Terrigenous Mineral Constrains on the Grain-Size Distribution and Geochemical Composition of Sediments in the Inner Shelf of the East China Sea
-
摘要: 通过对东海内陆架EC2005孔柱状沉积物陆源矿物、粒度及地球化学成分分析, 尝试探讨三者之间的制约关系.该孔柱状沉积物主要矿物成分为粘土矿物、石英以及长石.石英和长石含量控制着平均粒径的大小.矿物含量与化学成分含量表现出较好的相关性, 体现了矿物对地球化学成分的控制.沉积物中各种矿物颗粒的大小差别造成了沉积物粒度的差异, 矿物间化学组分的不同是影响沉积物化学成分含量的主要因素, 其往往通过粒度组成间接地表现出来, 这就造成了“元素的粒度控制”表面现象, 实质上是矿物的种类和含量对粒度和地球化学成分起控制作用.Abstract: The grain-size distribution, geochemical compositions and terrigenous mineral components of sediments of Core EC2005 in the inner shelf of the East China Sea (ECS) are analyzed to probe into their possible inherent relationships.Terrigenous components in Core EC2005 are dominated by clay minerals, quartz and feldspar.The variation of mean grain size of the downhole is mainly controlled by the quartz and feldspar content.The mineral components show good correlation to geochemical compositions, suggesting the mineral constrains on the chemical elements in the sediments.Our study shows that the grain-size and the geochemical composition of terrigenous mineral particles are the main factors that control the grain-size parameters and geochemical composition of sediments.The mineral constrains on the grain-size distribution and geochemical composition are crucial, whereas the grain-size distribution can only affect the geochemical composition via changes in mineral components.
-
Key words:
- mineral /
- grain-size /
- geochemical composition /
- Core EC2005 /
- inner shelf of the East China Sea /
- sedimentology.
-
图 1 研究区EC2005孔、河口样品站位和沉积物分布(重绘自秦蕴珊等, 1987)
图中黑圆圈代表EC2005孔站位, 黑五角星代表长江和瓯江样品站位, 瓯江2个站位基本重合
Fig. 1. Locations of Core EC2005, estuarine samples and sediment distribution in the study area
表 1 EC2005孔地球化学分析质量报告
Table 1. Detection limit of geochemical compositions in Core EC2005
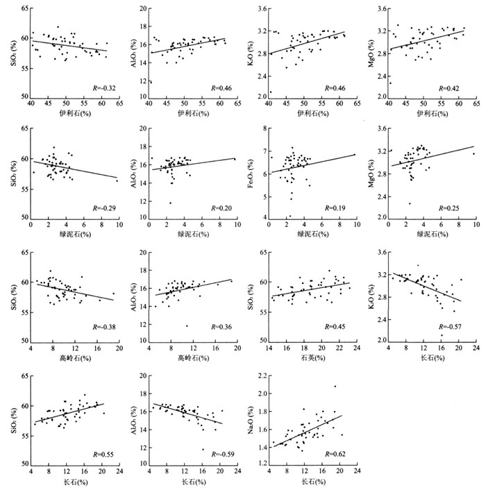
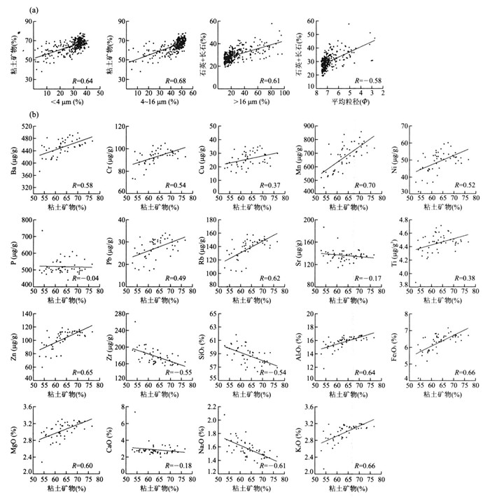
表 2 东海内陆架EC2005孔沉积物化学成分与粒度相关性
Table 2. Correlation between geochemical compositions and grain-size of Core EC2005
-
Allison, M. A., Lee, M. T., Ogston, A. S., et al., 2000. Ori-gin of Amazon mudbanks along the northeastern coastof South America. Mar. Geol., 163 (1-4): 241-256. doi: 10.1016/S0025-3227(99)00120-6 Boulay, S., Colin, C., Trentesaux, A., et al., 2003. Mineralo-gy and sedi mentology of Pleistocene sedi ment in theSouth China Sea (ODP Site1144). In: Prell, W. L., Wang, P., Blum, P., eds., Proc. ODP, Sci. Res., 184: 1-21. http://www-odp.tamu.edu/publications/184_SR/VOLUME/CHAPTERS/211.PDF. http://www-odp.tamu.edu/publications/184_SR/VOLUME/CHAPTERS/211.PDF Chen, M. H., Zheng, F., Lu, J., et al., 2005. Original compo-nent of grain size index in core sedi ment from south-western slope of the South China Sea andits paleoenvir-onmental i mplication. Chin. Sci. Bull., 50 (9): 896-902. Chen, Z. Y., Song, B. P., Wang, Z. H., et al., 2000. LateQuaternary evolution of the sub-aqueous Yangtze delta, China: Sedi mentation, stratigraphy, palynology, and de-formation. Mar. Geol., 162 (2-4): 423-441. doi: 10.1016/S0025-3227(99)00064-X Díaz, J., Palanques, A., Nelson, C. H., et al., 1996. Morpho-structure and sedi mentology of the Holocene Ebroprodelta mud belt (northwestern Mediterranean Sea). Cont. Shelf. Res., 16 (4): 435-456. doi: 10.1016/0278-4343(95)00019-4 Ding, Z. L., Yang, S. L., Sun, J. M., et al., 2001. Iron geo-chemistry of loess and red clay deposits in the ChineseLoess plateau and i mplications for long-term Asianmonsoon evolution in the last7.0Ma. Earth. Planet. Sci. Lett., 185 (1-2): 99-109. doi: 10.1016/S0012-821X(00)00366-6 Gibbs, R. J., 1977. Clay mineral segregationinthe marine en-vironment. J. Sedi ment. Petrol., 47 (1): 237-243. Gràcia, E., Martínez-Ruiz, F., Pi ero, E., et al., 2006. Grain-size and bulk and clay mineralogy of sedi ments fromthesummit and flanks of Southern Hydrate Ridge, Sites1244-1250, ODP Leg204. In: Tréhu, A. M., Bohr-mann, G., Torres, M. E., et al., eds., Proc. ODP, SciRes, 204: 1-19. http://www-odp.tamu.edu/publica-tions/204_SR/VOLUME/CHAPTERS/110.PDF. http://www-odp.tamu.edu/publica-tions/204_SR/VOLUME/CHAPTERS/110.PDF Guo, Z. T., Ruddi man, W. F., Hao, Q. Z., et al., 2002. Onsetof Asian desertification by22Myr agoinferred fromlo-ess deposits in China. Nature, 416 (6877): 159-163. doi: 10.1038/416159a Han, Z. Y., Li, X. S., 2006. Orbitally tuned ti me scale basedon cli mate proxy indicator of grain size distribution inNihewan basin. Earth Science—Journal of China University of Geosciences, 31 (6): 773-779 (in Chinesewith English abstract). He, L. B., Liu, Q. Y., 1997. Chemical characteristics of clayminerals in the sedi ments from the Yellow River andthe Changjiang River. Chin. Sci. Bull., 42 (6): 488-492. doi: 10.1007/BF02882600 Hori, K., Saito, Y., Zhao, Q. H., et al., 2002. Architectureand evolution of the tide-dominated Changjiang (Yan-gtze) River delta, China. Sedi ment. Geol., 146 (3-4): 249-264. doi: 10.1016/S0037-0738(01)00122-1 Ki minami, K., Fujii, K., 2007. The relationship between ma-jor element concentration and grain size within sand-stones from four turbidite sequences in Japan. Sedi-ment. Geol., 195 (3-4): 203-215. doi: 10.1016/j.sedgeo.2006.08.002 Li, A. C., 1997. Astudy onfluxes and composition character-istics mineral aerosols fromthe low at mosphere of theeastern China seas (Dissertation). Institute of Oceanol-ogy, Chinese Academy of Sciences, Qingdao (in Chi-nese). Li, N. S., Zhao, S. L., Wasiliev, B., 2000. Geology of margin-al sea in the Northwest Pacific. Heilongjiang Education-al Press, Harbin (in Chinese). Liu, J. G., Saito, Y., Wang, H., et al., 2007a. Sedi mentary e-volution of the Holocene subaqueous clinoform off theShandong Peninsula in the Yellow Sea. Mar. Geol., 236 (3-4): 165-187. doi: 10.1016/j.margeo.2006.10.031 Liu, J. G., Li, A. C., Chen, M. H., et al., 2007b. Geochemical characteristics of sedi ments in the Bohai Sea mud areaduring Holocene. Geochi mica, 36 (6): 559-568 (in Chi-nese with English abstract). Liu, J. G., Li, A. C., Xu, Z. K., et al., 2007c. Manganese ab-normity in Holocene sedi ments of the Bohai Sea. J. Chi-na. Univ. Geosci., 18 (2): 135-141. doi: 10.1016/S1002-0705(07)60027-2 Liu, J. P., Xu, K. H., Li, A. C., et al., 2007d. Flux and fateof Yangtze River sedi ment delivered to the East ChinaSea. Geomorphology, 85 (3-4): 208-224. doi: 10.1016/j.geomorph.2006.03.023 Liu, J. P., Li, A. C., Xu, K. H., et al., 2006. Sedi mentaryfeatures of the Yangtze River-derived along-shelf clino-formdeposit in the East China Sea. Cont. Shelf. Res., 26 (17-18): 2141-2156. doi: 10.1016/j.csr.2006.07.013 Liu, Z. F., Colin, C., Trentesaux, A., 2005. Application ofFourier transform infrared (FTIR) spectroscopy inquantitative mineralogy of the South China Sea: Exam-ple of Core MD01-2393. Earth Science—Journal ofChina University of Geosciences, 30 (1): 25-29 (inChinese with English abstract). Lu, H. Y., An, Z. S., 1997. The paleocli mate significance ofgrain size of Luochuan loess. Chin. Sci. Bull., 42 (1): 66-69 (in Chinese). doi: 10.1360/csb1997-42-1-66 Luo, C., Peng, Z. C., Liu, W. G., et al., 2008. Evidence fromthe lacustrine sedi ments of Lop-Nur Lake, NorthwestChina for the Younger Dryas Event. Earth Science—Journal of China University of Geosciences, 33 (2): 190-196 (in Chinese with English abstract). doi: 10.3799/dqkx.2008.025 Niedoroda, A. W., Reed, C. W., Das, H., et al., 2005. Analy-ses of a large-scale depositional clinoformal wedge alongthe Italian Adriatic coast. Mar. Geol., 222-223: 179-192. doi: 10.1016/j.margeo.2005.06.012 Qin, R. S., Zhao, Y. Y., Chen, L. R., et al., 1987. Geology ofthe East China Sea. Science Press, Beijing (in Chinese). Shen, J., Liu, X. Q., Wang, S. M., et al., 2005. Palaeocli mat-ic changes in the Qinghai Lake area during the last18000years. Quatern. Int., 136 (1): 131-140. doi: 10.1016/j.quaint.2004.11.014 Shi, X. F., Chen, C. F., Liu, Y. G., et al., 2002. Trend analy-sis of sedi ment grain size and sedi mentary process inthecentral South Yellow Sea. Chin. Sci. Bull., 47 (14): 1202-1207. Sun, D., Bloemendal, J., Rea, D. K., et al., 2002. Grain-sizedistribution function of polymodal sedi ments in hydrau-lic and Aeolian environments, and numerical partitio-ning of the sedi mentary components. Sedi ment. Geol., 152 (3-4): 263-277. doi: 10.1016/S0037-0738(02)00082-9 Sun, Y. B., Lu, H. Y., An, Z. S., 2006. Grain size of loess, palaeosol and red clay deposits on the Chinese LoessPlateau: Significance for understanding pedogenic alter-ation and palaeomonsoon evolution. Palaeogeogr. Palaeocli matol. Palaeoecol., 241 (1): 129-138. doi: 10.1016/j.palaeo.2006.06.018 Tamburini, F., Adatte, T., F ll mi, K., et al., 2003. Investi-gating the history of East Asian monsoon and cli mateduring the last glacial-interglacial period (0-140000years): Mineralogy and geochemistry of ODP Sites1143and1144, South China Sea. Mar. Geol., 201 (1-3): 147-168. doi: 10.1016/S0025-3227(03)00214-7 Wan, S. M., 2006. Evolution of the East Asian monsoon: Mineralogical and sedi mentologic records in the SouthChina Sea since20Ma (Dissertation). Institute of Oce-anology, Chinese Academy of Sciences, Qingdao (inChinese). Wan, S. M., Li, A. C., Clift, P. D., et al., 2007a. Develop-ment of the East Asian monsoon: Mineralogical and sed-i mentologic records in the northern South China Seasince20Ma. Palaeogeogr. Palaeocli matol. Palaeo-ecol., 254 (3-4): 561-582. doi: 10.1016/j.palaeo.2007.07.009 Wan, S. M., Li, A. C., Stuut, J. B. W., et al., 2007b. Grain-size records at ODP Site1146fromthe northern SouthChina Sea: I mplications onthe East Asian monsoon evolution since20Ma. Sci. China (Ser. D), 50 (10): 1536-1547. doi: 10.1007/s11430-007-0082-0 Wei, G. J., Liu, Y., Li, X. H., et al., 2004. Major and traceelement variations of the sedi ments at ODP Site1144, South China Sea, during the last230ka and their paleo-cli mate i mplications. Palaeogeogr. Palaeocli matol. Palaeoecol., 212 (3-4): 331-342. doi: 10.1016/S0031-0182(04)00329-3 Wünnemann, B., Mischke, S., Chen, F., 2006. A Holocenesedi mentary record from Bosten Lake, China. Palaeo-geogr. Palaeocli matol. Palaeoecol., 234 (2-4): 223-238. doi: 10.1016/j.palaeo.2005.10.016 Xiang, R., Yang, Z. S., Saito, Y., et al., 2006. East Asiawinter monsoon changes inferred from environmentally sensitive grain-size component records during the last2300years in mud area southwest off Cheju Island, ECS. Sci. China (Ser. D), 49 (6): 604-614. doi: 10.1007/s11430-006-0604-1 Xiao, S. B., Li, A. C., Liu, J. P., et al., 2006. Coherence be-tween solar activity and the East Asian winter monsoonvariability in the past8000years from Yangtze River-derived mud in the East China Sea. Palaeogeogr. Palaeocli matol. Palaeoecol., 237 (2-4): 293-304. doi: 10.1016/j.palaeo.2005.12.003 Xiao, S. B., Li, A. C., Jiang, F. Q., et al., 2005. Geochemical characteristics of recent2ka mud on the inner shelf ofthe East China Sea. Geochi mica, 34 (6): 595-604 (inChinese with English abstract). Xu, F. J., Li, A. C., Liu, J. G., et al., 2007. Environmentally sensitive grain-size population at deposit centre on theinner shelf of the East China Sea. Mar. Geol. Quat. Ge-ol., 27 (Suppl. ): 16-20 (in Chinese). Xu, F. J., Li, A. C., Xiao, S. B., et al., 2009. Paleoenviron-ment evolutionin the inner shelf of the East China Seasince the alst deglaciation. Acta Sedi mentologica Sinica, 27 (1): 118-127 (in Chinese with English abstract). Yang, S. Y., Jung, H. S., Li m, D. I., et al., 2003. A reviewon the provenance discri mination of sedi ments in theYellow Sea. Earth-Sci. Rev., 63 (1-2): 93-120. doi: 10.1016/S0012-8252(03)00033-3 Zhao, Y. Y., Yan, M. C., 1994. Geochemistry of sedi ments inChinese shallow seas. Science Press, Beijing (inChinese). 陈木宏, 郑范, 陆钧, 等, 2005. 南海西南陆坡区沉积物粒级指标的物源特征及古环境意义. 科学通报, 50 (7): 684-690. doi: 10.3321/j.issn:0023-074X.2005.07.012 韩志勇, 李徐生, 2006. 泥河湾盆地基于粒度气候指标的轨道调谐时间标尺. 地球科学——中国地质大学学报, 31 (6): 773-779. https://www.cnki.com.cn/Article/CJFDTOTAL-DQKX200606004.htm 何良彪, 刘秦玉, 1997. 黄河与长江沉积物中粘土矿物的化学特征. 科学通报, 42 (7): 730-734. doi: 10.3321/j.issn:0023-074X.1997.07.020 李安春, 1997. 中国东部海域矿物气溶胶通量及物质组成特征的研究(博士学位论文). 青岛: 中国科学院海洋研究所. 李乃胜, 赵松龄, 鲍·瓦西里耶夫, 2000. 西北太平洋边缘海地质. 哈尔滨: 黑龙江教育出版社. 刘建国, 李安春, 陈木宏, 等, 2007b. 全新世渤海泥质沉积物地球化学特征. 地球化学, 36 (6): 559-568. https://www.cnki.com.cn/Article/CJFDTOTAL-DQHX200706005.htm 刘志飞, Colin, C., Trentesaux, A., 2005. 傅里叶变换红外光谱(FTIR) 方法在南海定量矿物学研究中的应用: 以MD01-2393孔为例. 地球科学——中国地质大学学报, 30 (1): 25-29. https://www.cnki.com.cn/Article/CJFDTOTAL-DQKX200501002.htm 鹿化煜, 安芷生, 1997. 洛川黄土粒度组成的古气候意义. 科学通报, 42 (1): 66-69. doi: 10.3321/j.issn:0023-074X.1997.01.020 罗超, 彭子成, 刘卫国, 等, 2008. 新仙女木事件在罗布泊湖相沉积物中的记录. 地球科学——中国地质大学学报, 33 (2): 190-196. https://www.cnki.com.cn/Article/CJFDTOTAL-DQKX200802006.htm 秦蕴珊, 赵一阳, 陈丽蓉, 等, 1987. 东海地质. 北京: 科学出版社. 石学法, 陈春峰, 刘焱光, 等, 2002. 南黄海中部沉积物粒径趋势分析及搬运作用. 科学通报, 47 (6): 452-456. doi: 10.3321/j.issn:0023-074X.2002.06.014 万世明, 2006. 近2千万年以来东亚季风演化的南海沉积矿物学记录(博士学位论文). 青岛: 中国科学院海洋研究所. 万世明, 李安春, Stuut, J. B. W., 等, 2007. 南海北部ODP1146站粒度揭示的近20Ma以来东亚季风变化. 中国科学(D辑), 37 (6): 761-770. https://www.cnki.com.cn/Article/CJFDTOTAL-JDXK200706006.htm 向荣, 杨作升, Saito, Y., 等, 2006. 济州岛西南泥质区近2300a来环境敏感粒度组分记录的东亚冬季风变化. 中国科学(D辑), 36 (7): 654-662. https://www.cnki.com.cn/Article/CJFDTOTAL-JDXK200607005.htm 肖尚斌, 李安春, 蒋富清, 等, 2005. 近2ka来东海内陆架泥质沉积物地球化学特征. 地球化学, 34 (6): 595-604. doi: 10.3321/j.issn:0379-1726.2005.06.006 徐方建, 李安春, 刘建国, 等, 2007. 东海内陆架泥质沉积中心的环境敏感粒度组分. 海洋地质与第四纪地质, 27 (增刊): 16-20. 徐方建, 李安春, 肖尚斌, 等, 2009. 末次冰消期以来东海内陆架古环境演化. 沉积学报, 27 (1): 118-127. https://www.cnki.com.cn/Article/CJFDTOTAL-CJXB200901017.htm 赵一阳, 鄢明才, 1994. 中国浅海沉积物地球化学. 北京: 科学出版社. -




下载: