• 中国出版政府奖提名奖

    中国百强科技报刊

    湖北出版政府奖

    中国高校百佳科技期刊

    中国最美期刊

    留言板

    尊敬的读者、作者、审稿人, 关于本刊的投稿、审稿、编辑和出版的任何问题, 您可以本页添加留言。我们将尽快给您答复。谢谢您的支持!

    姓名
    邮箱
    手机号码
    标题
    留言内容
    验证码

    三维复杂速度结构中深发地震的双差分定位

    江国明 赵大鹏 张贵宾

    江国明, 赵大鹏, 张贵宾, 2009. 三维复杂速度结构中深发地震的双差分定位. 地球科学, 34(6): 1001-1011.
    引用本文: 江国明, 赵大鹏, 张贵宾, 2009. 三维复杂速度结构中深发地震的双差分定位. 地球科学, 34(6): 1001-1011.
    JIANG Guo-ming, ZHAO Da-peng, ZHANG Gui-bin, 2009. Locating Deep Earthquakes in Complex 3-D Velocity Structure Using a Modified Double-Difference Location Method. Earth Science, 34(6): 1001-1011.
    Citation: JIANG Guo-ming, ZHAO Da-peng, ZHANG Gui-bin, 2009. Locating Deep Earthquakes in Complex 3-D Velocity Structure Using a Modified Double-Difference Location Method. Earth Science, 34(6): 1001-1011.

    三维复杂速度结构中深发地震的双差分定位

    基金项目: 

    地下信息探测技术与仪器教育部重点实验室开放课题项目 GDL0806

    “863”计划重大项目 2006AA06A202

    “863”计划重大项目 2006AA06A203

    详细信息
      作者简介:

      江国明(1979—),博士,主要从事天然地震层析成像方面的研究. E-mail:jiang_guoming@cugb.edu.cn

    • 中图分类号: P631

    Locating Deep Earthquakes in Complex 3-D Velocity Structure Using a Modified Double-Difference Location Method

    • 摘要: 双差分地震定位法采用了一维射线追踪法和直角坐标系, 不适合于复杂速度模型中的地震定位.本研究采用三维射线追踪技术和球坐标系改进了双差分定位法, 扩大了它的应用范围.为了检验新方法的可行性和准确性, 以日本海地区下方的深发地震为研究对象, 通过对比4种复杂速度模型中双差分定位结果, 分析速度结构对双差分定位的影响.结果表明, 改进后的双差分定位法受速度结构变化的影响较小, 而且当震源区的速度模型越接近真实速度结构时, 定位结果的精度越高, 这为利用深发地震研究地球深部构造奠定了基础.

       

    • 图  1  球坐标系及震源扰动示意图

      空心五角星表示某一深发震源的位置.纬度、经度和深度的单位分别为rad和km.θ表示震源的纬度

      Fig.  1.  A hypocenter perturbation in the spherical coordinates

      图  2  震中和地震观测台站位置分布

      a.空心圆圈和黑色正方形分别代表78个深发地震的震中和816个地震观测台站; 等深线代表太平洋俯冲板块的上边界深度, km (Zhao et al., 1997); b.横坐标表示震源位置相对于板块上边界的距离, 纵坐标表示震源深度

      Fig.  2.  Distribution of epicenters and seismic stations used in this study

      图  3  J-B速度模型和三维速度模型纵剖面示意图

      a.3条虚线自上而下分别代表康氏面、莫霍面和~410 km间断面; b.白色箭头表示太平洋板块俯冲的方向

      Fig.  3.  1-D J-B velocity model and 3-D velocity model in the vertical direction

      图  4  阻尼系数折中曲线图

      Fig.  4.  Trade-off curve of determining the optimal damping parameter (arrow)

      图  5  定位次数与走时残差均方根之间的关系

      Fig.  5.  Number of earthquake relocation versus the root-mean-square (RMS) travel-time residual

      图  6  震源参数随定位次数的变化情况

      左图和右图分别表示定位后的震源相对于Enew的发震时刻和空间位置的变化, 每个柱状图中, 每条“柱”的宽度分别为0.1 s (发震时刻变化量) 和1 km (震源位置变化量), 即横坐标, 而高度则表示在每个分段内的地震个数占总数的百分比, 即纵坐标.右侧的60%表示每个子图中纵坐标的最大值, 而最小值默认为0%

      Fig.  6.  Changes in hypocenter parameters with the iteration number of earthquake relocations

      图  7  在模型1中每个震源定位前后的对比

      a.纬度方向; b.经度方向; c.深度方向; d.空间距离; e.发震时刻; 空心圆圈和五角星分别代表78个深发地震定位前和定位后的位置及发震时刻与Enew之间的偏差

      Fig.  7.  Comparison of each hypocenter parameter before and after relocation in Model 1

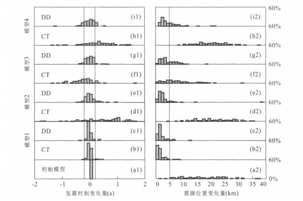
      图  8  不同速度模型中的定位结果对比柱状

      CT和DD分别代表常规定位和双差分定位.左图和右图分别表示定位后的震源相对于Enew的发震时刻和空间位置的变化

      Fig.  8.  Histogram of relocated hypocenters in different velocity models

      表  1  不同速度模型中的速度扰动值

      Table  1.   Velocity perturbation (in %) in different velocity models (see text for details)

    • Crosson, R. S., 1976. Crustal structure modeling of earth-quake data, 1: Simultaneous least squares estimation of hypocenter and velocity parameters. Journal of Geophysics Research, 81 (17): 3036-3046. doi: 10.1029/JB081i017p03036
      Douglas, A., 1967. Joint epicenter determination. Nature, 215: 45-48. doi: 10.1038/215045a0
      Geiger, L., 1912. Probability method for the determination of earthquake epicenters from the arrival time only. Bulletin St. Louis University, 8: 60-71.
      Jeffreys, H., Bullen, K. E., 1940. Seismological tables. British Association for the Advancement of Science. Gray Milne Trust, London.
      Jiang, G. M., Zhao, D. P., Zhang, G. B., 2008. Detailed structure of the subducting Pacific slab beneath the Japan islands and Japan Sea. Earth Science Frontiers, 15 (1): 222-231 (in Chinese with English abstract).
      [83] Klein, F. W., 1978. Hypocenter location program HYPOIN-VERSE Part Ⅰ: Users guide to versions 1, 2, 3 and 4. USA Geology Survey, Open-File Rept., 78-694.
      Li, Y. H., Pan, Y. S., Zhang, K., et al., 2006. The usage of the double-difference location approach in Shandong. Seismological and Geomagnetic Observation and Research, 27 (4): 8-16 (in Chinese with English ab-stract).
      Liu, F. T., 1984. Simultaneous inversion of earthquake hypocenters and velocity structure (Ⅰ) —theory and method. Acta Geophysica Sinica, 27 (2): 167-175 (in Chinesewith English abstract).
      Nelson, G. D., Vidale, J. E., 1990. Earthquake locations by 3-D finite-difference travel times. Bulletin of the Seismological Society of America, 80 (2): 395-410. doi: 10.1785/BSSA0800020395
      Paige, C. C., Saunders, M. A., 1982. LSQR: An algorithm for sparse linear equations and sparse least squares. ACM Trans. Math. Software, 8 (1): 43-71. doi: 10.1145/355984.355989
      Rong, D. L., Li, Y. R., 2004. Study on the generating fault and mechanism of the M5.9 Yumen earthquake on Dec. 14, 2002, according to the accurate location of the seismic sequences using the double-difference earthquake location algorithm. Northwestern Seismological Journal, 26 (3): 223-227.
      Spencer, C., Gubbins, D., 1980. Travel-time inversion for simultaneous earthquake location and velocity structure determination in laterally varying media. GeophysicalJournal of the Royal Astronomical Society, 63 (1): 95-116. doi: 10.1111/j.1365-246X.1980.tb02612.x
      Tian, Y., Chen, X. F., 2002. Review of seismic location study. Progress in Geophysics, 17 (1): 147-155 (in Chinese with English abstract).
      Um, J., Thurber, C., 1987. A fast algorithm for two-point seismic ray tracing. Bulletin of the Seismological Society of America, 77: 972-986. doi: 10.1785/BSSA0770030972
      Waldhauser, F., Ellsworth, W. L., 2000. A double-difference earthquake location algorithm: Method and application to the northern Hayward fault, California. Bulletin of the Seismological Society of America, 90 (6): 1353-1368. doi: 10.1785/0120000006
      Wang, X. P., Wang, Y. W., Li, H. M., 2005. Precise location of Zhangjiagang earthquake sequence using double different earthquake location algorithm and the technology of seismic station net in Jiangsu. Inland Earthquake, 19 (3): 257-263 (in Chinese with English abstract).
      Wessel, P., Smith, W. H. F., 1998. Newi mproved version of generic mapping tools released. Eos. Trans., AGU, 79 (47): 579. doi: 10.1029/98EO00426
      Wu, M. X., Wang, M., Sun, C. C., et al., 1990. Accurate hypocenter determination of aftershocks of the 1985 Luquan earthquake. Acta Seismologica Sinica, 12 (2): 121-129 (in Chinese with English abstract).
      Yang, G., 2006. Using the double-different earthquake location algorithm to relocate small earthquakes in Shuikou reservoir region of Fujian Province. Fujian Seismology, 22 (3-4): 51-55 (in Chinese with English ab-stract).
      Yang, Z. S., Zeng, W. J., 2007. Relocation of the 26 Nov. 2005 Jiujiang-Ruichang M5.7 earthquake sequence using the double-difference earthquake location algorithm. Seismological and Geomagnetic Observation and Research, 28 (2): 25-31 (in Chinese with English ab-stract).
      Yao, Y. S., Li, J. G., Lian, C., et al., 2007. Improvement of relocation program based on double-difference (DD) algorithm. Journal of Geodesy and Geodynamics, 27 (3): 76-79 (in Chinese with English abstract).
      Zhao, D., Hasegawa, A., Horiuchi, S., 1992. Tomographic imaging of P and S wave velocity structure beneath northeastern Japan. Journal of Geophysical Research, 97 (B13): 19909-19928. doi: 10.1029/92JB00603
      Zhao, D., Matsuzawa, T., Hasegawa, A., 1997. Morphology of the subducting slab boundary in the northeastern Japan arc. Physics of the Earth and Planetary Interiors, 102 (1-2): 89-104. doi: 10.1016/S0031-9201(96)03258-X
      Zhao, Z. H., 1983. An earthquake location program with multiple velocity model and its application in the Beijing seismic network. Acta Seismologica Sinica, 5 (2): 242-254 (in Chinese with English abstract).
      江国明, 赵大鹏, 张贵宾, 2008. 日本列岛下太平洋俯冲板块的精细结构. 地学前缘, 15 (1): 222-231. doi: 10.3321/j.issn:1005-2321.2008.01.028
      李永红, 潘元生, 张坤, 等, 2006. 双差定位方法在山东地区的应用. 地震地磁观测与研究, 27 (4): 8-16. doi: 10.3969/j.issn.1003-3246.2006.04.002
      刘福田, 1984. 震源位置和速度结构的联合反演(Ⅰ)———理论和方法. 地球物理学报, 27 (2): 167-175. doi: 10.3321/j.issn:0001-5733.1984.02.006
      田玥, 陈晓非, 2002. 地震定位研究综述. 地球物理学进展, 17 (1): 147-155. doi: 10.3969/j.issn.1004-2903.2002.01.022
      王小平, 王燕纹, 李慧民, 2005. 结合双差地震定位法及台阵技术对江苏张家港地震序列进行精确定位. 内陆地震, 19 (3): 257-263. https://www.cnki.com.cn/Article/CJFDTOTAL-LLDZ200503009.htm
      吴明熙, 王鸣, 孙次昌, 等, 1990.1985年禄劝地震部分余震的精确定位. 地震学报, 12 (2): 121-129.
      杨贵, 2006. 福建水口水库地区微震双差法重新定位. 福建地震, 22 (3-4): 51-55. https://www.cnki.com.cn/Article/CJFDTOTAL-FJDI2006Z2007.htm
      杨中书, 曾文敬, 2007. 利用双差法对2005年江西九江-瑞昌5.7级地震序列重新定位. 地震地磁观测与研究, 28 (2): 25-31. doi: 10.3969/j.issn.1003-3246.2007.02.002
      姚运生, 李井冈, 廉超, 等, 2007. 双差地震定位程序的改进. 大地测量与地球动力学, 27 (3): 76-79. https://www.cnki.com.cn/Article/CJFDTOTAL-DKXB200703017.htm
      赵仲和, 1983. 多重模型地震定位程序及其在北京台网的应用. 地震学报, 5 (2): 242-254. https://www.cnki.com.cn/Article/CJFDTOTAL-DZXB198302011.htm
    • 加载中
    图(8) / 表(1)
    计量
    • 文章访问数:  5461
    • HTML全文浏览量:  777
    • PDF下载量:  126
    • 被引次数: 0
    出版历程
    • 收稿日期:  2009-06-10
    • 刊出日期:  2009-11-25

    目录

      /

      返回文章
      返回