2): 3-14. https://www.cnki.com.cn/Article/CJFDTOTAL-YSXB200802012.htm 李才, 王天武, 李惠民, 等, 2003. 冈底斯地区发现印支期巨斑花岗闪长岩——古冈底斯造山的存在证据. 地质通报, 22 (5): 364-366. doi: 10.3969/j.issn.1671-2552.2003.05.011 李璞, 1955. 西藏东部地质的初步认识. 科学通报, 23-30. https://www.cnki.com.cn/Article/CJFDTOTAL-KXTB195507016.htm 廖忠礼, 莫宣学, 潘桂棠, 等, 2006. 初论西藏过铝花岗岩. 地质通报, 25 (7): 812-821. doi: 10.3969/j.issn.1671-2552.2006.07.007 刘颖, 刘海臣, 李献华, 1996. 用ICP-MS准确测定岩石样品中的40余种微量元素. 地球化学, 25 (6): 552-558. doi: 10.3321/j.issn:0379-1726.1996.06.004 莫宣学, 董国臣, 赵志丹, 等, 2005. 西藏冈底斯带花岗岩的时空分布特征及地壳生长演化信息. 高校地质学报, 11 (3): 281-290. doi: 10.3969/j.issn.1006-7493.2005.03.001 莫宣学, 赵志丹, 邓晋福, 等, 2003. 印度-亚洲大陆主碰撞过程的火山作用响应. 地学前缘, 10 (3): 135-148. doi: 10.3321/j.issn:1005-2321.2003.03.013 潘桂棠, 陈智梁, 李兴振, 等, 1997. 东特提斯地质构造形成演化. 北京: 地质出版社, 1-218. 潘桂棠, 莫宣学, 侯增谦, 等, 2006. 冈底斯造山带的时空结构及演化. 岩石学报, 22 (3): 521-533. https://www.cnki.com.cn/Article/CJFDTOTAL-YSXB200603001.htm 潘桂棠, 王立全, 李兴振, 等, 2001a. 青藏高原区域构造格局及其多岛弧盆系的空间配置. 沉积与特提斯地质, 21 (3): 1-26. https://www.cnki.com.cn/Article/CJFDTOTAL-TTSD200103000.htm 潘桂棠, 王立全, 朱弟成, 2004. 青藏高原区域地质调查中几个重大科学问题的思考. 地质通报, 23 (1): 12-19. doi: 10.3969/j.issn.1671-2552.2004.01.007 潘桂棠, 徐强, 王立全, 2001b. 青藏高原多岛弧一盆系格局机制. 矿物岩石, 21 (3): 186-189. https://www.cnki.com.cn/Article/CJFDTOTAL-KWYS200103028.htm 潘桂棠, 郑海祥, 徐耀荣, 1983. 初论班公湖-怒江结合带. 见青藏高原地质文集(12). 北京: 地质出版社, 229-242. 邱瑞照, 周肃, 邓晋福, 等, 2004. 西藏班公湖-怒江西段舍马拉沟蛇绿岩中辉长岩年龄测定: 兼论班公湖-怒江蛇绿岩带形成时代. 中国地质, 31 (3): 262-268. doi: 10.3969/j.issn.1000-3657.2004.03.004 肖序常, 李廷栋, 2000. 青藏高原的构造演化与隆升机制. 广州: 广东科技出版社, 239-268. 姚鹏, 李金高, 王全海, 等, 2006. 西藏冈底斯南缘火山——岩浆弧带中桑日群adakite的发现及其意义. 岩石学报, 22 (3): 612-620. https://www.cnki.com.cn/Article/CJFDTOTAL-YSXB200603010.htm 翟庆国, 李才, 李惠民, 等, 2005. 西藏冈底斯中部淡色花岗岩锆石U-Pb年龄及其地质意义. 地质通报, 24: 349-353. doi: 10.3969/j.issn.1671-2552.2005.04.008 郑春子, 曲永贵, 张树岐, 等, 2003. 西藏北部雄梅-曲松波地区早白垩世多尼组及沉积环境探讨. 地质论评, 49 (6): 638-645. doi: 10.3321/j.issn:0371-5736.2003.06.012 朱弟成, 潘桂棠, 莫宣学, 等, 2006. 冈底斯中北部晚侏罗世—早白垩世地球动力学环境: 火山岩约束. 岩石学报, 22 (3): 534-546. https://www.cnki.com.cn/Article/CJFDTOTAL-YSXB200603002.htm 
- 
						
						  
 
		             
		        



 
  
					 
							 
							 下载:
下载: 
				 
							 
							 
							 
							 
							 
							 
							 
							 
							 
 