Study on the Restitution Coefficient of Original Total Organic Carbon for High Mature Marine Hydrocarbon Source Rocks
- 
					    摘要: 在5000余块海相烃源岩样品筛选结果的基础上, 根据90余块不同类型未成熟-成熟烃源岩的加水热压模拟实验结果, 并与自然演化剖面相结合, 对烃源岩有机质的变化规律及其恢复系数进行研究.海相优质烃源岩在未成熟-低成熟阶段(Ro < 0.8%) TOC (totalorganiccarbon) 变化不明显, 在成熟阶段中晚期TOC残余随成熟度增加逐渐降低, 到高成熟-过成熟阶段变化又不明显.高成熟-过成熟优质烃源岩TOC原始一般Ⅰ型最高降低40%, 恢复系数1.68;Ⅱ1型最高降低32%, 恢复系数1.48;Ⅱ2型最高降低24%, 恢复系数1.32.低有机质烃源岩(一般指0.3% < TOC < 1%) 随TOC变低, 降低幅度和恢复系数均逐渐变小, 当0.3% < TOC < 0.5%时, TOC原始恢复系数约1.2, 当TOC < 0.3%时, TOC原始恢复系数接近1, 可以不进行恢复.固体沥青和高有机质页岩(TOC > 30%) TOC原始高成熟-过成熟阶段也不需要进行恢复.海相烃源岩(0.3% < TOC < 30%) 自然剖面生烃潜量的减少和模拟生排烃量的增加与TOC残余的减少相吻合.Abstract: On the basis of the results of hydropyrolysis simulations for about 90 different types immature to mature source rocks selected from about 5 000 marine source rocks in China, and accompanied by the investigation on the natural thermal evolution profiles, it was suggested that, the content of total organic carbon (TOC) of excellent marine source rocks does not change obviously at immature stage Ro < 0.8%, or at high-post mature stage Ro > 1.3%, and the residual TOC content decreases gradually with the maturity increase during the immature to low mature stage. The maximum of the decrease of the residual TOC content for sapropel (Ⅰ), Ⅱ1 and Ⅱ2 type kerogen from excellent source rocks is usually 40%, 32% and 24%, and the TOC restitution coefficient is 1.68, 1.48, 1.32, respectively. Both the amplitude and the restitution coefficient of TOC decrease gradually with the decrease of TOC content for the source rocks with low organic matter abundance (0.3 % < TOC < 1.0%), and the TOC restitution coefficient is 1.20 when 0.3% < TOC < 0.5%, and close to 1.0 when TOC < 0.3%. The TOC content of solid bitumen and shale with high organic matter abundance (TOC > 30%) also required no restitution at high mature stage. The decrease of S1+S2 of marine source rocks (0.3% < TOC < 30%) and the increase of the hydrocarbon quantity generated and expulsed in laboratory simulation are consistent with the decrease of the residual TOC content observed in natural thermal evolution profiles.- 
									Key words:
									
- marine /
- hydrocarbon source rock /
- high-post mature /
- TOC /
- restitution coefficient
 
- 
						
    
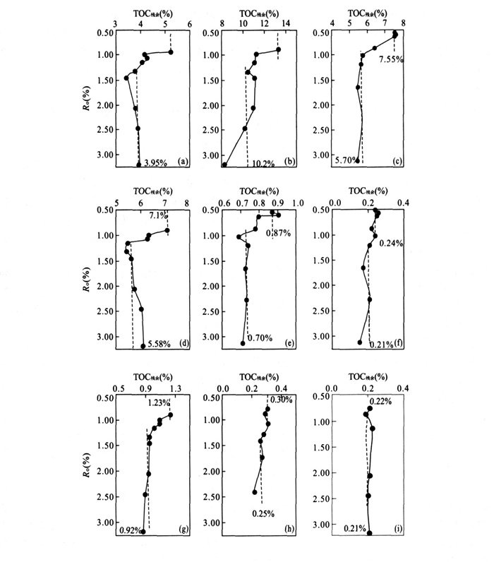
图 1 海相Ⅰ型烃源岩TOC残余、生烃潜力和生排烃量随成熟度(Ro或Tmax) 的变化规律 a和c为富烃含钙页岩, 碳酸盐含量24%, TOC降低40.6%, 恢复系数1.68;b和d为富烃灰岩, 碳酸盐含量79%, TOC降低36.8%, 恢复系数1.58;1.生烃潜量S1+S2, kg/t; 2.模拟生排烃量, kg/t Fig. 1. The variation of the residual TOC, S1+S2and quantity of generated and expulsed hydrocarbons for marine typeⅠsource rocks with the maturity (Roor Tmax) 图 2 海相Ⅱ1型烃源岩TOC残余随成熟度(Ro) 的变化曲线 a.泥灰岩, 碳酸盐含量=60%, 原始样品TOC降低32.7%, 恢复系数最高为1.48;b.灰岩, 碳酸盐含量=76%, 原始样品TOC降低32.4%, 恢复系数最高为1.48;c.灰岩(低有机质丰度), 碳酸盐含量=85%, 原始样品TOC降低30.6%, 恢复系数最高为1.44;d.泥岩, 碳酸盐含量 < 1%, 原始样品TOC降低27%, 恢复系数最高为1.36 Fig. 2. The variation of the residual TOC o fmarineⅡ1source rocks with the maturity (Ro) 图 4 海相Ⅱ型不同类型烃源岩TOC残余随成熟度(Ro) 的变化趋势 a.含钙页岩, TOC降低24%, 恢复系数1.32;b.钙质页岩, TOC降低23.4%, 恢复系数1.30; c.页岩, TOC降低24%, 恢复系数1.32; d.钙质泥岩, TOC降低21.4%, 恢复系数1.27;e.泥岩, TOC降低20%, 恢复系数1.24; f.含钙泥岩, TOC降低12.5%, 恢复系数1.14;g.灰岩, TOC降低25.2%, 恢复系数1.34; h.泥灰岩, TOC降低16.7%, 恢复系数1.2;i.灰岩, TOC降低4.55%, 恢复系数1.05 Fig. 4. The content variations of the residual TOC of marine type Ⅱ in different lithologic source rocks with maturity (Ro) 
- 
						Guo, T. L., Tian, H. Q., 2002. Several geological issuesabout Mesozoic-Palaeozoic oil and gas prospecting insouthern China and the way of howto deal with. Oil & Gas Geology, 23 (3): 244-247 (in Chinese with Englishabstract). Hao, S. S., 1984. Richness of organic matter and its evolu-tional characteristics in carbonate source rocks. Petrole-umGeology and Experiment, 6 (1): 67-71 (in Chinesewith English abstract). Jin, Q., 1989. The restortion of initial organic carbon insource rocks. Journal of the University of Petroleum, 13 (5): 1-8 (in Chinese with English abstract). Jones, R. W., 1984. Comparison of carbonate and shale sourcerocks. In: Palacas, J. G., ed., Petroleum geochemistryand source rock potential of carbonate rocks. AAPG Studies in Geology, 18: 163-180. Liang, D. G., 2000. Understanding on marine stratum oilgenerationin China based on Tari m basin. Marine Oil and Gas Geology, 5 (1-2): 83 (in Chinese). Qin, J. Z., 2006a. Depositional environment of the marine hy-drocarbon source rocks inthe Qiangtang basin, Qinghai-Tibet Plateau. Petroleum Geology & Experiment, 28 (1): 8-14 (in Chinese with English abstract). Qin, J. Z., 2006b. Distributions of the main Mesozoic hydro-carbon source rocks inthe Qiangtang Basin of the Qing-hai-Tibet Plateau. Petroleum Geology & Experiment, 28 (2): 134-141 (in Chinese with English abstract). Qin, J. Z., 2006c. Study on organic matter's maturation andhydrocarbon generating historyin the Qiangtang Basin. Petroleum Geology & Experiment, 28 (4): 350-358 (in Chinese with English abstract). Qin, J. Z., Jin, J. C., Liu, B. Q., 2005a. Thermal evolutionpattern of organic matter abundance in various marinesource rocks. Oil & Gas Geology, 26 (2): 177-184 (inChinese with English abstract). Qin, J. Z., et al., 2005b. Source rocks in China. Sciences Press, Beijing (in Chinese). Qin, J. Z., Liu, B. Q., Zheng, L. J., et al., 2006. Study on ca-pability of hydrocarbon generation and expulsion frommarine carbonate source rocks. Oil & Gas Geology, 27 (3): 348-355 (in Chinese with English abstract). Qin, J. Z., Liu, J. W., Liu, B. Q., et al., 2002. Hydrocarbonyield and geochemical parameters affected by heatingti me and added water amount inthe si mulationtest. Pe-troleum Geology & Experiment, 24 (2): 152-157 (inChinese with English abstract). Tissot, B. P., Welte, D. H., 1978. Petroleum formation andoccurrence. Springer-Verlag, Berlag, Berlin Heidelberg, New York, 1-362. Xu, S. H., Mei, L. F., Deng, S. X., 1996. Si mulation of hy-drocarbon generation and expulsion history in Lunpolabasin of Xizang (Tibet). Earth Science—Journal of China University of Geosciences, 21 (2): 179-183 (in Chinese with English abstract). Zhao, Z. Z., Qin, J. Z., Xu, H. X., et al., 2000. Oil and gasgeneration for marine source rocks in Qinghai-TibetPlateau. Science Press, Beijing, 1-634 (in Chinese). 郭彤楼, 田海芹, 2002. 南方中-古生界油气勘探的若干地质问题及对策. 石油与天然气地质, 23 (3): 244-247. doi: 10.3321/j.issn:0253-9985.2002.03.009 郝石生, 1984. 对碳酸盐生油岩的有机质丰度及其演化特征的讨论. 石油实验地质, 6 (1): 67-71. https://www.cnki.com.cn/Article/CJFDTOTAL-SYSD198401009.htm 金强, 1989. 生油岩原始有机碳恢复方法的探讨. 石油大学学报, 13 (5): 1-8. https://www.cnki.com.cn/Article/CJFDTOTAL-SYDX198905002.htm 梁狄刚, 2000. 从塔里木盆地看中国海相地层生油问题. 海相油气地质, 5 (1-2): 83. https://www.cnki.com.cn/Article/CJFDTOTAL-HXYQ2000Z1020.htm 秦建中, 2006a. 青藏高原羌塘盆地海相烃源层的沉积形成环境. 石油实验地质, 28 (1): 8-14. https://www.cnki.com.cn/Article/CJFDTOTAL-SYSD200601001.htm 秦建中, 2006b. 青藏高原羌塘盆地中生界主要烃源层分布特征. 石油实验地质, 28 (2): 134-141. https://www.cnki.com.cn/Article/CJFDTOTAL-SYSD200602008.htm 秦建中, 2006c. 羌塘盆地有机质热演化与成烃史研究. 石油实验地质, 28 (4): 350-358. https://www.cnki.com.cn/Article/CJFDTOTAL-SYSD200604008.htm 秦建中, 金聚畅, 刘宝泉, 2005a. 海相不同类型烃源岩有机质丰度热演化规律. 石油与天然气地质, 26 (2): 177-184. https://www.cnki.com.cn/Article/CJFDTOTAL-SYYT200502008.htm 秦建中, 等, 2005b. 中国烃源岩. 北京: 科学出版社. 秦建中, 刘宝泉, 郑伦举, 等, 2006. 海相碳酸盐岩烃源岩生排烃能力研究. 石油与天然气地质, 27 (3): 348-355. doi: 10.3321/j.issn:0253-9985.2006.03.009 秦建中, 刘井旺, 刘宝泉, 等, 2002. 加温时间、加水量对模拟实验油气产率及地化参数的影响. 石油实验地质, 24 (2): 152-157. doi: 10.3969/j.issn.1001-6112.2002.02.011 徐思煌, 梅廉夫, 邓四新, 1996. 西藏伦坡拉盆地烃源岩排烃史模拟. 地球科学——中国地质大学学报, 21 (2): 179-183. https://www.cnki.com.cn/Article/CJFDTOTAL-DQKX199602014.htm 赵政璋, 秦建中, 许怀先, 等, 2000. 青藏高原海相烃源岩的油气生成. 北京: 科学出版社, 1-634. 
- 
						
						  
 
		             
		        



 
  
					 
							 
							 下载:
下载: 
				 
							 
							 
							 
							 
 