2025 Vol. 50, No. 11
With the advance of green energy transformation in the 21st century, the demand for copper has surged dramatically and porphyry copper deposits as the main suppliers of global copper resources have been paid great attention from both academic and industrial communities. Although a set of classic models have been established for Cenozoic porphyry copper deposits, the porphyry copper deposits located at Paleozoic Central Asian Orogenic Belt exhibit unique characteristics and their genesis mechanisms are not fully understood. Taking important porphyry copper deposits in Xinjiang as research objects, this study reveals that these deposits generally experienced multiple magmatic activities with time spanning up to 100-200 Ma and often underwent superimposed and/or modification mineralization stages after porphyry mineralization. For example, the Tuwu-Yandong deposit has mineral assemblages of anhydrite, chalcopyrite, calcite, and chlorite after porphyry mineralization; the Yuhai-Sanchakou mining area exhibits post-porphyry veins of epidote, quartz, chlorite, zeolite, and calcite; and the Halasu copper belt shows late alteration and mineralization with copper-bearing sulfide veins and argillic alteration. Fluid inclusion studies further confirm that new fluid systems would overprint on the hydrothermal fluid system in the porphyry stage. Based on these observations, it proposes a new superimposed mineralization model of modification for Paleozoic porphyry copper deposits in Xinjiang. In the early stage of island arc evolution, pre-mineralization magmatic activities may form unmineralized alterations in the mining areas such as early sodic-calcic alteration and epidote alteration at the Halasu belt. With the maturity of the island arc, tectonic triggers such as flat subduction facilitated high oxygen fugacity, water-rich magmatic activities which partly have adakite-like geochemical features and formed the porphyry-type mineralization and alteration in the mining areas such as diorite porphyry in Tuwu-Yandong and diorite porphyry and granodiorite porphyry at Halasu. Further tectonic evolution including change of subduction polarity or postcollisional asthenospheric upwelling led to new magmatic hydrothermal activities superimposed on preexisting porphyry-type mineralization and alteration. Moreover, post-mineralization tectonic metamorphism may also introduce new mineralizing materials or cause remobilization of preexisting ores. The aforementioned models underscore the importance of specific tectonic or magmatic activities that may superimpose on pre-existing porphyry mineralization systems in long-lived arcs with sustained multistage magmatic activities. These activities, beyond the classic types of porphyry mineralization alteration, require special attention due to their exploration potential to introduce new mineralizing components.
The Paleo-Tethyan Ocean, represented by the Jinshajiang River suture in eastern Tibetan Plateau, was consumed and closed in the Early-Middle Triassic, but the specific process after the oceanic crust demise is still poorly constrained. The potential for porphyry copper mineralization of magma generated in post-subduction setting remains unclear. In present study, geochronological and geochemical analyses were carried out on the Yarigong pluton in Batang area. Magmas were intruded in Late Triassic as corroborated by zircon U-Pb mean age of about 227 Ma. Rocks from this intrusion were characterized by high SiO2 (65.5% to 67.6%) and Mg# (53 to 64), as well as high initial 87Sr/86Sr values (0.709 8 to 0.711 8) and low εNd(t) values (-7.4 to -8.0). Magma generation of the Yarigong pluton resulted from interaction between melts derived from continental crust and peridotite mantle, and partial melts of the continental crust was likely associated with the break-off of early subducted Paleo-Tethyan oceanic slab. Geochemical compositions of amphibole and zircon suggest high magma H2O contents (>5%), the oxygen fugacity of magma is lower than magma related to typical porphyry Cu deposits, and extremely low S in magma was indicated by consistent low SO3 in apatite. These conditions imply barren magma for porphyry Cu deposit formation.
The Yulong porphyry copper deposit is the only super-large porphyry deposit in the Yulong porphyry copper belt, and the previous research on this deposit is primarily focused on genesis, with limited emphasis on the significance of post-metallogenic transformation in formulating prospecting strategies. Thermochronological methods such as zircon U-Pb, apatite fission track, apatite and zircon (U-Th)/He were employed to date and conduct related thermal history inverse modellings. The results indicate that the zircon U-Pb concordant age of the monzogranite porphyry of the Yulong deposit is (41.7±0.5) Ma, with zircon (U-Th)/He age ranging from 34.9 Ma to 39.3 Ma, indicating that the magmatic-hydrothermal evolution process of the Yulong deposit may have lasted at least 5 Ma. The apatite fission track ages range from 34.7 Ma to 19.7 Ma, while apatite (U-Th)/He ages range from 20.7 Ma to 18.4 Ma. These sequentially decreasing ages are indicative of the timing of cooling and exhumation events. The inverse thermal history modelling indicates that the Yulong deposit has undergone a roughly three-stage cooling process, combined with the regional tectonic evolution data, and the relatively rapid cooling between 34 Ma and 30 Ma may be related to the rapid uplift of the Qinghai-Xizang Plateau, resulting from the ongoing collision between the India and Eurasian continents during this period. The relatively slow cooling observed between 30 Ma and 21 Ma could be linked to the weakening collision activity. The relatively rapid cooling between 21 Ma and 14 Ma may be associated with the crustal thickening event in the North Qiangtang terrane, triggered by tectonic shortening or magma inflation during this period. Utilizing the thermal history simulation method, the exhumation amount of Yulong deposit is 3.45 km, Considering the 4- 5 km of metallogenic depth of Yulong deposit, there is still 0.5-1.5 km of prospecting space in the deep part of the deposit.
The Southwest Yunnan Tin Belt is one of the most important tin metallogenic belts in China. The temporal and spatial distribution of granite-related tin deposits in the Southwest Yunnan Tin Belt has been summarized, but the relationship between the spatial distribution of tin deposits and the nature of the crust, as well as the reasons for its constraints on tin mineralization, are still unclear. In this paper, published zircon Hf isotope data of Early Paleozoic-Cenozoic granites in Southwest Yunnan are collected. Based on previous large-scale isotope mapping of the Sanjiang Tethys orogenic belt, the εHf(t) value and TDMC contour maps and two typical profiles in Southwest Yunnan are drawn by ArcGIS software. The mapping results show that the Changning-Menglian orogenic belt and Baoshan terrane are ancient crustal domains with low εHf(t) and high TDMC, while the Tengchong terrane has uneven isotopic distribution, and there are both ancient crustal regions with low εHf(t) and high TDMC, as well as newly formed crustal regions with high εHf(t) and low TDMC. The distribution of tin deposits in Southwest Yunnan is closely related to crustal properties. Tin deposits are all distributed in ancient crustal areas with low εHf(t) and high TDMC, while no tin deposits have been found in the newly formed crustal areas with high εHf(t) and low TDMC. The concentrated production of tin ore in ancient crustal regions may be related to ancient tin rich crust. The mixing of low tin and high oxygen fugacity mantle magma has an inhibitory effect on the enrichment of tin in granite, which may be the reason for the unclear tin mineralization in the newly formed crustal area.
Prospecting for ore bodies in the deep and peripheral zones remains pivotal for breakthroughs in the volcanic-hosted massive sulfide (VHMS)-type Cu-polymetallic ore field of the Baiyinchang district. However, conventional geophysical methods have limitations in application due to shallow electromagnetic interference and insufficient resolution at depth. To address these challenges, this study innovatively integrates the Wide-Field Electromagnetic Method (WFEM) and Coded Source Electromagnetic Sounding (CSES) for deep exploration in the Xiaotieshan mining area. The results demonstrate that the resistivity of ferromanganese siliceous rocks and lead-zinc ores is below 100 Ω·m, while the ore-hosting Quartz-keratophyre tuffs exhibit a low resistivity (mean value: 191 Ω·m). In contrast, the subquartz-keratophyre, as the main ore-controlling geological unit, shows significantly higher resistivity (mean value: 1 976 Ω·m), revealing quantifiable electrical contrasts. Subvolcanic intrusions are characterized by dendritic high-resistivity anomalies (> 1 500 Ω·m), with favorable prospecting targets identified in transitional zones (< 400 Ω·m), deep extensions of known ore bodies, and low-resistivity anomalies atop high-resistivity zones. The combined application of two geophysical methods in complex stratigraphic regions of volcanic rocks demonstrates synergistic effects: the wide-field electromagnetic method effectively reveals the electrical structure of volcanic basement and deep-seated high-resistivity rock masses, while the encoded-source electromagnetic sounding method enables high-precision delineation of middle-shallow low-resistivity mineralized zones. Based on integrating geophysical anomalies and metallogenic dynamics, a composite genetic model-termed "volcanic structure-hydrothermal convection-tectonic activation"-is proposed to elucidate the multi-stage mineralization processes. A geological-geophysical "magma-tectonic-alteration synergistic prospecting model" is established, delineating four prospective targets. These findings provide critical constraints for drill hole verification and offer scientific guidance for deep-peripheral exploration in the Baiyinchang ore field and regional analog studies.
Marine-continental transitional (MCT) shale gas is an important successor of unconventional natural gas resources in China. Based on integrated analyses of literature review, outcrop investigation, exploration practice, drilling cores, and experimental testing, it systematically reviewed and compared the development history of shale gas globally and in China, examined the exploration progress and challenges of MCT shale gas in the Ordos basin, Sichuan basin, and adjacent areas, and conducted a comprehensive discussion of the key geological conditions for the formation of shale gas and its resource potential, challenges, and counter measures. The results show that MCT shale in China is mainly developed within the Carboniferous-Permian strata (Benxi, Shanxi, and Longtan formations), dominated by lagoon, swamp, and tidal flat facies, and possesses favorable conditions for shale gas formation and development potential. (1) The organic-rich shale intervals are thick and widespread, with dominant Type Ⅲ organic matter, high organic matter abundance (average TOC content≥3.0%), and moderate thermal maturity (Ro=1.60%-2.61%), which are conducive to large-scale gaseous hydrocarbon generation. (2) Shale reservoirs are dominated by inorganic pores (clay mineral pores), with well-developed organic micropores (0.4-0.7 nm), and a high proportion of adsorbed gas (average 61.0%, up to 75%), providing favorable conditions for shale gas storage and enrichment. (3) The total MCT shale gas resource in China exceeds 50×1012 m3, of which the favorable resource volume in the Jinci Member of the Benxi Formation, the Shan23 and Shan 22+1 sub-members of the Shanxi Formation in the Ordos basin reaches 16×1012 m3. Notably, a commercial breakthrough has been achieved in the Shan23 sub-member, demonstrating promising exploration and development prospects. However, the exploration and development of MCT shale gas remain at the early breakthrough stage, facing many challenges such as strong heterogeneity of sweet spots and high clay mineral content, which constrain drilling, completion, fracturing, and development effectiveness. To achieve large-scale development of MCT shale gas requires integrated evaluation of "sedimentary facies-preservation conditions–resource potential, " as well as technological advances in "multi-cluster within stage+limited-entry fracturing" and "platform-based well pattern+3D well deployment." This will promote the coordinated co-production of shale gas, coal-rock gas, and tight gas within the MCT shale system in the context of the whole petroleum system. By overcoming bottlenecks in geological theory and engineering technology, MCT shale gas is expected to become a new strategic successor for increasing natural gas reserves and production in China.
Integrating geological and drilling data, traditional geophysical techniques such as gravity, magnetic, and electrical surveys provide quantifiable constraints on density, magnetic susceptibility, resistivity and polarization, for locating concealed and deep-seated metallic ores. Since seismic exploration offers higher spatial resolution on strata and structural geometry, its combination with gravity, magnetic, and electrical methods can significantly enhance exploration accuracy of metallic ores. Due to the complex terrain and subsurface geological conditions encountered in metallic ore exploration, however, the traditional reflection seismic method faces two major challenges: high acquisition costs and multiplicity of only P-wave velocity tomography. Therefore, based on modern sensing, communication and computing technologies, in this paper it draws on the latest seismic techniques applied in engineering geology and fossil energy to address how to reduce the cost of seismic survey and improve the imaging accuracy in conditions of complex surface and subsurface geological structures of metallic ores. After thorough analysis of the challenges in metallic ore seismic exploration, it proposes several technical solutions, including the combined use of active and passive source seismic, artificial intelligence-based seismic acquisition technique to decrease the seismic acquisition cost substantially, multi-component seismic scattering imaging, and joint inversion for multiple physical parameters to improve accuracy of predicting ore deposits. Additionally, it discusses key issues that should be addressed in the future regarding the limitations of current seismic theories and techniques.
To clarify the deformation sequence and ore-controlling structures of the Longwangjiang Au-Sb ore-field in West Hunan, as well as to reveal the age and tectonic setting of its formation, it conducted detailed structural analyses and LA-ICP-MS U-Pb dating of ore-bearing quartz vein hydrothermal zircon. Additionally, it comprehensively analyzed regional tectonic evolution and age data. The study area underwent six stages of structural deformation events, progressing from early to late: Late Silurian NW-NWW compression, late Middle Triassic NW-NWW compression, late Late Triassic near SN compression, late Middle Jurassic NWW compression, Cretaceous regional NW-SE extension, and Mid-Late Cenozoic NEE-NE compression. The LA-ICP-MS U-Pb age of the quartz vein hydrothermal zircon was determined to be (211.8±4.8) Ma. The comprehensive analysis suggests that: mineralization primarily occurred during the Late Triassic (211-206 Ma) and the formation of the Longwangjiang ore-field is associated with late-stage hydrothermal activity triggered by the collision of the Indochina period with the South China margin during the intracontinental collision phase. The ore-field is situated within a block confined by the reverse thrust of the Longwangjiang fault (F1) and the Heitupo fault (F2). The F1 and F3 faults serve as ore-guiding structures, while the NE-NNE-trending strong foliated zones (shear zones) and the Jiangdongwan fault serve as ore-distributing and ore-bearing structures simultaneously. The ore-distributing and ore-bearing structures in the deep parts of the ore deposit have great mineral exploration potential; the Taojinping-Huomaotang area is a key region for exploration due to concentrated structural stress.
Recent years have witnessed increasing attention on the enrichment of selenium (Se) and tellurium (Te) within the Pulang super-large porphyry Cu-Au-Mo deposit; however, their resource potential and comprehensive utilization value remain unclear. In this paper it presents a systematical investigation of the principal host minerals and spatial distribution patterns of Se and Te within the deposit, employing methods such as LA-ICP-MS and ME-MS61r, and evaluation of their resource prospects. The findings reveal that Se is primarily enriched in chalcopyrite and molybdenite, while the main host mineral for Te is molybdenite. At the spatial distribution level, the contents of Se and Te in sulfides of the main mining area are obviously higher than those in the eastern mining area on the plane, which may be related to differences in mineralization types and ore-forming temperatures. However, in a single exploration line section, the contents of Se and Te show no obvious regular changes with depth. Regarding utilization value, the analysis of Cu and Mo concentrates shows that the Se content in Cu concentrates is 170×10-6-200×10-6, and that in Mo concentrates reaches 250×10-6, both meeting the recovery indexes for associated Se minerals. The Te content in Cu concentrates is 3.6×10-6-5.5×10-6, and that in Mo concentrates is 16.4×10-6. Only Mo concentrates slightly exceed the recovery standard for associated Te minerals, and due to the Cu-dominated mining characteristics of the deposit, the comprehensive recovery value of Te is relatively limited. In terms of resource estimation, based on the proven Cu resource of 5.11 Mt, the potential Se resource of the Pulang deposit is calculated to be approximately 4 440 t, reaching the super-large scale.
The Longsang deposit is a porphyry copper-molybdenum mining area where mineral exploration is currently underway in the eastern section of the Gangdese metallogenic belt. To further constrain the magmatic-mineralization age and evaluate the metallogenic potential of the ore-bearing intrusions, detailed field geological surveys, and drill core logging were conducted, and zircon U-Pb dating and trace element analysis were performed on the mineralized rock bodies of biotite granodiorite and biotite monzogranite porphyry, with Re-Os dating of molybdenite veins in this study. The results indicate that the ore-bearing intrusions in the Longsang deposit are of crystallization ages of (21.80±0.29) Ma and (21.68±0.23) Ma, while the molybdenite mineralization age is (19.1±0.6) Ma. Additionally, zircon trace elements exhibit high Ce/Nd, (Ce/Nd)/Y, and low Dy/Yb ratios, along with negative Eu anomalies and positive Ce anomalies, indicating that the magma had high oxygen fugacity and water content, which facilitated the enrichment and transport of ore-forming elements such as Cu and Mo. In conclusion, the Longsang deposit underwent diagenetic mineralization during the Miocene epoch, demonstrating significant mineralization potential. These findings provide valuable insights into the spatiotemporal distribution patterns of deposits in the eastern Gangdese belt, contributing to a deeper understanding of regional metallogeny.
This study demonstrates the efficacy of machine learning algorithms in classifying genetic types of Pb-Zn deposits through trace elements in sphalerite. It compiled a comprehensive trace element dataset comprising 3 117 sphalerite samples from 109 globally representative Pb-Zn deposits including MVT, VMS, SEDEX, skarn, and epithermal deposits. Twelve trace elements (Mn, Fe, Co, Cu, Ga, Ge, Ag, Cd, In, Sn, Sb, Pb) were systematically analyzed to develop a Tree-structured Parzen Estimator (TPE)-optimized Support Vector Machine (SVM) classification model. The model demonstrated exceptional discriminative performance on test datasets, achieving accuracy, recall, and F1-score values exceeding 0.97. SHAP (SHapley Additive exPlanations) interpretability analysis revealed Mn, Ge, and Co as critical discriminators among deposit types, providing quantitative insights into elemental controls on genetic classification. The discriminant index system of trace elements in sphalerite established in this paper not only provides a new technical means for the identification of ore genesis, but also provides innovative solutions for complex geological problems such as the analysis of composite metallogenic system and the prediction of concealed ore bodies.
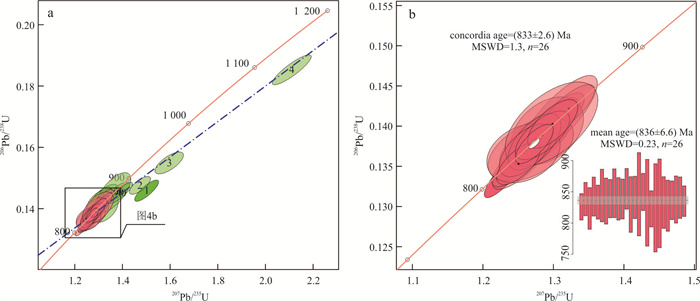
Mantle-derived magmas can serve as a "lithoprobe" for acquiring information about deep Earth materials. In this study, a newly discovered granite xenolith from the Late Ordovician (449 Ma) lamproite at Daping, East Guizhou, was investigated. Zircon U-Pb geochronology, Lu-Hf isotope, and trace element analyses were conducted on the granite xenolith. The results indicate that the concordant zircon U-Pb age of the granite xenolith is (833±2.6) Ma (MSWD=1.3, n=26). The εHf(t) values range from -11.4 to -2.30, and the depleted mantle model ages (TDM) vary from 2 457 to 1 893 Ma. The trace element compositions of zircon, including REEs, U, Th, Pb, Nb, and Hf, suggest that the granite xenolith is an S-type granite related to orogenic processes. The similarity in crystallization ages and Hf isotopic compositions between this granite xenolith and the Neoproterozoic granites exposed in the Fanjingshan region implies that they may collectively form a large granitic batholith at depth. This batholith provides crucial evidence for delineating the northern boundary of the western segment of the Jiangnan Orogen. It is proposed that the boundary between the northern side of the western Jiangnan Orogen and the Yangtze Block should be defined by the Zhangjiajie-Guiyang fault.
Since the Cenozoic, a large amount of high-potassium calc-alkaline volcanic rocks (basaltic trachyandesite and trachyandesite) have developed in the Tengchong area, but the specific formation process remains unclear. Based on petrographic analysis, in this paper it conducts whole-rock major element and mineral major and trace element analyses of these volcanic rocks, and discusses their formation and evolution process in combination with the published data. The rocks commonly exhibit porphyritic textures, with phenocrysts predominantly consisting of olivine, pyroxene, and plagioclase, and the development of glomerocrysts. Clinopyroxene phenocrysts commonly show normal zoning, reverse zoning, and oscillatory zoning, with oscillatory zoning indicating multi-stage mafic magma replenishment and possible local contamination during magma evolution. Whole-rock major element analysis reveals that these rocks belong to the high-potassium calc-alkaline rock series. Clinopyroxene, orthopyroxene, and plagioclase phenocrysts and glomerocrysts show similar REE and trace element distribution patterns, with clinopyroxene being the most enriched in trace elements, followed by plagioclase, and orthopyroxene showing the lowest concentrations. The geochemical characteristics of olivine phenocrysts suggest that the magma source region may have originated from partial melting of peridotite, while the trace element compositions of the whole rocks and clinopyroxene phenocrysts record geochemical signatures characteristic of an arc-related tectonic setting. The mineral equilibrium temperature-pressure calculations reveal the existence of two intermediate to felsic magma reservoirs beneath the study area: a shallow dacitic magma reservoir (depth 8.3-13.6 km) and a deep andesitic magma reservoir (depth 18.4-30.2 km). The studied samples are derived from the deeper reservoir. Their formation involves mafic magma recharge, triggering mixing between crystal mush and melt; when newly generated melts become dominant within the reservoir, eruption is triggered, carrying semi-consolidated magmatic clots to the surface and forming the typical (glomerocrystic) textures.
The Xiazhuang uranium ore field in North Guangdong is characterized by five sets of approximately equidistant NWW-trending diabase dikes, which are closely related to uranium mineralization. To determine the genesis of diabase and its relationship with uranium mineralization. This study systematically investigates the diagenetic age, genesis of diabase, and its controlling mechanisms on uranium mineralization through geochemical analysis of diabase, apatite U-Pb geochronology, and H-O isotopic analysis of ore-forming quartz, combined with regional tectonic background. Results indicate that: (1) The diabase was formed during two magmatic events (200-180 Ma and 150-140 Ma), corresponding to the Early Jurassic and Late Jurassic, respectively. (2) The diabase is enriched in large-ion lithophile elements (LILEs) and highly incompatible elements. The chondrite-normalized rare earth element (REE) patterns exhibit right-leaning trends and no significant Eu or Ce anomalies, indicating an intraplate basalt affinity derived from partial mantle melting with metasomatism by subduction-related fluids. (3) The early-stage diabase (200-180 Ma) served as favorable host rocks for uranium mineralization. The deep-seated faults associated with diabase emplacement provided pathways for ore-forming fluids, and the intersections between faults and diabase facilitated the formation of vein-type uranium deposits with crust-mantle hybrid fluids. The late-stage diabase (150-140 Ma) not only inherited the role of the early-stage diabase but also contributed mantle-derived fluids and mineralizing agents (ΣCO₂) during the 138-122 Ma uranium mineralization stage, promoting the formation of fractured alteration-type uranium deposits dominated by mantle-derived fluids.
Lijiang basin is a multi-plate confluence zone located in the southwestern margin of the Yangtze block. The study for the provenance of the Lower Triassic reveals the source-sink system of the southwestern Yangtze block and its spatio-temporal relationship with the western Gondwana arc basin system. Field observations and microscopic identification show that the sandstones of the Lamei Formation in Heqing region are mainly derived from the proximal transport of felsic volcanic rocks. The detrital zircons exhibit single age peaks of ~254 Ma and ~255 Ma, corresponding to the timing of felsic magmatic activity in the Emeishan Large Igneous Province (ELIP), and are consistent with interior/non-orogenic magmatic zircon trace element signatures, distinguishing them from those in arc orogenic belts. The εHf(t) values of the Lu-Hf isotopic analysis indicate the provenance of the sandstones of Lamei Formation are from the felsic rocks of the ELIP. Whole-rock geochemical data show that the Lamei Formation shares similar trace element characteristics with the Emeishan rhyolites, porphyries and syenites. A comprehensive analysis suggests that the materials of the Lamei Formation originate from the proximal transport of rhyolite, trachyte and syenite from ELIP. During the Early Triassic, the Lijiang basin functioned as a passive continental margin sedimentation area, primarily receiving materials from the ELIP, with no contributions from the western arc-basin system.
Granitic pegmatite is extensively developed in the Yihuang area of Jiangxi Province, and tourmaline is commonly found within granitic pegmatite and its surrounding rocks (biotite monzogranite). Three distinct types of tourmalines have been identified in Tangyin area: randomly disseminated tourmaline (Tur-G) in biotite monzogranite, unzoned tourmaline (Tur-PU) and zoned tourmaline (Tur-PZ) in granitic pegmatite. However, the classification and origin of tourmaline, as well as its implications for the genesis of granitic pegmatite, remain unclear. This study analyzed the major, trace elements, and boron isotopic compositions using EPMA and LA-(MC)-ICP-MS. From Tur-G type→Tur-PU type→Tur-PZ tourmalines core to rim, the concentrations of Al and Fe initially increase and subsequently decrease, whereas the concentrations of Mg, Na, Ca, Ti, Sc, V, Cr, Co, Ni, Sr, Ga, and rare earth elements exhibit an opposite trend, decreasing first and then increasing. The δ11B values for Tur-G, Tur-PU, Tur-PZ type tourmalines core and rim are -10.77‰--8.87‰, -10.59‰--8.73‰, -11.07‰--10.09‰, and -11.05‰- -8.95‰, respectively. It is believed that all tourmalines belong to the iron-magnesium tourmaline series within the alkaline tourmaline group and are of magmatic origin. Specifically, Tur-G, Tur-PU, and Tur-PZ tourmalines crystallized during the late granite melt, the early granitic pegmatite melt, and the late magma-hydrothermal stages, respectively. The changes in the Fe3+/Fe2+ ratio and V content of the tourmaline revealed that the oxygen fugacity of the magma melt exhibit a trend of initially decreasing and subsequently increasing. The concentrations of Mg, Na, Ca, Ti, Sc, V, Cr, Co, Ni, Sr, and Ga in the tourmaline reflect variations in elemental composition within the melt. The tourmaline found in both the Tangyin granitic pegmatite and biotite monzogranite exhibits a concentrated and comparable boron isotope composition, ranging from -11.07‰ to -8.73‰. This similarity suggests that both rock types originated from the same magma source, with the initial magma being derived from the partial melting of the continental crust, specifically calcium-poor and aluminum-rich metamorphic mudstone and sandstone.
The nickel isotope system serves as a crucial tool for investigating the sources, migration, transformation, and cycling processes of nickel in the ocean. Marine sediments play a vital role in the geochemical cycling of nickel, functioning both as a "source" and a "sink" for the element. The nickel isotopic composition can record key information about the nickel cycling process in seawater. In this paper it systematically summarizes the nickel isotopic compositions of seawater and major marine reservoirs, including riverine inputs, hydrothermal systems, and diverse marine sediments (iron-manganese oxide deposits, anoxic sediments, and carbonate sediments). It analyzes nickel isotopic compositions and their interrelationships, and delves into the fractionation mechanisms of nickel isotopes between sediments and seawater and their implications for reconstructing palaeoceanographic environments. The findings demonstrate that nickel isotope possesses unique advantages in tracing changes in palaeoceanographic productivity, sulfur-rich environmental evolution, and the mass balance of the global nickel cycle.
As mineral exploration in China continues to advance, the search for concealed deposits in covered areas has become a crucial future direction. In this paper it systematically reviews the research progress in using gases as prospecting media for mineral exploration in covered terrains. It analyzes the principles, characteristics, sources, and migration mechanisms of mineralization-related gases used in exploration, summarizes the influence of environmental factors on their migration and enrichment. For different types of gases (such as CO2, hydrocarbon gases, sulfur-bearing gases, inert gases Rn and He, and mercury vapor (Hg)), it summarizes their application characteristics and challenges in mineral exploration, highlighting the advantages of multi-gas joint surveys specifically for metallic sulfide deposits. Although gas geochemical methods have demonstrated significant effectiveness in exploration practice, the genetic mechanisms, migration patterns, and influencing factors of various gases require further in-depth research, and the related theoretical framework needs refinement. Concurrently, there is an urgent need to establish a comprehensive system encompassing the detection, identification, tracing, and evaluation of gas geochemical anomalies to enhance the applicability and effectiveness of this method.
Solid texture synthesis based on 2D samples (deep learning) is an important pathway for rock solid texture generation, which currently suffers from the inability of long distance dependence and color distortion. In this paper, it proposes an innovative method based on 3D coordinate attention generative adversarial network (3D-CA-GAN). By extending the coordinate attention mechanism to three-dimensional space (3D-CA) and combining the content-aware upsampling module and multi-scale discriminator, high-fidelity modeling of the spatial distribution of mineral particles is achieved. Experiments show that the method significantly outperforms existing techniques in terms of SSIM (0.773), PSNR (24.92% enhancement), and LPIPS (0.110 reduction), and ablation experiments further validate that the 3D-CA module improves the SSIM of directional textures by 14.69%. This study provides a new solution to texture synthesis with realism for geological modeling, and its 3D attention framework is useful for generic generation tasks.
In order to investigate the heavy metal pollution level of soil and rice in the geological high background area dominated by volcanic weathering, taking the west of Jiangdong new district in Haikou as the research object, 82 soil- rice matching samples were collected to measure the contents of As, Cd, Cu, Hg, Ni, Pb and Zn in soil and rice, and the geo-accumulation index method, Nemerow index method, matter-element extension model, the potential ecological risk assessment method were used to evaluate the pollution of farmland soil in the study area, using correlation analysis and PMF model to explore its main sources and contribution rate, and evaluate the health risk of rice consumption. The results show that there are severe Cu, Ni and Zn pollution in the study area, compared with the background value of soil in Hainan Province, the over standard multiples are 2.00, 2.77 and 1.94 respectively, and compared with the risk screening value of agricultural land, the over standard rates are 23.17%, 17.07% and 7.32% respectively. The land accumulation index method shows that As and Pb in farmland soil in the study area are in a pollution-free degree, and the pollution degree of other heavy metals is Ni > Cu > Zn > Cd > Hg, the pollution degree of Ni element is relatively large, and 7.31% of soil samples are of "medium strong pollution". The comprehensive pollution assessment results show that the pollution area is mainly concentrated in the south of volcanic rocks. Combined with PMF source analysis and spatial analysis results, Hg mainly comes from atmospheric sedimentation. The excessive contents of Cu, Ni and Zn are mainly caused by the weathering of volcanic rock soil forming parent material, Pb mainly comes from traffic pollution sources, and the contents of As and Cd are greatly affected by agricultural activities. There is a certain degree of health risk to human body by having rice, and As and Cd are the main contributing factors. The contents of As, Pb and Hg in rice are lower than the national food safety limits, and the over standard rate of Cd reaches 32.93%, there is a certain degree of health risk to human body by eating rice, As and Cd in rice seeds have a great impact on human health risk, with the contribution rates to non carcinogenic risk of 51.52% and 21.57% respectively, and the contribution rates to carcinogenic risk of 73.88% and 26.01% respectively. In conclusion, the farmland soil in the study area is polluted to a certain extent under the joint influence of volcanic rock weathering and human activities, the content of As in rice does not exceed the standard, but it is the largest potential risk element, it is necessary to focus on the health risks of As and Cd in rice produced in the study area, and formulate scientific and reasonable prevention and control strategies for farmland heavy metals.
To find out a suitable equation for single-well pumping test in double-porosity aquifer, it takes wellbore storage effect into consideration and present the double-porosity non-Darian model with wellbore storage effect based on double-porosity non-Darcian model in this study. Taking a single-well pumping test as an example, the results show that the simulation curve has the highest accuracy when using the double-porosity non-Darcian model proposed in this study; taking non-Dacian effect into consideration is more suitable when the pumping rate is relatively large and the flow in aquifer shows non-Darcian property. When considering non-Darcian effect, we can have a better inversion of the instantaneous drawdown in early time; when regarding the aquifer as double-porosity, we can portray the weak to strong process of the water exchange in fracture and porosity media. In that case, the double-porosity non-Darcian model with wellbore storage effect presented in this study is suitable for single-well pumping test in double-porosity aquifer.
Quantitative research on the impact of urban underground space development on groundwater environment has important theoretical and practical significance for rational development and accurate management of urban underground space. In this paper it discusses the influence of urban underground space development on groundwater flow in Su-Xi-Chang area. Based on construction of the hydrogeological conceptual model of Su-Xi-Chang area, the groundwater flow numerical model was established. Based on the corrected groundwater flow numerical model, the influence of subway operation on groundwater flow was predicted. Due to the obstruction of underground runoff by subway, the upstream groundwater level increases by 0-0.4 m, while the backwater level decreases by 0-0.8 m, increasing the hydraulic gradient in the range of 17.56 km. After the subway is put into operation, the variation in groundwater level near the subway is larger in the first five years and smaller in the second five years. The direction of groundwater runoff changes locally, but the regional direction does not change significantly.
Plankton form the foundation of marine ecosystems, and changes in their community structure and phenology affect ecosystem function and biogeographical patterns. Global warming drives sea surface temperature increases, resulting in poleward shifts of plankton distribution, with the leading edge advancing more noticeably while the core and trailing edge remain relatively stable. Warming also causes phenological shifts in some species, such as earlier spring events and delayed autumn events. The extent of distribution and phenological changes varies among plankton groups, mainly affecting community structure at the margins, while no significant changes have been observed in the dominant species of community cores. If future ocean circulation patterns remain stable, the risk of major shifts in plankton community cores from the tropics to subarctic regions is low, and dominant species in polar communities are also unlikely to change substantially in the next century. Long-term systematic observation in Chinese seas is still insufficient, and key regions lack critical data. Synthesizing evidence from polar and coastal regions, this study predicts that if warming does not exceed 2 ℃, the positions of community cores in China's coastal plankton communities may shift, but the risk of substantial structural change remains low.
Few studies focus on the change of debris flow hazard, although the change of disaster-pregnant factors would affect the hazard of debris flow. Taking the Chutou gully as an example, this study aims to discover the impact of disaster-pregnant factors on the development of debris flow hazard from 2007 to 2021 based on entropy method and multi-source monitoring data. A monitoring system of debris flow hazard is proposed. The findings are as follows: materials of debris flow increased 27 times after the Wenchuan earthquake, and then the materials continued to decrease and would return to the pre-earthquake levels by 2027. The critical rainfall of debris flow in 2019 increased by 12.97% compared with 2013 and the debris flow might occur if the conditions met the formula f(Ih, P)≥R(34.40 mm). The value of debris flow hazard increased after the earthquake, and hazard value would reach the peak (very high hazard) under extreme rainfall then relatively decrease. The Chutou gully would keep the high level of debris flow hazard after 2021.The monitoring system of debris flow hazard is proposed to find the high hazard area of debris flow, which could provide some new clues for prevention and control of debris flow.









PDF 4867KB