Comprehensive Identification of Oil and Gas Accumulation Period by Fluid Inclusion Technique and Reservoir Bitumen Characteristics: A Case Study of the Paleozoic Buried Hill in Beidagang, Huanghua Depression
- 
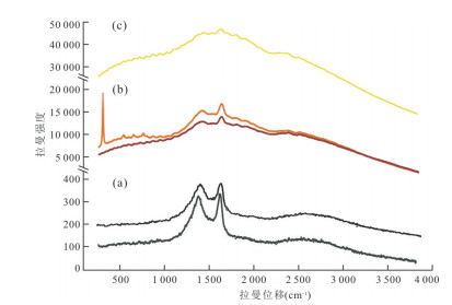
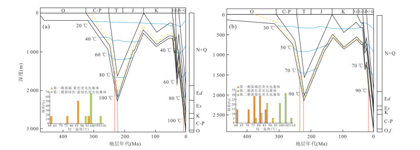
					    摘要: 渤海湾盆地潜山油气资源较丰富,近期黄骅坳陷古生界潜山油气勘探取得重大进展,但油气藏的形成时期及期次尚不明确.以黄骅坳陷北大港古生界潜山为例,综合利用储层沥青、流体包裹体观察、测温、拉曼光谱及红外光谱分析等地球化学分析手段,结合烃源岩生烃史,对其油气成藏期进行了系统研究.结果表明:研究区古生界发育碳质、胶质-沥青质、油质3种沥青,经历了生物降解和氧化作用等多种次生改造过程,结合研究区的构造演化及生烃史,推测早侏罗世中期之前存在油气充注;古生界潜山发育两期烃类包裹体,第一期包裹体发黄褐色荧光,主要分布于石英颗粒表面及方解石脉内,均一温度峰值区间为75~80℃,第二期包裹体包括黄色、蓝绿色荧光两类,分布在石英颗粒内裂缝、穿石英颗粒裂缝及方解石脉内,均一温度峰值范围分别为85~90℃和95~100℃;综合古生界潜山储层沥青及包裹体特征,结合烃源岩生烃史,确定古生界存在两期油气充注,分别为中三叠世(235~223 Ma)和新近纪-第四纪(22~0 Ma),且以晚期成藏为主.Abstract: The oil and gas resources of the buried hills in the Bohai Bay Basin are abundant. The oil and gas exploration in the Paleozoic buried hills in the Huanghua Depression has made significant progress recently,but the accumulation period of the oil and gas reservoirs is still unclear.The systematic study on the hydrocarbon accumulation period of the Paleozoic oil and gas reservoirs in the Beidagang buried hill is carried out using comprehensive utilization of reservoir solid bitumen analysis method,fluid inclusion analysis method and microscopic temperature measurement technology,in combination with Raman spectroscopy and infrared spectrum analysis and other geochemical analysis methods. The results show that the study area has three kinds of reservoir bitumen,including carbonaceous bitumen,colloid-asphaltene bitumen and oily bitumen,which have undergone various secondary transformation processes such as biodegradation and oxidation. It is confirmed that there is oil and gas charge before the middle Early Jurassic according to structural evolution of the study area.Two hydrocarbon inclusions are developed in the study area. The first stage of the inclusions shows yellow-brown fluorescence,which is mainly distributed on the surface of quartz particles and calcite veins. The homogenization temperature peak range is 75-80 ℃. The second phase inclusions show yellow and blue-green fluorescence,which are distributed in the fractures within the quartz grains,fractures through quartz grains and the calcite veins. The homogenization temperature peak ranges of the two are 85-90 ℃ and 95-100 ℃ respectively.Combining with the hydrocarbon generation history of source rocks,there are two stages of hydrocarbon accumulation in Paleozoic reservoirs,which are Middle Triassic (235-223 Ma) and Neogene-Quaternary (22-0 Ma),and the second period is the major stage.
- 
						
    
图 2 北大港潜山储层沥青镜下特征 a.GG16102井,1 982.72 m,二叠系,荧光×5;b. GG16102井,1 982.72 m,二叠系,透射光×5;c.GG1-1井,1 779.7 m,二叠系,荧光/透射光×5;d.GG1-1井,1 779.7 m,二叠系,透射光×5;e.GG2-1井,2 895.4 m,石炭系,荧光×5;f. GG2-1井,2 895.4 m,石炭系,透射光×5;g.GG2-1井,2 895.4 m,石炭系,荧光×5;h.GG2-1井,2 895.4 m,石炭系,透射光×5 Fig. 2. Bitumen fluorescence characteristics in Beidagang buried hill 图 6 北大港潜山流体包裹体镜下特征 a.GG16101井,2 856.83 m,奥陶系,荧光×50;b.GG16101井,2 856.83 m,奥陶系,透射光×50;c.GG1-1井,1 779.7 m,二叠系,荧光×50;d.GG1-1井,1 779.7 m,二叠系,透射光×50;e.GG10102井,1 982.72 m,二叠系,荧光×50;f.GG10102井,1 982.72 m,二叠系,透射光×50;g.GG10102井,1 981.42 m,二叠系,荧光×50;h.GG10102井,1 981.42 m,二叠系,透射光×50. olg为气液两相包裹体 Fig. 6. Microscopic characteristics of hydrocarbon fluid inclusions in Beidagang buried hill 
- 
						Bao, J.P., Si, C.S., Jiang, X.C., et al., 2016. Study on Origin and Source of Solid Bitumen from the Xiaocaoba Paleo-Reservoir in the Northern Guizhou Depression. Geochimica, 45(3): 315-328 (in Chinese with English abstract). http://www.wanfangdata.com.cn/details/detail.do?_type=perio&id=dqhx201603007 Chen, H.H, 2007. Advances in Geochronology of Hydrocarbon Accumulation. Oil & Gas Geology, 28(2): 143-150 (in Chinese with English abstract). http://d.old.wanfangdata.com.cn/Periodical/dqkxjz201412007 Chen, S.J., Yao, J.L., Lu, J.G., et al., 2012. Reservoir Bitumen Genesis and Its Impacts on Hydrocarbon Migration and Accumulation: a Case Study from Chang 81 of Yangchang Fomation in Huaqing Area, the Ordos Basin. Oil & Gas Geology, 33(1): 37-44 (in Chinese with English abstract). Chen, Z.L., Liu, G.D., Cao, Z.L., et al., 2018. Origin of Solid Bitumen and Its Significance to Petroleum Geology: a Case Study of Baikouquan Formation in Mahu Sag of Junggar Basin. Journal of China University of Mining & Technology, 47(2): 391-399 (in Chinese with English abstract). Duan, C.L., Chen, J.F., 2007. Geochemical Characteristics of Biodegraded Crude Oil and Their Significances. Natural Gas Geoscience, 18(2): 278-283 (in Chinese with English abstract). http://www.wanfangdata.com.cn/details/detail.do?_type=perio&id=trqdqkx200702023 Duan, J.C., Zhuang, X.G., He, M.C., 2002. Characteristics in Laser Raman Spectrum of Different Ranks of Coal. Geological Science and Technology Information, 21(2): 65-68 (in Chinese with English abstract). http://www.wanfangdata.com.cn/details/detail.do?_type=perio&id=dzkjqb200202014 Hao, B., Zhao, W.Z., Hu, S.Y., et al., 2017. Bitumen Genesis and Hydrocarbon Accumulation History of the Cambrian Longwangmiao Formation in Central Sichuan Basin. Acta Petrolei Sinica, 38(8): 863-875 (in Chinese with English abstract). http://www.wanfangdata.com.cn/details/detail.do?_type=perio&id=syxb201708003 Hu, K., Liu, Y.J., Willeins, R. W. T., 1993. Raman Spectral Studies of Sedimentary Organic Matter. Acta Sedimentologica Sinica, 11(3): 64-71 (in Chinese with English abstract). http://www.wanfangdata.com.cn/details/detail.do?_type=perio&id=1728a18d6c3f46db996fdcfb33da35a0 Jiang, Y. L., Fang, L., Liu, J. D., et al., 2016. Hydrocarbon Charge History of the Paleogene Reservoir in the Northern Dongpu Depression, Bohai Bay Basin, China. Petroleum Science, 13(4): 625-641. https://doi.org/10.1007/s12182-016-0130-5 Jiang, Y.L., Zhang, W.J., Liu, H., et al., 2018. Properties of Fluid Inclusions and Periods of Hydrocarbon Accumulation in Paleogene Reservoirs in Raoyang Depression. Journal of China University of Petroleum(Edition of Natural Science), 42(4): 23-33 (in Chinese with English abstract). http://d.old.wanfangdata.com.cn/Periodical/sydxxb201804003 Kelemen, S. R., Fang, H. L., 2001. Maturity Trends in Raman Spectra from Kerogen and Coal. Energy & Fuels, 15(3): 653-658. https://doi.org/10.1021/ef0002039 Li, E.T., Jin, J., Chen, J., et al., 2019. Study on Biomarkers and Carbon Isotopic Compositions of Monomer Hydrocarbons in Asphaltene Pyrolysis Products from Biodegraded Heavy Oil. Geochimica, 48(3): 284-292 (in Chinese with English abstract). http://d.old.wanfangdata.com.cn/Periodical/dqhx201903006 Liu, D.H., Lu, H.Z., Xiao, X.M., 2007. Oil and Gas Inclusions and Their Application in Petroleum Exploration and Development. Guangdong Science and Technology Press, Guangzhou(in Chinese). Liu, D.H., Xiao, X.M., Tian, H., et al., 2009. Identification of Natural Gas Origin Using the Characteristics of Bitumen and Fluid Inclusions. Petroleum Exploration and Development, 36(3): 375-382 (in Chinese with English abstract). http://www.wanfangdata.com.cn/details/detail.do?_type=perio&id=syktykf200903013 Liu, D.H., Xiao, X.M., Tian, H., et al., 2013. Sample Maturation Calculated Using Raman Spectroscopic Parameters for Solid Organics: Methodology and Geological Applications. Chinese Science Bulletin, 58(11): 1228-1241 (in Chinese). doi: 10.1007/s11434-013-5681-x Liu, H., Jiang, Y.L., Lu, H., et al., 2016. Restoration of Fluid Pressure during Hydrocarbon Accumulation Period and Fluid Inclusion Feature in the Bonan Sag. Earth Science, 41(8): 1384-1394 (in Chinese with English abstract). http://www.wanfangdata.com.cn/details/detail.do?_type=perio&id=dqkx201608011 Liu, K.Y., Bourdet, J., Zhang, B.S., et al., 2013. Hydrocarbon Charge History of the Tazhong Ordovician Reservoirs, Tarim Basin as Revealed from an Integrated Fluid Inclusion Study. Petroleum Exploration and Development, 40(2): 171-180 (in Chinese with English abstract). http://www.wanfangdata.com.cn/details/detail.do?_type=perio&id=syktykf201302007 Liu, P., Jiang, Y.L., Hao, J.G., et al., 2013. The Relationship between the Fault Activity and the Neogene Hydrocarbon Enrichment during the Main Hydrocarbon Generation Period in Qikou Sag of Bohai Bay Basin. Geology in China, 40(5): 1474-1483 (in Chinese with English abstract). http://www.wanfangdata.com.cn/details/detail.do?_type=perio&id=zgdizhi201305012 Liu, X.P., Qiu, N.S., 2006. Analysis of Hydrocarbon Charge History of Subtle Oil and Gas Reservoirs in Qikou Sag of Huanghua Depression. Journal of Oil and Gas Technology, 28(3):203-205 (in Chinese). Liu, Z.H., Su, F., Yang, S.H., et al., 2018. Geochemical Characteristics of Zircon Inclusions from Changle Corundum in Shandong Province. Geochimica, 47(1): 48-62 (in Chinese with English abstract). http://www.wanfangdata.com.cn/details/detail.do?_type=perio&id=dqhx201801004 Shan, Y., Zou, Y.R., Min, Y.S., et al., 2018. Characteristics and Significance of Maturity of Raman Spectra of Type Ⅰ Kerogen during Maturation. Geochimica, 47(5): 586-592 (in Chinese with English abstract). http://www.wanfangdata.com.cn/details/detail.do?_type=perio&id=dqhx201805010 Tian, X.W., Hu, G.Y., Li, W., et al., 2013. Geochemical Characteristics and Significance of Sinian Reservoir Bitumen in Leshan-Longnvsi Paleo-Uplift Area, Sichuan Basin. Natural Gas Geoscience, 24(5): 982-990 (in Chinese with English abstract). http://d.old.wanfangdata.com.cn/Periodical/trqdqkx201305014 Wang, Q.R., Chen, H.H., Hu, S.Z., et al., 2016. Curve-Fitting Analysis of Micro FT-IR and Its Application on Individual Oil Inclusion and Micro-Area Bitumens. Earth Science, 41(11): 1921-1934 (in Chinese with English abstract). http://www.wanfangdata.com.cn/details/detail.do?_type=perio&id=dqkx201611008 Wang, Q.R., Chen, H.H., Zhao, Y.T., et al., 2018. Differences of Hydrocarbon Accumulation Periods in Silurian of Tazhong Northern Slope, Tarim Basin. Earth Science, 43(2): 577-593 (in Chinese with English abstract). http://d.old.wanfangdata.com.cn/Periodical/dqkx201802018 Zeng, Y. S., Wu, C. D., 2007. Raman and Infrared Spectroscopic Study of Kerogen Treated at Elevated Temperatures and Pressures. Fuel, 86(7-8): 1192-1200. https://doi.org/10.1016/j.fuel.2005.03.036 Zerda, T. W., John, A., Chmura, K., 1981. Raman Studies of Coals. Fuel, 60(5): 375-378. https://doi.org/10.1016/0016-2361(81)90272-6 Zhang, D.D., Liu, C.Y., Huang, Y.J., et al., 2015. Uplifting Characteristics and Its Petroleum Significance of Beidagang Salient Tectonic Belt in Qikou Sag. Earth Science Frontiers, 22(3): 129-136 (in Chinese with English abstract). http://d.old.wanfangdata.com.cn/Periodical/dxqy201503011 Zhang, N., Wang, Z.M., Ju, F.P., et al., 2013. Diagenetic Bitumen in Ordovician Carbonate Reservoirs of the Northern Tarim Basin. Acta Petrolei Sinica, 34(2): 225-231 (in Chinese with English abstract). http://www.wanfangdata.com.cn/details/detail.do?_type=perio&id=syxb201302003 Zhang, J., Qiu, N.S., Wang, X., et al., 2005. Thermal Evolution and Reservoiring History in Qikou Sag, Huanghua Depression. Oil & Gas Geology, 26(4): 505-511 (in Chinese with English abstract). http://www.wanfangdata.com.cn/details/detail.do?_type=perio&id=syytrqdz200504018 Zhao, X.Q., Chen, J.F., Zhang, T.L., et al., 2012. Geochemical Characteristics and Genesis of Reservoir Bitumen of Feixianguan Formation in Well Puguan 2, Northeast of Sichuan. Acta Sedimentologica Sinica, 30(2): 375-384 (in Chinese with English abstract). http://www.wanfangdata.com.cn/details/detail.do?_type=perio&id=cjxb201202019 Zhou, Q., Xiao, X. M., Pan, L., et al., 2014. The Relationship between Micro-Raman Spectral Parameters and Reflectance of Solid Bitumen. International Journal of Coal Geology, 121: 19-25. https://doi.org/10.1016/j.coal.2013.10.013 Zhu, Y.M., Qin, Y., Fan, B.H., et al., 2001. The Second Hydrocarbon-Generation Evolution of Palaeozoic Source Rocks in Qigu-1 Well in the Huanghua Depression. Acta Geologica Sinica, 75(3): 426-431 (in Chinese with English abstract). Zhuo, Q.G., Zhao, M.J., Xie, H.W., et al., 2011. Relationship between Reservoir Bitumen and Hydrocarbon Migration in Dabei Region, Kuqa Foreland Basin. Petroleum Geology & Experiment, 33(2): 193-196 (in Chinese with English abstract). http://www.wanfangdata.com.cn/details/detail.do?_type=perio&id=sysydz201102016 包建平, 斯春松, 蒋兴超, 等, 2016.黔北坳陷小草坝古油藏储层沥青来源与成因研究.地球化学, 45(3): 315-328. doi: 10.3969/j.issn.0379-1726.2016.03.007 陈红汉, 2007.油气成藏年代学研究进展.石油与天然气地质, 28(2): 143-150. doi: 10.3321/j.issn:0253-9985.2007.02.003 陈世加, 姚泾利, 路俊刚, 等, 2012.储层沥青成因及其对油气运聚的影响:以鄂尔多斯盆地华庆地区长8油层组1砂组为例.石油与天然气地质, 33(1): 37-44. http://d.old.wanfangdata.com.cn/Periodical/syytrqdz201201005 陈哲龙, 柳广弟, 曹正林, 等, 2018.储层沥青成因及其石油地质意义:以准噶尔盆地玛湖凹陷百口泉组为例.中国矿业大学学报, 47(2): 391-399. http://d.old.wanfangdata.com.cn/Periodical/zgkydxxb201802019 段传丽, 陈践发, 2007.生物降解原油的地球化学特征及其意义.天然气地球科学, 18(2): 278-283. doi: 10.3969/j.issn.1672-1926.2007.02.023 段菁春, 庄新国, 何谋春, 2002.不同变质程度煤的激光拉曼光谱特征.地质科技情报, 21(2): 65-68. doi: 10.3969/j.issn.1000-7849.2002.02.014 郝彬, 赵文智, 胡素云, 等, 2017.川中地区寒武系龙王庙组沥青成因与油气成藏史.石油学报, 38(8): 863-875. http://d.old.wanfangdata.com.cn/Periodical/syxb201708003 胡凯, 刘英俊, Willeins, R.W.T., 1993.沉积有机质的喇曼光谱研究.沉积学报, 11(3): 64-71. 蒋有录, 张文杰, 刘华, 等, 2018.饶阳凹陷古近系储层流体包裹体特征及成藏期确定.中国石油大学学报(自然科学版), 42(4): 23-33. doi: 10.3969/j.issn.1673-5005.2018.04.003 李二庭, 靳军, 陈俊, 等, 2019.生物降解稠油沥青质热解产物中生物标志化合物与单体烃碳同位素组成研究.地球化学, 48(3): 284-292. http://d.old.wanfangdata.com.cn/Periodical/dqhx201903006 刘德汉, 卢焕章, 肖贤明, 2007.油气包裹体及其在石油勘探和开发中的应用.广州:广东科技出版社. 刘德汉, 肖贤明, 田辉, 等, 2009.应用流体包裹体和沥青特征判别天然气的成因.石油勘探与开发, 36(3): 375-382. doi: 10.3321/j.issn:1000-0747.2009.03.013 刘德汉, 肖贤明, 田辉, 等, 2013.固体有机质拉曼光谱参数计算样品热演化程度的方法与地质应用.科学通报, 58(13): 1228-1241 http://www.wanfangdata.com.cn/details/detail.do?_type=perio&id=kxtb201313010 刘华, 蒋有录, 卢浩, 等, 2016.渤南洼陷流体包裹体特征与成藏期流体压力恢复.地球科学, 41(8): 1384-1394. doi: 10.3799/dqkx.2016.109 刘可禹, Bourdet, J., 张宝收, 等, 2013.应用流体包裹体研究油气成藏:以塔中奥陶系储集层为例.石油勘探与开发, 40(2): 171-180. http://d.old.wanfangdata.com.cn/Periodical/syktykf201302007 刘培, 蒋有录, 郝建光, 等, 2013.渤海湾盆地歧口凹陷主要生烃期断层活动与新近系油气富集关系.中国地质, 40(5): 1474-1483. doi: 10.3969/j.issn.1000-3657.2013.05.012 刘小平, 邱楠生, 2006.黄骅坳陷歧口凹隐蔽油气藏成藏期分析.石油天然气学报(江汉石油学院学报), 28(3): 203-205. 刘子恒, 苏菲, 杨赛红, 等, 2018.山东昌乐刚玉中锆石包裹体的地球化学特征.地球化学, 47(1): 48-62. doi: 10.3969/j.issn.0379-1726.2018.01.004 单云, 邹艳荣, 闵育顺, 等, 2018. Ⅰ型干酪根热成熟过程中拉曼光谱特征及其成熟度意义.地球化学, 47(5): 586-592. http://d.old.wanfangdata.com.cn/Periodical/dqhx201805010 田兴旺, 胡国艺, 李伟, 等, 2013.四川盆地乐山-龙女寺古隆起地区震旦系储层沥青地球化学特征及意义.天然气地球科学, 24(5): 982-990. 王倩茹, 陈红汉, 胡守志, 等, 2016.单个油包裹体和微区沥青显微红外光谱分峰拟合技术及应用.地球科学, 41(11): 1921-1934. doi: 10.3799/dqkx.2016.133 王倩茹, 陈红汉, 赵玉涛, 等, 2018.塔中北坡顺托果勒地区志留系油气成藏期差异性分析.地球科学, 43(2): 577-593. doi: 10.3799/dqkx.2018.026 张东东, 刘池洋, 黄翼坚, 等, 2015.歧口凹陷北大港凸起构造带形成演化及其油气意义.地学前缘, 22(3): 129-136. http://www.wanfangdata.com.cn/details/detail.do?_type=perio&id=dxqy201503011 张杰, 邱楠生, 王昕, 等, 2005.黄骅坳陷歧口凹陷热史和油气成藏史.石油与天然气地质, 26(4): 505-511. doi: 10.3321/j.issn:0253-9985.2005.04.018 张鼐, 王招明, 鞠凤萍, 等, 2013.塔北地区奥陶系碳酸盐岩中的储层沥青.石油学报, 34(2): 225-231. http://d.old.wanfangdata.com.cn/Periodical/syxb201302003 赵兴齐, 陈践发, 张铜磊, 等, 2012.川东北地区普光2井飞仙关组储层沥青地球化学特征及成因分析.沉积学报, 30(2): 375-384. http://www.wanfangdata.com.cn/details/detail.do?_type=perio&id=cjxb201202019 朱炎铭, 秦勇, 范炳恒, 等, 2001.黄骅坳陷歧古1井古生界烃源岩的二次生烃演化.地质学报, 75(3): 426-431. doi: 10.3321/j.issn:0001-5717.2001.03.017 卓勤功, 赵孟军, 谢会文, 等, 2011.库车前陆盆地大北地区储层沥青与油气运聚关系.石油实验地质, 33(2): 193-196. doi: 10.3969/j.issn.1001-6112.2011.02.016 
- 
						
						  
 
		             
		        



 
  
					 
							 
							 下载:
下载: 
				 
							 
							 
							 
							 
							 
							 
							 
 