2014 Vol. 39, No. 3
Display Method:
2014, 39(3): 251-260.
doi: 10.3799/dqkx.2014.024
Abstract:
The Boziguoer intrusive rocks in Baicheng County of Xinjiang are ore-bearing rocks with abundant useful elements such as Nb, Ta, U, Th, rare earth, Zr, Rb, Cs and Li etc.. A polarized light microscope and electron probe micro analysis (EPMA) is involved in detailed investigations into the mineralogical characteristics of intrusive rocks in this study. The results show that the main rock forming minerals include quartz, albite, potash feldspar, arfvedsonite characterized by rich Fe2+, Li-siderophyllite characterized by rich Si, Fe, low Al and poor Mg, and lepidolite characterized by rich Si, Li, low Al. Li-siderophyllite and lepidolite are minerals of trioctahedral mica group, belonging to the biotite-lepidolite series as different members. Moreover, the accessory minerals include pyrochlore, astrophyllite, fluocerite, monazite, thorite, fluorite, zircon, niobite etc. Then, the intrusive rocks are named as biotite alkaline granite. It is inferred that the magma might have been formed in an anorogenic intraplate tectonic setting in which diagenesis generally shows such characteristics as high-temperature, anhydrous nature and low oxygen fugacity.
The Boziguoer intrusive rocks in Baicheng County of Xinjiang are ore-bearing rocks with abundant useful elements such as Nb, Ta, U, Th, rare earth, Zr, Rb, Cs and Li etc.. A polarized light microscope and electron probe micro analysis (EPMA) is involved in detailed investigations into the mineralogical characteristics of intrusive rocks in this study. The results show that the main rock forming minerals include quartz, albite, potash feldspar, arfvedsonite characterized by rich Fe2+, Li-siderophyllite characterized by rich Si, Fe, low Al and poor Mg, and lepidolite characterized by rich Si, Li, low Al. Li-siderophyllite and lepidolite are minerals of trioctahedral mica group, belonging to the biotite-lepidolite series as different members. Moreover, the accessory minerals include pyrochlore, astrophyllite, fluocerite, monazite, thorite, fluorite, zircon, niobite etc. Then, the intrusive rocks are named as biotite alkaline granite. It is inferred that the magma might have been formed in an anorogenic intraplate tectonic setting in which diagenesis generally shows such characteristics as high-temperature, anhydrous nature and low oxygen fugacity.
2014, 39(3): 261-270.
doi: 10.3799/dqkx.2014.025
Abstract:
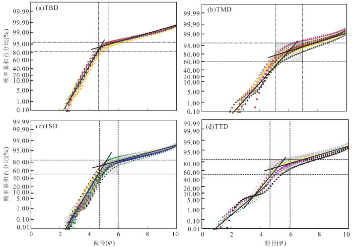
Sedimentary features of tidal-bore deposits, evolution and resultant sedimentary sequence of main channel and tidal flat in the Qiantang Estuary are studied in detail by analyses of time-series satellite photos, and sedimentological and geochemical characters of a 4 m high crop. The wide and shallow channel at the bore-affected reach shifts rapidly under intense interaction of tidal flow and river runoff. There is channel evolution cycle of ~20 years linked to the decadal alterations of dry and wet periods in the catchment. On the vertical facies association of tidal channel-flat system, the lower section is a typical tidal-bore deposit at the main channel and the lower tidal flat, characterized by thick massive sandy beds with well developed soft-sediment deformation structures. The upper section is tidal rhythmite at the higher tidal flat, typical of mud couplets and spring-neap tidal cycles of tidal origin. The middle tidal-flat facies bears both sedimentary features of tidal-bore deposits and tidal rhythmite. C-M diagram and probability cumulative curve are useful to differentiate tidal-bore deposits from tidal sandy/muddy deposits. There is a general trend of higher ratios of Si/Al, Zr/Al and Ti/Al in tidal-bore deposits, and Fe/Al and Mn/Al in tidal rhythmites, which is mainly related to elemental behavior and selected sorting of hydrodynamic. Elements of Si, Zr and Ti majorly present in quartz and heavy minerals are therefore abundant in the higher energy depositional environment, while Fe, Mn elements which can be easily adsorbed by clay minerals are consequently enriched in the lower energy sedimentary environment.
Sedimentary features of tidal-bore deposits, evolution and resultant sedimentary sequence of main channel and tidal flat in the Qiantang Estuary are studied in detail by analyses of time-series satellite photos, and sedimentological and geochemical characters of a 4 m high crop. The wide and shallow channel at the bore-affected reach shifts rapidly under intense interaction of tidal flow and river runoff. There is channel evolution cycle of ~20 years linked to the decadal alterations of dry and wet periods in the catchment. On the vertical facies association of tidal channel-flat system, the lower section is a typical tidal-bore deposit at the main channel and the lower tidal flat, characterized by thick massive sandy beds with well developed soft-sediment deformation structures. The upper section is tidal rhythmite at the higher tidal flat, typical of mud couplets and spring-neap tidal cycles of tidal origin. The middle tidal-flat facies bears both sedimentary features of tidal-bore deposits and tidal rhythmite. C-M diagram and probability cumulative curve are useful to differentiate tidal-bore deposits from tidal sandy/muddy deposits. There is a general trend of higher ratios of Si/Al, Zr/Al and Ti/Al in tidal-bore deposits, and Fe/Al and Mn/Al in tidal rhythmites, which is mainly related to elemental behavior and selected sorting of hydrodynamic. Elements of Si, Zr and Ti majorly present in quartz and heavy minerals are therefore abundant in the higher energy depositional environment, while Fe, Mn elements which can be easily adsorbed by clay minerals are consequently enriched in the lower energy sedimentary environment.
2014, 39(3): 271-282.
doi: 10.3799/dqkx.2014.026
Abstract:
The Neoarchean intrusions in Guyang area, Inner Mongolia, with obvious characteristics of TTG rock series, are in line with the calc-alkaline series in the rock evolution, reflecting the trend of rock evolution from the early Ca-enriched one to later Na-enriched one. The SiO2 content of these intrusive rocks is in the range of 49.99%-76.08% (mostly 51%-67%), with a high alkali content (Na2O+K2O > 7%), enriched in Na (Na2O > 3%), Na2O/K2O > 1, high-alumina (Al2O3 content usually between 13%-18%), high Mg# value (Mg# ranging from 33-50, average 45). Trace elements show low Rb/Sr ratio (0.02 < Rb/Sr < 0.22, average 0.08), with significant Nb, P and Ti negative anomalies and a positive Sr anomaly. REE distribution curves show that the rocks with a weak positive Eu anomaly are strongly LREE enriched, HREE loss, belonging to a right-inclined type. The laser ablation-inductively coupled plasma-mass spectrometry (LA-ICP-MS) was used for the zircon U-Pb dating of the intrusive rocks, and the isotope age is between 2 500 and 2 520 Ma, belonging to the Late Neoarchaean. Moreover, monzogranite in obtaining inconsistent U-Pb age settlement under the curve (410-576 Ma) represents the cause of the loss of Pb from the mineral-thermal event of the time, that can be used as the time limit of the incident in this area, what is the southward hyperplasia of North China platform in Early Paleozoic should be with the closure of Qilian fold belt.
The Neoarchean intrusions in Guyang area, Inner Mongolia, with obvious characteristics of TTG rock series, are in line with the calc-alkaline series in the rock evolution, reflecting the trend of rock evolution from the early Ca-enriched one to later Na-enriched one. The SiO2 content of these intrusive rocks is in the range of 49.99%-76.08% (mostly 51%-67%), with a high alkali content (Na2O+K2O > 7%), enriched in Na (Na2O > 3%), Na2O/K2O > 1, high-alumina (Al2O3 content usually between 13%-18%), high Mg# value (Mg# ranging from 33-50, average 45). Trace elements show low Rb/Sr ratio (0.02 < Rb/Sr < 0.22, average 0.08), with significant Nb, P and Ti negative anomalies and a positive Sr anomaly. REE distribution curves show that the rocks with a weak positive Eu anomaly are strongly LREE enriched, HREE loss, belonging to a right-inclined type. The laser ablation-inductively coupled plasma-mass spectrometry (LA-ICP-MS) was used for the zircon U-Pb dating of the intrusive rocks, and the isotope age is between 2 500 and 2 520 Ma, belonging to the Late Neoarchaean. Moreover, monzogranite in obtaining inconsistent U-Pb age settlement under the curve (410-576 Ma) represents the cause of the loss of Pb from the mineral-thermal event of the time, that can be used as the time limit of the incident in this area, what is the southward hyperplasia of North China platform in Early Paleozoic should be with the closure of Qilian fold belt.
2014, 39(3): 283-292.
doi: 10.3799/dqkx.2014.027
Abstract:
Organic matter from Early Cambrian black rock series in western Hunan was derived from organisms in the euphotic zone. For not interfered by the detrital component, REE geochemistry of organic matter can demonstrate paleoenvironmental characteristics of the upper seawater. As the main part of organic matter, kerogen is fully consistent with the modern seawater—like REE pattern which shows a progressive enrichment towards the heavier REE, depletion of Ce, positive anomalies of Y and no obvious anomalies of Eu. The characteristics of kerogen may trace paleoredox condition of upper seawater. The euxinic environment may have arised in the lower part of sections in the Yangtze area, and the depositional condition may have shifted to gradual oxidization in the upper part of sections. The negative Ce anomalies of bulk rocks are most probably derived from organic matter input. Gradual increase of Ce/Ce* values indicates increasing oxygen content of upper seawater, and weakening of euxinic environment of bottom seawater may result in rising of oxygen content of upper seawater.
Organic matter from Early Cambrian black rock series in western Hunan was derived from organisms in the euphotic zone. For not interfered by the detrital component, REE geochemistry of organic matter can demonstrate paleoenvironmental characteristics of the upper seawater. As the main part of organic matter, kerogen is fully consistent with the modern seawater—like REE pattern which shows a progressive enrichment towards the heavier REE, depletion of Ce, positive anomalies of Y and no obvious anomalies of Eu. The characteristics of kerogen may trace paleoredox condition of upper seawater. The euxinic environment may have arised in the lower part of sections in the Yangtze area, and the depositional condition may have shifted to gradual oxidization in the upper part of sections. The negative Ce anomalies of bulk rocks are most probably derived from organic matter input. Gradual increase of Ce/Ce* values indicates increasing oxygen content of upper seawater, and weakening of euxinic environment of bottom seawater may result in rising of oxygen content of upper seawater.
2014, 39(3): 293-302.
doi: 10.3799/dqkx.2014.028
Abstract:
As one well-explored region of Luzong Mesozoic volcanic basin, the groundwater revealed in Luohe iron deposit can be divided into two types, namely, unconfined and confined groundwater. The unconfined groundwater is alkalescent HCO3--Ca+·Mg2+ water, while the confined groundwater is the SO42--Ca2+ brackish warm water due to the fact that their hydrochemical compositions are almost not affected by external changes because of the water blocking properties of regional structure and volcanic tuff. Ion proportionality coefficients and correlation analyses illustrate that major hydrochemical reactions in confined groundwater are sulfate mineral solution and cation exchange. PHREEQC inverse simulation shows that the cause of SO42--Ca2+ confined groundwater is the numerous anhydrite, quartz and hydromica solution in site, at the same time, some calcite and chlorite precipitate as the secondary minerals. Meanwhile, Ca2+that was dissolved from anhydrite absorbs and exchanges with Na+ in clay mineral, and few pyrites have redox reaction. The analysis verifies the hydrogeological condition of relative closed, limited recharge and static reserves of deep groundwater in Luohe iron deposit.
As one well-explored region of Luzong Mesozoic volcanic basin, the groundwater revealed in Luohe iron deposit can be divided into two types, namely, unconfined and confined groundwater. The unconfined groundwater is alkalescent HCO3--Ca+·Mg2+ water, while the confined groundwater is the SO42--Ca2+ brackish warm water due to the fact that their hydrochemical compositions are almost not affected by external changes because of the water blocking properties of regional structure and volcanic tuff. Ion proportionality coefficients and correlation analyses illustrate that major hydrochemical reactions in confined groundwater are sulfate mineral solution and cation exchange. PHREEQC inverse simulation shows that the cause of SO42--Ca2+ confined groundwater is the numerous anhydrite, quartz and hydromica solution in site, at the same time, some calcite and chlorite precipitate as the secondary minerals. Meanwhile, Ca2+that was dissolved from anhydrite absorbs and exchanges with Na+ in clay mineral, and few pyrites have redox reaction. The analysis verifies the hydrogeological condition of relative closed, limited recharge and static reserves of deep groundwater in Luohe iron deposit.
2014, 39(3): 303-311.
doi: 10.3799/dqkx.2014.029
Abstract:
It is urgent for us to undertake deep prospecting in Xiaoqinling quartz vein type gold ore field, an important gold enrichment area in China where many famous mines are becoming crisis mines gradually. Trend surface analysis of ore veins can intuitively reflect regional and local trends of geological variables, which can be used for studying ore-controlling structure features and guiding deep prospecting. By the trend surface analysis on ore body thickness, Au and Pb grades of three typical ore veins, this paper presents the following mineralization enrichment rules and fault ore-controlling features found in the study. The main ore veins strike EW and are pitched to southwest. Ore-controlling fault thrusts from SW to NE obliquely with leftward contortion. Multistage mineralization is featured with three stages in which veins formed primarily in the first stage, Au mineralized strongly in the second stage and Au-Pb mineralization superposed in the third stage. Controlled jointly by orebody plunging direction and fault wavelike occurrence, the intersectional parts of two structure lines distributed proximal parallel and equidistantly are advantageous mineralization enrichment areas, which are the promising for future deep prospecting in these ore veins.
It is urgent for us to undertake deep prospecting in Xiaoqinling quartz vein type gold ore field, an important gold enrichment area in China where many famous mines are becoming crisis mines gradually. Trend surface analysis of ore veins can intuitively reflect regional and local trends of geological variables, which can be used for studying ore-controlling structure features and guiding deep prospecting. By the trend surface analysis on ore body thickness, Au and Pb grades of three typical ore veins, this paper presents the following mineralization enrichment rules and fault ore-controlling features found in the study. The main ore veins strike EW and are pitched to southwest. Ore-controlling fault thrusts from SW to NE obliquely with leftward contortion. Multistage mineralization is featured with three stages in which veins formed primarily in the first stage, Au mineralized strongly in the second stage and Au-Pb mineralization superposed in the third stage. Controlled jointly by orebody plunging direction and fault wavelike occurrence, the intersectional parts of two structure lines distributed proximal parallel and equidistantly are advantageous mineralization enrichment areas, which are the promising for future deep prospecting in these ore veins.
2014, 39(3): 312-324.
doi: 10.3799/dqkx.2014.030
Abstract:
The composition of hot fluids that exit at vent fields reflects a number of factors including the initial seawater composition, the composition and structure of host rock, and the characteristics (depth, size, and shape) of heat source. Meanwhile, the addition of magmatic volatiles in various tectonic environments may affect fluid compositions. Two main types of hydrothermal deposits, including metal sulfide chimneys formed by high temperature fluid and the metalliferous sediments derived from hydrothermal plumes, diffuse flows and the mass wasting of preformed metal sulfides, may form when the vent flow rises from seafloor. The formation of sulfide chimneys is dominated by the mixing ratios of seawaters and hydrothermal fluids, and generally features with a typical two-stage-model. During stage 1, vent fluid mixes turbulently with seawater, resulting in precipitation of a ring of anhydrite. While in stage 2, the copper-iron, and iron sulfides begin to precipitate and plate the inner chimney wall. This model can also be observed on a larger scale, such as in TAG hydrothermal mounds. The biological processes are believed to play a key role in the hydrothermal mineralization including the formation and alteration of chimneys and diffusion of plumes. Nowadays, much attention is concentrated on the exploration and mineralization of Lost City field and ultraslow-spreading ridges. The researches of the first two issues may deepen the understandings of the early earth and life evolution, and the researches of the last one may enrich the mineralization theory and facilitate investigations of larger scale sulfide deposits.
The composition of hot fluids that exit at vent fields reflects a number of factors including the initial seawater composition, the composition and structure of host rock, and the characteristics (depth, size, and shape) of heat source. Meanwhile, the addition of magmatic volatiles in various tectonic environments may affect fluid compositions. Two main types of hydrothermal deposits, including metal sulfide chimneys formed by high temperature fluid and the metalliferous sediments derived from hydrothermal plumes, diffuse flows and the mass wasting of preformed metal sulfides, may form when the vent flow rises from seafloor. The formation of sulfide chimneys is dominated by the mixing ratios of seawaters and hydrothermal fluids, and generally features with a typical two-stage-model. During stage 1, vent fluid mixes turbulently with seawater, resulting in precipitation of a ring of anhydrite. While in stage 2, the copper-iron, and iron sulfides begin to precipitate and plate the inner chimney wall. This model can also be observed on a larger scale, such as in TAG hydrothermal mounds. The biological processes are believed to play a key role in the hydrothermal mineralization including the formation and alteration of chimneys and diffusion of plumes. Nowadays, much attention is concentrated on the exploration and mineralization of Lost City field and ultraslow-spreading ridges. The researches of the first two issues may deepen the understandings of the early earth and life evolution, and the researches of the last one may enrich the mineralization theory and facilitate investigations of larger scale sulfide deposits.
2014, 39(3): 325-340.
doi: 10.3799/dqkx.2014.031
Abstract:
Longquanzhan gold deposit, an important part of gold mineralization belt of Yi-Shu fault zone, is the only altered tectonite-type gold deposit discovered in the area at present. The ore bodies mainly occur at the fracture zone and the footwall metamorphic rocks. Rb-Sr isotopic dating of 10 pyrites separated from the Longquanzhan gold deposit yields an isochron age of 96±2 Ma (MSWD=1.2), which is in good agreement with the late Early Cretaceous to early Late Cretaceous magmatism (106-96 Ma) in adjacent area of Yi-Shu fault zone. Meanwhile, combining with the precise ages of gold deposits in Shandong Province and mineral exploration data, we suggest that late Early Cretaceous gold mineralization may occur in the southeastern margin of North China Craton, and its tectonic setting is related to an extensional setting which resulted in a large-scale asthenosphere upwelling, accompanying decompression and isotherm upwelling, material exchange and mixing between mantle and crust, and finally providing a great amount of ore-forming fluids and materials for gold mineralization. According to the precise age of Longquanzhan gold deposit reported, this discovery is of great significance both in gold deposit origin contrast of both sides and future mineral exploration.
Longquanzhan gold deposit, an important part of gold mineralization belt of Yi-Shu fault zone, is the only altered tectonite-type gold deposit discovered in the area at present. The ore bodies mainly occur at the fracture zone and the footwall metamorphic rocks. Rb-Sr isotopic dating of 10 pyrites separated from the Longquanzhan gold deposit yields an isochron age of 96±2 Ma (MSWD=1.2), which is in good agreement with the late Early Cretaceous to early Late Cretaceous magmatism (106-96 Ma) in adjacent area of Yi-Shu fault zone. Meanwhile, combining with the precise ages of gold deposits in Shandong Province and mineral exploration data, we suggest that late Early Cretaceous gold mineralization may occur in the southeastern margin of North China Craton, and its tectonic setting is related to an extensional setting which resulted in a large-scale asthenosphere upwelling, accompanying decompression and isotherm upwelling, material exchange and mixing between mantle and crust, and finally providing a great amount of ore-forming fluids and materials for gold mineralization. According to the precise age of Longquanzhan gold deposit reported, this discovery is of great significance both in gold deposit origin contrast of both sides and future mineral exploration.
2014, 39(3): 341-349.
doi: 10.3799/dqkx.2014.032
Abstract:
The pressure characteristics of Mesozoic oil reservoirs in Ordos Basin was studied for the first time. It is found that the Mesozoic oil reservoirs are mainly ultra-underpressured ones and the abnormal underpressure difference in oil reservoirs among different regions and different layers is distinct. The results show that oil reservoir pressure coefficients exhibit a decreasing trend with the increase of eroded strata thickness and temperature drop value of oil reservoirs after, and the reservoir porewater volume contraction amounts to 0.82%-1.94% as a result of temperature drop after uplift of Yanchang Formation oil reservoirs, which indicates that the function of strata erosion and paleotemperature decrease due to long time and strong uplift of the basin at the end of the Cretaceous result in the formation of underpressured oil reservoirs. The underpressured closed system of Mesozoic in the Ordos Basin is believed to be advantageous for oil reservoir preservation and may have played an important role in oil reservoir adjustment, re-enrichment of hydrocarbon by migration and oil and water distribution in oil reservoirs. It is concluded that Chang-6 underpressured reservoir enriched from the southeast to the northwest in the North Shaanxi area and presence of Chang-7 lenticular sandstone body reservoirs with absence of water are closely related to the distribution of such underpressured closed systems.
The pressure characteristics of Mesozoic oil reservoirs in Ordos Basin was studied for the first time. It is found that the Mesozoic oil reservoirs are mainly ultra-underpressured ones and the abnormal underpressure difference in oil reservoirs among different regions and different layers is distinct. The results show that oil reservoir pressure coefficients exhibit a decreasing trend with the increase of eroded strata thickness and temperature drop value of oil reservoirs after, and the reservoir porewater volume contraction amounts to 0.82%-1.94% as a result of temperature drop after uplift of Yanchang Formation oil reservoirs, which indicates that the function of strata erosion and paleotemperature decrease due to long time and strong uplift of the basin at the end of the Cretaceous result in the formation of underpressured oil reservoirs. The underpressured closed system of Mesozoic in the Ordos Basin is believed to be advantageous for oil reservoir preservation and may have played an important role in oil reservoir adjustment, re-enrichment of hydrocarbon by migration and oil and water distribution in oil reservoirs. It is concluded that Chang-6 underpressured reservoir enriched from the southeast to the northwest in the North Shaanxi area and presence of Chang-7 lenticular sandstone body reservoirs with absence of water are closely related to the distribution of such underpressured closed systems.
2014, 39(3): 350-356.
doi: 10.3799/dqkx.2014.033
Abstract:
Static acid production potential (APP) evaluation is useful to acid mine drainage control, but traditional APP evaluation methods can not accurately evaluate complex rock samples. In this study, key indexes of APP evaluation are found and a new APP evaluation method is established for complex rock samples through evaluating APP of twelve typical rock samples in Permo-Carboniferous coal-bearing measures from Xishan coalfield in Shanxi Province. It is demonstrated that net acid production potential (NAPP), the ratio of acid neutralization capacity (ANC) to maximal potential of acidity (MPA) are the most important indexes of APP evaluation. The complex rock samples with little NAPP absolute value (< 50 kg·t-1) can be accurately evaluated using the above two key indexes. Mineralogical information can reflect long term APP of complex rock samples. App evaluation precision of complex rock samples is improved through analyzing the ratio of total content of carbonate minerals to pyrite content. It is shown that Paste pH can only reflect natural acidity-alkalinity of rock samples. Therefore, Paste pH can not be used as a key index for APP evaluation. The accuracy of static acid production potential evaluation methods is further validated through comparing typical mine drainage characteristics in Xishan coalfield.
Static acid production potential (APP) evaluation is useful to acid mine drainage control, but traditional APP evaluation methods can not accurately evaluate complex rock samples. In this study, key indexes of APP evaluation are found and a new APP evaluation method is established for complex rock samples through evaluating APP of twelve typical rock samples in Permo-Carboniferous coal-bearing measures from Xishan coalfield in Shanxi Province. It is demonstrated that net acid production potential (NAPP), the ratio of acid neutralization capacity (ANC) to maximal potential of acidity (MPA) are the most important indexes of APP evaluation. The complex rock samples with little NAPP absolute value (< 50 kg·t-1) can be accurately evaluated using the above two key indexes. Mineralogical information can reflect long term APP of complex rock samples. App evaluation precision of complex rock samples is improved through analyzing the ratio of total content of carbonate minerals to pyrite content. It is shown that Paste pH can only reflect natural acidity-alkalinity of rock samples. Therefore, Paste pH can not be used as a key index for APP evaluation. The accuracy of static acid production potential evaluation methods is further validated through comparing typical mine drainage characteristics in Xishan coalfield.
2014, 39(3): 357-367.
doi: 10.3799/dqkx.2014.034
Abstract:
With the use of optical microscope-based cathodoluminescence (OM-CL), many kinds of growth textures of minerals can be observed, which are either indiscernable or to be omitted easily with other routine analytical methods. OM-CL is an effective pre-research technique prior to other follow-up component analysis, which can provide important information for reconstructing formation and evolution processes of minerals. This technique has wide-spread applications in international petromineralogy, oil and gas reservoir and mineral deposits, but is relatively weak in metamorphic rocks. The applications of OM-CL in the UHP (ultra high power) metamorphic rocks are reviewed in this paper, as well as preliminary studies by OM-CL on ultrahigh-pressure eclogites, micaschist and marble at classical areas in the Dabie-Sulu UHP metamorphic belt. And its application and prospect in the fast identification of multi-phase tiny mineral facies and internal structural characterization, including growth zoning, distribution of trace elements, twinning and exsolution texture are discussed. A new perspective for our research on ultrahigh-pressure metamorphic rocks can be developed when combining OM-CL with mineral chemistry analysis techniques such as Roman spectrum, scanning electron microscope (SEM) and electron probe micro-analyzer (EPMA).
With the use of optical microscope-based cathodoluminescence (OM-CL), many kinds of growth textures of minerals can be observed, which are either indiscernable or to be omitted easily with other routine analytical methods. OM-CL is an effective pre-research technique prior to other follow-up component analysis, which can provide important information for reconstructing formation and evolution processes of minerals. This technique has wide-spread applications in international petromineralogy, oil and gas reservoir and mineral deposits, but is relatively weak in metamorphic rocks. The applications of OM-CL in the UHP (ultra high power) metamorphic rocks are reviewed in this paper, as well as preliminary studies by OM-CL on ultrahigh-pressure eclogites, micaschist and marble at classical areas in the Dabie-Sulu UHP metamorphic belt. And its application and prospect in the fast identification of multi-phase tiny mineral facies and internal structural characterization, including growth zoning, distribution of trace elements, twinning and exsolution texture are discussed. A new perspective for our research on ultrahigh-pressure metamorphic rocks can be developed when combining OM-CL with mineral chemistry analysis techniques such as Roman spectrum, scanning electron microscope (SEM) and electron probe micro-analyzer (EPMA).
2014, 39(3): 368-374.
doi: 10.3799/dqkx.2014.035
Abstract:
To address the inefficiency of exsiting prediction models of monthly precipitation time series due to large amount of noises and obvious characteristics of chaos, a coupling model is proposed in this study, which takes full advantages of wavelet analysis and VOLTERRA adaptive model. The monthly precipitation time series is firstly mapped into several time-frequency domains, and then a third-order VOLTERRA adaptive model is established for each domain based on the phase-space reconstruction. The final forecasting results are the algebraic sums of all the forecasted components obtained by respective VOLTERRA adaptive model corresponding to different time-frequency domains. An experiment has been conducted by applying different models to estimate the monthly precipitation time series in Hangzhou and Nantong, and the comparison of the data obtained by the conventional model with the results obtained using wavelet analysis and support vector machine (WA-SVM) coupling prediction model confirms that this new WA-VOLTERRA coupling method can achieve higher accuracy. The new model offers a new approach for monthly precipitation forecasting.
To address the inefficiency of exsiting prediction models of monthly precipitation time series due to large amount of noises and obvious characteristics of chaos, a coupling model is proposed in this study, which takes full advantages of wavelet analysis and VOLTERRA adaptive model. The monthly precipitation time series is firstly mapped into several time-frequency domains, and then a third-order VOLTERRA adaptive model is established for each domain based on the phase-space reconstruction. The final forecasting results are the algebraic sums of all the forecasted components obtained by respective VOLTERRA adaptive model corresponding to different time-frequency domains. An experiment has been conducted by applying different models to estimate the monthly precipitation time series in Hangzhou and Nantong, and the comparison of the data obtained by the conventional model with the results obtained using wavelet analysis and support vector machine (WA-SVM) coupling prediction model confirms that this new WA-VOLTERRA coupling method can achieve higher accuracy. The new model offers a new approach for monthly precipitation forecasting.









PDF 1708KB