2009 Vol. 34, No. 6
Display Method:
2009, 34(6): 877-883.
Abstract:
The extant hyena species are the remnants of a formerly diverse group of Hyaenidae, which reached its peak about 5 MYA and contained more than 100 fossil species. Hyenas have been the subject of a number of evolutionary and systematic studies during the last two centuries, due in large part to the dramatical loss of its diversity and geography. The phylogenetic studies incorporating both morphological and molecular analysis have yielded different conclusions regarding the evolutionary relationship between extant and extinct hyenas. In this study, partial ancient DNA sequence of cytochrome b gene in mitochondrial genome was successfully retrieved from Pleistocene hyena bones collected from Hebei Province in North China. The BLAST result shows that the cracked specimen is the teeth of a spotted hyena (Crocuta crocuta), which makes the classification of the specimen clear at the molecular level. Furthermore, both the obtained sequence and the homologous sequences extracted from GenBank were aligned and used as datasets for phylogenetic analyses. The phylogenetic tree shows that the two individuals from China and the one from Russia were joined together, appearing as a sister group of the branch combined by the west European fossils and the African extant hyenas, which suggests a phylogeographic pattern of the Pleistocene cave hyenas.
The extant hyena species are the remnants of a formerly diverse group of Hyaenidae, which reached its peak about 5 MYA and contained more than 100 fossil species. Hyenas have been the subject of a number of evolutionary and systematic studies during the last two centuries, due in large part to the dramatical loss of its diversity and geography. The phylogenetic studies incorporating both morphological and molecular analysis have yielded different conclusions regarding the evolutionary relationship between extant and extinct hyenas. In this study, partial ancient DNA sequence of cytochrome b gene in mitochondrial genome was successfully retrieved from Pleistocene hyena bones collected from Hebei Province in North China. The BLAST result shows that the cracked specimen is the teeth of a spotted hyena (Crocuta crocuta), which makes the classification of the specimen clear at the molecular level. Furthermore, both the obtained sequence and the homologous sequences extracted from GenBank were aligned and used as datasets for phylogenetic analyses. The phylogenetic tree shows that the two individuals from China and the one from Russia were joined together, appearing as a sister group of the branch combined by the west European fossils and the African extant hyenas, which suggests a phylogeographic pattern of the Pleistocene cave hyenas.
2009, 34(6): 884-894.
Abstract:
The stratigraphic units composed of radiolarian chert and lava were found in Xiapugou in western of Yarlung Zangbo Suture Zone during the 1/250000 field geology survey. The radiolarian cherts are characterized by SiO2 ranging from 89.47 to 92.94%, Si/ Al ratio ranging from 43 to 67, Al/ (Al+Fe+Mn) ratio from 0.68 to 0.74, The average MnO/TiO2, Ce/Ce* and LaN/CeN ratio is 0.60, 0.89 and 1.09, which indicates the radiolarian chert was formed in transitional environment between continental margin basin and the oceanic basin, and had much more close relationship with the former one. The lava mainly belongs to andesite and is characterized by (1) low TiO2 varying from 0.75 to 0.98%; (2) gentle enrichment in LREE; (3) fluid-soluble elements, such as Ba, U and Pb, are extremely enriched compared with LREE; (4) depleted in high-field strength elements (HFSE) such as Nb, Ta, Ti). All these characters imply that the stratigraphic units are consistent with a juvenile intra-oceanic arc, which maybe represents the remains of New-Tethys intra-oceanic subduction system. The early Cretaceous fauna of radiolarian fossils from the chert including Alievium cf. regulare, Alievium cf. fatuum, Archaeospongoprunum cf. patricki, Archaeodictyimitra mitra Dumitrica et al. have been identified, yielding a upper time restrain of this juvenile intra-oceanic arc.
The stratigraphic units composed of radiolarian chert and lava were found in Xiapugou in western of Yarlung Zangbo Suture Zone during the 1/250000 field geology survey. The radiolarian cherts are characterized by SiO2 ranging from 89.47 to 92.94%, Si/ Al ratio ranging from 43 to 67, Al/ (Al+Fe+Mn) ratio from 0.68 to 0.74, The average MnO/TiO2, Ce/Ce* and LaN/CeN ratio is 0.60, 0.89 and 1.09, which indicates the radiolarian chert was formed in transitional environment between continental margin basin and the oceanic basin, and had much more close relationship with the former one. The lava mainly belongs to andesite and is characterized by (1) low TiO2 varying from 0.75 to 0.98%; (2) gentle enrichment in LREE; (3) fluid-soluble elements, such as Ba, U and Pb, are extremely enriched compared with LREE; (4) depleted in high-field strength elements (HFSE) such as Nb, Ta, Ti). All these characters imply that the stratigraphic units are consistent with a juvenile intra-oceanic arc, which maybe represents the remains of New-Tethys intra-oceanic subduction system. The early Cretaceous fauna of radiolarian fossils from the chert including Alievium cf. regulare, Alievium cf. fatuum, Archaeospongoprunum cf. patricki, Archaeodictyimitra mitra Dumitrica et al. have been identified, yielding a upper time restrain of this juvenile intra-oceanic arc.
2009, 34(6): 895-906.
Abstract:
Thermochronological data suggests that spatial-temporal differences of uplift obviously exist in West Kunlun and its adjacent area. Firstly, the uplift history falls into three distinct stages: The partial uplift stage from Late Oligocene to Early Miocene (25-16Ma), the rapid uplift stage during Middle Miocene (14-8Ma) and the holistic and strong uplift stage since Late Miocene (after 6Ma). Secondly, the uplift of the study area shows obvious spatial differences. The uplift of Kongur-Tash Gurgan area mainly occurred after 9Ma; the uplift of Hongqilapu-Kuda area mainly occurred during 25-16Ma, and the uplift of Kangxiwar-Pulu area mainly occurred after 9Ma (especially 9-2Ma) and during 25-12Ma. In the east/west direction, the uplift is earlier near the syntaxises (western Himalayan Syntaxis and West Kunlun-Altyn Syntaxis) than that in the middle area. Near the syntaxises the uplift mainly occurred after 9Ma and yet in the middle area mainly before 9Ma. In the south/north direction, the rapid uplift of northern West Kunlun terrane roughly occurred at 20Ma; the rapid uplift of southern West Kunlun terrane mainly occurred during 9-5Ma; the rapid uplift of Tianshuihai terrane mainly occurred during 5-2Ma. The rapid uplift of southern West Kunlun and its adjacent area is later than that in the north, and it varies from old to new.
Thermochronological data suggests that spatial-temporal differences of uplift obviously exist in West Kunlun and its adjacent area. Firstly, the uplift history falls into three distinct stages: The partial uplift stage from Late Oligocene to Early Miocene (25-16Ma), the rapid uplift stage during Middle Miocene (14-8Ma) and the holistic and strong uplift stage since Late Miocene (after 6Ma). Secondly, the uplift of the study area shows obvious spatial differences. The uplift of Kongur-Tash Gurgan area mainly occurred after 9Ma; the uplift of Hongqilapu-Kuda area mainly occurred during 25-16Ma, and the uplift of Kangxiwar-Pulu area mainly occurred after 9Ma (especially 9-2Ma) and during 25-12Ma. In the east/west direction, the uplift is earlier near the syntaxises (western Himalayan Syntaxis and West Kunlun-Altyn Syntaxis) than that in the middle area. Near the syntaxises the uplift mainly occurred after 9Ma and yet in the middle area mainly before 9Ma. In the south/north direction, the rapid uplift of northern West Kunlun terrane roughly occurred at 20Ma; the rapid uplift of southern West Kunlun terrane mainly occurred during 9-5Ma; the rapid uplift of Tianshuihai terrane mainly occurred during 5-2Ma. The rapid uplift of southern West Kunlun and its adjacent area is later than that in the north, and it varies from old to new.
2009, 34(6): 907-913.
Abstract:
The trough-like folds and thrust are well developed in Southeast Guizhou. The characteristics and origin of the structure in Southeast Guizhou are studied by analyzing the planar distribution of the folds and the strata, the nature and occurrence of the fault, the detachment beddings and the interpreted and restored seismic cross-sections. The results show that besides the depth of decollement and the denudation difference, the formation of the trough-like folds is also controlled by the distance from the nappe, the occurrence of the thrust, the length scale ratio of flat to ramp, the breakthrough ways of the fault and the multi-decollement. Combining with the regional tectonic evolution and the nappe distance, the geometry and the kinematics models of the trough-like folds structural style are established in Southeast Guizhou, which are mainly controlled by the minor scale of flat to ramp, various ways of thrust breakthrough and multi-decollement.
The trough-like folds and thrust are well developed in Southeast Guizhou. The characteristics and origin of the structure in Southeast Guizhou are studied by analyzing the planar distribution of the folds and the strata, the nature and occurrence of the fault, the detachment beddings and the interpreted and restored seismic cross-sections. The results show that besides the depth of decollement and the denudation difference, the formation of the trough-like folds is also controlled by the distance from the nappe, the occurrence of the thrust, the length scale ratio of flat to ramp, the breakthrough ways of the fault and the multi-decollement. Combining with the regional tectonic evolution and the nappe distance, the geometry and the kinematics models of the trough-like folds structural style are established in Southeast Guizhou, which are mainly controlled by the minor scale of flat to ramp, various ways of thrust breakthrough and multi-decollement.
2009, 34(6): 914-920.
Abstract:
The Dangra Yun Co and Xuru Co NS-trending graben located at central section of the Gangdese, is controlled by NS-trending high-angle normal faults and consists of the Dangqung Co, Dangra Yun Co and Xuru Co. Miocene alkati volcanic rock distributed along the graben indicates an intraplate extensional tectonic environment by its petrochemical and geochemical analyses. A 12.6 Ma age is determined for leucite phonolite by the K-Ar method, and it is found that graben occurred at the late time of Miocene (about 13 Ma), and remained active until Holocene. There are Middle Pliocene to Holocene lacustrine deposits in the graben. The Dangra Yun Co and Xuru Co graben, as well as other NS-trending grabens, is the results of extension of upper crust driven by the thermal upderplating of the lower crust flowing and thickening. S-N extension became E-W extension with the change of flow direction in the lower crust.
The Dangra Yun Co and Xuru Co NS-trending graben located at central section of the Gangdese, is controlled by NS-trending high-angle normal faults and consists of the Dangqung Co, Dangra Yun Co and Xuru Co. Miocene alkati volcanic rock distributed along the graben indicates an intraplate extensional tectonic environment by its petrochemical and geochemical analyses. A 12.6 Ma age is determined for leucite phonolite by the K-Ar method, and it is found that graben occurred at the late time of Miocene (about 13 Ma), and remained active until Holocene. There are Middle Pliocene to Holocene lacustrine deposits in the graben. The Dangra Yun Co and Xuru Co graben, as well as other NS-trending grabens, is the results of extension of upper crust driven by the thermal upderplating of the lower crust flowing and thickening. S-N extension became E-W extension with the change of flow direction in the lower crust.
2009, 34(6): 921-930.
Abstract:
Detailed studies on zircons from the Jianfengling granite in the Baolun gold deposit indicate that the zircons can be divided into magmatic and hydrothermal zircons. The magmatic zircons are colorless, transparent, prismatic, euhedral crystal with few inclusions, and have moderate U, Th contents (mostly less than 1000μg/g). LA-ICP-MS U-Pb analyses of these zircons gave a weighted mean 206Pb/238U concordia age of 240±2.1Ma, which is interpreted as the age of emplacement for the Jianfengling granite. Hydrothermal zircons are brown, translucence to opaque, and have extremely high U, Th and trace elements contents, the highest U, Th contents being 30000μg/g, 20000μg/g, respectively. Hydrothermal zircons have high common Pb contents (206Pbc=0.77%-11.0%). LA-ICP-MS U-Pb analyses of these zircons gave the age from 106 to 120Ma, with a weighted mean 206Pb/238U age of 112.8±4.3Ma, which is interpreted as the age of hydrothermal event. It is indicated that there is a strong hydrothermal process at ca. 112.8Ma, which might be related to Yanshanian magmatism in this area. Gold mineralization of Baolun gold deposit is most likely related with this hydrothermal event. U-Pb dating on hydrothermal zircons could be used to constrain the timing of hydrothermal event and constrain the timing of gold mineralization related with hydrothermal event.
Detailed studies on zircons from the Jianfengling granite in the Baolun gold deposit indicate that the zircons can be divided into magmatic and hydrothermal zircons. The magmatic zircons are colorless, transparent, prismatic, euhedral crystal with few inclusions, and have moderate U, Th contents (mostly less than 1000μg/g). LA-ICP-MS U-Pb analyses of these zircons gave a weighted mean 206Pb/238U concordia age of 240±2.1Ma, which is interpreted as the age of emplacement for the Jianfengling granite. Hydrothermal zircons are brown, translucence to opaque, and have extremely high U, Th and trace elements contents, the highest U, Th contents being 30000μg/g, 20000μg/g, respectively. Hydrothermal zircons have high common Pb contents (206Pbc=0.77%-11.0%). LA-ICP-MS U-Pb analyses of these zircons gave the age from 106 to 120Ma, with a weighted mean 206Pb/238U age of 112.8±4.3Ma, which is interpreted as the age of hydrothermal event. It is indicated that there is a strong hydrothermal process at ca. 112.8Ma, which might be related to Yanshanian magmatism in this area. Gold mineralization of Baolun gold deposit is most likely related with this hydrothermal event. U-Pb dating on hydrothermal zircons could be used to constrain the timing of hydrothermal event and constrain the timing of gold mineralization related with hydrothermal event.
2009, 34(6): 931-938.
Abstract:
The Fangkuangzigou granitic gneisses, extending with NEE trend along Fangkuangzi village in Linxi county, Inner-Mongolia province, are deformed and metamorphosed granites which intruded into the Shuangjing schists. The gneisses are nebulitic and homogeneous separately in its edge and center. The LA-ICP-MS zircon U-Pb dating method was applied to determine the ages of gneisses both from the edge and center. It is indicated that the magma emplacement initiated at about 271.9±1.6Ma ago and intruded into Shuangjing schists, then migmatization and nebulitic structure were induced into the contact zones. The pluton was formed dominantly at 264.8±1.8 Ma ago. The pluton was deformed and metamorphosed into granitic gneiss by the collision betweenthe Siberian and North China plates. The collision was ended until 231±2 Ma ago, then the Siberian and North China plates were finally converged.
The Fangkuangzigou granitic gneisses, extending with NEE trend along Fangkuangzi village in Linxi county, Inner-Mongolia province, are deformed and metamorphosed granites which intruded into the Shuangjing schists. The gneisses are nebulitic and homogeneous separately in its edge and center. The LA-ICP-MS zircon U-Pb dating method was applied to determine the ages of gneisses both from the edge and center. It is indicated that the magma emplacement initiated at about 271.9±1.6Ma ago and intruded into Shuangjing schists, then migmatization and nebulitic structure were induced into the contact zones. The pluton was formed dominantly at 264.8±1.8 Ma ago. The pluton was deformed and metamorphosed into granitic gneiss by the collision betweenthe Siberian and North China plates. The collision was ended until 231±2 Ma ago, then the Siberian and North China plates were finally converged.
2009, 34(6): 939-945.
Abstract:
A high-precision analysis method of La-Ce isotope ratios for rock samples using TIMS is reported. Separation and purification of La and Ce from matrix elements is carried out using α-HIBA ion exchange procedure. Ce Isotope ratios and La, Ce contents are measured by the mass spectrometry of Triton. A long-term analysis result of standard JMC304 gives a weighted 138Ce/142Ce ratio 0.0225762±0.0000015, which agrees well with the reference values from the literatures. Using the method reported in this study, the Ce isotope ratios and La, Ce contents are analyzed for USGS basalt reference material BCR-2 and an alkali basalt from the Emeishan terrain. The 138Ce/142Ce ratios of BCR-2 and Emeishan basalt (EQB) are 0.0225572±0.0000010 and 0.0225755±0.0000003 with corresponding La contents of 25.2±0.3 and 55.8±0.9μg/g, and Ce contents of 54.2±0.4 and 117.4±1.3μg/g, respectively. It shows that the measured La and Ce contents by isotopic dilution of BCR-2 agree with their certificate values within the analysis error, and this is the first report of Ce isotope for both the standards, which displays a precision range of 0.001% to 0.005%. In addition, a weighted average 140Ce/142Ce ratio of 7.9439±0.0002 is obtained based on 105 analyses, which is likely the representative of a best estimated value for the ratio.
A high-precision analysis method of La-Ce isotope ratios for rock samples using TIMS is reported. Separation and purification of La and Ce from matrix elements is carried out using α-HIBA ion exchange procedure. Ce Isotope ratios and La, Ce contents are measured by the mass spectrometry of Triton. A long-term analysis result of standard JMC304 gives a weighted 138Ce/142Ce ratio 0.0225762±0.0000015, which agrees well with the reference values from the literatures. Using the method reported in this study, the Ce isotope ratios and La, Ce contents are analyzed for USGS basalt reference material BCR-2 and an alkali basalt from the Emeishan terrain. The 138Ce/142Ce ratios of BCR-2 and Emeishan basalt (EQB) are 0.0225572±0.0000010 and 0.0225755±0.0000003 with corresponding La contents of 25.2±0.3 and 55.8±0.9μg/g, and Ce contents of 54.2±0.4 and 117.4±1.3μg/g, respectively. It shows that the measured La and Ce contents by isotopic dilution of BCR-2 agree with their certificate values within the analysis error, and this is the first report of Ce isotope for both the standards, which displays a precision range of 0.001% to 0.005%. In addition, a weighted average 140Ce/142Ce ratio of 7.9439±0.0002 is obtained based on 105 analyses, which is likely the representative of a best estimated value for the ratio.
2009, 34(6): 946-954.
Abstract:
One of basic issues in thermal infrared remote sensing geology is the variation law of mineral emissivity spectra with mineral granularity and emission angle, and the law is required when several kinds of ground information are retrieved such as temperature, emissivity and mineral. However, the law is still unknown because it is difficult to measure the mineral emissivity spectra in the laboratory. In this experiment, emissivity spectra of quartz, muscovite and anorthite are calculated using Hapke radiative transfer model, and the calculation results are compared with measured spectra. Finally, the variation law of mineral emissivity spectra with granularity and emission angle is summarized, and the problem of Hapke emissivity model is analyzed. Research results show that, Hapke radiative transfer model could be used to simulate minerals emissivity spectral and variation, and some fine spectral features are different from measured spectral probably owing to Hapke model hypothesis in which multiscattering radiation is isotropic. The variation of spectral with granularity is complicated and the variation law is different to different minerals. The common law is that, with the increase of granularity, reststrahlen features strengthen, reststrahlen features and wavelength change, and Christensen features remain stable. With increase of emission angle, emssivity becomes lower, reststrahlen and transparency features become more obvious, and the whole spectral feature and wavelength of some features such as transparency, reststrahlen and Christensen features keep stable.
One of basic issues in thermal infrared remote sensing geology is the variation law of mineral emissivity spectra with mineral granularity and emission angle, and the law is required when several kinds of ground information are retrieved such as temperature, emissivity and mineral. However, the law is still unknown because it is difficult to measure the mineral emissivity spectra in the laboratory. In this experiment, emissivity spectra of quartz, muscovite and anorthite are calculated using Hapke radiative transfer model, and the calculation results are compared with measured spectra. Finally, the variation law of mineral emissivity spectra with granularity and emission angle is summarized, and the problem of Hapke emissivity model is analyzed. Research results show that, Hapke radiative transfer model could be used to simulate minerals emissivity spectral and variation, and some fine spectral features are different from measured spectral probably owing to Hapke model hypothesis in which multiscattering radiation is isotropic. The variation of spectral with granularity is complicated and the variation law is different to different minerals. The common law is that, with the increase of granularity, reststrahlen features strengthen, reststrahlen features and wavelength change, and Christensen features remain stable. With increase of emission angle, emssivity becomes lower, reststrahlen and transparency features become more obvious, and the whole spectral feature and wavelength of some features such as transparency, reststrahlen and Christensen features keep stable.
2009, 34(6): 955-962.
Abstract:
This study employs various observation and analytical techniques including electron microprobe analysis, X-ray difraction (XRD) and ICP-MS (AES) on polymetallic nodules collected from the northwest continental margin of the South China Sea. The analyses indicate that the cores of the samples are made up of quartz, illite, albite and chlorite, whereas the shells are made up of δMnO2. The samples are rich in Fe, Si, and ∑REE, and they are poor in Mn, Cu, Co and Ni. These samples show lower ratios of Mn/Fe. The characteristics of the REE (rare earth elements) show higher contents with more than 1472.30×10-6 in average. Heavy REE (HREE) depletes relative to the light REE (LREE) very obviously that the latter is 19.54 times than that of the former, and shows distinct enrichment of δCe. The elements of Fe, Mn, Cu and Co change obviously in different ways from the inner crust to the outer. These characteristics show that the growth of the nodules has been affected by the environmental fluctuations and the change of terrigenous sediments. In this condition, Fe, REE and Si are enrichment, but Mn and Ca are dilutedness. Elements correlation of Mn-Fe- (Cu+Ni) ×10 suggests that the origin of the sample may be hydrogenic. This study comes to the conclusion that these nodules are dominative due to the special environment of the marginal sea which includes the geographical condition and the oceanic environmental factors.
This study employs various observation and analytical techniques including electron microprobe analysis, X-ray difraction (XRD) and ICP-MS (AES) on polymetallic nodules collected from the northwest continental margin of the South China Sea. The analyses indicate that the cores of the samples are made up of quartz, illite, albite and chlorite, whereas the shells are made up of δMnO2. The samples are rich in Fe, Si, and ∑REE, and they are poor in Mn, Cu, Co and Ni. These samples show lower ratios of Mn/Fe. The characteristics of the REE (rare earth elements) show higher contents with more than 1472.30×10-6 in average. Heavy REE (HREE) depletes relative to the light REE (LREE) very obviously that the latter is 19.54 times than that of the former, and shows distinct enrichment of δCe. The elements of Fe, Mn, Cu and Co change obviously in different ways from the inner crust to the outer. These characteristics show that the growth of the nodules has been affected by the environmental fluctuations and the change of terrigenous sediments. In this condition, Fe, REE and Si are enrichment, but Mn and Ca are dilutedness. Elements correlation of Mn-Fe- (Cu+Ni) ×10 suggests that the origin of the sample may be hydrogenic. This study comes to the conclusion that these nodules are dominative due to the special environment of the marginal sea which includes the geographical condition and the oceanic environmental factors.
2009, 34(6): 963-974.
Abstract:
In order to thoroughly explain the mechanism of significant subsidence in deep waters of Qiongdongnan basin, a rifted continental marginal basin, we analyzed the high resolution seismic reflection profiles in the study area, and conduct a quantitative study on upper-crust, whole crust and whole lithosphere stretching and thinning respectively by incorporating flexural cantilever model and flexural cantilever isostasy model and using both forward and reverse basin modeling techniques Our integrated analysis shows that the extension in brittle upper crust decreases from shelf to deep basin. And the largest amount of stretching factor β is 1.23-1.32; the whole crust stretching factors change from β=1.1-1.2 of uplifts in basin margin to β=3.14 in central basin; And estimates of the whole lithosphere stretching factor change from β=1.2 on continental shelf to β=4.2 in deep basin. Theanalysis of tectonic geology involving lithosphere and crust, depth-dependent stretching of lithosphere in Qiongdongnan basin described above is closely related with sea floor spreading of northwestern South China Sea, which caused the discrete upwelling flow of middle and deep substance, then it resulted in the plastic flow of the lower crust rapidly and intensely. This model is different from the depth-uniform lithosphere stretching model and its slow post-rift subsidence controlled by geothermal isostatic re-equilibration (McKenzie, 1978). The formation and evolution model of Qiongdongnan basin is proposed to interpret the mechanism of rapid and large-amplitude post-rift subsidence in deep water.
In order to thoroughly explain the mechanism of significant subsidence in deep waters of Qiongdongnan basin, a rifted continental marginal basin, we analyzed the high resolution seismic reflection profiles in the study area, and conduct a quantitative study on upper-crust, whole crust and whole lithosphere stretching and thinning respectively by incorporating flexural cantilever model and flexural cantilever isostasy model and using both forward and reverse basin modeling techniques Our integrated analysis shows that the extension in brittle upper crust decreases from shelf to deep basin. And the largest amount of stretching factor β is 1.23-1.32; the whole crust stretching factors change from β=1.1-1.2 of uplifts in basin margin to β=3.14 in central basin; And estimates of the whole lithosphere stretching factor change from β=1.2 on continental shelf to β=4.2 in deep basin. Theanalysis of tectonic geology involving lithosphere and crust, depth-dependent stretching of lithosphere in Qiongdongnan basin described above is closely related with sea floor spreading of northwestern South China Sea, which caused the discrete upwelling flow of middle and deep substance, then it resulted in the plastic flow of the lower crust rapidly and intensely. This model is different from the depth-uniform lithosphere stretching model and its slow post-rift subsidence controlled by geothermal isostatic re-equilibration (McKenzie, 1978). The formation and evolution model of Qiongdongnan basin is proposed to interpret the mechanism of rapid and large-amplitude post-rift subsidence in deep water.
2009, 34(6): 975-984.
Abstract:
Provenance analysis is an important aspect of basin analysis. Beitang sag is an important breakthrough zone for future exploration in Dagang oilfield with its wide range of lake, deep sediment thickness, and low level of exploration of the third member of Shahejie Formation (Es3). Detailed depiction of the provenance system using of Es3 is of practical significance for reconstructing depositional system and forecasting favorable areas. This paper analyzes in detail the provenance system of Es3 in Beitang sag from various angles and levels: the source area and the deposition area is macroscopically distinguished according to tectonic framework and palaeogeomorphology; the source block is determined according to the characteristics of detrital mineral assemblage; the direction of transporting clastic fragmen in the basin is described according to seismic reflection characteristics; and the source branches are finely pictured according to sandstone thickness distribution map and percent distribution map The research results show that provenances originated from Yanshan fold belt and Cangxian uplift. They are divided into western Cangxian source, north-west Hangu source, north Dashentang source and north-east Jiannan source. In the tectonic framework and the provenance system, there mainly developed fan-delta depositional system of Es3 in Beitang sag.
Provenance analysis is an important aspect of basin analysis. Beitang sag is an important breakthrough zone for future exploration in Dagang oilfield with its wide range of lake, deep sediment thickness, and low level of exploration of the third member of Shahejie Formation (Es3). Detailed depiction of the provenance system using of Es3 is of practical significance for reconstructing depositional system and forecasting favorable areas. This paper analyzes in detail the provenance system of Es3 in Beitang sag from various angles and levels: the source area and the deposition area is macroscopically distinguished according to tectonic framework and palaeogeomorphology; the source block is determined according to the characteristics of detrital mineral assemblage; the direction of transporting clastic fragmen in the basin is described according to seismic reflection characteristics; and the source branches are finely pictured according to sandstone thickness distribution map and percent distribution map The research results show that provenances originated from Yanshan fold belt and Cangxian uplift. They are divided into western Cangxian source, north-west Hangu source, north Dashentang source and north-east Jiannan source. In the tectonic framework and the provenance system, there mainly developed fan-delta depositional system of Es3 in Beitang sag.
2009, 34(6): 985-992.
Abstract:
Based on the study of sedimentary environment and chronology for Holocene sediments from Jiangling profile, Jianghan plain, this paper studies these events on palaeo-flood which took place in Jianghan plain since Holocene, using some marks of magnetic fabric parameters of flood sediment. The main results are as follows: (1) There are 55 large events of flood sediment since Holocene in Jianghan plain (excluding record data in history). (2) According to evolution, these events are divided into the stage of low frequency (9875-3000a BP), which is more stable and has an approximate period of mainly one thousand year and 500-625a, and the stage of high frequency (3000aBP~now), which is more frequent than the former, showing an increasing tendency and has a period of frequent occurrence of mainly 300-200a.
Based on the study of sedimentary environment and chronology for Holocene sediments from Jiangling profile, Jianghan plain, this paper studies these events on palaeo-flood which took place in Jianghan plain since Holocene, using some marks of magnetic fabric parameters of flood sediment. The main results are as follows: (1) There are 55 large events of flood sediment since Holocene in Jianghan plain (excluding record data in history). (2) According to evolution, these events are divided into the stage of low frequency (9875-3000a BP), which is more stable and has an approximate period of mainly one thousand year and 500-625a, and the stage of high frequency (3000aBP~now), which is more frequent than the former, showing an increasing tendency and has a period of frequent occurrence of mainly 300-200a.
2009, 34(6): 993-1000.
Abstract:
The high Fe-Ti eclogites appear at the depth intervals from 318-380m (A), 420-470m (B) and 530-600m (C) respectivelys in the Chinese Continental Scientific Drilling (CCSD) Project main hole. They have high FeOT (total Fe) abundances of average 15.36%, 14.09% and 20.83%, high TiO2 concentration of average 3.89%, 3.28% and 4.10% and low SiO2 contents of average 44.64%, 48.64% and 41.10%, respectively. Magnetic study of the samples shows that section A has the lowest susceptibility (average 3.61×10-7m3·kg-1), NRM (average 0.12×10-3Am2·kg-1) and Q-value (average 8.03); section B has the highest susceptibility (average 12.55×10-7m3·kg-1), medium NRM (average 1.47×10-3Am2·kg-1) and Q-value (average 26.42); section C samples has medium susceptibility (average 9.73×10-7m3·kg-1) and the highest NRM (average 10.05×10-3Am2·kg-1) and Q-value (average 138.571). The magnetic property compared with metamorphic petrology of high Fe-Ti eclogites suggests that section A samples represent magnetic properties of the fresh or slightly retrograded eclogites; section B samples show higher metamorphic retrogression than those of section A; section C samples are fresh eclogite, whose density and oxygen fugacity are distinctly higher than those of A and B, containing a lot of hematite-ilmenite lamellar textures formed during the slowly exhumation, which can be the main contributors to the high NRM of the section C eclogite.
The high Fe-Ti eclogites appear at the depth intervals from 318-380m (A), 420-470m (B) and 530-600m (C) respectivelys in the Chinese Continental Scientific Drilling (CCSD) Project main hole. They have high FeOT (total Fe) abundances of average 15.36%, 14.09% and 20.83%, high TiO2 concentration of average 3.89%, 3.28% and 4.10% and low SiO2 contents of average 44.64%, 48.64% and 41.10%, respectively. Magnetic study of the samples shows that section A has the lowest susceptibility (average 3.61×10-7m3·kg-1), NRM (average 0.12×10-3Am2·kg-1) and Q-value (average 8.03); section B has the highest susceptibility (average 12.55×10-7m3·kg-1), medium NRM (average 1.47×10-3Am2·kg-1) and Q-value (average 26.42); section C samples has medium susceptibility (average 9.73×10-7m3·kg-1) and the highest NRM (average 10.05×10-3Am2·kg-1) and Q-value (average 138.571). The magnetic property compared with metamorphic petrology of high Fe-Ti eclogites suggests that section A samples represent magnetic properties of the fresh or slightly retrograded eclogites; section B samples show higher metamorphic retrogression than those of section A; section C samples are fresh eclogite, whose density and oxygen fugacity are distinctly higher than those of A and B, containing a lot of hematite-ilmenite lamellar textures formed during the slowly exhumation, which can be the main contributors to the high NRM of the section C eclogite.
2009, 34(6): 1001-1011.
Abstract:
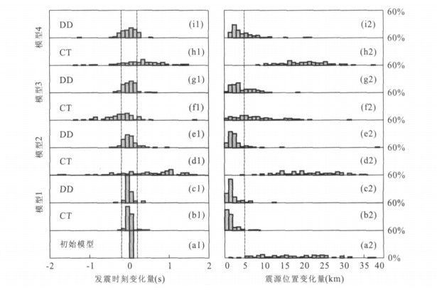
The double-difference (DD) earthquake location algorithm cannot be used to locate earthquakes in the complex 3-D velocity models because it adopts a 1-D ray tracing technique and the Cartesian coordinates. In this study, we have improved the DD location method by adopting a 3-D ray tracing method and the spherical coordinates, and thus extended the range of its applications. To testify the feasibility and the precision of this new method, we have relocated the deep earthquakes that occurred beneath the Japan Sea, and analyzed the effect of velocity models by comparing the relocation results in four kinds of 3-D velocity models. Our results show that the improved DD location method is less affected by the velocity model, and the closer the velocity structure in the hypocenter to the real one is, the higher the location precision is. The improved DD location technique would be very useful for studying the mantle structure by using data from deep earthquakes.
The double-difference (DD) earthquake location algorithm cannot be used to locate earthquakes in the complex 3-D velocity models because it adopts a 1-D ray tracing technique and the Cartesian coordinates. In this study, we have improved the DD location method by adopting a 3-D ray tracing method and the spherical coordinates, and thus extended the range of its applications. To testify the feasibility and the precision of this new method, we have relocated the deep earthquakes that occurred beneath the Japan Sea, and analyzed the effect of velocity models by comparing the relocation results in four kinds of 3-D velocity models. Our results show that the improved DD location method is less affected by the velocity model, and the closer the velocity structure in the hypocenter to the real one is, the higher the location precision is. The improved DD location technique would be very useful for studying the mantle structure by using data from deep earthquakes.
2009, 34(6): 1012-1018.
Abstract:
Spectrum analysis of surface wave (SASW) is one of the Rayleigh wave exploration methods with higher lateral resolution. Presently, there is a large error in calculating fundamental mode dispersion curve of the Rayleigh wave and the dispersion curve of the higher mode can't be calculated by the SASW method. As a result, it is limited in its application. In this paper, different modes of Rayleigh wave are separated and extracted by Fourier transform (FT method), and then, the dispersion curve will be calculated by the SASW method using the Rayleigh wave data after the separation. According to the analysis of examples, it can be concluded that: (1) when using the SASW method to calculate the fundamental mode dispersion curve, the Rayleigh wave data of fundamental mode should be separated first, and then calculated. Or else, the fundamental mode dispersion curve couldn't be right; (2) it can get higher mode dispersion curve by the SASW method based on multi-mode separation.
Spectrum analysis of surface wave (SASW) is one of the Rayleigh wave exploration methods with higher lateral resolution. Presently, there is a large error in calculating fundamental mode dispersion curve of the Rayleigh wave and the dispersion curve of the higher mode can't be calculated by the SASW method. As a result, it is limited in its application. In this paper, different modes of Rayleigh wave are separated and extracted by Fourier transform (FT method), and then, the dispersion curve will be calculated by the SASW method using the Rayleigh wave data after the separation. According to the analysis of examples, it can be concluded that: (1) when using the SASW method to calculate the fundamental mode dispersion curve, the Rayleigh wave data of fundamental mode should be separated first, and then calculated. Or else, the fundamental mode dispersion curve couldn't be right; (2) it can get higher mode dispersion curve by the SASW method based on multi-mode separation.
2009, 34(6): 1019-1024.
Abstract:
In order to recycle both the heat energy and the material of hot liquid phosphorus slag discharged from the phosphorus smelting furnace and eliminate its environmental problem, on-site preparation tests were carried out beside the smelting furnace by undertaking the following process: first, 75.0 % fresh hot liquid phosphorus slag was mixed directly with 16.5% quartz powder and 8.5% kaolin clay, and then melted at 1450℃ and cast-molded into parent glass panels which were subsequently heat-treated at 850℃ and transformed into opaque glass, which possesses bending strength, acid resistance and alkali resistance respectively of 43.68MPa, 0.51% and 0.04%, and so is applicable for wall decorating in buildings.Resultsof ESEM, XRD and EDS analyses indicate that the mechanism of emulsification of parent glass is attributed to the phase separation of parent glass and so the deposition of the non-crystalline spherical granules with particle sizes of about 0.1-0.4μm. Since high proportion of hot liquid phosphorus slag is consumed, cheap modifying raw materials are used and ordinary glass manufacturing facilities can be directly employed, the proposed on-site test process is cost-effective and feasible for industrial manufacturing.
In order to recycle both the heat energy and the material of hot liquid phosphorus slag discharged from the phosphorus smelting furnace and eliminate its environmental problem, on-site preparation tests were carried out beside the smelting furnace by undertaking the following process: first, 75.0 % fresh hot liquid phosphorus slag was mixed directly with 16.5% quartz powder and 8.5% kaolin clay, and then melted at 1450℃ and cast-molded into parent glass panels which were subsequently heat-treated at 850℃ and transformed into opaque glass, which possesses bending strength, acid resistance and alkali resistance respectively of 43.68MPa, 0.51% and 0.04%, and so is applicable for wall decorating in buildings.Resultsof ESEM, XRD and EDS analyses indicate that the mechanism of emulsification of parent glass is attributed to the phase separation of parent glass and so the deposition of the non-crystalline spherical granules with particle sizes of about 0.1-0.4μm. Since high proportion of hot liquid phosphorus slag is consumed, cheap modifying raw materials are used and ordinary glass manufacturing facilities can be directly employed, the proposed on-site test process is cost-effective and feasible for industrial manufacturing.
2009, 34(6): 1025-1029.
Abstract:
When drilling in marine gas hydrate bearing sediments, the decomposition of gas hydrate and the entering of the released gas into the mud circulating system and reforming gas hydrate are key factors that affect the safety of drilling operation. In order to develop a drilling fluid that can ensure safe drilling, the authors utilized the natural gas hydrate simulation experimental system, and evaluated the effect of bentonite on the rheological property of formate drilling fluid at low temperature, the rheological property of formate drilling fluid without bentonite at low temperature, and the performance of kinetic hydrate inhibitor PVPK-30 and PVPK-90.The experiment indicates that with the addition of bentonite, the viscosity and shearing force of formate drilling fluid increase rapidly at low temperature while the formulation without bentonite has a steady rheological parameter at the same circumstances. At the temperature of -4℃ and pressure of 18MPa, PVPK-90 has better performance than PVPK-30, and an addition of 1% wt of PVPK-90 in formate drilling fluid can effectively inhibit the formation of gas hydrate.
When drilling in marine gas hydrate bearing sediments, the decomposition of gas hydrate and the entering of the released gas into the mud circulating system and reforming gas hydrate are key factors that affect the safety of drilling operation. In order to develop a drilling fluid that can ensure safe drilling, the authors utilized the natural gas hydrate simulation experimental system, and evaluated the effect of bentonite on the rheological property of formate drilling fluid at low temperature, the rheological property of formate drilling fluid without bentonite at low temperature, and the performance of kinetic hydrate inhibitor PVPK-30 and PVPK-90.The experiment indicates that with the addition of bentonite, the viscosity and shearing force of formate drilling fluid increase rapidly at low temperature while the formulation without bentonite has a steady rheological parameter at the same circumstances. At the temperature of -4℃ and pressure of 18MPa, PVPK-90 has better performance than PVPK-30, and an addition of 1% wt of PVPK-90 in formate drilling fluid can effectively inhibit the formation of gas hydrate.
2009, 34(6): 1030-1036.
Abstract:
The influence of orientation of structure plane on parameters of rock mass is neglected in the study on the strength and deformation modulus based on geological strength index (GSI) system and Hoek-Brown strength rule. In this paper, as a case of underground powerhouse in the Three Gorges Project, the influence coefficient between the distribution of structure plane and structure rating (SR) of surrounding rock is calculated based on the space distribution character of excavated surface and structure plane; the statistical method of SR in the GSI system applied for large underground caverns is modified; and the experiential estimates of equivalent deformation modulus and strength parameters of surrounding rock are acquired. The investigations show that the calculative errors of the equivalent elastic modulus in elastic zone, deformation modulus and cohesive strength in disturbed zone of surrounding rock based on modified GSI system decreased by about 15%, 8%, 28% respectively.
The influence of orientation of structure plane on parameters of rock mass is neglected in the study on the strength and deformation modulus based on geological strength index (GSI) system and Hoek-Brown strength rule. In this paper, as a case of underground powerhouse in the Three Gorges Project, the influence coefficient between the distribution of structure plane and structure rating (SR) of surrounding rock is calculated based on the space distribution character of excavated surface and structure plane; the statistical method of SR in the GSI system applied for large underground caverns is modified; and the experiential estimates of equivalent deformation modulus and strength parameters of surrounding rock are acquired. The investigations show that the calculative errors of the equivalent elastic modulus in elastic zone, deformation modulus and cohesive strength in disturbed zone of surrounding rock based on modified GSI system decreased by about 15%, 8%, 28% respectively.
2009, 34(6): 1037-1042.
Abstract:
The major objective of this study is to investigate the heterogeneity of soil water flow. Field experiments were performed in loam and clay soil and an iodine-starch staining method was applied to visualize flow paths in the soil. Heterogeneous flow patterns were described by using information entropy and multifractal theory.Resultsshow that information entropy increases with decreasingly characteristic length, which is a scale used to characterize flow stained patterns. The soil flow heterogeneity is similar at different measurement scales. However, the variance of flow distributions change with scales. In the loam soil, scaling invariance of water flow distributions is in a larger range than that in the clay soil.
The major objective of this study is to investigate the heterogeneity of soil water flow. Field experiments were performed in loam and clay soil and an iodine-starch staining method was applied to visualize flow paths in the soil. Heterogeneous flow patterns were described by using information entropy and multifractal theory.Resultsshow that information entropy increases with decreasingly characteristic length, which is a scale used to characterize flow stained patterns. The soil flow heterogeneity is similar at different measurement scales. However, the variance of flow distributions change with scales. In the loam soil, scaling invariance of water flow distributions is in a larger range than that in the clay soil.









PDF 664KB