Current Issue
The valley landslide disaster chain refers to a series of cascading hazardous events resulting from the complex interactions between landslide masses in river-adjacent areas and fluvial systems among the most common types are landslide-induced tsunami and landslide damming disaster chains. Research indicates that the uncertainties in valley landslide disaster chains mainly stem from three aspects: the uncertainty of disaster-triggering mechanisms, the dynamic unpredictability of the movement processes, and the coupling uncertainty in chain interactions. Current methods for disaster chain identification and susceptibility assessment primarily utilize remote sensing, spatial analysis, and machine learning techniques. However, these approaches often fail to adequately account for cascading effects and spatiotemporal evolution characteristics. Although qualitative, quantitative, and numerical simulation-based methods have been developed for risk assessment, limitations remain due to data scarcity and the lack of large-scale mechanistic analysis tools. Current methodologies often couple individual segments of the disaster chain, but fail to capture its systemic integrity and cascading interactions. Although combined structural and non-structural mitigation measures have been implemented, quantitative evaluations of chain-breaking effectiveness remain underdeveloped. Future research should focus on: developing multi-physics, cross-scale evolution theories of disaster chains; establish a large-scale, continuous multi-field monitoring and multi-source heterogeneous data fusion identification system; constructing a data- and physics-driven full-process risk assessment model for disaster chains; and strengthening precise early warning and systematic chain-breaking mitigation strategies.
To investigate the shear resistance performance and meso-damage mechanisms of herbaceous plant root-soil systems under freeze-thaw cycles, this study focused on wolfsbane root-soil composites. A representative three-dimensional root system model was constructed. The freeze-thaw damage process was characterized by simulating the expansion effect of water-ice particle phase transformation using the discrete element method (DEM). A three-dimensional direct shear numerical model for the root-soil composite was calibrated based on indoor experimental data. The study systematically investigated the influence of freeze-thaw cycle count, shear rate, and normal load on the shear strength, damage mechanisms, and synergistic shear-resistance mechanism of the root-soil composite. The research findings revealed that: (1) The incorporation of roots significantly enhances the shear strength of the soil, with the anchoring effect of vertical roots playing a primary role. Fibrous roots can further augment the three-dimensional reinforcement effect. (2) Loading rate exhibits a positive correlation with both normal load and peak shear strength. However, its impact on the intrinsic pattern of shear strength degradation caused by freeze-thaw damage is relatively minor. (3) Freeze-thaw damage primarily manifests as the deterioration of particle bonding within the specimen, induced by volumetric changes during phase transitions in the freeze-thaw process. This leads to a reduction in interfacial forces between roots and soil during shear, thereby diminishing the soil's shear strength. The results elucidate the interaction mechanism between plant root soil reinforcement and freeze-thaw cycles. They provide a reference basis for the eco-reinforcement design of slope engineering in cold regions, offering significant engineering guidance significance, notably under extreme freeze-thaw scenarios.
Cascading failures of cascade dams significantly amplify downstream life risk due to the flood magnification effect, highlighting the urgent need for a systematic framework for risk assessment and early warning decision-making. This study proposes an integrated analytical framework that couples flood evolution simulation, life loss estimation, and early warning optimization. A two-dimensional hydrodynamic model is employed to simulate cascading dam-break scenarios based on breach parameters of different dam types and high-resolution terrain data. The HURAM model is used to quantify life loss rates across varying risk zones. Furthermore, a response relationship between early warning lead time and total evacuation loss is established to identify the optimal warning strategy. Using the Qingjiang River Basin as a case study, a hypothetical scenario involving three sequential dam failures triggered by a 1-in-1 000-year flood is simulated. The results demonstrate that the proposed framework enables comprehensive life loss risk assessment and informed early warning decisions under cascading failure conditions. Compared to single dam failure, cascading breaches increase peak flood discharges by 8.29% at Geheyan and 47.05% at Gaobazhou. However, due to the influence of upstream dam structures and U-shaped valley topography, local flood attenuation occurs despite upstream water level rise. The two-dimensional model captures terrain and velocity distribution more accurately, resulting in an approximately 5.3% increase in estimated life loss risk relative to the one-dimensional model. To minimize evacuation loss, the optimal early warning time is determined as 3.4 hours before Gaobazhou dam failure, reducing total economic loss to approximately 870 million CNY. The results highlight that the flood amplification effect is constrained by both terrain and dam structure, while life loss is highly sensitive to non-linear interactions with hazard parameters such as water depth. This study provides a practical approach and theoretical foundation for cascading dam failure risk management.
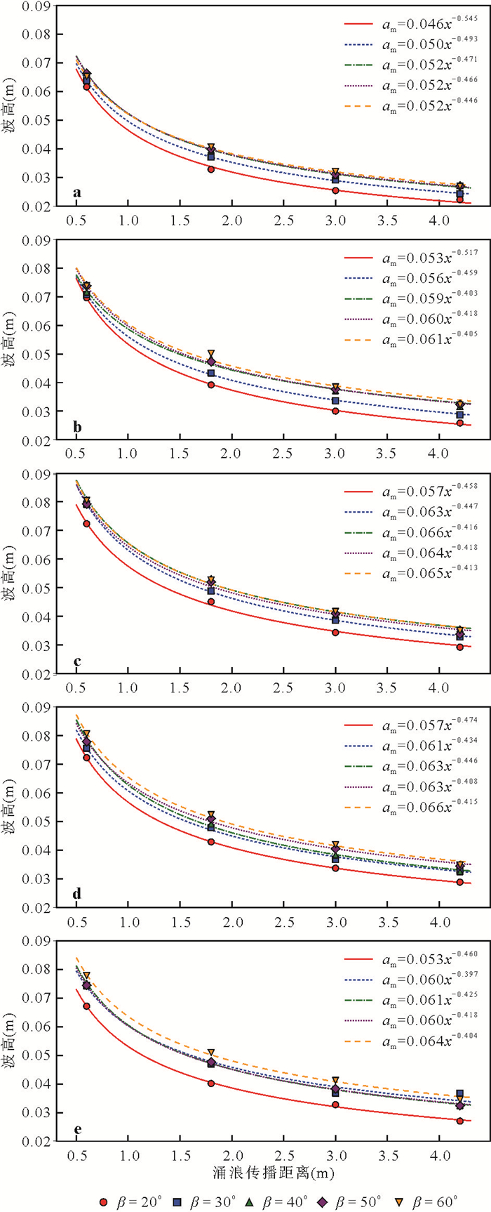
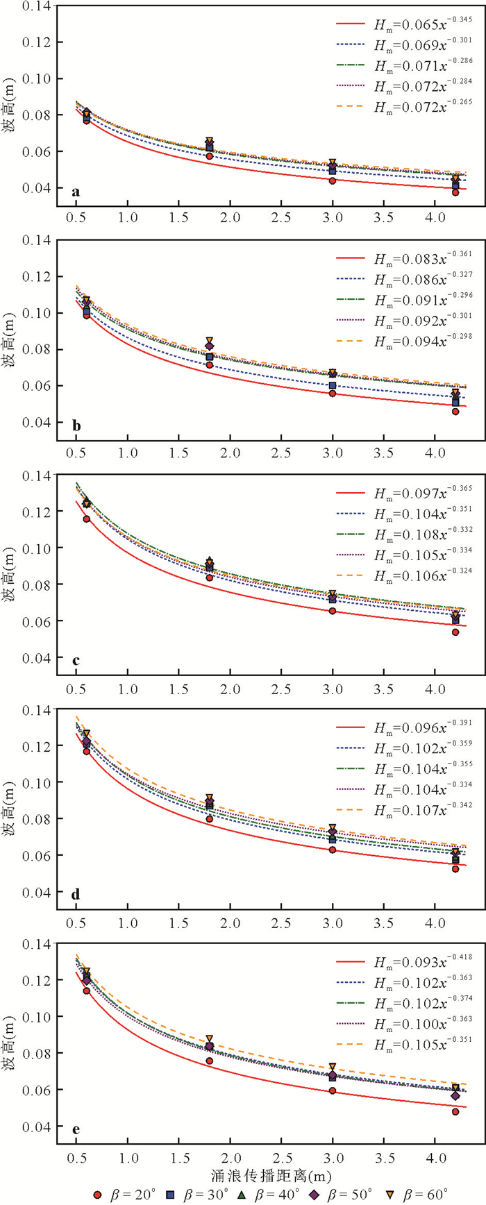
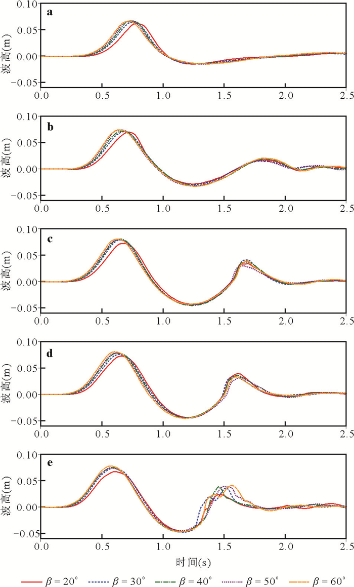
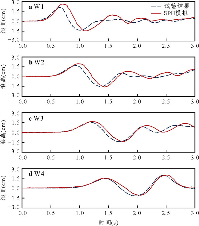
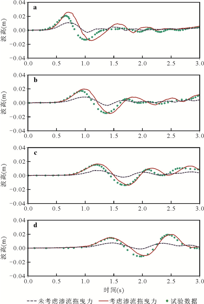
The landslide-tsunami is a typical multi-hazard coupled system, characterized by complex effects resulting from the transmedia transformation of hazards. In this paper it proposes a two-phase Riemann-SPH model for landslide-tsunami simulation that incorporates dynamic seepage and is validated against laboratory experiments. The incorporation of dynamic seepage effects enhances the completeness of the momentum exchange mechanism in the granular landslide-tsunami process, reducing the errors in the maximum wave amplitude (am) and maximum wave height (Hm) by at least 24.72% and 41.95%, respectively. The results reveal a synergistic regulation of tsunami characteristics by the sliding surface inclination (α) and the landslide leading edge inclination (β): as α increases, the am and Hm exhibit a single-peaked, nonlinear increase-then-decrease trend. The influence of β shows a distinct piecewise pattern: when α+β < 90°, both am and Hm increase significantly with the angle. Beyond this threshold, non-monotonic variations appear, reflecting a competition between the increasing landslide volume and the decreasing effective impact area. Moreover, increasing α enhances seepage, turbulent and frictional dissipation effects, accelerating energy decay. These findings provide scientific support for the mitigation of landslide-tsunami hazards.
To investigate the dike stability during the storm surge, this study analyzed the failure modes of the dike under varying water levels and wave heights and the reinforcement mechanisms of the steel sheet piles on the dike based on the flume tests. The experimental results indicate that unreinforced dike failed at low water levels and high wave heights, following a failure process: seepage and overtopping, landward slope sliding, vertical wall tilting, and dike crest scouring. The single-row steel sheet pile kept the dike basically stable by reducing the internal seepage under low water level and high wave height conditions. At high water levels and middle wave heights, the dike eventually failed with a similar failure mode compared to the unreinforced dike. However, the single-row steel sheet pile blocked the headward scour caused by overtopping waves, mitigating the wave scour on the dike crest and generating obvious deformation with a significant increase in the maximum bending moment. The double-row steel sheet piles further reduced seepage and wave scour at high water levels and middle wave heights, and the dike remained stable basically with only several fence panels slipping. At high water levels and wave heights, the seaward pile and landward pile blocked the wave scour on the dike crest caused by waves in front of the dike and wave overtopping behind the dike, respectively, maintaining the dike and vertical wall stability. The maximum bending moments of the double-row steel sheet piles were smaller with deeper locations due to the limitation of the tie rod on the deformation. This research indicated that the single-row steel sheet pile improved the dike stability by reducing seepage and blocking the headward scour caused by wave overtopping. The double-row steel sheet piles reduced seepage and headward scour more effectively and blocked the wave scour in front of the dike, making the dike crest remain stable under the most extreme conditions.
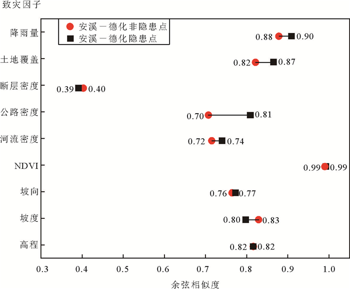
Riverside highway zones are prone to high risks of geohazards such as landslides due to proximity to water bodies, steep terrain, and frequent anthropogenic activities. However, current single-source domain transfer learning methods face limitations in geohazard susceptibility prediction when significant discrepancies exist between source and target domains in hydrogeological conditions (e.g., river density, rainfall intensity) and engineering disturbances (e.g., highway construction), often leading to negative transfer issues and reduced model generalizability. This study proposes a multi-source domain transfer learning framework based on a multiple feature spaces adaptation network (MFSAN). Focusing on three riverside highway zones in Fujian Province, China, nine environmental factors (including highway density and river density as core hydrogeological features) were extracted to construct a landslide spatial database. The susceptibility models from Anxi County (source domain 1) and Dehua County (source domain 2) were transferred to Youxi County (target domain) with unlabeled samples for cross-regional landslide susceptibility evaluation. Comparative analyses were conducted against non-transferable learning models (NTL) and single-source domain adaptive models (domain adaptive neural network, DANN). The results demonstrate: (1) The MFSAN model achieved a cross-regional prediction accuracy of 0.851, outperforming single-source transfer models with improvements of 3.61% in accuracy, 1.91% in AUC, and 9.64% in overall assessment metric (OA). (2) Historical landslide validation revealed that 79.2% of landslides occurred within high-to-extreme susceptibility zones predicted by MFSAN, the highest among all models. (3) MFSAN exhibited superior capability in capturing hydrogeological coupling effects unique to riverside environments. For instance, the concentration of hazard-prone sites within 3 km of highways (70%-83%) was accurately reflected in predictions. The MFSAN framework effectively integrates spatial features and disaster development patterns from multiple source domains, comprehensively capturing regional heterogeneity and providing an optimized solution for cross-regional geohazard susceptibility prediction. This approach demonstrates enhanced generalization capability and practical value for mitigating landslide risks in complex engineering environments.
In October and November 2018, two large-scale high-altitude long-runout landslides successively occurred in the central section of the Jinsha River tectonic mélange belt, triggering a cascade disaster chain of landslide-dammed lakes. The source areas of these landslides were located at Baige Village, Jiangda County, Changdu City, Tibet Autonomous Region. This study focuses on the long runout movement characteristics of the Baige landslide. It investigated the topographic features of the landslide area through unmanned aerial vehicle (UAV) surveying. Laboratory microscopic characterization was used to analyze the lithological properties of the mélange rock. The ambient noise dispersion measurements were used to explore the spatial structure of the mélange rock mass in the source area, combined with the high-speed undrained ring shear test to analyze the dynamics of the sliding zone material.This study reveals follows. (1) The mélange rocks of the source area are primarily composed of chloritized metamorphic siltstone and illitized metamorphic slate. These rocks contain a high proportion of clay minerals, which are prone to weathering when exposed to water, leading to a reduction in strength. (2) The spatial distribution of blocks within the mélange rock mass significantly affects the formation and shape of sliding zones. Sliding zones tend to form along zones of weakness in both the blocks and the matrix, exhibiting a failure mode characterized by block-bypassing mechanisms.(3) The saturated sliding zone sample generates high pore-water pressure during undrained rapid shear process, resulting in significant strength degradation. Its peak shear strength and residual strength are 67% and 60% of that under dry conditions, respectively.The results demonstrate that the combination of the spatial structure and strength deterioration characteristics of mélanges is a key factor causing the frequency of high-altitude long runout landslides in this region. The shear strength characteristics of mélanges controlled the long-runout movement of the landslide.This research provides a foundation for the subsequent potential deformation and failure of the Baige landslide slope. It also offers valuable insights for slope stability analysis and landslide disaster prevention in tectonic mélange areas.
The composite structure of anti-slide pile and anchor cable can give full play to the rigid constraint of anti-slide pile and the active tension of anchor cable to control slope deformation, showing good seismic performance, and has been widely used in landslide prevention in strong earthquake areas. However, at present, there is little research on the seismic dynamic response of slope strengthened by pile-anchor composite structure, and its cooperative seismic mechanism is not clear. Based on Newmark model, this paper presents a dynamic response analysis method of slope strengthened by pile-anchor composite structure considering earthquake time-history characteristics. The method is applied to the high slope of Shandong expressway, and the permanent displacement, safety factor and internal force of supporting structure of the slope with different reinforcement methods are analyzed. The results show that the pile-anchor composite structure effectively reduces the permanent displacement of the slope and ensures the stability of the slope. Compared with only anchor support and only pile support, the maximum anchorage tension at the anchorage end, the maximum shear force and the maximum bending moment of the pile body are reduced. With the increase of cohesion and internal friction angle, the yield acceleration of slope increases in direct proportion, while the permanent displacement transitions from sharp decrease to slow decrease, in which the influence of cohesion is more significant. By forming an active stress system, the pile-anchor composite structure increases the yield acceleration of the slope, realizes the coordinated stress of the pile and the anchor cable, and prevents excessive stress concentration near the sliding surface, which is an efficient reinforcement method.
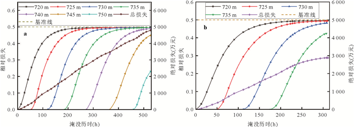
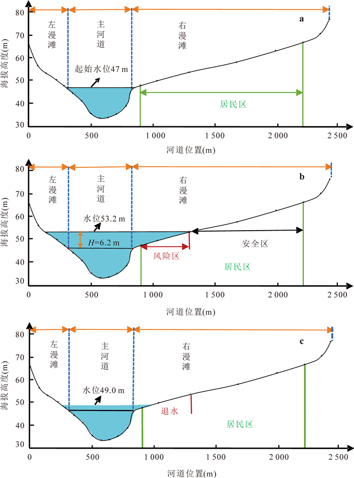
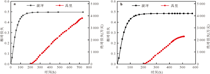
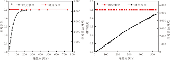
The upstream backwater inundation triggered by landslide dam formation often leads to severe destruction of fixed assets such as buildings. Due to the dynamic nature of upstream water levels, traditional loss assessment methods exhibit significant uncertainty. To address this, in this paper it proposes a dynamic water level inundation loss assessment method that integrates the impacts of both inundation depth and duration. Taking the Tangjiashan landslide dam as a case study, this research first utilizes time series analysis and the DABA model to simulate the dynamic water level fluctuation process. Subsequently, a dual-factor (water depth-duration) vulnerability function for buildings under varying temporal water depth conditions is constructed. Finally, a quantitative assessment of economic losses is achieved. The results demonstrate that elevation is the key factor determining the inundation sequence of buildings, while terrain type and flood release velocity dominate the loss accumulation rate and its spatial distribution pattern. Specifically, losses accumulate rapidly in flat, low-elevation areas (e.g., Xuanping Township) during the initial inundation phase (first 100 hours), whereas sloping, higher-elevation areas (e.g., Yuli Town) exhibit a slow, linear increase trend. Artificially excavated drainage channels significantly reduce total losses in sloping areas (e.g., approximately 40% reduction in Yuli Town), but their mitigating effect is limited in low-lying areas. Compared to the fixed water level model, the time-varying water level model proposed herein demonstrates superior accuracy in loss assessment within topographically complex regions. Artificially induced flood release shows significant disaster mitigation benefits compared to the natural dam breach mode. This study provides a theoretical foundation and technical pathway for the dynamic assessment of economic losses due to upstream inundation caused by landslide dams, and offers a quantitative decision support tool for emergency response engineering.
The Bailong River Basin is situated between two major left-lateral strike-slip faults: the East Kunlun Fault and the West Qinling Fault. Its unique geological setting makes it one of China's regions most prone to and severely affected by geological disaster chains, presenting an extremely critical situation for disaster prevention and mitigation. Based on data collection, remote sensing interpretation, and field surveys, this study established a database of 132 large-scale landslide disaster chains and systematically investigated their developmental characteristics, distribution patterns, and formation mechanisms. The research findings indicate: (1) All landslide bodies are large-scale or larger, exhibiting significant scale effects. Landslides within the 1 000×104 -5 000×104 m3 range account for 40.2% in number and 44.8% in total volume. High-position accumulation landslides predominate, with 24.2% displaying a "three-segment" anti-sliding topography. Landslides developed in the Devonian and Silurian soft-hard interbedded strata prone to sliding constitute 65% of the total landslide area; (2) Deformation is primarily characterized by multistage retrogressive deformation (often with local tension cracking-push deformation), progressive thrust-type landslides along fracture zones, and composite large-scale accumulation landslides. Over 60% possess long-runout mechanisms, exhibiting features of high-intensity granular flows dominated by long-duration creep; (3) Spatially, the landslides exhibit a banded concentration along major active faults and linear distribution along river systems. 54.6% occur within 2 km of fracture zones, concentrated at fault offsets, bends, terminations, and intersections. Sliding directions are mostly parallel to fault strikes, with regional distribution controlled by NWW-NW trending and NE trending faults, coupled with the river network.(4) Their formation and development are primarily controlled by active faults, landslide-prone strata (including phyllite), and the differential mid-high mountain gorge topography. Regional long-duration (5-15 days) heavy rainfall is the main triggering factor, exhibiting a lag effect. The frequency and scale of disasters increased significantly 1.5 to 5 years after earthquakes. The research results provide important guidance for enhancing the understanding of the formation mechanisms of catastrophic landslide disaster chains in the northeastern margin of the Tibetan Plateau and improving disaster prevention and mitigation capabilities.
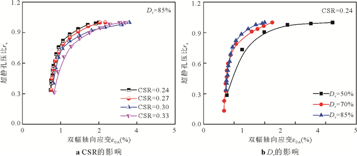
The accumulation of excess pore pressure in coral sand under seismic loading until liquefaction is a key factor leading to structural damage. A series of undrained cyclic triaxial tests were conducted in this study to investigate the effects of geogrid reinforcement layer, relative density (Dr) and cyclic stress ratio (CSR) on the development of excess pore pressure and axial strain in reinforced coral sand. The results indicate that geogrid reinforcement as well as an increase in the number of geogrid layers reduce the development rate of excess pore pressure and axial strain, thereby improving the liquefaction resistance of coral sand. The pore pressure of coral sand is much higher than that of siliceous sand under the same cyclic vibration ratio, and the pore pressure development curve of reinforced coral sand gradually transitions from an S-type to a hyperbolic type with the increase of cyclic stress ratio, thus the classic Seed pore pressure stress model is difficult to describe its pore pressure development trend. Based on the above findings, a strain-based excess pore pressure development model for geogrid-reinforced coral sand is proposed. This model accurately predicts the development trend of excess pore pressure in reinforced coral sand under different Dr and CSR, which provides a theoretical basis for the seismic design of infrastructure and stability analysis using effective stress in coral sand island reef area of the South China Sea.
In this study, a typical granular column collapse scenario is investigated using a numerical approach that couples computational fluid dynamics (CFD) with the discrete element method (DEM). Granular columns with varying fractal dimensions—used to characterize PSD—are simulated in different fluids to examine the influence of PSD on flow behavior and energy evolution across distinct flow regimes. The results show that as the ambient fluid gradually changes from air to low-viscosity fluid and then to high-viscosity fluid, the runout distance of the granular systems decreases by about 40% compared to dry conditions, and the mobility is significantly weakened. In free-fall and inertial regimes, the mobility difference between systems with different fractal dimensions is only about 1%, whereas in viscous regimes, the system with a higher fractal dimension shows a significant movement delay and the mobility is reduced by 11%. This reduced mobility can be attributed to the increased presence of fine particles, which enhance energy dissipation under low Stokes number conditions. Permeability tests further reveal that mobility is primarily governed by the initial permeability of the immersed granular system-lower permeability corresponds to reduced mobility.
Layered rock slopes are widely distributed in southwest China and are highly susceptible to instability and landslides under seismic loading. Prestressed anchor-anti-sliding pile composite support is one of the most commonly used reinforcement measures, yet its seismic response mechanism is complex, and refined seismic design methods for rock slopes based on damage evolution remain insufficient. To address this, a PLAXIS numerical model of a prestressed anchor-anti-sliding pile composite structure was established for a representative rock slope in Sichuan Province. The seismic response patterns of key parameters, including pile position, length, spacing, and anchor prestress and spacing, were investigated. The HHT-based marginal spectrum method was employed to analyze damage development mechanisms and evaluate the seismic effectiveness of optimized reinforcement layouts. The main findings are as follows. (1) Displacement response analysis indicates that seismic damage is most likely to occur near the upper and lower ends of the sliding surface. Grouting and localized anchorage densification are recommended in these zones. (2) The region around 0.3 L-0.4 L of the anti-slide pile is identified as the seismic damage core zone. Extending pile length and optimizing pile spacing can help reduce the risk of tensile failure in anchors and enhance overall bearing capacity. (3) Anchors are more prone to failure than piles in the combined support system. Increasing prestress improves anchor synergy. A differentiated layout strategy—densifying anchor distribution by 30% in seismic-prone zones and relaxing it in stable areas—can optimize load transfer and reduce slope surface response. (4) Marginal spectrum analysis from an energy-based perspective further confirms the effectiveness of the "localized reinforcement, overall coordination" strategy. This approach suppresses seismic damage near the upper slope and reduces the marginal spectral amplitude by approximately 48%. Therefore, the findings provide theoretical and practical guidance for seismic support design of rock slopes in earthquake-prone regions.
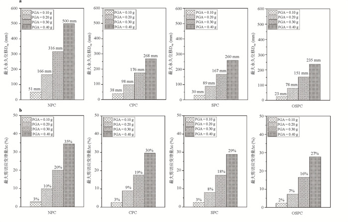
The seismic stability of rock slopes is a critical scientific issue in engineering construction in meizoseismal areas. Given the vulnerability of conventional retaining structures to failure under strong earthquakes, the development and optimization of seismic-resistant support structures have become a key research focus in engineering geology. This study investigates a soft-hard interbedded bedding rock slope along an expressway in Ludian County, Yunnan Province. Based on a self-developed seismic pile-cable (SPC) composite structure, simplified numerical models are established using the finite difference method FLAC3D to systematically optimize and evaluate the dynamic performance of the SPC composite structure. Key support parameters are selected for optimization, including those of the energy-dissipating anchor cable system and the composite anti-slide pile system. A parametric sensitivity analysis and stepwise optimization approach are employed, followed by a comprehensive assessment of the optimized seismic pile-cable (OSPC) composite structure from the perspectives of slope stability, seismic resistance, and economic efficiency. The results demonstrate that the OSPC composite structure exhibits superior seismic performance and cost-effectiveness compared to conventional pile-cable (CPC) and SPC composite structures. Specifically, it reduces the maximum permanent displacement and maximum shear strain increment of the slope by 53% and 24%, respectively, while decreasing the pile-top displacement of front and rear anti-slide piles by 85% and 99%, and additionally, the material consumption for concrete and anchor cables is reduced by 34% and 3%. The findings provide theoretical support for the seismic design of bedding rock slopes in meizoseismal areas, offering significant engineering application value.
In order to clarify regional snow and avalanche conditions, the snow density along two typical highway lines in the Kanas avalanche area in January 2024 was measured. Based on the characteristics of dry and cold snow under the continental climate conditions of Northwest China, the density of naturally deposited snow and avalanche deposition is compared. The different characteristics of the density profiles at different conditions are identified. The results show that the trends of snow density profiles under the different conditions share similarities, but the density gradient and the maximum density change significantly from naturally deposited snow to avalanche deposition. Therefore, based on the characteristics of the vertical density profile and the maximum snow density, it can be identified whether a snow deposition is from natural snowfall or an avalanche. The outcomes provide a scientific basis for the analysis and identification of natural snow and avalanche deposits in the field.
This study adopts a bidirectionally coupled SPH numerical model to accurately simulate the full evolution of a landslide-dammed lake disaster chain. The model captures large deformation of the landslide body using the Drucker-Prager criterion and achieves water–soil coupling through mixture theory and nonlinear seepage drag forces. Validated against laboratory experiments, the model successfully reproduces the Baige landslide disaster chain, with simulation results closely matching field observations. Results show that the processes of landslide motion, impulse wave generation, and dam formation can be clearly delineated by the evolution of landslide velocity and energy. Quantitative analysis reveals that increasing the internal friction angle φ from 5° to 20° leads to a linear decrease in dam length, a power-law increase in dam height, and a significant reduction in wave height. The peak wave height exhibits a linear correlation with the landslide Froude number at impact. These findings highlight the systematic influence of landslide material properties on disaster chain dynamics and offer theoretical support for hazard prediction and risk assessment in mountainous river basins.
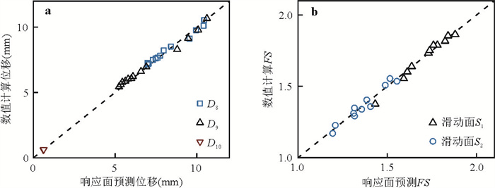
The identification of geological structures and the quantification of uncertainties in strength parameters are crucial for assessing the stability of rock slopes. This study proposes a system reliability analysis method for multi-slip surface slopes based on geological structure detection. The method integrates multichannel analysis of Love waves (MALW) and first-arrival travel time tomography (FATT) to achieve complementary detection of weak layers and faults. Elastic wave velocities are used to reduce the strength parameters of weak layers, and their probabilistic distributions are statistically derived. By incorporating parameter uncertainties, the surface displacement of slopes and the failure probabilities of individual slip surfaces and the entire system are calculated. Case studies indicate that multi-mode dispersion curves achieve higher inversion accuracy for both deep and shallow weak layers compared to fundamental-mode dispersion curves, and Love waves are less affected by undulations at rock layer interfaces than Rayleigh waves. Slope faults exhibit characteristic wave fluctuations within specific ranges in first-arrival travel time records. Inversion based on these features enables the localization of local faults.In the case of multi-slip surface slopes, deep slip surfaces are identified as the primary controlling factor, and the system failure probability is more significantly affected by the coefficient of variation of the internal friction angle than by cohesion. This method effectively detects geological structures, locates weak layers and faults, and quantifies uncertainties in strength parameters, providing a scientific basis for slope stability analysis and mitigation measures.
This study aims to evaluate the applicability of existing seismic ground motion zoning maps in earthquake risk assessment for active fault zones under complex tectonic settings and improve the accuracy of seismic hazard analysis. Focusing on the affected area of the 2022 Ms 6.8 Luding earthquake in the Sichuan-Yunnan region, probabilistic seismic hazard analysis (PSHA) was conducted using the OpenQuake platform. Through seismic catalog processing, magnitude conversion, source parameter estimation, and fault modeling, a regional seismic model incorporating both background seismic sources and fault sources was established. Multiple ground motion prediction equations (GMPEs) suitable for active shallow crustal tectonics were selected to generate seismic motion parameter distribution maps and exceedance probability analysis results. The findings demonstrate that OpenQuake-simulated ground motion distributions align fundamentally with China's fifth-generation seismic ground motion zoning map, particularly showing enhanced accuracy in identifying high peak ground acceleration (PGA) zones. As PGA thresholds increase, high-exceedance probability areas gradually diminish and concentrate near major faults. By adopting 0.1 magnitude increments, this research avoids the underestimation of seismic moment release rates observed in the fifth-generation zoning map. Furthermore, results indicate concentrated strong earthquake risks in fault intersection zones, suggesting these areas should be prioritized for monitoring and protective measures.
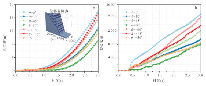
The instability of fractured rock slopes is a major geological disaster, and its failure involves the coupling process of crack initiation, propagation and slip. Traditional numerical methods are unable to simultaneously simulate continuous fracture and discontinuous contact, and they have limitations such as grid distortion and complex parameter calibration. A three-dimensional SPH algorithm based on strength reduction and kernel function improvement is developed to simulate the entire process of fracture, crack propagation and contact slip of three-dimensional fractured rock mass slopes. In the improved three-dimensional SPH method, the determination of crack germination was achieved through strength reduction and the Mohr-Coulomb violation criterion with tensile truncation. The crack propagation of rock mass was realized by introducing damage marks in the improved kernel function. Subsequently, the three-dimensional contact criterion of damage particle dots was introduced to construct the three-dimensional contact force between intact particles and fractured particles. Firstly, three-dimensional uniaxial compression tests were adopted to verify the feasibility of the algorithm, and the brittle fracture characteristics of single-fracture rock masses with different inclinations were determined. Subsequently, the improved SPH method and the strength reduction theory were applied to multi-joint rock slopes considering different joint inclination angles to simulate the failure process of three-dimensional fractured rock landslides and evaluate their stability. The research results show that the improved SPH method based on strength reduction has the advantages of high computational efficiency, less parameter calibration and high accuracy in simulating the failure and stability of three-dimensional fractured rock slopes. Moreover, this method can be used to evaluate the stability of other rock slopes with structural planes.
The occurrence of microseisms in metal mines is closely related to the spatio-temporal evolution of in-situ stress fields and microfractures. The microseisms recorded at the Fankou Lead-Zinc Mine in Shaoguan, Guangdong Province, exhibit a notable characteristic: they mostly occur around the pre-existing faults in the mining area rather than concentrating on the fault zones themselves. This phenomenon may be attributed to the fact that pre-existing faults affect stress accumulation in their surrounding areas, which in turn induces microfractures and triggers microseisms. To verify this hypothesis, this study innovatively applies a meter-scale, high-resolution 3D geodynamic numerical simulation of thermo-mechanical coupling. By considering the underground temperature structure, the study systematically investigates the controlling effect of pre-existing faults on the distribution of the surrounding stress field during the forward evolution process, and further explores the possibility of microseism occurrence. The simulation results show that pre-existing faults disturb the distribution of stress fields, forming high-stress zones in their surrounding areas, which may subsequently induce microfractures and lead to microseisms. Factors such as the width, number, geometric shape, and dip angle of pre-existing faults all influence the distribution of the stress field around them, but they do not alter the characteristics of high-stress zone formation in the vicinity of pre-existing faults. Based on the simulation results, this study concludes that the disturbance of stress fields by pre-existing faults (which leads to the formation of high-stress zones around them) is a potential cause for the triggering of microseisms at the Fankou Lead-Zinc Mine in Shaoguan, Guangdong Province. This conclusion reasonably explains the characteristic that microseismsic in the Fankou mining area mostly occur outside the fault planes. It is suggested that microseismic monitoring should be strengthened at the intersection of Fault F3 and the stratum, so as to provide a reference for the prediction of microseismic hazards in mines.
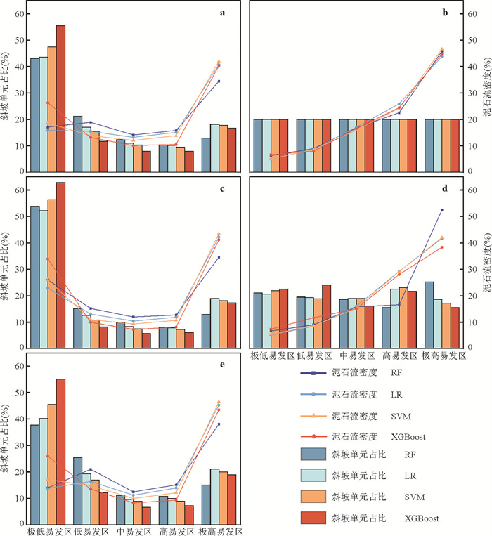
To improve the reliability of the debris flow-prone zones in the Bailong River Basin, a PU-Bagging negative sampling model based on the random forest as the base learner is established. Evaluation factors such as elevation and precipitation were selected, and logistic regression, random forest, support vector machine and XGBoost algorithms were used to construct an evaluation model for the susceptibility of debris flows in the Bailong River Basin. Based on the evaluation indicators derived from the confusion matrix, the ROC curve and five classification methods, the performances of the four models were compared and analyzed, and the contribution degree of the evaluation factors to the model was analyzed by using SHAP. The results show follows. (1) The disaster identification accuracy of the support vector machine model combined with the geometric interval classification method has increased by 24%. (2) The random forest model can identify more potential debris flow samples, while the XGBoost model can reduce the misjudgment of non-disaster samples. (3) The sensitivity of SHAP values to elevation changes indirectly reflects the importance of height differences for the development of debris flows. This research can provide data support for the planning of the new urbanization construction and debris flow prevention and control project in the Bailong River Basin.
Public safety serves as the foundation for human social development. Enhancing the capability to respond to disaster chains safeguards socio-economic activities and protects lives and property. Currently, variable climate patterns pose severe threats to exposed elements via typhoon-collapse disaster chains. This research employs knowledge graph technology, artificial intelligence techniques, and integrates the expert scoring method to analyze, and investigate the correlations and structural systems between exposed elements—such as personnel, buildings, transportation, and property—within typhoon-collapse disaster chains. It innovatively constructs a risk assessment model for these disaster chains. The model's outcomes were validated through case studies of Typhoon Doksuri and a highway slope collapse at Yunmeng Mountain. Findings demonstrate that the model effectively supports risk assessment for typhoon-collapse disaster chains, improving assessment accuracy and reliability. This provides novel methodologies and insights for disaster risk management in the field of public safety.
The Tibetan Plateau is the area with the most active interlayer interactions, the strongest coupling effect of internal and external forces, the most sensitive to global climate change, and the most intense geological hazard activity, which is characterized by significant synergism of tectonic-climatic-geohazards and globally recognized as a natural laboratory for studying rock avalanche dynamics. To explore the extremely high mobility of rock avalanches, our team has been dedicated to the geological investigation and dynamic analysis of rock avalanches in the Tibetan Plateau and its adjacent areas for many years. Based on the previous study, it first elucidates the terminological origin and the main characteristics of rock avalanches. Subsequently, the new discoveries, understandings and perspectives reached by the team based on more than two decades of systematic research on rock avalanches across the Tibetan Plateau is introduced, i.e., revealing the essence of rock avalanche volume effect, proposing the new viewpoints that rock avalanche should be a cataclastic flow, proposing the self-excited vibration effect, and building the emplacement models of rock avalanches under varying conditions. The finding and proposition of these achievements systematically exhibit the research paradigm from field geological observations to theoretical framework establishment for rock avalanche dynamics. Finally, it summarizes critical insights for rock avalanche study based on previous work, hoping to provide scientific references for advancing rock avalanche research and formulating corresponding risk mitigation strategies.
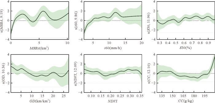
On March 15, 2024, an extensive forest fire occurred in Yajiang County, Sichuan Province. In the first post-fire rainy season, hundreds of post-fire debris flows (PFDFs) were triggered, providing a valuable dataset for studying PFDFs in southwestern mountainous regions. This study developed PFDF susceptibility and volume prediction models based on field investigations, UAV imagery, satellite remote sensing, and rainfall data. The models were constructed using the PFDF event database from the burned area of Yajiang County on March 15, 2024, and were subsequently applied to hazard prediction for two burned areas: Chengxiang Village (December 9, 2024) and Muzexi Village (February 2, 2025). The results show follows. (1) The optimal Random Forest susceptibility model achieved an AUC of 0.905 and an accuracy of 0.950. For the Chengxiang and Muzexi burned areas, 10 and 22 catchments, respectively, were classified as extremely high or high susceptibility, accounting for 48.57% and 73.68% of their total watersheds. (2) The optimal factor combination for the volume prediction model included hourly rainfall intensity, percentage of catchment area with slopes exceeding 30°, soil clay content, gully density, normalized difference vegetation index (NDVI), and the moderate and severe burned area. The generalized additive model for volume prediction achieved an R2 of 0.65. Under Q25%, Q75%, and P20% rainfall scenarios, the proportion of catchments in Chengxiang with debris flow volumes exceeding 200 m3 was 2.86%, 25.72%, and 34.29%, respectively, while in Muzexi, the proportion of catchments with volumes exceeding 1 000 m3 was 0%, 15.79%, and 63.16%, respectively. Debris flow volumes in Chengxiang are generally smaller, but the area contains a high density of vulnerable elements, with catchments CX05, CX08, CX13, and CX25 posing significant hazards. In contrast, debris flows in Muzexi tend to have larger volumes, with catchments MZX02 and MZX04 identified as high-risk areas.
On June 16, 2024, an extreme rainfall event occurred in the Fujian-Guangdong-Jiangxi junction area, triggering tens of thousands of landslides and causing significant casualties and property losses. This study aims to rapidly identify the characteristics and driving factors of landslides to provide data support for disaster forecasting, early warning, and risk management. Post-disaster optical imagery was used for intelligent landslide identification, supplemented by on-site validation, to analyze the spatial distribution and developmental characteristics of the landslides. The study further investigated the driving factors by integrating the meteorological, ecological factors, geological conditions topographic features. The results reveal a total of 35 407 landslides, covering an area of approximately 41.27 km2, predominantly small-scale and concentrated in mountainous areas where rainfall exceeded 250 mm. Natural landslides exhibited relatively regular shapes and higher mobility, while landslides induced by engineering activities showed more complex shapes and lower mobility. The distribution of landslides was significantly influenced by the meteorological, ecological factors, geological conditions and topographic characteristics. Natural landslides were primarily controlled by topography, whereas engineering-induced landslides displayed greater randomness. This study deepens the understanding of the characteristics and driving mechanisms of clustered landslides, providing valuable scientific guidance for disaster prevention, mitigation, and relief efforts.
Aiming at the current problem of knowledge extraction and utilization from text reports in landslide prevention and control work, this study explores a set of methods for constructing and applying a knowledge graph based on geological disaster data and materials, promoting the transformation of geological disaster prevention from data management to knowledge management. Knowledge extraction and knowledge graph construction were conducted on basic data from 182 reports, 22 specifications, 5 literatures, 4 668 landslide points, and 313 governance projects, as well as three years of historical disaster data, current landslide monitoring data, and forecasted weather data. Retrieval-augmented generation (RAG) technology was adopted to integrate and output multi-source knowledge. A knowledge graph system with 12 797 entities, 34 873 relationships, and 9 658 chunks was established, enabling 10-day early warning for 4 518 landslides. Knowledge graph technology effectively extracts knowledge from text reports, and RAG technology efficiently integrates multiple knowledge sources, improving the accuracy of knowledge question-answering.
In order to investigate the microscopic damage mechanism of the degradation of the properties of freezing-thaw (F-T) damaged moraine soils, a method of simulating F-T damage of soils through water particle expansion is proposed based on the discrete element theory. Using the particle flow software PFC2D to simulate the triaxial compression test, combined with the comparative analysis of the test results, this method is accurate and reliable in modeling the changes in mechanical properties of moraine soils and reveals the evolution of microcrack; displacement field; force chain field and rupture characteristics of F-T moraine soils during the loading process. The results show follows (1) The microcracks in the F-T process show a trend of "cumulative evolution" that arises from the surrounding area and gradually expands to the middle, and the tensile microcracks are dominant; at 2-5 times of F-T processes, horizontal compression between particles dominated and a large number of tension microcracks inclined at 90° were developed. (2) The deterioration of moraine properties caused by F-T is particularly obvious in the early freeze-thaw period (2-5 times), the cohesion c decreases as a negative exponential function with the number of F-T cycles, while the internal friction angle φ shows a small fluctuation. (3) The specimen loaded process is dominated by shear cleavage, with the trend of "first slow, then steep, and finally slow" evolution, and the stress-strain curve is divided into four deformation stages according to the evolution characteristics. (4) When the sample is loaded after freeze-thaw, the transition point B of deceleration slope moves before the peak stress point C, indicating that point B can be used as a "precursor feature" in the process of microcrack expansion-through-formation failure; The specimen with 20 F-T cycles were more severely damaged when loaded and formed distinct shear zones.
The tectonic uplift of the northern foothill of the Qinling Mountains is of great significance for understanding its geological and ecological evolution. With the advancement of geological exploration techniques and the deepening of regional geological studies, more details of the tectonic uplift processes of the northern foothill of the Qinling Mountains have been gradually revealed. According to published low-temperature thermochronological data, at least three major cooling and exhumation episodes are revealed since the Late Cretaceous: a slow cooling during the Late Cretaceous (95-75 Ma), with a cooling rate of 2.8 °C/Ma and an exhumation rate of 0.12 km/Ma, a rapid cooling during the Eocene-Oligocene (47-27 Ma), with a cooling rate of 6.1 ˚C/Ma and an exhumation rate of 0.24 km/Ma, and a continuing slow cooling since the Late Miocene(10 Ma), with a cooling rate of 2.1 ˚C/Ma and an exhumation rate of only 0.083 km/Ma, with the cooling and exhumation migrating towards the northeast. This migration trend is closely related to the tectonic expansion of the northeast margin of the Tibetan Plateau at about 10-8 Ma. Meanwhile, the adjacent Weihe Basin has been undergoing rapid sedimentation and subsidence since the Late Miocene (7.3 Ma), forming a distinctive tectonic response to the uplift of the northern foothill of the Qinling Mountains, which further confirms the linkage and synergistic evolution of the regional tectonic activities in the context of the northeastern margin of the Qinghai-Tibetan Plateau. These results indicate that the tectonic uplift of the northern foothill of the Qinling Mountains and the sedimentary evolution of the neighboring Weihe Basin since the Cenozoic have been influenced by the northeastern expansion of the Qinghai-Tibetan Plateau. These results not only provide key thermochronological constraints for the study of regional tectonic dynamics, but also provide a basis for further discussion of the geological evolution of the northern Qinling Mountains and its tectonic relationship with other regions.
		            
		        







 
PDF 7087KB