CHARACTERISTICS OF GARNET IN SHIZHUYUAN SKARN DEPOSIT, HUNAN PROVINCE
-
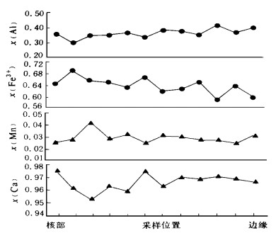
摘要: 通过野外与显微镜观察和电子探针分析, 对柿竹园多金属矿床矽卡岩中石榴石的特征进行了研究.根据石榴石的产出状态、矿物的共生组合, 矽卡岩可分为4个带: 磁铁矿-辉石-石榴石带、辉石-石榴石带、符山石-石榴石带、矽卡岩化大理岩带.从成分上的变化, 探讨了石榴石在各矽卡岩带中的特征.柿竹园矿床矽卡岩中的石榴石可分为早、晚两期, 早期形成的石榴石颜色为暗棕色, 并且在垂直和水平方向上有明显的变化规律.从磁铁矿-辉石-石榴石带到矽卡岩化大理石带, 随着石榴石中Fe2O3含量的减少, Al2O3含量的增加, 由钙铁榴石向钙铝榴石变化; 石榴石晶体具有从核部向边缘由均质性向非均质性变化的规律.早期石榴石形成于较氧化的条件下, 温度为520~620℃, 压力为1000×105Pa, 由富含Si, Al, Fe, Cl, F组分的热液和泥盆纪佘田桥组灰岩反应交代形成.当温度降至450~ 540℃, pH, Eh值降低时, 晚期石榴石形成的同时使白钨矿沉淀.晚期石榴石颜色比早期形成的石榴石浅, 为红色.结晶颗粒较大, 并且, 普遍可以观察到石榴石环带结构.Abstract: In the Shizhuyuan polymetallic skarn deposit in Hunan Province, China, the research for garnet is made by means of the field survey, the microscopic observation and EPMA. This skarn is classified into four zonal distributions in terms of the occurrence of the garnet and the mineral assemblages: magnetite-yroxene-arnet zone, pyroxene-arnet zone, vesuvianite-arnet zone and skarnized marble zone. The features of the garnet in various skarnized zones are discussed with changes of chemical composition and mode of occurrence. The garnet is divided into two stages: early and late stages. During the early stage, the color of the garnet is dark brown, and shows a distinctive zonal pattern with various chemical compositions. In addition, the magnetite-yroxene-arnet zone to skarnized marble zone has transformed from andradite to grossular as the content of Fe2O3 decreases and that of Al2O3 increases. The garnet crystal is characterized by the pattern of compositional changes from core to rim. During the early stage, the garnet occurred in the relatively oxidizing environment at the temperature ranging between 520 and 620 ℃ and at the pressure of 1 000×105 Pa. In addition, this garnet resulted from the metasomatic reaction between the thermal liquids of Si, Al, Fe, Cl, F components and the Devonian limestone of the Shetianqiao Formation. When the temperature falls to 450-540 ℃ and the pH and Eh values decrease in the late stage, the garnet occured with sheelite. The color of the garnet crystal in the late stage is red, and is lighter than that of the early stage. Furthermore, the crystal grain size is larger, and the zonal structure can be universally observed in the late stage.
-
Key words:
- skarn /
- garnet /
- zonal structure /
- Shizhuyuan deposit
-
表 1 柿竹园矿床磁铁矿-辉石-石榴石带的石榴石电子探针分析
Table 1. Electron microprobe analysis of garnet in magnetite-pyroxene-garnet zone of the Shizhuyuan deposits
表 2 柿竹园矿床辉石-石榴石带的石榴石电子探针分析
Table 2. Electron microprobe analysis of garnet in pyroxene-garnet zone of the Shizhuyuan deposits
表 3 柿竹园矿床符山石-石榴石带的石榴石电子探针分析
Table 3. Electron microprobe analysis of vesuvianite_garnet zone in the Shizhuyuan deposits
表 4 柿竹园矽卡岩化大理岩带的石榴石电子探针分析
Table 4. Electron microprobe analysis of garnet in skarnized marble zone of the Shizhuyuan deposits
表 5 柿竹园矿床辉石-石榴石带的环带石榴石电子探针分析
Table 5. Electron microprobe analysis of zonal garnet from pyroxene-garnet zone in the Shizhuyuan deposits
-
[1] 王昌烈, 罗仕徽, 胥友志, 等. 柿竹园多金属矿床地质[M]. 北京: 地质出版社, 1987. 100~103. [2] 王书凤, 张绮玲. 柿竹园矿床地质引论[M]. 北京: 科学技术出版社, 1988. 48~61. [3] 毛景文, 李红艳, 裴荣富. 湖南千里山花岗岩体的Nd-Sr同位素及岩石成因研究[J]. 矿床地质, 1995, 14(3): 135~242. https://www.cnki.com.cn/Article/CJFDTOTAL-KCDZ503.005.htm [4] 孙一虹, 任湘眉. 柿竹园钨锡钼铋矿床主要矿石矿物研究[J]. 矿物学报, 1986, 6(2): 179~187. doi: 10.3321/j.issn:1000-4734.1986.02.014 [5] 陈骏, Halls C, Stanley J. 湖南柿竹园钨-锡-钼-铋矿床中锡石的产状与成因[J]. 地质论评, 1992, 38(2): 164 ~172. doi: 10.3321/j.issn:0371-5736.1992.02.008 [6] 郭吉保. 柿竹园矽卡岩中钙铝榴石—钙铁榴石系列石榴石形成条件的实验研究[J]. 矿物学报, 1987, 7(4): 372 ~380. doi: 10.3321/j.issn:1000-4734.1987.04.014 [7] 陈图华. 湖南柿竹园钨锡铋钼(铍)矿床中石榴石的研究[J]. 岩石矿物及测试, 1987, 4: 123~132. https://www.cnki.com.cn/Article/CJFDTOTAL-YKCS198502005.htm [8] Winchell H. The composition and physical properties of garnet[J]. Amer Min, 1958, 43: 595. [9] 赵斌, 李维显, 蔡元吉, 等. 黑钨矿锡石铌铁矿细晶石铌钽铁矿生成条件及黑钨矿和锡石中铌钽含量变化的实验研究[J]. 地球化学, 1977, (2): 123~135. doi: 10.3321/j.issn:0379-1726.1977.02.003 -




下载: