2007 Vol. 32, No. 2
Display Method:
2007, 32(2): 147-154.
Abstract:
According to the new CT data, in the paper we show some great abnormal low velocity zones occurring in the lithosphere and upper asthenosphere in the South China and northern margin of the South China Sea (SCS), which played a key role in the Cenozoic evolutionary history. Among them, the zones running NW-SE and existing at the interior and bottom of the lithosphere may result not only in forming a cluster of extensional structures and Cenozoic sedimentary basins in the continental margin of the South China but also in earlier spreading the floor of the SCS, while the deeper NNW zone at the upper asthenosphere mirrors the creep of the lithosphere to SSE that caused directly sea-floor spreading of the central basin of the SCS and the persistent split of the marginal region. The characteristics of the velocity structure are the traces left over by historical deep process in the study area. It is likely that the development of the Cenozoic basins in the South China and northern margin of the SCS results from the structure and movement pattern of lithosphere and asthenosphere.
According to the new CT data, in the paper we show some great abnormal low velocity zones occurring in the lithosphere and upper asthenosphere in the South China and northern margin of the South China Sea (SCS), which played a key role in the Cenozoic evolutionary history. Among them, the zones running NW-SE and existing at the interior and bottom of the lithosphere may result not only in forming a cluster of extensional structures and Cenozoic sedimentary basins in the continental margin of the South China but also in earlier spreading the floor of the SCS, while the deeper NNW zone at the upper asthenosphere mirrors the creep of the lithosphere to SSE that caused directly sea-floor spreading of the central basin of the SCS and the persistent split of the marginal region. The characteristics of the velocity structure are the traces left over by historical deep process in the study area. It is likely that the development of the Cenozoic basins in the South China and northern margin of the SCS results from the structure and movement pattern of lithosphere and asthenosphere.
2007, 32(2): 155-166.
Abstract:
This paper reports LA-ICP-MS zircon U-Pb ages, whole-rock major and trace element and zircon Hf isotopic com- positions from two-mica granite and granodiorite plutons occurring in the middle part of the Gangdise terrane, Tibet. Magma zircons from the two-mica granite yielded a weighted 206Pb/238 U mean age of(205± 1)Ma(MSWD= 0.47), which is inter- preted as its magma crystallization age(Late Indosinian). The two-mica granite is strongly peraluminous, with Al index(A/ CNK)= 1.16 -1.20 and K2O/Na2O= 1.67 -1.95. The two-mica granite is characterized by enrichments of Rb, Th and U etc. Rare earth element(REE)data display Eu/Eu*= 0.29 -0.41 and(La/Yb)N= 22.62 -35.08.εHf(t)(205 Ma)values from the dated zircons range from -12.4 to -1.8. It is suggested that the magma for the two-mica granite was dominately derived from patial melting of argillaceous rocks in crust, induced by dehydration of mica minerals. The petrogenesis of the two-mica granite is similar to that of the Himalayan Tertiary leucogranites. Magma zircons from the granodiorite yielded a weighted 206Pb/238 U age of(202± 1)Ma, representing its magma crystallization age. The granodiorite is metaluminous, with Al index(A/CNK)= 0.96 -0.98, K2O/Na2O= 1.42 -1.77. REE data show Eu/Eu* = 0.54 -0.65 and(La/Yb)N= 6.76 -13.35. Dated zircon Hf isotopic compositions exhibitεHf(202 Ma)values ranging from -8.2 to -5.5. The geo- chemical signatures and zircon Hf isotopic compositions suggest that the magma of granodiorite formed by partial melting of basaltic rocks in crust. The Late Indosinian stronlgly peralumineous granite is the first report in the Gangdise terrane. The occurring of the stronlgly peralumineous granite reveals Gangdise crustal thickening prior to Late Indosinian, and gives an impelling evidence that the Gangdise terrane took place an Early Indosinian orogenic event.
This paper reports LA-ICP-MS zircon U-Pb ages, whole-rock major and trace element and zircon Hf isotopic com- positions from two-mica granite and granodiorite plutons occurring in the middle part of the Gangdise terrane, Tibet. Magma zircons from the two-mica granite yielded a weighted 206Pb/238 U mean age of(205± 1)Ma(MSWD= 0.47), which is inter- preted as its magma crystallization age(Late Indosinian). The two-mica granite is strongly peraluminous, with Al index(A/ CNK)= 1.16 -1.20 and K2O/Na2O= 1.67 -1.95. The two-mica granite is characterized by enrichments of Rb, Th and U etc. Rare earth element(REE)data display Eu/Eu*= 0.29 -0.41 and(La/Yb)N= 22.62 -35.08.εHf(t)(205 Ma)values from the dated zircons range from -12.4 to -1.8. It is suggested that the magma for the two-mica granite was dominately derived from patial melting of argillaceous rocks in crust, induced by dehydration of mica minerals. The petrogenesis of the two-mica granite is similar to that of the Himalayan Tertiary leucogranites. Magma zircons from the granodiorite yielded a weighted 206Pb/238 U age of(202± 1)Ma, representing its magma crystallization age. The granodiorite is metaluminous, with Al index(A/CNK)= 0.96 -0.98, K2O/Na2O= 1.42 -1.77. REE data show Eu/Eu* = 0.54 -0.65 and(La/Yb)N= 6.76 -13.35. Dated zircon Hf isotopic compositions exhibitεHf(202 Ma)values ranging from -8.2 to -5.5. The geo- chemical signatures and zircon Hf isotopic compositions suggest that the magma of granodiorite formed by partial melting of basaltic rocks in crust. The Late Indosinian stronlgly peralumineous granite is the first report in the Gangdise terrane. The occurring of the stronlgly peralumineous granite reveals Gangdise crustal thickening prior to Late Indosinian, and gives an impelling evidence that the Gangdise terrane took place an Early Indosinian orogenic event.
2007, 32(2): 167-174.
Abstract:
The distribution characteristics of structural water in nominally anhydrous minerals (NAMs) from Dabie mountains can provide important microscopic information on some aspects of the related fluid activities, mineral deformation, dynamical process of blocks subduction and exhumation. The NAMs such as jadeites, garnets, rutiles and quarts in ultra-high pressure (UHP) jadeite-quartzites of Shuanghe and Bixiling areas from Dabie mountains were investigated by Fourier transform infrared spectroscopy (FTIR), the result of which indicates that NAMs contain hydrogen occurring as hydroxyl (OH-) or molecule H2O. It is found that the average structural water contents of the jadeites from the two areas are both close to 1 000×10-6; the rutilezs' are both above 2 000×10-6; the quarts' are both < 4×10-6. The structural water contents of garnets from different grains in the same area aren't uniform, while the water contents of UHP jadeite-quartzites from the two areas both range from 900×10-6 to 1 600×10-6. The results reveal that the water in crust or protolith can be transported into the earth's depth through NAMs in the UHP metamorphic rocks during the formation of the HP-UHP metamorphic rocks.
The distribution characteristics of structural water in nominally anhydrous minerals (NAMs) from Dabie mountains can provide important microscopic information on some aspects of the related fluid activities, mineral deformation, dynamical process of blocks subduction and exhumation. The NAMs such as jadeites, garnets, rutiles and quarts in ultra-high pressure (UHP) jadeite-quartzites of Shuanghe and Bixiling areas from Dabie mountains were investigated by Fourier transform infrared spectroscopy (FTIR), the result of which indicates that NAMs contain hydrogen occurring as hydroxyl (OH-) or molecule H2O. It is found that the average structural water contents of the jadeites from the two areas are both close to 1 000×10-6; the rutilezs' are both above 2 000×10-6; the quarts' are both < 4×10-6. The structural water contents of garnets from different grains in the same area aren't uniform, while the water contents of UHP jadeite-quartzites from the two areas both range from 900×10-6 to 1 600×10-6. The results reveal that the water in crust or protolith can be transported into the earth's depth through NAMs in the UHP metamorphic rocks during the formation of the HP-UHP metamorphic rocks.
2007, 32(2): 175-184.
Abstract:
The fuzzy weights of evidence method implemented in GeoDAS GIS was applied to delineate targets for exploration of gold mineral deposits in Zhenyuan mineral district, Yunnan Province, southwestern China. According to the mineral deposit model compiled by USGS, the mineral deposit type discovered in the area is determined as mesothermal gold deposit. Together with field observations the mineralization associated elements are determined, which include Au, As, Hg, Ag, Sb, Pb, and Cd. The singularity method and S-A methods provided in GeoDAS GIS were applied to delineate the weak anomalies and mixing anomalies related to gold mineral deposits. Principal component analysis method was utilized to analyze these elements to form two components (PC2 and PC3) which may reflect two different types of mineralization: PC2 dominated by Au-As-Hg-Co-Ni-Cu may be related to mesothermal deposits formed close to the contact of the ultramafic intrusions; whereas the PC3 dominated by Au-As-Hg-Ag-Pb may represent epithermal mineral deposits located in the sedimentary basin away from the ultramafic intrusions. The peaks of scores on these types of composite anomaly maps were delineated and used as training points for utilization of weights of evidence method and fuzzy weights of evidence method, respectively. 16 targeting areas were delineated using fuzzy weights of evidence method and were suggested for further exploration. The detailed comparison of fuzzy weights of evidence method with the ordinary weights of evidence method shows that the former can produce better results with less loss of useful information during construction of discrete evidential layers.
The fuzzy weights of evidence method implemented in GeoDAS GIS was applied to delineate targets for exploration of gold mineral deposits in Zhenyuan mineral district, Yunnan Province, southwestern China. According to the mineral deposit model compiled by USGS, the mineral deposit type discovered in the area is determined as mesothermal gold deposit. Together with field observations the mineralization associated elements are determined, which include Au, As, Hg, Ag, Sb, Pb, and Cd. The singularity method and S-A methods provided in GeoDAS GIS were applied to delineate the weak anomalies and mixing anomalies related to gold mineral deposits. Principal component analysis method was utilized to analyze these elements to form two components (PC2 and PC3) which may reflect two different types of mineralization: PC2 dominated by Au-As-Hg-Co-Ni-Cu may be related to mesothermal deposits formed close to the contact of the ultramafic intrusions; whereas the PC3 dominated by Au-As-Hg-Ag-Pb may represent epithermal mineral deposits located in the sedimentary basin away from the ultramafic intrusions. The peaks of scores on these types of composite anomaly maps were delineated and used as training points for utilization of weights of evidence method and fuzzy weights of evidence method, respectively. 16 targeting areas were delineated using fuzzy weights of evidence method and were suggested for further exploration. The detailed comparison of fuzzy weights of evidence method with the ordinary weights of evidence method shows that the former can produce better results with less loss of useful information during construction of discrete evidential layers.
2007, 32(2): 185-193.
Abstract:
Chalapu gold deposit, situated in the northern Himalayas, is the largest hardrock gold deposit which happens to be the very first one found in southern Tibet. It is also the first Carlin-type gold deposit reported so far. Its discovery is the be- ginning of finding hardrock gold deposit in southern Tibet, and there will be many breakthroughs in hardrock gold and anti- mony deposits prospecting in the northern Himalayas with further work. This paper introduces the metallogenic background and mineralization characteristics, ages restriction of the gold deposit. We conclude the mineralization of the gold deposit is related to the southern Tibet detachment forming and evolvement, and the ore-forming is related between the northern Hi- malayas and the Gangdise porphyry copper belt in Late Cenozoic. This discovery is of great significance both in theory and practice for finding hardrock gold deposits in the region.
Chalapu gold deposit, situated in the northern Himalayas, is the largest hardrock gold deposit which happens to be the very first one found in southern Tibet. It is also the first Carlin-type gold deposit reported so far. Its discovery is the be- ginning of finding hardrock gold deposit in southern Tibet, and there will be many breakthroughs in hardrock gold and anti- mony deposits prospecting in the northern Himalayas with further work. This paper introduces the metallogenic background and mineralization characteristics, ages restriction of the gold deposit. We conclude the mineralization of the gold deposit is related to the southern Tibet detachment forming and evolvement, and the ore-forming is related between the northern Hi- malayas and the Gangdise porphyry copper belt in Late Cenozoic. This discovery is of great significance both in theory and practice for finding hardrock gold deposits in the region.
2007, 32(2): 194-200.
Abstract:
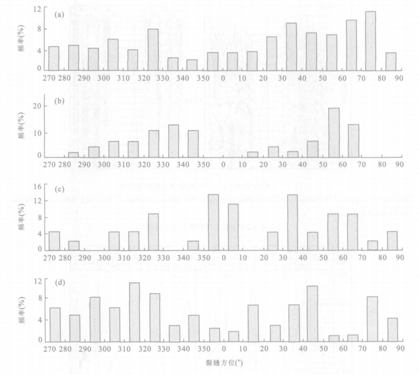
Fracture is an important controlling factor for the distribution of natural gas reservoirs in the second member of Xujiahe Formation at the south of western Sichuan depression. Using the data of outcrops, cores, thin sections and image logs, we analyzed the fracture origin types, distribution characteristics and formation sequences. There are three types of fractures, i.e. tectonic fractures, diagenetic fractures and fractures related to overpressure in the low-permeability sandstone reservoirs. Among them, the tectonic fractures are the main. They are mostly shears with four sets of S-N, NE-SW, E-W and NW-SE orientations. Their development degree dies down in turn. But influenced by modern stress field, the fracture of NW-SE orientation is the primary seepage one. Moreover, there are many tension veins filled with asphaltum in the study area. Combined with the analysis of rocky memorial information measured by acoustic emission, it shows there were overpressures in the reservoir rocks in the Middle and Late Cretaceous where the maximum coefficient of formation pressure could reach 1.6-2.1. After the pressure was released in the Middle and Late Neogene, the pressure coefficient decreased to 1.2-1.3. In the basal part of medium-granular sandstone and grit, there developed many approximately horizontal shear fractures related to the thrusting of faults and interlayer sliding under tectonic compression. The tectonic fractures mainly formed in the end of Triassic, Cretaceous and Neogene-Early Pleistocene.
Fracture is an important controlling factor for the distribution of natural gas reservoirs in the second member of Xujiahe Formation at the south of western Sichuan depression. Using the data of outcrops, cores, thin sections and image logs, we analyzed the fracture origin types, distribution characteristics and formation sequences. There are three types of fractures, i.e. tectonic fractures, diagenetic fractures and fractures related to overpressure in the low-permeability sandstone reservoirs. Among them, the tectonic fractures are the main. They are mostly shears with four sets of S-N, NE-SW, E-W and NW-SE orientations. Their development degree dies down in turn. But influenced by modern stress field, the fracture of NW-SE orientation is the primary seepage one. Moreover, there are many tension veins filled with asphaltum in the study area. Combined with the analysis of rocky memorial information measured by acoustic emission, it shows there were overpressures in the reservoir rocks in the Middle and Late Cretaceous where the maximum coefficient of formation pressure could reach 1.6-2.1. After the pressure was released in the Middle and Late Neogene, the pressure coefficient decreased to 1.2-1.3. In the basal part of medium-granular sandstone and grit, there developed many approximately horizontal shear fractures related to the thrusting of faults and interlayer sliding under tectonic compression. The tectonic fractures mainly formed in the end of Triassic, Cretaceous and Neogene-Early Pleistocene.
2007, 32(2): 201-208.
Abstract:
For determining the distribution pattern of the depositional system of Yanchang Formation in the northwest of Ordos basin, the authors chose mid-lower Yanchang Formation and did a systematic research on the provenance and the characteristics of the mother rock by methods such as the analysis of rocks and minerals, heavy mineral analysis, paleocurrent survey, sand distribution system drawing and paleo-topogrphy reconstruction etc.. The results indicate that the study area is mainly affected by four sediment sources, which have favorable spatial combination with depositional system: Rujigou lobe which has the largest influence on the study area is controlled by the Alxa Ancient Land; Shigouyi lobe develops from the overthrust sheet of Daluo Mountain; Otog Qi lobe and Dingbian lobe are controlled by the sedimentary sources in the northeast of Ordos basin. The mother-rock properties of the four provenances are very different. The ones in the Alxa Ancient Land and in the overthrust sheet of Daluo Mountain mainly consist of metamorphic rocks, including some granite and sedimentary rocks. However, the ones in the northeast of Ordos basin are mianly made up of granite and metamorphic rocks. Provenance analysis is useful to reasonable deployment of oil and gas exploration.
For determining the distribution pattern of the depositional system of Yanchang Formation in the northwest of Ordos basin, the authors chose mid-lower Yanchang Formation and did a systematic research on the provenance and the characteristics of the mother rock by methods such as the analysis of rocks and minerals, heavy mineral analysis, paleocurrent survey, sand distribution system drawing and paleo-topogrphy reconstruction etc.. The results indicate that the study area is mainly affected by four sediment sources, which have favorable spatial combination with depositional system: Rujigou lobe which has the largest influence on the study area is controlled by the Alxa Ancient Land; Shigouyi lobe develops from the overthrust sheet of Daluo Mountain; Otog Qi lobe and Dingbian lobe are controlled by the sedimentary sources in the northeast of Ordos basin. The mother-rock properties of the four provenances are very different. The ones in the Alxa Ancient Land and in the overthrust sheet of Daluo Mountain mainly consist of metamorphic rocks, including some granite and sedimentary rocks. However, the ones in the northeast of Ordos basin are mianly made up of granite and metamorphic rocks. Provenance analysis is useful to reasonable deployment of oil and gas exploration.
2007, 32(2): 209-212.
Abstract:
In order to elucidate the origin of condensate oil-gas reservoir discovered in Qijia-Gulong depression, a thermal evaporation experiment was designed and carried out based on the knowledge of the geological background of condensate oil-gas reservoir and the oil-oil correlation.The result indicates that the condensate oil and the underlying black-oil are from the same source rock, which hints their secondary origin. The thermal evaporation experiment supports that the condensate oil is from the underlying black-oil by thermal evaporation. This kind of thermal evaporation is possibly realized through faults or micro-fractures. The possibility of forming large-scale condensation gas reservoirs in this area is discounted because of the thermal evaporation origin. Therefore, the advantaged exploration target should be focused on such areas as where there are pathways propitious to thermal evaporation, with deeper bury depth and higher temperature and pressure.
In order to elucidate the origin of condensate oil-gas reservoir discovered in Qijia-Gulong depression, a thermal evaporation experiment was designed and carried out based on the knowledge of the geological background of condensate oil-gas reservoir and the oil-oil correlation.The result indicates that the condensate oil and the underlying black-oil are from the same source rock, which hints their secondary origin. The thermal evaporation experiment supports that the condensate oil is from the underlying black-oil by thermal evaporation. This kind of thermal evaporation is possibly realized through faults or micro-fractures. The possibility of forming large-scale condensation gas reservoirs in this area is discounted because of the thermal evaporation origin. Therefore, the advantaged exploration target should be focused on such areas as where there are pathways propitious to thermal evaporation, with deeper bury depth and higher temperature and pressure.
2007, 32(2): 213-218.
Abstract:
Detailed oil-oil, oil-source rock comparison according to the composition and distribution of hydrocarbons in the Niuzhuang sag was performed to unravel genetics and migration mechanism of the oil Results indicate that the oils analyzed are characterized by low ratios of Pr/Ph (< 1) and relative high concentration of steranes and gammaceranes, which are typical features of Es4 source rocks. No genetic relationship was observed between the oil and the middle interval of Es3 mudstones characterized by Pr/Ph>1 and low concentration of gammaceranes, and apparent dissimilarities were also observed between the oil and the low interval of Es3 mudstones. We suggested that the oils are mixed oils derived from the Es3L and Es4 mudstones, and there is no possibility of the Es3M to be the primary source rock for the oil. The results show that the traditional hydrocarbons migration and accumulation model for subtle oil pools especially sandy lens-shaped pools featured by short oil migration distance with hydrocarbons sourced from surrounding mudstones is unlikdy fit for the cases of this study. The mixing of the oils source from the Es4 with hundreds of meters under the Es3M oil pools probably indicates the existence of subtle oil migration pathways.
Detailed oil-oil, oil-source rock comparison according to the composition and distribution of hydrocarbons in the Niuzhuang sag was performed to unravel genetics and migration mechanism of the oil Results indicate that the oils analyzed are characterized by low ratios of Pr/Ph (< 1) and relative high concentration of steranes and gammaceranes, which are typical features of Es4 source rocks. No genetic relationship was observed between the oil and the middle interval of Es3 mudstones characterized by Pr/Ph>1 and low concentration of gammaceranes, and apparent dissimilarities were also observed between the oil and the low interval of Es3 mudstones. We suggested that the oils are mixed oils derived from the Es3L and Es4 mudstones, and there is no possibility of the Es3M to be the primary source rock for the oil. The results show that the traditional hydrocarbons migration and accumulation model for subtle oil pools especially sandy lens-shaped pools featured by short oil migration distance with hydrocarbons sourced from surrounding mudstones is unlikdy fit for the cases of this study. The mixing of the oils source from the Es4 with hundreds of meters under the Es3M oil pools probably indicates the existence of subtle oil migration pathways.
2007, 32(2): 219-226.
Abstract:
In order to further understand the accumulation process and dynamic mechanism of the strata reservoir, the classification and distribution of the strata reservoirs in Jiyang depression are systematically summarized and the reservoir forming mode is analyzed from static and dynamic states. The concept of "unconformity body" is first proposed for the relation between strata reservoir and unconformity contact. Based on analyzing the different impacts of "unconformity body" on different types of strata reservoirs, various reservoir forming modes are constructed. And the mechanism of strata reservoir forming is mainly discussed. It is concluded that the buoyancy and the structure stress are two important dynamic of reservoir forming. The buoyancy is the main dynamic for the oil and gas migration in strata reservoirs and the abruptly releasing of stress is the spring mechanism of the oil and gas episodic migration. The strata reservoir forming process is a relatively continuous process with episode.
In order to further understand the accumulation process and dynamic mechanism of the strata reservoir, the classification and distribution of the strata reservoirs in Jiyang depression are systematically summarized and the reservoir forming mode is analyzed from static and dynamic states. The concept of "unconformity body" is first proposed for the relation between strata reservoir and unconformity contact. Based on analyzing the different impacts of "unconformity body" on different types of strata reservoirs, various reservoir forming modes are constructed. And the mechanism of strata reservoir forming is mainly discussed. It is concluded that the buoyancy and the structure stress are two important dynamic of reservoir forming. The buoyancy is the main dynamic for the oil and gas migration in strata reservoirs and the abruptly releasing of stress is the spring mechanism of the oil and gas episodic migration. The strata reservoir forming process is a relatively continuous process with episode.
2007, 32(2): 227-234.
Abstract:
Based on the analysis of the forms and the comparability in configuration of fault and fracture, the information dimension of faults on tectonic map T5, T2 and that of fracture in ten cores from research formation J3b were calculated, then the factors affecting their information dimension were analyzed, finally, the distribution of fracture in the research region is predicted. These affecting factors include density, extend, properties of faults and lithology. However, the effects from the properties of faults and lithology are concentrated on density of fault and fracture, so the information dimension is a measurement for to what extent faults have developed. The distribution area of fracture was forecasted two relations: one is the relationship between information dimension of faults, the other is the relationship between the information dimension and density of fracture, three favorable fracture-developed areas were sketched, which turned out to be in accordance with the distribution of commercial wells.
Based on the analysis of the forms and the comparability in configuration of fault and fracture, the information dimension of faults on tectonic map T5, T2 and that of fracture in ten cores from research formation J3b were calculated, then the factors affecting their information dimension were analyzed, finally, the distribution of fracture in the research region is predicted. These affecting factors include density, extend, properties of faults and lithology. However, the effects from the properties of faults and lithology are concentrated on density of fault and fracture, so the information dimension is a measurement for to what extent faults have developed. The distribution area of fracture was forecasted two relations: one is the relationship between information dimension of faults, the other is the relationship between the information dimension and density of fracture, three favorable fracture-developed areas were sketched, which turned out to be in accordance with the distribution of commercial wells.
2007, 32(2): 235-240.
Abstract:
Natural gas storages become more and more important in China with an increasing consumption of natural gas. Aquifer traps and depleted oil and gas pools are main types of underground natural gas storages in the world. However, in China, petroleum provinces are generally far from big cities and petroleum is mostly often produced from lacustrine deposit which is highly inhomogeneous, limiting the potential of storage capacities. Therefore, we suggest that aquifer traps of Paleozoic marine deposit should be explored as the main type of underground storages of natural gas in China. In this paper, gas engineering methods are introduced to formulate a method of quantified optimization selection of aquifer traps as underground natural gas storages. The parameters, like peak demand of natural gas, aquifers' permeability, bury depth, volume of traps, drilling and compressor power cost, and a group of combined equations related to these parameters are established. The resolution of these combined equations leads to an optimization of investment for each trap. By comparing the discounted investments and pay-off of all the traps, one trap could be selected as the favorite to be constructed as underground natural gas storage. The gas engineering methods make the optimization selection of aquifer traps based on quantified evaluation, which will provide technical support for constructing aquifer traps in China.
Natural gas storages become more and more important in China with an increasing consumption of natural gas. Aquifer traps and depleted oil and gas pools are main types of underground natural gas storages in the world. However, in China, petroleum provinces are generally far from big cities and petroleum is mostly often produced from lacustrine deposit which is highly inhomogeneous, limiting the potential of storage capacities. Therefore, we suggest that aquifer traps of Paleozoic marine deposit should be explored as the main type of underground storages of natural gas in China. In this paper, gas engineering methods are introduced to formulate a method of quantified optimization selection of aquifer traps as underground natural gas storages. The parameters, like peak demand of natural gas, aquifers' permeability, bury depth, volume of traps, drilling and compressor power cost, and a group of combined equations related to these parameters are established. The resolution of these combined equations leads to an optimization of investment for each trap. By comparing the discounted investments and pay-off of all the traps, one trap could be selected as the favorite to be constructed as underground natural gas storage. The gas engineering methods make the optimization selection of aquifer traps based on quantified evaluation, which will provide technical support for constructing aquifer traps in China.
2007, 32(2): 241-246.
Abstract:
The present geopressure field in Niuzhuang sag in Dongying depression can be divided into dissimilar zones vertically and different areas horizontally. Overpressure is closely related to both the upper part of the fourth member and the lower part of the third member of Shahejie Formation whose source rocks matured. Large-scale faults surrounding Niuzhuang sag limit the horizontal overpressure distribution. Inside the sag it is strongly overpressured while outside it is much less overpressured. The forward modeling indicates that the overpressure evolution in the sag is divided into three stages: original-forming, meta-declining and latest-raising stages. And the main mechanism for generating overpressures evolved from undercompaction into combination of both undercompaction and hydrocarbon generation. Meanwhile, both lateral seal by large-scale faults surrounding Niuzhuang sag and vertical seal by the thick and shale-enriched bottom layer of the middle part of the third member of Shahejie Formation determined the special distribution of overpressure. The overpressure in Niuzhuang sag provided the petroleum migration with original forces in those two important accumulation periods. Coupling of overpressure evolution and tectonic activities played an active role in petroleum accumulation in the bordering faulted zone near Niuzhuang sag.
The present geopressure field in Niuzhuang sag in Dongying depression can be divided into dissimilar zones vertically and different areas horizontally. Overpressure is closely related to both the upper part of the fourth member and the lower part of the third member of Shahejie Formation whose source rocks matured. Large-scale faults surrounding Niuzhuang sag limit the horizontal overpressure distribution. Inside the sag it is strongly overpressured while outside it is much less overpressured. The forward modeling indicates that the overpressure evolution in the sag is divided into three stages: original-forming, meta-declining and latest-raising stages. And the main mechanism for generating overpressures evolved from undercompaction into combination of both undercompaction and hydrocarbon generation. Meanwhile, both lateral seal by large-scale faults surrounding Niuzhuang sag and vertical seal by the thick and shale-enriched bottom layer of the middle part of the third member of Shahejie Formation determined the special distribution of overpressure. The overpressure in Niuzhuang sag provided the petroleum migration with original forces in those two important accumulation periods. Coupling of overpressure evolution and tectonic activities played an active role in petroleum accumulation in the bordering faulted zone near Niuzhuang sag.
2007, 32(2): 247-252.
Abstract:
It's very significant to discover the law of distribution of the time and space and oil-gas reservoir formation of Baiyun deep water fans in Pearl River Mouth basin, South China Sea. Based on the detailed seismologic interpretation guided by sequence stratigraphy theory, a lot of deep water sedimentary bodies, which composed of basin floor fans, slope fans, lowstand wedge and downcut channels, have been found in northern continental slope of Baiyun sag. The basin floor fans and the slope fans developing during several periods overlapped each other in vertical, distributed lobately horizontally, and connected with downcut channels. The research shows that the main accumulation controlling factors of the Baiyun deep-water fan include: (1) there are active source rocks with great petroleum generation potentiality in the Baiyun sag; (2) there developed conducting frameworks, which include faults, continue distribution sandstones, unconformable surface and diapiric zone; (3) the deep-water fans developed during low water periods and the mudstone layers over them developed during high water periods, which are both good factors for petroleum store and cover; (4) the accumulation and leakage of overpressure are important for the hydrocarbon expelling from source rocks. So the Baiyun deep-water fan has good accumulation conditions and it can be a favorable object for deep water exploration in the Pearl River Mouth basin.
It's very significant to discover the law of distribution of the time and space and oil-gas reservoir formation of Baiyun deep water fans in Pearl River Mouth basin, South China Sea. Based on the detailed seismologic interpretation guided by sequence stratigraphy theory, a lot of deep water sedimentary bodies, which composed of basin floor fans, slope fans, lowstand wedge and downcut channels, have been found in northern continental slope of Baiyun sag. The basin floor fans and the slope fans developing during several periods overlapped each other in vertical, distributed lobately horizontally, and connected with downcut channels. The research shows that the main accumulation controlling factors of the Baiyun deep-water fan include: (1) there are active source rocks with great petroleum generation potentiality in the Baiyun sag; (2) there developed conducting frameworks, which include faults, continue distribution sandstones, unconformable surface and diapiric zone; (3) the deep-water fans developed during low water periods and the mudstone layers over them developed during high water periods, which are both good factors for petroleum store and cover; (4) the accumulation and leakage of overpressure are important for the hydrocarbon expelling from source rocks. So the Baiyun deep-water fan has good accumulation conditions and it can be a favorable object for deep water exploration in the Pearl River Mouth basin.
2007, 32(2): 253-259.
Abstract:
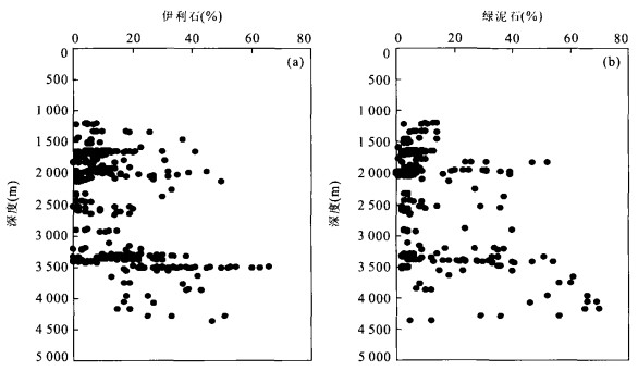
This paper mainly discusses the vertical distribution of secondary pores in Paleogene sandstones in Huimin depression based on the thin section, SEM, carbonate contents, vitrinite reflectance, clay minerals and reservoir property data in order to make a more precise prediction on the distribution of effective reservoirs in the process of gas exploration. Thin section and SEM observation show that the pores in sandstones are mainly primary pores preserved after being compacted at a depth of less than 1 400 m. There are a few secondary pores at a depth of more than 1 400 m, then comes mixed pore zones, characterized by the coexistence of primary and secondary pores in a depth range of 1 400-1 500 m; a large number of secondary pores occurred at two depth ranges of 1 500-2 300 m and 2 700-4 000 m. The vertical variation pattern of all porosity and permeability data we have collected can also confirm such evolution. It is found from thin section and SEM data that secondary pores mainly formed by feldspar dissolution, then by carbonate cement dissolution. The vertical distribution of authigenic kaolinite and carbonate cements can also confirm it. At the two depth ranges where secondary pores are well developed, feldspar dissolution resulted in the increase of authigenic kaolinite and large amounts of quartz overgrowth, while the amount of carbonate cements has no obvious change. The phenomena of feldspar being dissolved and no or only traces of carbonate cement being dissolved are determined by free energy of chemical reaction between organic acid and feldspar or carbonate cement. Dissolution of feldspar in organic acid is characterized by relatively low chemical energy, but for carbonate cement, that is quite higher. The distribution of secondary pores is closely related to the evolution of source rock and diagenitic evolution of sandstones. In addition, at the 1 400-4 000 m depth range, the interlayer water was rapidly dehydrated from the clay minerals in mudstones, which is directly responsible for further corrosion in sandstones.
This paper mainly discusses the vertical distribution of secondary pores in Paleogene sandstones in Huimin depression based on the thin section, SEM, carbonate contents, vitrinite reflectance, clay minerals and reservoir property data in order to make a more precise prediction on the distribution of effective reservoirs in the process of gas exploration. Thin section and SEM observation show that the pores in sandstones are mainly primary pores preserved after being compacted at a depth of less than 1 400 m. There are a few secondary pores at a depth of more than 1 400 m, then comes mixed pore zones, characterized by the coexistence of primary and secondary pores in a depth range of 1 400-1 500 m; a large number of secondary pores occurred at two depth ranges of 1 500-2 300 m and 2 700-4 000 m. The vertical variation pattern of all porosity and permeability data we have collected can also confirm such evolution. It is found from thin section and SEM data that secondary pores mainly formed by feldspar dissolution, then by carbonate cement dissolution. The vertical distribution of authigenic kaolinite and carbonate cements can also confirm it. At the two depth ranges where secondary pores are well developed, feldspar dissolution resulted in the increase of authigenic kaolinite and large amounts of quartz overgrowth, while the amount of carbonate cements has no obvious change. The phenomena of feldspar being dissolved and no or only traces of carbonate cement being dissolved are determined by free energy of chemical reaction between organic acid and feldspar or carbonate cement. Dissolution of feldspar in organic acid is characterized by relatively low chemical energy, but for carbonate cement, that is quite higher. The distribution of secondary pores is closely related to the evolution of source rock and diagenitic evolution of sandstones. In addition, at the 1 400-4 000 m depth range, the interlayer water was rapidly dehydrated from the clay minerals in mudstones, which is directly responsible for further corrosion in sandstones.
2007, 32(2): 260-266.
Abstract:
The hydrocarbon accumulation coefficient is a key parameter influenced by many geological factors in the evaluation of hydrocarbon resources and how to attain its value scientifically has always been a big problem. In this paper, the hydrocarbon accumulation system is evaluated quantitatively by the quantitative evaluation model based on the analytical hierarchy process. The calibrated unit is selected according to the three-most principle and its hydrocarbon accumulation coefficient can be calculated by the methods of hydrocarbon-generation potential and pool size serial. The hydrocarbon accumulation coefficient of the intentional system can be gained by the analogy between the referential system and the intentional system. Through the application of the above methods, the hydrocarbon accumulation coefficient of the petroleum accumulation systems in Gaoyou sag of Subei basin can be satisfactorily attained, which proves that the hydrocarbon accumulation coefficient can be achieved quantitatively with the methods of hydrocarbon-generation potential and pool size serial based on the quantitative evaluation of the petroleum accumulation system by the analytical hierarchy process which leads to more objective hydrocarbon resource evaluation by decreasing the subjective factors in the calculation of hydrocarbon amount.
The hydrocarbon accumulation coefficient is a key parameter influenced by many geological factors in the evaluation of hydrocarbon resources and how to attain its value scientifically has always been a big problem. In this paper, the hydrocarbon accumulation system is evaluated quantitatively by the quantitative evaluation model based on the analytical hierarchy process. The calibrated unit is selected according to the three-most principle and its hydrocarbon accumulation coefficient can be calculated by the methods of hydrocarbon-generation potential and pool size serial. The hydrocarbon accumulation coefficient of the intentional system can be gained by the analogy between the referential system and the intentional system. Through the application of the above methods, the hydrocarbon accumulation coefficient of the petroleum accumulation systems in Gaoyou sag of Subei basin can be satisfactorily attained, which proves that the hydrocarbon accumulation coefficient can be achieved quantitatively with the methods of hydrocarbon-generation potential and pool size serial based on the quantitative evaluation of the petroleum accumulation system by the analytical hierarchy process which leads to more objective hydrocarbon resource evaluation by decreasing the subjective factors in the calculation of hydrocarbon amount.
2007, 32(2): 267-272.
Abstract:
The modeling of complex hydrocarbon reservoirs is the premise and basis of the calculation of the reserves. In this paper, focusing on the modeling and parameters acquiring in reserve calculation of carbonate rock, a model of karstificated weathering crust-type quasi-layered reservoirs was established by using the new techniques and theories in petroleum geology and geophysics. On the basis of this model, the calculated units could be correctly divided, the calculating method could be properly chosen, and the parameters of reserves could be reasonably selected. Thes proposed and realized a way to calculate the reserves of the vug-type reservoirs and the fissure-type reservoirs respectively. Furthermore, the method for calculating a series of parameters such as the oil-bearing volume, the lower limit of valid thickness, porosity and saturation was innovated, and the corresponding computer software was developed. These innovations dramatically increase the calculated reserves of the complex oil-gas pool in carbonate rocks, and provide an example for the reserve calculation of similar reservoirs.
The modeling of complex hydrocarbon reservoirs is the premise and basis of the calculation of the reserves. In this paper, focusing on the modeling and parameters acquiring in reserve calculation of carbonate rock, a model of karstificated weathering crust-type quasi-layered reservoirs was established by using the new techniques and theories in petroleum geology and geophysics. On the basis of this model, the calculated units could be correctly divided, the calculating method could be properly chosen, and the parameters of reserves could be reasonably selected. Thes proposed and realized a way to calculate the reserves of the vug-type reservoirs and the fissure-type reservoirs respectively. Furthermore, the method for calculating a series of parameters such as the oil-bearing volume, the lower limit of valid thickness, porosity and saturation was innovated, and the corresponding computer software was developed. These innovations dramatically increase the calculated reserves of the complex oil-gas pool in carbonate rocks, and provide an example for the reserve calculation of similar reservoirs.
2007, 32(2): 273-278.
Abstract:
Taking the lithological reservoir of Dongying sag as an example, this paper discusses how the change of physical property of sandbody controls the increase of oil saturation from geological analysis, physical simulation experiment and reservoir-formation mechanism. The petroliferous property of the sandbody enveloped by effective source rock Lower Tertiary is superior to that of the sandbody that lies outside the source rock. And the oil saturation of sandbody enveloped by source rock is inclined to increase when the physical property of sandbody becomes better. Based on the analysis on the lithological reservoir of Dongying sag, physical simulation experiments on controlling the forming of lithological sandbody were conducted with hydrocarbon migration and accumulation simulation facilities. The results show that the resistivity of sandbody changes quickly with the increase of grain size, in other words, the speed of the sandbody's reaching a certain oil saturation becomes faster, which indicates that a better physical property of sandbody is conductive to forming lithological reservoir since the physical property is one of the important factors influencing the reservoir forming of sandbody.
Taking the lithological reservoir of Dongying sag as an example, this paper discusses how the change of physical property of sandbody controls the increase of oil saturation from geological analysis, physical simulation experiment and reservoir-formation mechanism. The petroliferous property of the sandbody enveloped by effective source rock Lower Tertiary is superior to that of the sandbody that lies outside the source rock. And the oil saturation of sandbody enveloped by source rock is inclined to increase when the physical property of sandbody becomes better. Based on the analysis on the lithological reservoir of Dongying sag, physical simulation experiments on controlling the forming of lithological sandbody were conducted with hydrocarbon migration and accumulation simulation facilities. The results show that the resistivity of sandbody changes quickly with the increase of grain size, in other words, the speed of the sandbody's reaching a certain oil saturation becomes faster, which indicates that a better physical property of sandbody is conductive to forming lithological reservoir since the physical property is one of the important factors influencing the reservoir forming of sandbody.
2007, 32(2): 279-284.
Abstract:
Sequential extraction tests using Flow Injection Mercury System(FIMS)were done on 29 coal samples collected from the number 3, 4, 5, 7, and 10 coal seams in the Huaibei coalfield. The average total Hg concentrations for the coal seams 3, 4, 5, 7, and 10 were 0.13, 0.18, 0.54, 0.34, and 0.19 mg/kg respectively. The average value of Hg for all of the coal samples was 0.26 mg/kg, which is higher than that of most Chinese and U.S. coals. Six modes of Hg occurrence were recognized, including water-leachable, ion-exchangeable, organic-bound, carbonate-bound, silicate-bound, and sulfidebound Hg ones.With rare exception, little Hg was found in water-soluble, ion-exchangeable or carbonate-bound forms. Sulfide-bound Hg and organic-bound Hg dominated seams 3, 4, and 10, whereas silicate-bound Hg dominated seams 5 and 7. The relatively high Hg values observed in seams 5 and 7, especially in parting samples, are attributed to Hg enrichment by magmatic intrusions.
Sequential extraction tests using Flow Injection Mercury System(FIMS)were done on 29 coal samples collected from the number 3, 4, 5, 7, and 10 coal seams in the Huaibei coalfield. The average total Hg concentrations for the coal seams 3, 4, 5, 7, and 10 were 0.13, 0.18, 0.54, 0.34, and 0.19 mg/kg respectively. The average value of Hg for all of the coal samples was 0.26 mg/kg, which is higher than that of most Chinese and U.S. coals. Six modes of Hg occurrence were recognized, including water-leachable, ion-exchangeable, organic-bound, carbonate-bound, silicate-bound, and sulfidebound Hg ones.With rare exception, little Hg was found in water-soluble, ion-exchangeable or carbonate-bound forms. Sulfide-bound Hg and organic-bound Hg dominated seams 3, 4, and 10, whereas silicate-bound Hg dominated seams 5 and 7. The relatively high Hg values observed in seams 5 and 7, especially in parting samples, are attributed to Hg enrichment by magmatic intrusions.
2007, 32(2): 285-290.
Abstract:
Based on the elemental, maceral, micro-fracture, coal facies, liquid nitrogen adsorption/desorption and mercury injection analyses, the coalbed methane (CBM) geological characteristics, coal reservoir physical characteristics, CBM resources and its exploration and exploitation prospect in Pingdingshan coalfield were systematically studied. The in-place CBM resource was calculated using the fuzzy mathematics and stacking analysis of GIS (geographic information system) method. The results show that the in-place CBM resources and the resources abundance in Pingdingshan coalfield are about 786. 8× 108 m3 and 1.05 ×108 m3/km2 respectively, which are very favorable for CBM exploration and development. The optimum target areas in this coalfield are the deep prediction districts of No. 8 and No. 10 coal districts, where the coal reservoirs have higher coal thickness and CBM resource abundance, good burial depth, well connected pore-cleat systems, and higher permeability resulting from the tectonic stress.
Based on the elemental, maceral, micro-fracture, coal facies, liquid nitrogen adsorption/desorption and mercury injection analyses, the coalbed methane (CBM) geological characteristics, coal reservoir physical characteristics, CBM resources and its exploration and exploitation prospect in Pingdingshan coalfield were systematically studied. The in-place CBM resource was calculated using the fuzzy mathematics and stacking analysis of GIS (geographic information system) method. The results show that the in-place CBM resources and the resources abundance in Pingdingshan coalfield are about 786. 8× 108 m3 and 1.05 ×108 m3/km2 respectively, which are very favorable for CBM exploration and development. The optimum target areas in this coalfield are the deep prediction districts of No. 8 and No. 10 coal districts, where the coal reservoirs have higher coal thickness and CBM resource abundance, good burial depth, well connected pore-cleat systems, and higher permeability resulting from the tectonic stress.









PDF 486KB