2023 Vol. 48, No. 10
                Display Method:
    			
	    		
	    		
	    		
	    		
  				
   			
    	
		            2023, 48(10): 3577-3596. 
	            	doi: 10.3799/dqkx.2021.175 
   					
				
					Abstract: 
The petrogenesis of Late Mesozoic granites in Nanling Mountains region remains controversial. In this paper, it conducts the comprehensive study of petrology, zircon U-Pb chronology, whole-rock element and Sr-Nd-Hf isotopic geochemistry for the Hedong highly fractionated I-type granite in the Lianshan, Guangdong Province. LA-ICP-MS U-Pb zircon analysis yields 206Pb/238U weighted mean ages of 159.7±1.4 Ma and 160.3±1.7 Ma for the medium-fine-grained biotite syenite granite and medium-grained biotite monzonitic granite respectively, indicating that the pluton was formed in the Late Jurassic. Chemical analyses show that the granite has higher SiO2 (70.02%-75.56%) and total alkali (7.74%-8.59%), lower TFeO, MgO, CaO, TiO2, P2O5, A/CNK values is ranging from 0.96 to 1.28. The granite is also characterized by higher Rb/Sr ratio (2.6-17.8) and pronounced negative Eu anomalies (δEu ranging from 0.06 to 0.52). The Ga/Al ratio of most granite samples are lower than 2.6, and the Zr+Nb+Ce+Y values are ranging from 118×10-6 to 313×10-6, which are lower than the respective values of A-type granites. The granite is also characterized by low zircon saturation temperatures (703-801 ℃). The P2O5 contents are negatively correlated with SiO2 while element Y and Th are positively correlated with Rb. Above geochemical data suggest that the rocks from the Hedong pluton are highly fractional I-type granites. They have relatively low ISr values (0.707 00-0.711 39), high εNd(t) values(-7.1 to -2.6)and the εHf(t) values range from -8.4 to +2.2.Their two stage Nd and Hf model ages are 1.30-1.67 Ga and 1.04-1.71 Ga, respectively. Combining with field observation, it suggests that the Hedong pluton was formed by the mixing of crust-derived magmas and mantle-derived magmas. Under the extension environment triggered by subduction of paleo-Pacific plate, the Hedong pluton might form by the underplate of mantle-derived magmas across the Chenzhou-Linwu trans-crustal fault.
		       
		        
		        
		        
			  
			The petrogenesis of Late Mesozoic granites in Nanling Mountains region remains controversial. In this paper, it conducts the comprehensive study of petrology, zircon U-Pb chronology, whole-rock element and Sr-Nd-Hf isotopic geochemistry for the Hedong highly fractionated I-type granite in the Lianshan, Guangdong Province. LA-ICP-MS U-Pb zircon analysis yields 206Pb/238U weighted mean ages of 159.7±1.4 Ma and 160.3±1.7 Ma for the medium-fine-grained biotite syenite granite and medium-grained biotite monzonitic granite respectively, indicating that the pluton was formed in the Late Jurassic. Chemical analyses show that the granite has higher SiO2 (70.02%-75.56%) and total alkali (7.74%-8.59%), lower TFeO, MgO, CaO, TiO2, P2O5, A/CNK values is ranging from 0.96 to 1.28. The granite is also characterized by higher Rb/Sr ratio (2.6-17.8) and pronounced negative Eu anomalies (δEu ranging from 0.06 to 0.52). The Ga/Al ratio of most granite samples are lower than 2.6, and the Zr+Nb+Ce+Y values are ranging from 118×10-6 to 313×10-6, which are lower than the respective values of A-type granites. The granite is also characterized by low zircon saturation temperatures (703-801 ℃). The P2O5 contents are negatively correlated with SiO2 while element Y and Th are positively correlated with Rb. Above geochemical data suggest that the rocks from the Hedong pluton are highly fractional I-type granites. They have relatively low ISr values (0.707 00-0.711 39), high εNd(t) values(-7.1 to -2.6)and the εHf(t) values range from -8.4 to +2.2.Their two stage Nd and Hf model ages are 1.30-1.67 Ga and 1.04-1.71 Ga, respectively. Combining with field observation, it suggests that the Hedong pluton was formed by the mixing of crust-derived magmas and mantle-derived magmas. Under the extension environment triggered by subduction of paleo-Pacific plate, the Hedong pluton might form by the underplate of mantle-derived magmas across the Chenzhou-Linwu trans-crustal fault.
		            2023, 48(10): 3597-3612. 
	            	doi: 10.3799/dqkx.2021.215 
   					
				
					Abstract: 
The Akebulake pluton in the southern margin of the Altay orogenic belt is composed of tonalite, dioritic microgranular enclaves and mafic dikes. The pluton exhibits excellent evidence for magma mixing and mingling, such as the feldspathic phenocryst, long prisms of apatite in enclaves and quartz, plagioclase wrapped in biotite in the host rock. Host rocks, dioritic microgranular enclaves and mafic dikes of the Akebulake pluton are products of mixing with different end element ratios in the process of magma mixing evolution. LA-ICP-MS zircon U-Pb dating from three samples yielded weighted mean 206Pb/238U ages of 396.3±3.3 Ma, 392.2±3.7 Ma and 402.3±3.3 Ma, respectively. It indicates that they were formed in the same magmatic event, which provides important chronological evidence for the genesis of magma mixing of Akebulake pluton. Geochemically, the major oxide content of the mafic dikes, dioritic enclaves and their host rocks all have a good linear relationship in the plot, and the patterns of REE, spidergrams of trace elements of the dioritic enclaves and mafic dikes are similar to those of the host granites, suggesting that component exchange and homogenization occurred between the enclaves and the host rocks in the process of rock formation. Hf isotopic composition of zircon is not uniform. The host rocks, enclaves and mafic dikes εHf(t) vary from 1.22 to 4.70, -3.49 to 7.41 and 3.65 to 9.02, respectively. The Hf isotopic model ages (tDM2) range from 962 to 1 131 Ma, 816 to 1 375 Ma and 740 to 1 015 Ma, respectively. Based on a comprehensive analysis with the data of southern margin of Altay, the authors hold that the dioritic enclaves in the Akebulake pluton were generated by mixing of mantle-derived mafic magma and its induced crustal felsic magma in an island-arc setting of active continental margin. The formation of magma mixing of the Akebulake pluton further confirms that strong crust-mantle magmatic mixing occurred in the deep crust of the southern margin of the Altay orogenic belt during the Early Devonian, which resulted in an important event of lateral continental crust growth at the syn-accretionary stage in Altay.
		       
		        
		        
		        
			  
			The Akebulake pluton in the southern margin of the Altay orogenic belt is composed of tonalite, dioritic microgranular enclaves and mafic dikes. The pluton exhibits excellent evidence for magma mixing and mingling, such as the feldspathic phenocryst, long prisms of apatite in enclaves and quartz, plagioclase wrapped in biotite in the host rock. Host rocks, dioritic microgranular enclaves and mafic dikes of the Akebulake pluton are products of mixing with different end element ratios in the process of magma mixing evolution. LA-ICP-MS zircon U-Pb dating from three samples yielded weighted mean 206Pb/238U ages of 396.3±3.3 Ma, 392.2±3.7 Ma and 402.3±3.3 Ma, respectively. It indicates that they were formed in the same magmatic event, which provides important chronological evidence for the genesis of magma mixing of Akebulake pluton. Geochemically, the major oxide content of the mafic dikes, dioritic enclaves and their host rocks all have a good linear relationship in the plot, and the patterns of REE, spidergrams of trace elements of the dioritic enclaves and mafic dikes are similar to those of the host granites, suggesting that component exchange and homogenization occurred between the enclaves and the host rocks in the process of rock formation. Hf isotopic composition of zircon is not uniform. The host rocks, enclaves and mafic dikes εHf(t) vary from 1.22 to 4.70, -3.49 to 7.41 and 3.65 to 9.02, respectively. The Hf isotopic model ages (tDM2) range from 962 to 1 131 Ma, 816 to 1 375 Ma and 740 to 1 015 Ma, respectively. Based on a comprehensive analysis with the data of southern margin of Altay, the authors hold that the dioritic enclaves in the Akebulake pluton were generated by mixing of mantle-derived mafic magma and its induced crustal felsic magma in an island-arc setting of active continental margin. The formation of magma mixing of the Akebulake pluton further confirms that strong crust-mantle magmatic mixing occurred in the deep crust of the southern margin of the Altay orogenic belt during the Early Devonian, which resulted in an important event of lateral continental crust growth at the syn-accretionary stage in Altay.
		            2023, 48(10): 3613-3630. 
	            	doi: 10.3799/dqkx.2021.198 
   					
				
					Abstract: 
Petrography, whole rock geochemistry, and in-situ U-Pb dating of the detrital zircons from the sandstones of the uranium-bearing target formation in the Xinniwusu sag of the Bayingobi basin were used to limit the sedimentary age and provenance of Lower Cretaceous of Bayingobi Formation, and constrain the relationship between the Early Cretaceous basins and mountains and the source of uranium minerals. Photomicrographs show that the formation has the characteristics of proximal deposition. The characteristics of K, Rb, La, Th, Zr, Sc, Hf, REE and their ratios indicate that the source rocks are mainly intermediate-acid rocks from different tectonic backgrounds. The peak ages of detrital zircons are mainly 430 Ma, 250 Ma and 270 Ma, and the youngest is 125±1 Ma. Combined with the K-Ar age of the basalt in the overlying Cretaceous Suhongtu Formation, the sedimentation age of the upper member of Bayingobi Formation in the study area was limited to (125±1)-(111.3±2.1) Ma. The lower part of the upper member of the Bayingobi Formation in the northern part of the Xinniwusu sag are mainly derived from Shandamiao and Wubulage areas in the northeastern Langshan. In the middle part, the provenance mainly comes from Wuliji, Shangdan and Tukmu uplift of the Shalazhashan structural belt. The provenance of the upper member of Bayingobi Formation in the southern part of the Xinniwusu sag mainly comes from the Nuru-Honggueryulin structural belt in the south and the Shalazhashan uplift in the north. The provenance area changed obviously in the middle part of the Upper Bayingobi Formation indicates that differential uplift and decline occurred in the Bayingobi basin during the late Early Cretaceous. The northeastern part to the study area was relatively declined, while the southwestern part was relatively uplifted, which changed the principal direction of sediment source from the northeast in the early to the west and east.
		       
		        
		        
		        
			  
			Petrography, whole rock geochemistry, and in-situ U-Pb dating of the detrital zircons from the sandstones of the uranium-bearing target formation in the Xinniwusu sag of the Bayingobi basin were used to limit the sedimentary age and provenance of Lower Cretaceous of Bayingobi Formation, and constrain the relationship between the Early Cretaceous basins and mountains and the source of uranium minerals. Photomicrographs show that the formation has the characteristics of proximal deposition. The characteristics of K, Rb, La, Th, Zr, Sc, Hf, REE and their ratios indicate that the source rocks are mainly intermediate-acid rocks from different tectonic backgrounds. The peak ages of detrital zircons are mainly 430 Ma, 250 Ma and 270 Ma, and the youngest is 125±1 Ma. Combined with the K-Ar age of the basalt in the overlying Cretaceous Suhongtu Formation, the sedimentation age of the upper member of Bayingobi Formation in the study area was limited to (125±1)-(111.3±2.1) Ma. The lower part of the upper member of the Bayingobi Formation in the northern part of the Xinniwusu sag are mainly derived from Shandamiao and Wubulage areas in the northeastern Langshan. In the middle part, the provenance mainly comes from Wuliji, Shangdan and Tukmu uplift of the Shalazhashan structural belt. The provenance of the upper member of Bayingobi Formation in the southern part of the Xinniwusu sag mainly comes from the Nuru-Honggueryulin structural belt in the south and the Shalazhashan uplift in the north. The provenance area changed obviously in the middle part of the Upper Bayingobi Formation indicates that differential uplift and decline occurred in the Bayingobi basin during the late Early Cretaceous. The northeastern part to the study area was relatively declined, while the southwestern part was relatively uplifted, which changed the principal direction of sediment source from the northeast in the early to the west and east.
		            2023, 48(10): 3631-3648. 
	            	doi: 10.3799/dqkx.2021.183 
   					
				
					Abstract: 
The zircon LA-ICP-MS U-Pb age of the granite from the Jiazishan Mo (Ag) deposit in Inner Mongolia is 149.19±0.47 Ma, which is the product of Late Jurassic magmatism. The granite is characterized by high silicon (78.59%-80.58%), rich alkali (5.82%-6.34%), low P2O5 (0.002%-0.018%) and high Aluminium saturation index A/CNK (1.33-1.60), belongs to the high-K calc-alkaline series. The granite is enriched in trace elements Rb, K, La, Th, U, Hf, Pb, and depleted in trace elements Ba, Sr, Nb, Ta, Ti, P. The REE pattern shows a right-leaning enrichment type of LREE, with obvious negative Eu anomaly(0.25-0.49). The high differentiation index (DI) (91.87-94.30) and low solidification index (SI) (1.20-2.02) indicate that the rock has undergone the evolution of high differentiation and is a type of high differentiation I granite. The 176Hf/177Hf value is 0.282 96-0.282 96, the εHf(t) value is 7.82-9.86, and the two stage mode age (TDM2) is 744-929 Ma, suggesting that the granitic magma was formed by re-melting after the Neoproterozoic lower crust, which was formed by partial melting of depleted mantle material. The granite magma of Jiazishan and the Late Jurassic granite magma in the Da Hinggan Mountains were basically contemporaneous emplacement. The granite of Jiazishan may be related to the transformation of the tectonic environment from compression to post-collision extension after the closure of the Mongolia-Okhotsk Ocean, and superimposed influence by the subduction of the paleo-Pacific plate, which caused tectonic back-arc extension.
		       
		        
		        
		        
			  
			The zircon LA-ICP-MS U-Pb age of the granite from the Jiazishan Mo (Ag) deposit in Inner Mongolia is 149.19±0.47 Ma, which is the product of Late Jurassic magmatism. The granite is characterized by high silicon (78.59%-80.58%), rich alkali (5.82%-6.34%), low P2O5 (0.002%-0.018%) and high Aluminium saturation index A/CNK (1.33-1.60), belongs to the high-K calc-alkaline series. The granite is enriched in trace elements Rb, K, La, Th, U, Hf, Pb, and depleted in trace elements Ba, Sr, Nb, Ta, Ti, P. The REE pattern shows a right-leaning enrichment type of LREE, with obvious negative Eu anomaly(0.25-0.49). The high differentiation index (DI) (91.87-94.30) and low solidification index (SI) (1.20-2.02) indicate that the rock has undergone the evolution of high differentiation and is a type of high differentiation I granite. The 176Hf/177Hf value is 0.282 96-0.282 96, the εHf(t) value is 7.82-9.86, and the two stage mode age (TDM2) is 744-929 Ma, suggesting that the granitic magma was formed by re-melting after the Neoproterozoic lower crust, which was formed by partial melting of depleted mantle material. The granite magma of Jiazishan and the Late Jurassic granite magma in the Da Hinggan Mountains were basically contemporaneous emplacement. The granite of Jiazishan may be related to the transformation of the tectonic environment from compression to post-collision extension after the closure of the Mongolia-Okhotsk Ocean, and superimposed influence by the subduction of the paleo-Pacific plate, which caused tectonic back-arc extension.
		            2023, 48(10): 3649-3670. 
	            	doi: 10.3799/dqkx.2022.410 
   					
				
					Abstract: 
There are many controversies about the Early Paleozoic tectono-sedimentary evolution of the South China plate. The NW Zhejiang is located in the Yangtze block adjacent to the Jiangshan-Shaoxing fault zone, where sedimentary facies transformation of carbonate to clastic rocks occurred in SE Yangtze block during the Late Ordovician. The temporal and spatial distribution of sedimentary facies and provenance analysis can provide evidence for the reconstruction of paleogeography of the SE Yangtze block. Based on detailed analyses of sedimentary facies, sandstone clastic composition, heavy mineral assemblage, geochemistry and detrital zircon U-Pb chronology, in this paper it comprehensively analyzes the provenance of the Upper Ordovician in NW Zhejiang, providing evidence for the reconstruction of paleogeography and tectonic evolution of SE Yangtze block. The Late Ordovician strata in NW Zhejiang are mainly composed of conglomerate, nodular limestone, sandstone, siltstone and mudstone. Sedimentary sequence and facies symbol indicate that the study area was deposited in a deep-sea sloped-shallow sea environment, and the sedimentary basement was inclined to NW. The clastic rocks were mainly composed of lithic sandstones and feldspar lithic sandstones with low compositional and structural maturity and were mainly composed of quartz (29%), feldspar (18%) and lithic (53%). Sandstone clasts and gravel are mainly composed of andesite, rhyolite, tuff, granite, slate, phyllite, quartzite, siltstone and chert, indicating a mixed source. The presence of pyroxene, chromite, magnetite and garnet grains indicates that the source rocks contain mafic and metamorphic rocks. The geochemical analysis shows that the sandstones and siltstones were deposited in active continental margin environment, and the provenance is intermediate acid island arc. The detrital zircon U-Pb ages show a mixed source of ca. 812 Ma and ca. 460 Ma, and the Early Paleozoic provenance can be matched with the Chencai Group. The paleocurrent indicates an SE origin, the provenance comes primarily from the island arc, and the SE Yangtze block was deposited in an active continental margin.
		       
		        
		        
		        
			  
			There are many controversies about the Early Paleozoic tectono-sedimentary evolution of the South China plate. The NW Zhejiang is located in the Yangtze block adjacent to the Jiangshan-Shaoxing fault zone, where sedimentary facies transformation of carbonate to clastic rocks occurred in SE Yangtze block during the Late Ordovician. The temporal and spatial distribution of sedimentary facies and provenance analysis can provide evidence for the reconstruction of paleogeography of the SE Yangtze block. Based on detailed analyses of sedimentary facies, sandstone clastic composition, heavy mineral assemblage, geochemistry and detrital zircon U-Pb chronology, in this paper it comprehensively analyzes the provenance of the Upper Ordovician in NW Zhejiang, providing evidence for the reconstruction of paleogeography and tectonic evolution of SE Yangtze block. The Late Ordovician strata in NW Zhejiang are mainly composed of conglomerate, nodular limestone, sandstone, siltstone and mudstone. Sedimentary sequence and facies symbol indicate that the study area was deposited in a deep-sea sloped-shallow sea environment, and the sedimentary basement was inclined to NW. The clastic rocks were mainly composed of lithic sandstones and feldspar lithic sandstones with low compositional and structural maturity and were mainly composed of quartz (29%), feldspar (18%) and lithic (53%). Sandstone clasts and gravel are mainly composed of andesite, rhyolite, tuff, granite, slate, phyllite, quartzite, siltstone and chert, indicating a mixed source. The presence of pyroxene, chromite, magnetite and garnet grains indicates that the source rocks contain mafic and metamorphic rocks. The geochemical analysis shows that the sandstones and siltstones were deposited in active continental margin environment, and the provenance is intermediate acid island arc. The detrital zircon U-Pb ages show a mixed source of ca. 812 Ma and ca. 460 Ma, and the Early Paleozoic provenance can be matched with the Chencai Group. The paleocurrent indicates an SE origin, the provenance comes primarily from the island arc, and the SE Yangtze block was deposited in an active continental margin.
		            2023, 48(10): 3671-3688. 
	            	doi: 10.3799/dqkx.2021.168 
   					
				
					Abstract: 
The Hekanzi alkaline complex in Lingyuan, West Liaoning, is one important Early Mesozoic alkaline complex on the northern margin of the North China craton. In this paper, the Hekanzi alkaline complex was studied in detail by zircon U-Pb geochronology, major and trace elemental compositions and Sr-Nd-Hf isotopic compositions. The zircons from the granite porphyry and pyroxene syenite yielded U-Pb data of 227.7±1.5 Ma and 225.8±1.2 Ma, respectively. These results show that the rocks formed in the Late Triassic. Geochemical results show that the granite porphyries belong to perauminous rocks and shoshonite series. The pyroxene syenites belong to metaluminous rocks and high K shoshonite series. They both have similar right-leaning chondrite-normalized distribution curves and show obviously positive Eu anomalies. The Sr-Nd isotopic results show that εNd(t) values of the granite porphyries vary from -6.9 to -5.5, and εNd(t) values of the pyroxene syenites vary from -5.4 to -4.7. The zircon εHf(t) values of the granite porphyries range from -4.32 to -1.65. The zircon εHf(t) values of the pyroxene syenites are negative (εHf(t)=-1.01 to -0.01). These geochemical signatures, along with Sr-Nd-Hf isotopic compositions, reveal that the alkaline complex was derived from the partial melting of enriched lithospheric mantle which contained phlogopite, horblende and garnet. Combined with the previous research, it is suggested that the formation of the Hekanzi alkaline complex from Lingyuan, West Liaoning, is related to the closure of paleo-Asian Ocean, and the Early Mesozoic alkali-rich magmatism is the result of as the nospheric upwelling, following the thinning of mantle lithosphere.
		       
		        
		        
		        
			  
			The Hekanzi alkaline complex in Lingyuan, West Liaoning, is one important Early Mesozoic alkaline complex on the northern margin of the North China craton. In this paper, the Hekanzi alkaline complex was studied in detail by zircon U-Pb geochronology, major and trace elemental compositions and Sr-Nd-Hf isotopic compositions. The zircons from the granite porphyry and pyroxene syenite yielded U-Pb data of 227.7±1.5 Ma and 225.8±1.2 Ma, respectively. These results show that the rocks formed in the Late Triassic. Geochemical results show that the granite porphyries belong to perauminous rocks and shoshonite series. The pyroxene syenites belong to metaluminous rocks and high K shoshonite series. They both have similar right-leaning chondrite-normalized distribution curves and show obviously positive Eu anomalies. The Sr-Nd isotopic results show that εNd(t) values of the granite porphyries vary from -6.9 to -5.5, and εNd(t) values of the pyroxene syenites vary from -5.4 to -4.7. The zircon εHf(t) values of the granite porphyries range from -4.32 to -1.65. The zircon εHf(t) values of the pyroxene syenites are negative (εHf(t)=-1.01 to -0.01). These geochemical signatures, along with Sr-Nd-Hf isotopic compositions, reveal that the alkaline complex was derived from the partial melting of enriched lithospheric mantle which contained phlogopite, horblende and garnet. Combined with the previous research, it is suggested that the formation of the Hekanzi alkaline complex from Lingyuan, West Liaoning, is related to the closure of paleo-Asian Ocean, and the Early Mesozoic alkali-rich magmatism is the result of as the nospheric upwelling, following the thinning of mantle lithosphere.
		            2023, 48(10): 3689-3706. 
	            	doi: 10.3799/dqkx.2021.185 
   					
				
					Abstract: 
The West Liaoning Province is located in the eastern part of the Yanshan orogenic belt, with large-scale Mesozoic volcanic-sedimentary basins. It is critical to study the transformation of the Yanshan movement tectonic regime, lithosphere thinning and craton destruction during the Mesozoic. In this paper it conducts a comprehensive study of the Late Jurassic volcanic rocks exposed in the Sierbao-Baita basin in West Liaoning from the aspects of the perspectives of petrography, zircon U-Pb chronology, geochemistry and zircon Hf isotopic composition, so as to determine the age of their formation, petrogenesis and tectonic setting, discusses the time of the subduction and rollback of the Paleo-Pacific plate to the eastern North China craton during the Late Mesozoic, which provides a reliable geological basis for further understanding the geodynamic mechanism of the Yanshan movement and Yanshanian magmatism. The formation age of the rhyolite exposed in the basin is 153.8-160.3 Ma, spatially distributed in NE direction, with high SiO2, Al2O3 and total-alkali contents, showing the characteristics of metaluminous-peraluminous and high-K calc-alkaline. The samples are relatively enriched in large ion lithophile elements (LILEs: Rb, Ba, Pb, K) and light rare earth elements (LREEs), depleted in high field strength elements (HFSEs: Nb, Ta, P, Ti) and heavy rare earth elements (HREEs), with obvious Eu negative anomaly and low Cr, Co, Ni contents. Combined with the magmatic origin zircons exhibit negative εHf(t) value (-17.8 to -23.2) and old Hf isotopic two-stage model age (TDM2=2 334-2 697 Ma), all suggest that the primary magma may have originated from the partial melting of the Archaean or Proterozoic ancient lower crust. The Late Jurassic magmatism and tectonic movement in the West Liaoning Province were controlled by the subduction and rollback of the paleo-Pacific plate. The rhyolite in the Sierbao-Baita basin was formed in the NW direction compression tectonic setting caused by the subduction of the paleo-Pacific plate. At the same time, there are also a large number of metamorphic core complexes and extensional basins closely related to the rollback of the paleo-Pacific plate in the West Liaoning Province, suggesting the existence of an extensional regime in this region. Therefore, it hold that the tectonic regime of the Yanshan-West Liaoning area gradually changed from compression regime to extension regime in the Late Jurassic, which is a response to Yanshan movement.
		       
		        
		        
		        
			  
			The West Liaoning Province is located in the eastern part of the Yanshan orogenic belt, with large-scale Mesozoic volcanic-sedimentary basins. It is critical to study the transformation of the Yanshan movement tectonic regime, lithosphere thinning and craton destruction during the Mesozoic. In this paper it conducts a comprehensive study of the Late Jurassic volcanic rocks exposed in the Sierbao-Baita basin in West Liaoning from the aspects of the perspectives of petrography, zircon U-Pb chronology, geochemistry and zircon Hf isotopic composition, so as to determine the age of their formation, petrogenesis and tectonic setting, discusses the time of the subduction and rollback of the Paleo-Pacific plate to the eastern North China craton during the Late Mesozoic, which provides a reliable geological basis for further understanding the geodynamic mechanism of the Yanshan movement and Yanshanian magmatism. The formation age of the rhyolite exposed in the basin is 153.8-160.3 Ma, spatially distributed in NE direction, with high SiO2, Al2O3 and total-alkali contents, showing the characteristics of metaluminous-peraluminous and high-K calc-alkaline. The samples are relatively enriched in large ion lithophile elements (LILEs: Rb, Ba, Pb, K) and light rare earth elements (LREEs), depleted in high field strength elements (HFSEs: Nb, Ta, P, Ti) and heavy rare earth elements (HREEs), with obvious Eu negative anomaly and low Cr, Co, Ni contents. Combined with the magmatic origin zircons exhibit negative εHf(t) value (-17.8 to -23.2) and old Hf isotopic two-stage model age (TDM2=2 334-2 697 Ma), all suggest that the primary magma may have originated from the partial melting of the Archaean or Proterozoic ancient lower crust. The Late Jurassic magmatism and tectonic movement in the West Liaoning Province were controlled by the subduction and rollback of the paleo-Pacific plate. The rhyolite in the Sierbao-Baita basin was formed in the NW direction compression tectonic setting caused by the subduction of the paleo-Pacific plate. At the same time, there are also a large number of metamorphic core complexes and extensional basins closely related to the rollback of the paleo-Pacific plate in the West Liaoning Province, suggesting the existence of an extensional regime in this region. Therefore, it hold that the tectonic regime of the Yanshan-West Liaoning area gradually changed from compression regime to extension regime in the Late Jurassic, which is a response to Yanshan movement.
		            2023, 48(10): 3707-3724. 
	            	doi: 10.3799/dqkx.2021.242 
   					
				
					Abstract: 
The Dayishan pluton is one of the important tin-forming plutons in the Nanling Range. Based on the data and the high precision zircon LA-ICP-MS U-Pb dating results, in this paper it divides it into 6 lithofacies (mapping) units for field identification: fine-medium grained porphyritic amphibole biotite monzogranite (ηγJ3a), medium-coarse grained porphyritic biotite monzogranite(ηγJ3b), medium-fine grained porphyritic biotite monzogranite (ηγJ3c), fine-grained porphyritic biotite monzogranite (ηγJ3d), fine-grained porphyritic (including tourmaline) two-mica adamellite (ηγJ3e) and fine-grained porphyritic two-mica syenogranite (ζγJ3f), the diagenetic age is concentrated in 160-150 Ma, and the whole belongs to the Early Yanshanian. The rock geochemistry and isotopic characteristics indicate that the Dayishan pluton belongs to the S-type granite, which is mainly derived from the melting of metamorphic supracrustal rocks, with a small amount contribution of juvenile crust.In addition, the age of tin mineralization in the Dayishan area is concentrated at 160-150 Ma, which is the peak product of W-Sn-Mo polymetallic mineralization in the Nanling range; formed in an intra-land extensional environment related to the subduction of the Pacific plate. Combining the data and prospecting progress to point out the prospecting direction of Dayishan area: (1) strengthen the investigation and evaluation of greisen-type rubidium deposits, (2) strengthen the investigation and evaluation of late high-differentiated granite and pegmatite veins in Dayishan area, (3) strengthen the investigation and evaluation of the outer contact zone of Dayishan pluton, (4) Deep and concealed prospecting of Dayishan pluton.
		       
		        
		        
		        
			  
			The Dayishan pluton is one of the important tin-forming plutons in the Nanling Range. Based on the data and the high precision zircon LA-ICP-MS U-Pb dating results, in this paper it divides it into 6 lithofacies (mapping) units for field identification: fine-medium grained porphyritic amphibole biotite monzogranite (ηγJ3a), medium-coarse grained porphyritic biotite monzogranite(ηγJ3b), medium-fine grained porphyritic biotite monzogranite (ηγJ3c), fine-grained porphyritic biotite monzogranite (ηγJ3d), fine-grained porphyritic (including tourmaline) two-mica adamellite (ηγJ3e) and fine-grained porphyritic two-mica syenogranite (ζγJ3f), the diagenetic age is concentrated in 160-150 Ma, and the whole belongs to the Early Yanshanian. The rock geochemistry and isotopic characteristics indicate that the Dayishan pluton belongs to the S-type granite, which is mainly derived from the melting of metamorphic supracrustal rocks, with a small amount contribution of juvenile crust.In addition, the age of tin mineralization in the Dayishan area is concentrated at 160-150 Ma, which is the peak product of W-Sn-Mo polymetallic mineralization in the Nanling range; formed in an intra-land extensional environment related to the subduction of the Pacific plate. Combining the data and prospecting progress to point out the prospecting direction of Dayishan area: (1) strengthen the investigation and evaluation of greisen-type rubidium deposits, (2) strengthen the investigation and evaluation of late high-differentiated granite and pegmatite veins in Dayishan area, (3) strengthen the investigation and evaluation of the outer contact zone of Dayishan pluton, (4) Deep and concealed prospecting of Dayishan pluton.
		            2023, 48(10): 3725-3742. 
	            	doi: 10.3799/dqkx.2021.209 
   					
				
					Abstract: 
The Langcun tungsten-molybdenum deposit is a medium porphyry-skarn type deposit in the Northwest Zhejiang Province, western Qinzhou-Hangzhou metallogenic belt (QHMB). In this paper, it analyzed the petrological, chronological and geochemical characteristics of the ore-forming related granite porphyry in this deposit to constrain its genesis and interpret its tectonic significance. Granite porphyry formed at 129.7±1.1 Ma (zircon U-Pb, LA-ICP-MS) and belongs to shoshonite series with high SiO2, alkali contents, and weakly peraluminous. The characteristics, i.e., right-dipping chondrite normalized REE pattern with negative Eu anomalies (δEu=0.36-0.40) and the 10 000 Ga/Al and Zr+Nb+Ce+Y values range from 2.57 to 2.90 and 379.5×10-6 to 462.0×10-6, respectively, suggest that the granite porphyry belongs to A-type granite. Whole rock Sr-Nd compositions are characterized by ISr and εNd(t) range from 0.707 17 to 0.709 08 and -6.1 to -4.0, respectively, with Nd model ages of 1.25 to 1.42 Ga. Meanwhile, zircon Hf compositions are characterized by εHf(t)=-5.94 to -0.87 with two stage model ages of 1.23 to 1.56 Ga. All these evidences suggest that granite porphyry is formed by an ancient continental crust mixed with mantle material source under the tectonic of lithosphere extension and thinning in South China.
		       
		        
		        
		        
			  
			The Langcun tungsten-molybdenum deposit is a medium porphyry-skarn type deposit in the Northwest Zhejiang Province, western Qinzhou-Hangzhou metallogenic belt (QHMB). In this paper, it analyzed the petrological, chronological and geochemical characteristics of the ore-forming related granite porphyry in this deposit to constrain its genesis and interpret its tectonic significance. Granite porphyry formed at 129.7±1.1 Ma (zircon U-Pb, LA-ICP-MS) and belongs to shoshonite series with high SiO2, alkali contents, and weakly peraluminous. The characteristics, i.e., right-dipping chondrite normalized REE pattern with negative Eu anomalies (δEu=0.36-0.40) and the 10 000 Ga/Al and Zr+Nb+Ce+Y values range from 2.57 to 2.90 and 379.5×10-6 to 462.0×10-6, respectively, suggest that the granite porphyry belongs to A-type granite. Whole rock Sr-Nd compositions are characterized by ISr and εNd(t) range from 0.707 17 to 0.709 08 and -6.1 to -4.0, respectively, with Nd model ages of 1.25 to 1.42 Ga. Meanwhile, zircon Hf compositions are characterized by εHf(t)=-5.94 to -0.87 with two stage model ages of 1.23 to 1.56 Ga. All these evidences suggest that granite porphyry is formed by an ancient continental crust mixed with mantle material source under the tectonic of lithosphere extension and thinning in South China.
		            2023, 48(10): 3743-3752. 
	            	doi: 10.3799/dqkx.2021.176 
   					
				
					Abstract: 
Applying deep learning technology to geological mapping to mine the deep-level in formation of different modal data, so as to achieve more accurate geological mapping. Considering the geophysical and geochemical data and remote sensing image data, in this paper it proposes a geological body recognition method based on multi-modal feature fusion. Firstly, Using deep neural network and convolution neural network to extract the features of the two different modal data and then performs feature splicing to obtain multi-modal features, finally, the fully connected neural network is used for feature fusion to complete the geological body classification. The cross-validation results show that the proposed multi-modal feature fusion method has obvious advantages compared with the deep learning methods using geophysical and geochemical data or remote sensing image data along, and the classification accuracy rate is increased by 14.08% and 2.79%. This result proves that this method can realize more accurate geological body identification, and then better assist geological mapping.
		       
		        
		        
		        
			  
			Applying deep learning technology to geological mapping to mine the deep-level in formation of different modal data, so as to achieve more accurate geological mapping. Considering the geophysical and geochemical data and remote sensing image data, in this paper it proposes a geological body recognition method based on multi-modal feature fusion. Firstly, Using deep neural network and convolution neural network to extract the features of the two different modal data and then performs feature splicing to obtain multi-modal features, finally, the fully connected neural network is used for feature fusion to complete the geological body classification. The cross-validation results show that the proposed multi-modal feature fusion method has obvious advantages compared with the deep learning methods using geophysical and geochemical data or remote sensing image data along, and the classification accuracy rate is increased by 14.08% and 2.79%. This result proves that this method can realize more accurate geological body identification, and then better assist geological mapping.
		            2023, 48(10): 3753-3769. 
	            	doi: 10.3799/dqkx.2021.206 
   					
				
					Abstract: 
The granitic pegmatite exposed in Wuduoshan granitic pluton occurs extensively in volume. However, its formation time, petrogenesis and geodynamic background are still unclear. LA-ICP-MS zircon U-Pb dating shows that the zircon U-Pb ages from the granitic pegmatite are 417.4±2.5, 429.5±2.1 and 450.9±3.3 Ma, respectively, the first of which represents the crystallization age of granitic pegmatite and the other is consistent with the age of Wuduoshan granite batholith, representing the captured zircons from the surrounding rocks of granitic pegmatite veins. The εHf(t) values of granitic pegmatite are -5.6 to -1.9, -8.7 to -1.3, and -5.3 to -3.4, respectively, which are similar to the Hf isotopic values of magmatic rocks derived from partial melting of metasedimentary rocks of the Qinling Group. Together with the regional data, it is suggested that the East Qinling was in the post-collision stage relevant to the proto-Tethys Ocean in the Early Devonian, and it underwent extensional setting and resulting the decompression melting of mantle and generation of mafic magma. The rising high-temperature magma further underplated and heated the lower crust and induced the partial melting of metamorphic basement of the lower crust, ultimately generating the granitic pegmatites along the magmatic conduits which formed in a postcollision-related extensional setting.
		       
		        
		        
		        
			  
			The granitic pegmatite exposed in Wuduoshan granitic pluton occurs extensively in volume. However, its formation time, petrogenesis and geodynamic background are still unclear. LA-ICP-MS zircon U-Pb dating shows that the zircon U-Pb ages from the granitic pegmatite are 417.4±2.5, 429.5±2.1 and 450.9±3.3 Ma, respectively, the first of which represents the crystallization age of granitic pegmatite and the other is consistent with the age of Wuduoshan granite batholith, representing the captured zircons from the surrounding rocks of granitic pegmatite veins. The εHf(t) values of granitic pegmatite are -5.6 to -1.9, -8.7 to -1.3, and -5.3 to -3.4, respectively, which are similar to the Hf isotopic values of magmatic rocks derived from partial melting of metasedimentary rocks of the Qinling Group. Together with the regional data, it is suggested that the East Qinling was in the post-collision stage relevant to the proto-Tethys Ocean in the Early Devonian, and it underwent extensional setting and resulting the decompression melting of mantle and generation of mafic magma. The rising high-temperature magma further underplated and heated the lower crust and induced the partial melting of metamorphic basement of the lower crust, ultimately generating the granitic pegmatites along the magmatic conduits which formed in a postcollision-related extensional setting.
		            2023, 48(10): 3770-3780. 
	            	doi: 10.3799/dqkx.2021.211 
   					
				
					Abstract: 
In order to constrain the timing for biological recovery and climate change after the Permian-Triassic extinction in North China basin, in this contribution it applies zircon LA-ICP-MS dating of the newly discovered tuff layer in the upper part of the Heshanggou Formation in Jiyuan area. Some zircons occur as short cylindrical shape, with a few elongated grains. All zircons were not rounded, and showed obvious oscillatory zoning characteristics under a cathodoluminescence microscope. After removing zircons with enriched LREE, the remaining zircons showed a weighted mean U-Pb age of 244.6±2.8 Ma. The results show that the stratigraphic age of Heshanggou Formation spanned to the Middle Triassic Anisian age. The new age constrains that the terrestrial ecosystem in North China Basin was fully rebuilt during the Anisian after recovered during the Olenekian, which is consistent with the recovery time of marine ecosystem. The paleoclimate transition from extreme greenhouse to medium greenhouse also occurred in the Anisian age, which is consistent with the continuous global cooling trend in the Middle Triassic.
		       
		        
		        
		        
			  
			In order to constrain the timing for biological recovery and climate change after the Permian-Triassic extinction in North China basin, in this contribution it applies zircon LA-ICP-MS dating of the newly discovered tuff layer in the upper part of the Heshanggou Formation in Jiyuan area. Some zircons occur as short cylindrical shape, with a few elongated grains. All zircons were not rounded, and showed obvious oscillatory zoning characteristics under a cathodoluminescence microscope. After removing zircons with enriched LREE, the remaining zircons showed a weighted mean U-Pb age of 244.6±2.8 Ma. The results show that the stratigraphic age of Heshanggou Formation spanned to the Middle Triassic Anisian age. The new age constrains that the terrestrial ecosystem in North China Basin was fully rebuilt during the Anisian after recovered during the Olenekian, which is consistent with the recovery time of marine ecosystem. The paleoclimate transition from extreme greenhouse to medium greenhouse also occurred in the Anisian age, which is consistent with the continuous global cooling trend in the Middle Triassic.
		            2023, 48(10): 3781-3798. 
	            	doi: 10.3799/dqkx.2021.171 
   					
				
					Abstract: 
The syn-rift and syn-spread magmatism occurs in the deep-water area of the continental margin of the South China Sea in different extents, but it is still controversial regarding its spatial and temporal distribution, the amount, and the mechanism. In this paper, the high-resolution and comprehensive covered three-dimensional (3D) seismic data were used to reveal the characteristics and scale of magmatic activities in the Baiyun-Liwan deep-water area. Under the constraints of drilling, it utilized the seismic reflection characteristics, contact relationship and seismic volcano-stratigraphy comprehensively to interpret 19 high-resolution 3D multichannel reflection seismic data. On this basis, the intrusive and eruptive igneous build-ups in the sedimentary layers had been systematically studied. The results show follows: (1) More than 100 igneous bodies and structures related to magmatic activities were identified from shallow to deep in the study area, which are subdivided into 3 seismic facies and 11 subfacies. The 3 facies include volcanic, intrusive and gas-hydro facies. (2) The magmatic activities can be divided into three stages: 33.9-23.0 Ma, 23.0-19.1 Ma and 19.1-16.0 Ma, and the amount of the magmatic activities gradually decreased. (3) In the spatial distribution, the magmatic activities decrease from the southwest to the northeast, and the ages become younger from the south to the north. Moreover, the magmatic activities are mostly distributed on the surrounding uplift. The magmatism in the study area migrated northward as the spreading ridge jumped southward at 23.6 Ma. It is speculated that the upwelling mantle material in the early stage of rifting-spreading stage may be affected by ridge suction, which caused the upwelling magma to be dragged toward the spreading ridge. After a southward ridge jump, the ridge suction reduced and part if not all of the upwelling mantle retreated northward, resulting in the northward migration of magmatic activities after 23 Ma. The alkalinity of magmatism increased during post-spreading stage (< 17 Ma) suggested that the source of magmatic material may become deeper.
		       
		        
		        
		        
			  
			The syn-rift and syn-spread magmatism occurs in the deep-water area of the continental margin of the South China Sea in different extents, but it is still controversial regarding its spatial and temporal distribution, the amount, and the mechanism. In this paper, the high-resolution and comprehensive covered three-dimensional (3D) seismic data were used to reveal the characteristics and scale of magmatic activities in the Baiyun-Liwan deep-water area. Under the constraints of drilling, it utilized the seismic reflection characteristics, contact relationship and seismic volcano-stratigraphy comprehensively to interpret 19 high-resolution 3D multichannel reflection seismic data. On this basis, the intrusive and eruptive igneous build-ups in the sedimentary layers had been systematically studied. The results show follows: (1) More than 100 igneous bodies and structures related to magmatic activities were identified from shallow to deep in the study area, which are subdivided into 3 seismic facies and 11 subfacies. The 3 facies include volcanic, intrusive and gas-hydro facies. (2) The magmatic activities can be divided into three stages: 33.9-23.0 Ma, 23.0-19.1 Ma and 19.1-16.0 Ma, and the amount of the magmatic activities gradually decreased. (3) In the spatial distribution, the magmatic activities decrease from the southwest to the northeast, and the ages become younger from the south to the north. Moreover, the magmatic activities are mostly distributed on the surrounding uplift. The magmatism in the study area migrated northward as the spreading ridge jumped southward at 23.6 Ma. It is speculated that the upwelling mantle material in the early stage of rifting-spreading stage may be affected by ridge suction, which caused the upwelling magma to be dragged toward the spreading ridge. After a southward ridge jump, the ridge suction reduced and part if not all of the upwelling mantle retreated northward, resulting in the northward migration of magmatic activities after 23 Ma. The alkalinity of magmatism increased during post-spreading stage (< 17 Ma) suggested that the source of magmatic material may become deeper.
		            2023, 48(10): 3799-3811. 
	            	doi: 10.3799/dqkx.2021.212 
   					
				
					Abstract: 
Macrofossils in Late Neoproterozoic "Snowball Earth" are significant to the coevolution of early life and environment. Songluo biota of Nantuo Formation in Shennongjia area is the unique macroalgae record during the Cryogenian "Snowball Earth". However, because of lacking precise dating data, the stratigraphic position of fossil-bearing shale is controversial. One viewpoint correlates to Nantuo Formation, and the other correlates to Datangpo Formation. Stratigraphic correlation of Songluo biota is in need of restudy. The stratigraphic position and spatial distribution of Songluo biota were investigated under numerous field work. Three normal faults recorded in the Songluo Section along the roadside, leading to recurring problems for some layers(e.g. layers 9-11). Totally, 24 layers have been divided in the Songluo Section, of which the Nantuo Formation contains layers 1-19 and the Doushantuo Formation covers layers 20-24. Based on multiple black shales documented in Nantuo Formation, black shales sandwiched in similar calcareous diamictite, the fossil assemblages changed in different shales, the Datangpo Formation only recorded in western Shennongjia area, and extremely low concentration of Mn in black shales, the Songluo biota and hence the fossiliferous black shale at Songluo Section is part of the Nantuo Formation rather than the Datangpo Formation.
		       
		        
		        
		        
			  
			Macrofossils in Late Neoproterozoic "Snowball Earth" are significant to the coevolution of early life and environment. Songluo biota of Nantuo Formation in Shennongjia area is the unique macroalgae record during the Cryogenian "Snowball Earth". However, because of lacking precise dating data, the stratigraphic position of fossil-bearing shale is controversial. One viewpoint correlates to Nantuo Formation, and the other correlates to Datangpo Formation. Stratigraphic correlation of Songluo biota is in need of restudy. The stratigraphic position and spatial distribution of Songluo biota were investigated under numerous field work. Three normal faults recorded in the Songluo Section along the roadside, leading to recurring problems for some layers(e.g. layers 9-11). Totally, 24 layers have been divided in the Songluo Section, of which the Nantuo Formation contains layers 1-19 and the Doushantuo Formation covers layers 20-24. Based on multiple black shales documented in Nantuo Formation, black shales sandwiched in similar calcareous diamictite, the fossil assemblages changed in different shales, the Datangpo Formation only recorded in western Shennongjia area, and extremely low concentration of Mn in black shales, the Songluo biota and hence the fossiliferous black shale at Songluo Section is part of the Nantuo Formation rather than the Datangpo Formation.
		            2023, 48(10): 3812-3819. 
	            	doi: 10.3799/dqkx.2021.223 
   					
				
					Abstract: 
Aerosol optical depth (AOD) is influenced by atmospheric pollution composition, road distribution, and surface cover type, etc. It is significant to study AOD for a regional scale considering multiple influencing factors. The study uses the high-resolution aerosol optical depth product data, air pollution data, road route data, surface classification data, and NPP night-light remote sensing data from February 2020 to February 2021 in Beijing, and proposes the extensible simplified aerosol retrieval algorithm (XSARA), using Pearson index, principal component analysis, multiple regression, and geographically weighted regression model to systematically analyze the aerosol optical thickness and its driving factors in Beijing from 2020 to 2021. The results show follows (1) Humidity is positively correlated with AOD, while wind direction is negatively correlated with AOD. The relationship equation between AOD and each combination factor is obtained by multiple linear regression, in which R2 is 0.970 68 and the sum of squares of residuals is 0.029 10, indicating that the regression effect is good. (2) The AOD along the road is higher than the surrounding areas, and the AOD increases with the increasing density of the road. (3) The surface cover represented by man-made surface can enhance the AOD concentration, while the surface cover represented by vegetation can weaken the AOD concentration. (4) By using the night light data, it is found that the data has a high correlation with the spatial distribution pattern of AOD, and the R2 obtained by geographic weighted regression model is greater than 0.9, which further indicates that the correlation between the two is high.
		       
		        
		        
		        
			  
			Aerosol optical depth (AOD) is influenced by atmospheric pollution composition, road distribution, and surface cover type, etc. It is significant to study AOD for a regional scale considering multiple influencing factors. The study uses the high-resolution aerosol optical depth product data, air pollution data, road route data, surface classification data, and NPP night-light remote sensing data from February 2020 to February 2021 in Beijing, and proposes the extensible simplified aerosol retrieval algorithm (XSARA), using Pearson index, principal component analysis, multiple regression, and geographically weighted regression model to systematically analyze the aerosol optical thickness and its driving factors in Beijing from 2020 to 2021. The results show follows (1) Humidity is positively correlated with AOD, while wind direction is negatively correlated with AOD. The relationship equation between AOD and each combination factor is obtained by multiple linear regression, in which R2 is 0.970 68 and the sum of squares of residuals is 0.029 10, indicating that the regression effect is good. (2) The AOD along the road is higher than the surrounding areas, and the AOD increases with the increasing density of the road. (3) The surface cover represented by man-made surface can enhance the AOD concentration, while the surface cover represented by vegetation can weaken the AOD concentration. (4) By using the night light data, it is found that the data has a high correlation with the spatial distribution pattern of AOD, and the R2 obtained by geographic weighted regression model is greater than 0.9, which further indicates that the correlation between the two is high.
		            2023, 48(10): 3820-3831. 
	            	doi: 10.3799/dqkx.2021.180 
   					
				
					Abstract: 
Few factors are considered in the current spatial simulation of arsenic content in groundwater, resulting in low prediction accuracy. To the east of Jianghan Plain as an example, considering the effects of all groundwater chemical components on arsenic, ordinary kriging (OK), traditional CoKriging (COK) and CoKriging based on principal component (COK-Y, where Y is a comprehensive factor obtained by principal component analysis) were used to simulate the spatial distribution of arsenic in groundwater. The results show that the semi-variogram fitting of COK-Y is the best, and the mean square error and mean absolute error for arsenic prediction in groundwater are 21.7% and 21.3% lower than OK, respectively. Compared with COK, the evaluation indexes decrease by 3.5% and 3.4%, severally. The accuracy of COK-Y is improved slightly, and the spatiacl distribution map of arsenic in groundwater can better reflect the high heterogeneity of arsenic, which is more realistic. COK-Y improve the dampening effect of kriging method to the grestest extent. The comprehensive factor Y indicates the contribution of each component on the simulation of arsenic. The reductive dissolution of iron oxide and hydroxide was the main factor for the formation and distribution of high arsenic in groundwater. The weathering, dissolution and analytical adsorption of polymetallic minerals, such as barite, magnetite and ilmenite also contributed part of it.
		       
		        
		        
		        
			  
			Few factors are considered in the current spatial simulation of arsenic content in groundwater, resulting in low prediction accuracy. To the east of Jianghan Plain as an example, considering the effects of all groundwater chemical components on arsenic, ordinary kriging (OK), traditional CoKriging (COK) and CoKriging based on principal component (COK-Y, where Y is a comprehensive factor obtained by principal component analysis) were used to simulate the spatial distribution of arsenic in groundwater. The results show that the semi-variogram fitting of COK-Y is the best, and the mean square error and mean absolute error for arsenic prediction in groundwater are 21.7% and 21.3% lower than OK, respectively. Compared with COK, the evaluation indexes decrease by 3.5% and 3.4%, severally. The accuracy of COK-Y is improved slightly, and the spatiacl distribution map of arsenic in groundwater can better reflect the high heterogeneity of arsenic, which is more realistic. COK-Y improve the dampening effect of kriging method to the grestest extent. The comprehensive factor Y indicates the contribution of each component on the simulation of arsenic. The reductive dissolution of iron oxide and hydroxide was the main factor for the formation and distribution of high arsenic in groundwater. The weathering, dissolution and analytical adsorption of polymetallic minerals, such as barite, magnetite and ilmenite also contributed part of it.
		            2023, 48(10): 3832-3843. 
	            	doi: 10.3799/dqkx.2021.217 
   					
				
					Abstract: 
The unique hydrogeochemical process of the river-groundwater interaction zone can seriously affect microbial community distribution. Studying the microbial distribution characteristic can provide a new understanding of a series of biogeochemical cycles. In this paper, the microbial community diversity, species composition and relationship with environmental factors in the two-dimensional sediment profiles of the interactive zone are analyzed by high-throughput sequencing of 16SrRNA gene. The results show that the microbial community distribution is more heterogeneous in the profile where river water recharge is the main water flow direction. Microbial diversity in the hyporheic zone has a remarkably substantial negative correlation with NH4+, As, and has a negatively correlation with TOC, Mn. Below the water level near the river distributed an area with high microbial diversity where the oxidative NO3-, Fe(III), and SO42- were accumulated, the abundance of a large number of chemoheterotrophic microbes decreased, and that of microorganisms related to phosphorus-accumulating, ammonia oxidation and methyl-phage increased. The marginal areas of the interaction zone show less biodiversity, with relatively high TOCs, NH4+, Mn and As. In conclusion, the interaction of river and groundwater determines the distribution of DO and TOC in the interaction zone sediments, thus regulating the changes of the microbial community and the biochemical processes of various elements.
		       
		        
		        
		        
			  
			The unique hydrogeochemical process of the river-groundwater interaction zone can seriously affect microbial community distribution. Studying the microbial distribution characteristic can provide a new understanding of a series of biogeochemical cycles. In this paper, the microbial community diversity, species composition and relationship with environmental factors in the two-dimensional sediment profiles of the interactive zone are analyzed by high-throughput sequencing of 16SrRNA gene. The results show that the microbial community distribution is more heterogeneous in the profile where river water recharge is the main water flow direction. Microbial diversity in the hyporheic zone has a remarkably substantial negative correlation with NH4+, As, and has a negatively correlation with TOC, Mn. Below the water level near the river distributed an area with high microbial diversity where the oxidative NO3-, Fe(III), and SO42- were accumulated, the abundance of a large number of chemoheterotrophic microbes decreased, and that of microorganisms related to phosphorus-accumulating, ammonia oxidation and methyl-phage increased. The marginal areas of the interaction zone show less biodiversity, with relatively high TOCs, NH4+, Mn and As. In conclusion, the interaction of river and groundwater determines the distribution of DO and TOC in the interaction zone sediments, thus regulating the changes of the microbial community and the biochemical processes of various elements.
		            2023, 48(10): 3844-3855. 
	            	doi: 10.3799/dqkx.2021.172 
   					
				
					Abstract: 
In order to find out the relationship between lake types and tufa deposition in Badain Jaran desert and explore the tufa deposition and water cycle process, in this paper it studies the relationship between ion composition, hydrochemical types and mineral saturation index (SI) of lake water and groundwater. The results show that the distribution of tufa lake accounts for about 1/5 of the total number of lakes, and these lakes have no obvious regularity in spatial distribution. There are 18 types of lake water chemistry, including Cl-Na type, Cl-CO3-Na type and Cl-SO4-Na type, and the distribution of lakes with tufa does not show the particularity of the type. The analysis of the tufa dating and paleoclimate records proves that tufa was a kind of chemical deposition under the Late Holocene arid climate background, which was caused by the evaporation and concentration of the lake water, and at the same time continuously receiving groundwater recharge and mixing with the lake water. The difference of chemical composition of groundwater leads to the difference of scale and location of tufa deposition in different lakes. The groundwater with lower SI of calcite and dolomite is more favorable to the mixed deposition of tufa with lake water, which type of groundwater is mainly derived from the weathering and dissolution of evaporite.
		       
		        
		        
		        
			  
			In order to find out the relationship between lake types and tufa deposition in Badain Jaran desert and explore the tufa deposition and water cycle process, in this paper it studies the relationship between ion composition, hydrochemical types and mineral saturation index (SI) of lake water and groundwater. The results show that the distribution of tufa lake accounts for about 1/5 of the total number of lakes, and these lakes have no obvious regularity in spatial distribution. There are 18 types of lake water chemistry, including Cl-Na type, Cl-CO3-Na type and Cl-SO4-Na type, and the distribution of lakes with tufa does not show the particularity of the type. The analysis of the tufa dating and paleoclimate records proves that tufa was a kind of chemical deposition under the Late Holocene arid climate background, which was caused by the evaporation and concentration of the lake water, and at the same time continuously receiving groundwater recharge and mixing with the lake water. The difference of chemical composition of groundwater leads to the difference of scale and location of tufa deposition in different lakes. The groundwater with lower SI of calcite and dolomite is more favorable to the mixed deposition of tufa with lake water, which type of groundwater is mainly derived from the weathering and dissolution of evaporite.
		            2023, 48(10): 3856-3865. 
	            	doi: 10.3799/dqkx.2021.237 
   					
				
					Abstract: 
In order to investigate the distribution and formation of shallow groundwater with high fluoride in Houtao plain, Inner Mongolia, 64 group hydrochemistry data of shallow groundwater were analyzed using correlation, Gibbs diagram, mineral saturation index, ion intensity and chlor-alkali index. The results show that 53.1% of the shallow groundwater samples have a F- concentration exceeding the limit value of drinking water standard of China (1.0 mg/L). The shallow groundwater samples with high fluorine mainly distribute in the Yellow River flood plain, eastern Houtao plain, and most of them were Cl-Na type water with high TDS value and weak alkalinity. Fluoride in shallow groundwater mainly came from fluorine-containing minerals such as fluorite in the surrounding rock of Yin Mountain and water-bearing media in the plain. Limited by the topography, climate and irrigation activities, the formation of high fluoride groundwater in Houtao plain was mainly controlled by the evaporation process, which also affected the precipitation-dissolution process. These two processes promoted the release of F- in the water-bearing media. The effect of cation exchange on the formation of high fluoride groundwater is small because of high ionic strength.
		       
		        
		        
		        
			  
			In order to investigate the distribution and formation of shallow groundwater with high fluoride in Houtao plain, Inner Mongolia, 64 group hydrochemistry data of shallow groundwater were analyzed using correlation, Gibbs diagram, mineral saturation index, ion intensity and chlor-alkali index. The results show that 53.1% of the shallow groundwater samples have a F- concentration exceeding the limit value of drinking water standard of China (1.0 mg/L). The shallow groundwater samples with high fluorine mainly distribute in the Yellow River flood plain, eastern Houtao plain, and most of them were Cl-Na type water with high TDS value and weak alkalinity. Fluoride in shallow groundwater mainly came from fluorine-containing minerals such as fluorite in the surrounding rock of Yin Mountain and water-bearing media in the plain. Limited by the topography, climate and irrigation activities, the formation of high fluoride groundwater in Houtao plain was mainly controlled by the evaporation process, which also affected the precipitation-dissolution process. These two processes promoted the release of F- in the water-bearing media. The effect of cation exchange on the formation of high fluoride groundwater is small because of high ionic strength.
		            2023, 48(10): 3866-3877. 
	            	doi: 10.3799/dqkx.2021.239 
   					
				
					Abstract: 
The hyporheic zone is a critical interface between surface water and groundwater where water and materials exchange actively. The study of nitrogen transport and transformation in the hyporheic zone of rivers is of great significance for improving river water quality and maintaining the stability of water ecosystems. To investigate the nitrogen transport and transformation processes in the hyporheic zone of prairie meandering rivers in the semi-arid region, a meandering reach of the Xilin River was taken as the research object, and the vertical hyporheic exchange patterns and nitrogen transformation characteristics in the hyporheic zone were analyzed by combining the hydrodynamic and hydrochemical methods. The results show that the vertical hyporheic exchange is dominated by a weak upwelling flow with an average hydraulic gradient of -0.023 during the non-rainfall period. Rainfall and upland water can lead to a reversal of the exchange direction and an appearance of downwelling flow with an average hydraulic gradient of 0.086. The vertical hyporheic exchange rate decreases with depth, with the average exchange rate at 20, 50 and 100 cm below the surface of river bed is 0.102, 0.041 and 0.017 m·d-1, respectively, the depth of 100 cm is the lower boundary of vertical exchange. Ammonification, nitrification, denitrification and dissimilatory reduction reactions are likely to occur in the hyporheic zone, with the depth of 50 cm being the hot spot where the reversal of biogeochemical gradients occurs. The vertical hyporheiczone of prairie meandering rivers is a sink for nitrate. The removal effect on nitrate indicates spatial differences with stronger removal rate in deep sediments than in shallow ones. The average removal rate of nitrate were 34% and 28% under upwelling and downwelling conditions, respectively.Compared with the inflow and outflow points, the vertical exchange at the apex of the meandering reach is relatively weak, and the nitrogen concentration is low. The apex may be the hot spot of biogeochemical reactions in the hyporheic zones driven by meanders.
		       
		        
		        
		        
			  
			The hyporheic zone is a critical interface between surface water and groundwater where water and materials exchange actively. The study of nitrogen transport and transformation in the hyporheic zone of rivers is of great significance for improving river water quality and maintaining the stability of water ecosystems. To investigate the nitrogen transport and transformation processes in the hyporheic zone of prairie meandering rivers in the semi-arid region, a meandering reach of the Xilin River was taken as the research object, and the vertical hyporheic exchange patterns and nitrogen transformation characteristics in the hyporheic zone were analyzed by combining the hydrodynamic and hydrochemical methods. The results show that the vertical hyporheic exchange is dominated by a weak upwelling flow with an average hydraulic gradient of -0.023 during the non-rainfall period. Rainfall and upland water can lead to a reversal of the exchange direction and an appearance of downwelling flow with an average hydraulic gradient of 0.086. The vertical hyporheic exchange rate decreases with depth, with the average exchange rate at 20, 50 and 100 cm below the surface of river bed is 0.102, 0.041 and 0.017 m·d-1, respectively, the depth of 100 cm is the lower boundary of vertical exchange. Ammonification, nitrification, denitrification and dissimilatory reduction reactions are likely to occur in the hyporheic zone, with the depth of 50 cm being the hot spot where the reversal of biogeochemical gradients occurs. The vertical hyporheiczone of prairie meandering rivers is a sink for nitrate. The removal effect on nitrate indicates spatial differences with stronger removal rate in deep sediments than in shallow ones. The average removal rate of nitrate were 34% and 28% under upwelling and downwelling conditions, respectively.Compared with the inflow and outflow points, the vertical exchange at the apex of the meandering reach is relatively weak, and the nitrogen concentration is low. The apex may be the hot spot of biogeochemical reactions in the hyporheic zones driven by meanders.
		            2023, 48(10): 3878-3895. 
	            	doi: 10.3799/dqkx.2022.031 
   					
				
					Abstract: 
For the underground engineering site in a fractured rock mass, the hydraulic conductivity is a critical factor influencing hydrogeological conditions and plays a pivotal role in the final assessment of site performance. This study focuses on the granite formation of nuclear facility site in the coastal area, China. It applied the Pilot Point calibration technique in conjunction with a 3D kriging interpolation method to establish a parameterized hydraulic conductivity field for the fractured medium. Besides, the inverse parameter estimation tool PEST for automated calibration and sensitivity analysis was employed. The results indicate that the simulated hydraulic heads were in a good agreement with the measured data in the steady condition, and well reproduced dynamic behavior of groundwater level with time. Notably, the hydraulic conductivity filed could be estimated more accurately around the boreholes and the parameter sensitivity was related with borehole location, borehole quantity and variogram range. Based on these findings, it could conclude that Pilot Point method could identify spatial difference of hydraulic conductivity filed in the fractured rocks. It is positive to further improve the groundwater flow prediction ability in the fracture medium.
		       
		        
		        
		        
			  
			For the underground engineering site in a fractured rock mass, the hydraulic conductivity is a critical factor influencing hydrogeological conditions and plays a pivotal role in the final assessment of site performance. This study focuses on the granite formation of nuclear facility site in the coastal area, China. It applied the Pilot Point calibration technique in conjunction with a 3D kriging interpolation method to establish a parameterized hydraulic conductivity field for the fractured medium. Besides, the inverse parameter estimation tool PEST for automated calibration and sensitivity analysis was employed. The results indicate that the simulated hydraulic heads were in a good agreement with the measured data in the steady condition, and well reproduced dynamic behavior of groundwater level with time. Notably, the hydraulic conductivity filed could be estimated more accurately around the boreholes and the parameter sensitivity was related with borehole location, borehole quantity and variogram range. Based on these findings, it could conclude that Pilot Point method could identify spatial difference of hydraulic conductivity filed in the fractured rocks. It is positive to further improve the groundwater flow prediction ability in the fracture medium.
		            2023, 48(10): 3896-3911. 
	            	doi: 10.3799/dqkx.2021.227 
   					
				
					Abstract: 
Small water bodies (< 1 km2) are numerous, with area accounting for more than 40% of the total area of global inland water area, and play an important role in weather and climate system, water cycle and water resources management. In this paper, the aquaculture pond in Quanjiao County of Anhui Province was selected as a representative of small water bodies. Continuous observations of evaporation from June 2017 to May 2020 were conducted using eddy covariance technology. Data gaps were interpolated based on bulk transfer equation, and energy balance closure was forced on monthly scale. Priestley-Taylor model was used to study the effect of advection. Results indicate that the water vapor transfer coefficient of small water bodies was higher in summer and lower in winter, with a range of 1.9×10-3 to 3.4×10-3. The monthly water vapor transfer coefficient was significantly correlated with wind speed and the difference between water surface temperature and air temperature over small water bodies. But the transfer coefficient is not significantly correlated with water body area.The α coefficient of Priestley-Taylor model over the small water body ranged from 1.14 to 1.78, with lowest value appeared in August and highest value appeared in February, and the maximum value is higher than those over open surface of large lakes. Similar to other inland water bodies, the α coefficient over small water bodies was lower in warm season and higher in cold season, indicating that advection effect was weak in summer and strong in winter. On annual time scale, evaporation of both small and large water bodies were affected by weak advection.
		       
		        
		        
		        
			  
			Small water bodies (< 1 km2) are numerous, with area accounting for more than 40% of the total area of global inland water area, and play an important role in weather and climate system, water cycle and water resources management. In this paper, the aquaculture pond in Quanjiao County of Anhui Province was selected as a representative of small water bodies. Continuous observations of evaporation from June 2017 to May 2020 were conducted using eddy covariance technology. Data gaps were interpolated based on bulk transfer equation, and energy balance closure was forced on monthly scale. Priestley-Taylor model was used to study the effect of advection. Results indicate that the water vapor transfer coefficient of small water bodies was higher in summer and lower in winter, with a range of 1.9×10-3 to 3.4×10-3. The monthly water vapor transfer coefficient was significantly correlated with wind speed and the difference between water surface temperature and air temperature over small water bodies. But the transfer coefficient is not significantly correlated with water body area.The α coefficient of Priestley-Taylor model over the small water body ranged from 1.14 to 1.78, with lowest value appeared in August and highest value appeared in February, and the maximum value is higher than those over open surface of large lakes. Similar to other inland water bodies, the α coefficient over small water bodies was lower in warm season and higher in cold season, indicating that advection effect was weak in summer and strong in winter. On annual time scale, evaporation of both small and large water bodies were affected by weak advection.
		            2023, 48(10): 3912-3924. 
	            	doi: 10.3799/dqkx.2021.248 
   					
				
					Abstract: 
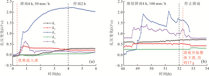
The mechanism of rainfall-triggered landslides is a key issue for the development of meteorological warning, risk assessment and engineering treatment of landslide disasters. In this paper, the Badong Yanzi landslide in the Three Gorges Reservoir area was selected as a typical example, and the physical model of the landslide was designed and produced. By setting three heavy rainfall conditions, the soil pressure, pore water pressure and moisture content data at different positions of the landslide can be monitored at all times. According to the test results, combined with the dynamic theory of colluvium landslide and numerical simulation analysis, the deformation characteristics and failure mechanism of thick colluvium landslide under heavy rainfall conditions were discussed. Test results show that under the condition of heavy rainfall, the deformation of the landslide started from the topographic turning point at the trailing edge of the slope. Heavy rainfall caused the soil pressure, pore pressure and moisture content data inside the landslide to rise to varying degrees, and the rise in the slip zone was significantly greater than the shallow surface of the landslide; after the extreme rainfall of 100 mm/h, the landslide began to creep slowly and then underwent a failure evolution process of acceleration, short deceleration, and acceleration again until the destruction process stopped. The trigger mechanism of the landslide is analyzed as follows. In the early stage of rainfall, the slope surface is dominated by pore infiltration, and the formation of rear edge fissures has become the dominant seepage channel for rainwater infiltration. The infiltration of rainwater causes the groundwater level of the slope to rise, the hydrostatic pressure of the fissure at the trailing edge of the landslide increases, and the erosion and collapse of the slope toe leads to seepage drainage points on the front edge of the landslide, resulting in hydrodynamic pressure. And the strength of the sliding belt continues to decrease under the effect of long-term soaking and softening. The landslide eventually undergoes overall slippage caused by shifting under the shear failure of the sliding zone.
		       
		        
		        
		        
			  
			The mechanism of rainfall-triggered landslides is a key issue for the development of meteorological warning, risk assessment and engineering treatment of landslide disasters. In this paper, the Badong Yanzi landslide in the Three Gorges Reservoir area was selected as a typical example, and the physical model of the landslide was designed and produced. By setting three heavy rainfall conditions, the soil pressure, pore water pressure and moisture content data at different positions of the landslide can be monitored at all times. According to the test results, combined with the dynamic theory of colluvium landslide and numerical simulation analysis, the deformation characteristics and failure mechanism of thick colluvium landslide under heavy rainfall conditions were discussed. Test results show that under the condition of heavy rainfall, the deformation of the landslide started from the topographic turning point at the trailing edge of the slope. Heavy rainfall caused the soil pressure, pore pressure and moisture content data inside the landslide to rise to varying degrees, and the rise in the slip zone was significantly greater than the shallow surface of the landslide; after the extreme rainfall of 100 mm/h, the landslide began to creep slowly and then underwent a failure evolution process of acceleration, short deceleration, and acceleration again until the destruction process stopped. The trigger mechanism of the landslide is analyzed as follows. In the early stage of rainfall, the slope surface is dominated by pore infiltration, and the formation of rear edge fissures has become the dominant seepage channel for rainwater infiltration. The infiltration of rainwater causes the groundwater level of the slope to rise, the hydrostatic pressure of the fissure at the trailing edge of the landslide increases, and the erosion and collapse of the slope toe leads to seepage drainage points on the front edge of the landslide, resulting in hydrodynamic pressure. And the strength of the sliding belt continues to decrease under the effect of long-term soaking and softening. The landslide eventually undergoes overall slippage caused by shifting under the shear failure of the sliding zone.
		            2023, 48(10): 3925-3931. 
	            	doi: 10.3799/dqkx.2021.250 
   					
				
					Abstract: 
In order to prevent deep foundation pit construction safety accidents, a set of risk warning standards based on monitoring data is proposed, and a deep foundation pit deformation safety risk warning model based on long short-term memory (LSTM) was established. Relying on the actual deep foundation pit engineering project, the risk warning model is applied to it to make short-term predictions of the deformation of each monitoring item of the foundation pit. The maximum error between the predicted data and the actual data is 5.04%, the minimum error is 0.04%, and the average relative error is 2.41%, which proves that the prediction effect of the model is good. It shows that the LSTM-based deep foundation pit deformation safety risk early warning model has good accuracy and superiority in the prediction of foundation pit deformation, and can provide a reliable guarantee for the safety judgment and risk management of foundation pit engineering.
		       
		        
		        
		        
			  
			In order to prevent deep foundation pit construction safety accidents, a set of risk warning standards based on monitoring data is proposed, and a deep foundation pit deformation safety risk warning model based on long short-term memory (LSTM) was established. Relying on the actual deep foundation pit engineering project, the risk warning model is applied to it to make short-term predictions of the deformation of each monitoring item of the foundation pit. The maximum error between the predicted data and the actual data is 5.04%, the minimum error is 0.04%, and the average relative error is 2.41%, which proves that the prediction effect of the model is good. It shows that the LSTM-based deep foundation pit deformation safety risk early warning model has good accuracy and superiority in the prediction of foundation pit deformation, and can provide a reliable guarantee for the safety judgment and risk management of foundation pit engineering.
		            2023, 48(10): 3932-3945. 
	            	doi: 10.3799/dqkx.2021.231 
   					
				
					Abstract: 
In order to understand the characteristics of the geological structure in the Yongxing region and delineate potential prospecting targets, it investigated the electrical structures of the upper crust in this region using magnetotelluric (MT) data. The electrical resistivity model was obtained by 2D nonlinear conjugate gradient inversion of MT data from five profiles deployed in the Yongxing region of Chenzhou District, Southeast Hunan Province. The results show that the electrical structures are laterally heterogeneous and reveal a subvertical moderate resistivity zone. Combined with the regional geological data of Southeast Hunan, the subvertical resistivity zone is interpreted as the manifestation of the Chaling-Chenzhou fault zone, which controls the geological structure and upwelling channel of ore-forming fluids in the study area. Finally, following structural characteristics of lead-zinc metal deposits in the Nanling metallogenic belt, it discusses the relationship between the metallogenic mechanism and the electrical structures for two existing lead-zinc deposits in the study area.
		       
		        
		        
		        
			  
			In order to understand the characteristics of the geological structure in the Yongxing region and delineate potential prospecting targets, it investigated the electrical structures of the upper crust in this region using magnetotelluric (MT) data. The electrical resistivity model was obtained by 2D nonlinear conjugate gradient inversion of MT data from five profiles deployed in the Yongxing region of Chenzhou District, Southeast Hunan Province. The results show that the electrical structures are laterally heterogeneous and reveal a subvertical moderate resistivity zone. Combined with the regional geological data of Southeast Hunan, the subvertical resistivity zone is interpreted as the manifestation of the Chaling-Chenzhou fault zone, which controls the geological structure and upwelling channel of ore-forming fluids in the study area. Finally, following structural characteristics of lead-zinc metal deposits in the Nanling metallogenic belt, it discusses the relationship between the metallogenic mechanism and the electrical structures for two existing lead-zinc deposits in the study area.
		            2023, 48(10): 3946-3956. 
	            	doi: 10.3799/dqkx.2022.097 
   					
				
					Abstract: 
The southern Junggar Basin underwent strong Cenozoic deformation and formed 3-4 rows of imbricate structures.It presents data on the geometry and kinematics of the imbricate structures in the southern Junggar basin based on analysis of the oil seismic reflection profiles and drilling data. The evolution process of the imbricate structures is restored by computer simulation. In the Cenozoic, thrust faults developed along Triassic mudstone and Jurassic coal, Cretaceous mudstone and Paleogene mudstone, respectively. The deep thrust faults in Mesozoic mudstone developed in Late Paleogene (~ 35 Ma), and the shallow Huo-Ma-Tu fault in Paleogene mudstone occurred in Late Miocene (~ 8 Ma). These faults were stacked and formed imbricate structures with two or three thrust sheets.The fault kinematics controls the transmission of fault displacement to the basin and affects the development and distribution of folds in the southern Junggar basin. The blind folds developed in the eastern section of the southern Junggar basin, where the faults slide to the basin with only ~1.3 km fault displacement. Two rows of folds exposed to the surface developed in the western section, where the faults slide to the basin with ~7-9 km fault displacement. Fault activity is very important for oil and gas migration and enrichment. Determining the structural characteristics, deformation time and evolution sequence is of great significance for oil and gas exploration in the southern Junggar basin.
		       
		        
		        
		        
			  
			The southern Junggar Basin underwent strong Cenozoic deformation and formed 3-4 rows of imbricate structures.It presents data on the geometry and kinematics of the imbricate structures in the southern Junggar basin based on analysis of the oil seismic reflection profiles and drilling data. The evolution process of the imbricate structures is restored by computer simulation. In the Cenozoic, thrust faults developed along Triassic mudstone and Jurassic coal, Cretaceous mudstone and Paleogene mudstone, respectively. The deep thrust faults in Mesozoic mudstone developed in Late Paleogene (~ 35 Ma), and the shallow Huo-Ma-Tu fault in Paleogene mudstone occurred in Late Miocene (~ 8 Ma). These faults were stacked and formed imbricate structures with two or three thrust sheets.The fault kinematics controls the transmission of fault displacement to the basin and affects the development and distribution of folds in the southern Junggar basin. The blind folds developed in the eastern section of the southern Junggar basin, where the faults slide to the basin with only ~1.3 km fault displacement. Two rows of folds exposed to the surface developed in the western section, where the faults slide to the basin with ~7-9 km fault displacement. Fault activity is very important for oil and gas migration and enrichment. Determining the structural characteristics, deformation time and evolution sequence is of great significance for oil and gas exploration in the southern Junggar basin.
 
		             
		        







 
 
 PDF 12791KB
PDF 12791KB