2020 Vol. 45, No. 4
column
- Geosciences and Health
- Paleontology and Paleoecolog
- Mineralogy·Petrology·Mineral Deposit
- Mineralogy·Petrology·Mineral Deposits
- Mineralogy Petrology MineralDeposit
- Mineralogy·Petrology·MineralDeposit
- Sedimentology and Basin Dynamics
- Petroleum, Natural Gas Geology
- Structural Geologyand Active Tectonics
- Geochemistry
- Marine Geology
- Hydrogeology·Engineering Geology·Disaster Geology
Display Method:
2020, 45(4): 1093-1102.
doi: 10.3799/dqkx.2020.060
Abstract:
The One Health concept is a new holistic approach of health research and management by integrating interdisciplinary and cross-sectoral resources and provides new perspectives for innovative development of medical geology. In an era of unprecedented importance for human society to prevent and control pandemics, medical geologists should be involved in studying the genetic links between Earth material cycling, ecosystem resilience and the onset and transmission of diseases. There are three scientific challenges for medical geology studies:to understand the cycling of Earth materials deleterious or beneficial for human beings and animals and to assess their health risks; to reveal the geo-environmental factors and processes related to pandemics and to explore mitigation approaches; and to identify and assess the distribution, transport and health risks of emerging contaminants and pathogens. To respond effectively to these challenges, it is necessary to integrate innovative resources, advocate and support convergence and promote medical geology survey programs with coordinated interdisciplinary involvement, and to enforce the construction of research platforms and improve quality of professional education.
The One Health concept is a new holistic approach of health research and management by integrating interdisciplinary and cross-sectoral resources and provides new perspectives for innovative development of medical geology. In an era of unprecedented importance for human society to prevent and control pandemics, medical geologists should be involved in studying the genetic links between Earth material cycling, ecosystem resilience and the onset and transmission of diseases. There are three scientific challenges for medical geology studies:to understand the cycling of Earth materials deleterious or beneficial for human beings and animals and to assess their health risks; to reveal the geo-environmental factors and processes related to pandemics and to explore mitigation approaches; and to identify and assess the distribution, transport and health risks of emerging contaminants and pathogens. To respond effectively to these challenges, it is necessary to integrate innovative resources, advocate and support convergence and promote medical geology survey programs with coordinated interdisciplinary involvement, and to enforce the construction of research platforms and improve quality of professional education.
2020, 45(4): 1103-1114.
doi: 10.3799/dqkx.2019.136
Abstract:
The bioturbation plays a critical role in modern marine biogeochemical cycling. It influences the character of benthic communities, decomposition rate of organic matter, chemical properties of seawater, redox properties of sediment and nutrient recycling. Abundant bioturbated structures dominated by Thalassinoides occur in carbonate rocks of the Cambrian Series 2 Zhushadong Formation in Dengfeng area of west Henan. The determination of carbon and nitrogen isotopes can help us to understand the influence of bioturbators reworking to sediment biogeochemical cycling. The determination results show that there is a great difference of δ13Ccarb value between the Thalassinoides burrow fillings and matrix, and it also displays a dramatic difference in different bioturbated intensity. But there exists a weak difference of δ13Corg and δ15N values between the Thalassinoides burrow fillings and matrix. The results mean that the sediment reworking of bioturbation can greatly change the redox property, porosity and permeability of sediments. The changes may be related to the decrease of the proportion of authigenic carbonates caused by the increase of oxygen content in sediment pore water and enhancement of dolomitization during diagenesis. The sediment mixing and reworking formed by Thalassinoides bioturbators not only have significantly changed the primary physical and chemical information and promoted the biogeochemical cycle between seawater and sediments, but also may have efficiently triggered the substrate revolution, acting as ecosystem engineers as well.
The bioturbation plays a critical role in modern marine biogeochemical cycling. It influences the character of benthic communities, decomposition rate of organic matter, chemical properties of seawater, redox properties of sediment and nutrient recycling. Abundant bioturbated structures dominated by Thalassinoides occur in carbonate rocks of the Cambrian Series 2 Zhushadong Formation in Dengfeng area of west Henan. The determination of carbon and nitrogen isotopes can help us to understand the influence of bioturbators reworking to sediment biogeochemical cycling. The determination results show that there is a great difference of δ13Ccarb value between the Thalassinoides burrow fillings and matrix, and it also displays a dramatic difference in different bioturbated intensity. But there exists a weak difference of δ13Corg and δ15N values between the Thalassinoides burrow fillings and matrix. The results mean that the sediment reworking of bioturbation can greatly change the redox property, porosity and permeability of sediments. The changes may be related to the decrease of the proportion of authigenic carbonates caused by the increase of oxygen content in sediment pore water and enhancement of dolomitization during diagenesis. The sediment mixing and reworking formed by Thalassinoides bioturbators not only have significantly changed the primary physical and chemical information and promoted the biogeochemical cycle between seawater and sediments, but also may have efficiently triggered the substrate revolution, acting as ecosystem engineers as well.
2020, 45(4): 1115-1135.
doi: 10.3799/dqkx.2019.116
Abstract:
Many Late Mesozoic granites occur in northwest Jiangxi Province and northeast Hunan Province, which constitute a NEE-trending magmatic belt together with the Late Mesozoic granites in the Middle and Lower Yangtze regions. In this paper, it presents the petrogenesis and tectonic implications, based on the systematic petrographical, zircon U-Pb geochronological, geochemical and isotopic analyses of two representative samples from the Xiaojiugong and Shadian granites. The Xiaojiugong and Shadian intrusions principally consist of medium to coarse-grained porphyritic biotite monzogranite. LA-ICP-MS zircon U-Pb dating yields magma crystallization ages of 124±1 Ma for the Xiaojiugong intrusion and 125±1 Ma for the Shadian intrusion. The two intrusions emplaced in the period of Late Yanshanian. The Xiaojiugong and Shadian granites are all characterized by high-K, calc-alkaline and low contents of Fe2O3T and MgO, indicating they are mainly weakly peraluminous granites. They show similar distribution patterns of REE and trace elements, i.e. enrichment in LREE and large-ion lithophile elements of K, Rb, Th and U, depletion in Ba, Sr, P and high field strength elements of Nb, Ta and Ti, and pronounced negative Eu anomalies (Eu/Eu*=0.17-0.50). Major and trace elements show that the Xiaojiugong and Shadian granites are high-K calc-alkaline Ⅰ-type granites. The Xiaojiugong granites have εNd(t) values of -8.06 to -6.20 and two-stage model ages (TDM2) of 1.42-1.57 Ga. The Shadian granites have εNd(t) values of -6.51 to -6.08 and the corresponding TDM2 of 1.42-1.45 Ga. The Sr-Nd isotopic composition and geochemical characteristics of the Xiaojiugong and Shadian granites suggest the main origin of lower crust. Their source might be the Mesoproterozoic neutral-basic igneous rocks. The Xiaojiugong and Shadian granites passively emplaced through expansion of the dikes. Combined with the regional tectonic background, the granites formed in extensional environment, and upwelling mantle probably provided a continuous heat source for the partial melting of lower crustal igneous rocks. The magma experienced a significant process of fractional crystallization during upwelling. A handful of microgranular enclaves and surrounding rock xenoliths in the granites reflect that the granitic magma might have been weekly contaminated when rising. Regional comparison shows that, from Early Yanshanian to Late Yanshanian, the pressure of the granitic magma source decreased significantly in the northwest Jiangxi and northeast Hunan. This might indicate that the crust had undergone significant thinning in the period of Late Mesozoic.
Many Late Mesozoic granites occur in northwest Jiangxi Province and northeast Hunan Province, which constitute a NEE-trending magmatic belt together with the Late Mesozoic granites in the Middle and Lower Yangtze regions. In this paper, it presents the petrogenesis and tectonic implications, based on the systematic petrographical, zircon U-Pb geochronological, geochemical and isotopic analyses of two representative samples from the Xiaojiugong and Shadian granites. The Xiaojiugong and Shadian intrusions principally consist of medium to coarse-grained porphyritic biotite monzogranite. LA-ICP-MS zircon U-Pb dating yields magma crystallization ages of 124±1 Ma for the Xiaojiugong intrusion and 125±1 Ma for the Shadian intrusion. The two intrusions emplaced in the period of Late Yanshanian. The Xiaojiugong and Shadian granites are all characterized by high-K, calc-alkaline and low contents of Fe2O3T and MgO, indicating they are mainly weakly peraluminous granites. They show similar distribution patterns of REE and trace elements, i.e. enrichment in LREE and large-ion lithophile elements of K, Rb, Th and U, depletion in Ba, Sr, P and high field strength elements of Nb, Ta and Ti, and pronounced negative Eu anomalies (Eu/Eu*=0.17-0.50). Major and trace elements show that the Xiaojiugong and Shadian granites are high-K calc-alkaline Ⅰ-type granites. The Xiaojiugong granites have εNd(t) values of -8.06 to -6.20 and two-stage model ages (TDM2) of 1.42-1.57 Ga. The Shadian granites have εNd(t) values of -6.51 to -6.08 and the corresponding TDM2 of 1.42-1.45 Ga. The Sr-Nd isotopic composition and geochemical characteristics of the Xiaojiugong and Shadian granites suggest the main origin of lower crust. Their source might be the Mesoproterozoic neutral-basic igneous rocks. The Xiaojiugong and Shadian granites passively emplaced through expansion of the dikes. Combined with the regional tectonic background, the granites formed in extensional environment, and upwelling mantle probably provided a continuous heat source for the partial melting of lower crustal igneous rocks. The magma experienced a significant process of fractional crystallization during upwelling. A handful of microgranular enclaves and surrounding rock xenoliths in the granites reflect that the granitic magma might have been weekly contaminated when rising. Regional comparison shows that, from Early Yanshanian to Late Yanshanian, the pressure of the granitic magma source decreased significantly in the northwest Jiangxi and northeast Hunan. This might indicate that the crust had undergone significant thinning in the period of Late Mesozoic.
2020, 45(4): 1136-1150.
doi: 10.3799/dqkx.2019.139
Abstract:
Cretaceous formation records are rare in the northern part of the Tibetan plateau, except for terrestrial sedimentary basins, with only few magmatic activities reported, let alone mantle-derived magmatic activities. The lamprophyres exposed in the Shaliuquan area, the eastern part of the Quanji block, were firstly discovered by field work, which were subjected to a large scale mapping, major and trace element analyses, precise zircon SHRIMP and LA-ICP-MS U-Pb dating and Sr-Nd-Pb isotopic measurements, aiming to deepen the understanding of the Late Mesozoic geological process in the northern plateau. The results yield the average zircon U-Pb ages of 135.2±1.8 Ma and 132.9±1.3 Ma. The rocks are rich in potassium (K2O=4.53%-5.25%), magnesium (MgO=7.23%-12.27%) and poor in titanium (0.85%-1.29%), showing potassium calc-alkaline. They are also enriched in large ion LILE elements (Rb, Ba, Th, U and Pb) and deficient in high field elements (Nb, Ta and Ti). (87Sr/86Sr)i value is 0.718 0-0.718 6. εNd(t) value is -14.2 to -14.4, 208Pb/204Pb is 38.414 to 39.334, 207Pb/204Pb is 15.632-15.681, and 206Pb/204Pb is 18.568-19.203. These data indicate the magma originated from the oceanic subduction-related EMⅡ mantle source and formed from local partial melting of the lithospheric mantle along the deep fracture. The high contents of Au (the mean of 6.8×10-9) and F (the mean of 2 450×10-6) of the lamprophyres are very favorable for gold mineralization in the eastern part of the Quanji block.
Cretaceous formation records are rare in the northern part of the Tibetan plateau, except for terrestrial sedimentary basins, with only few magmatic activities reported, let alone mantle-derived magmatic activities. The lamprophyres exposed in the Shaliuquan area, the eastern part of the Quanji block, were firstly discovered by field work, which were subjected to a large scale mapping, major and trace element analyses, precise zircon SHRIMP and LA-ICP-MS U-Pb dating and Sr-Nd-Pb isotopic measurements, aiming to deepen the understanding of the Late Mesozoic geological process in the northern plateau. The results yield the average zircon U-Pb ages of 135.2±1.8 Ma and 132.9±1.3 Ma. The rocks are rich in potassium (K2O=4.53%-5.25%), magnesium (MgO=7.23%-12.27%) and poor in titanium (0.85%-1.29%), showing potassium calc-alkaline. They are also enriched in large ion LILE elements (Rb, Ba, Th, U and Pb) and deficient in high field elements (Nb, Ta and Ti). (87Sr/86Sr)i value is 0.718 0-0.718 6. εNd(t) value is -14.2 to -14.4, 208Pb/204Pb is 38.414 to 39.334, 207Pb/204Pb is 15.632-15.681, and 206Pb/204Pb is 18.568-19.203. These data indicate the magma originated from the oceanic subduction-related EMⅡ mantle source and formed from local partial melting of the lithospheric mantle along the deep fracture. The high contents of Au (the mean of 6.8×10-9) and F (the mean of 2 450×10-6) of the lamprophyres are very favorable for gold mineralization in the eastern part of the Quanji block.
2020, 45(4): 1227-1242.
doi: 10.3799/dqkx.2019.090
Abstract:
The Qinzhou-Fangchenggang area, located at the southwestern intersection between the Yangtze block and the Cathaysia block, is the only contiguous marine sedimentation during the period of Silurian to Early Devonian in South China. Detailed LA-ICPMS U-Pb dating analyses were carried out on detrital zircons of 7 Silurian sandstone samples from the Qinzhou-Fangchenggang area. Age spectra of the 7 typical sedimentary rock samples show three significant age peaks:~2.5 Ga, ~1.0 Ga and ~0.47 Ga, indicating that the Archean global crustal growth event (~2.5 Ga), the Grenville orogeny (~1.0 Ga) and the Early Paleozoic tectonic event (~0.47 Ga) were recorded in South China. In combination with cathodoluminescence (CL) images and regional geological data, it is suggested that the detrital zircons of ~2.5 Ga, ~1.0 Ga and ~0.47 Ga should be mainly derived from the Yunkai massif, southeastern Cathaysia block. Comparative analysis of age spectra of the Early Paleozoic sedimentary rocks from this study and Yunkai massif indicates that the Qinzhou-Fangchenggang area has an affinity to the Cathaysia block. These evidences imply that the Qinzhou-Fangchenggang area represented a failed rift during Early Paleozoic and the southwestern boundary between the Cathaysia block and Yangtze block is at least in the northwest of the Qinzhou-Fangchenggang area, rather than in the southeast area.
The Qinzhou-Fangchenggang area, located at the southwestern intersection between the Yangtze block and the Cathaysia block, is the only contiguous marine sedimentation during the period of Silurian to Early Devonian in South China. Detailed LA-ICPMS U-Pb dating analyses were carried out on detrital zircons of 7 Silurian sandstone samples from the Qinzhou-Fangchenggang area. Age spectra of the 7 typical sedimentary rock samples show three significant age peaks:~2.5 Ga, ~1.0 Ga and ~0.47 Ga, indicating that the Archean global crustal growth event (~2.5 Ga), the Grenville orogeny (~1.0 Ga) and the Early Paleozoic tectonic event (~0.47 Ga) were recorded in South China. In combination with cathodoluminescence (CL) images and regional geological data, it is suggested that the detrital zircons of ~2.5 Ga, ~1.0 Ga and ~0.47 Ga should be mainly derived from the Yunkai massif, southeastern Cathaysia block. Comparative analysis of age spectra of the Early Paleozoic sedimentary rocks from this study and Yunkai massif indicates that the Qinzhou-Fangchenggang area has an affinity to the Cathaysia block. These evidences imply that the Qinzhou-Fangchenggang area represented a failed rift during Early Paleozoic and the southwestern boundary between the Cathaysia block and Yangtze block is at least in the northwest of the Qinzhou-Fangchenggang area, rather than in the southeast area.
2020, 45(4): 1243-1265.
doi: 10.3799/dqkx.2019.113
Abstract:
Mafic microgranular enclaves (MMEs) are widespread in the host granitoid from the Ba'er pluton in the west of the Guangdong Province. The MMEs have variable shapes and share similar mineral compositions with their host rocks, but are not fully understood. Petrographic study, zircon U-Pb dating and geochemical data are reported for the host granitoid and its MMEs, to constrain their petrogenesis and tectonic setting. LA-ICP-MS zircon U-Pb dating results yield weighted mean 238U/206Pb ages of 160.0±1.0 Ma and 159.3±1.1 Ma for the host rocks and the MMEs, respectively. The host granitoid is characterized by high SiO2(61.04%-65.84%), K2O(1.60%-4.97%), low A/CNK(1.59-1.99), belonging to metaluminous, K-enriched I-type granitoid. Both host rocks and MMEs are enriched in LREE and LILE, and are depleted in HREE and HFSE (e.g., Nb, Ta and Ti). In addition, they also have indistinguishable Sr-Nd isotopic compositions. The granitoid has εNd(t) values of -5.73 to -5.67 and (87Sr/86Sr)i values of 0.707 63-0.707 67. The MMEs have εNd(t) values of -5.81 to -4.35 and (87Sr/86Sr)i values of 0.707 04-0.707 74. The calculated crystallization temperatures and depths of the Ba'er pluton are 730-754℃ and 16.8-20.6 km, respectively. According to comprehensive analysis of their tectonic settings as well as petrographic characteristics and geochemical data, the magma produced by partial melting of predominantly mafic middle-lower crust, with the input of minor mantle-derived materials, experienced different degrees of fractional crystallization in an intraplate extensional setting of Late Jurassic, Southeast China, which was accompanied by local magma mixing. The MMEs are generated by the mixing of the mafic magma with felsic magma.
Mafic microgranular enclaves (MMEs) are widespread in the host granitoid from the Ba'er pluton in the west of the Guangdong Province. The MMEs have variable shapes and share similar mineral compositions with their host rocks, but are not fully understood. Petrographic study, zircon U-Pb dating and geochemical data are reported for the host granitoid and its MMEs, to constrain their petrogenesis and tectonic setting. LA-ICP-MS zircon U-Pb dating results yield weighted mean 238U/206Pb ages of 160.0±1.0 Ma and 159.3±1.1 Ma for the host rocks and the MMEs, respectively. The host granitoid is characterized by high SiO2(61.04%-65.84%), K2O(1.60%-4.97%), low A/CNK(1.59-1.99), belonging to metaluminous, K-enriched I-type granitoid. Both host rocks and MMEs are enriched in LREE and LILE, and are depleted in HREE and HFSE (e.g., Nb, Ta and Ti). In addition, they also have indistinguishable Sr-Nd isotopic compositions. The granitoid has εNd(t) values of -5.73 to -5.67 and (87Sr/86Sr)i values of 0.707 63-0.707 67. The MMEs have εNd(t) values of -5.81 to -4.35 and (87Sr/86Sr)i values of 0.707 04-0.707 74. The calculated crystallization temperatures and depths of the Ba'er pluton are 730-754℃ and 16.8-20.6 km, respectively. According to comprehensive analysis of their tectonic settings as well as petrographic characteristics and geochemical data, the magma produced by partial melting of predominantly mafic middle-lower crust, with the input of minor mantle-derived materials, experienced different degrees of fractional crystallization in an intraplate extensional setting of Late Jurassic, Southeast China, which was accompanied by local magma mixing. The MMEs are generated by the mixing of the mafic magma with felsic magma.
2020, 45(4): 1151-1167.
doi: 10.3799/dqkx.2019.134
Abstract:
Jiangjunmu ore-bearing granodiorite porphyry is located in the eastern part of East Kunlun orogenic belt. In this paper,zircon U-Pb dating and Lu-Hf isotopes,whole-rock major and trace elements of ore-bearing granodiorite porphyry are presented to discuss their geochronology and genesis. The results show that the ore-bearing granodiorite porphyry was formed at the Late Triassic with the age of 218.8±1.3 Ma. It has contents of SiO2(65.23%-67.25%),MgO(1.50%-1.59%),Al2O3(15.30%-15.75%) with K2O/Na2O ratios ranging from 1.00 to 1.20 and Mg# values ranging from 43 to 44. The ore-bearing granodiorite porphyries are characterized by high silicon,aluminum and high-potassium,belonging to the high-potassium rock. Meanwhile,they are enriched in large ion lithophile elements (LILEs) such as Th,U,Rb and K,and depleted in high field strength elements (HFSE) such as Nb,P and Zr. Hf isotopic compositions of the ore-bearing granodiorite porphyry (εHf(t)=-1.7-+1.01,TDM2=1 064-1 214 Ma),indicating that their parental magmas were derived from the Middle Proterozoic lower crust. Coupled with the petrography of a small number of mafic microgranular enclaves,geochronology,petrology and geochemistry data indicate that ore-bearing granodiorite porphyry originated from the mixing of dominating re-melting of Middle Proterozoic lower crust and a small amount of mantle-derived materials. The ore-bearing granodiorite porphyry was formed in the post-collisional orogenic extensional setting,indicative of the crust-mantle diagenesis and mineralization at Late Triassic in the East Kunlun. It is not only the product of the Paleo-Tethys tectonic and magmatic event in the East Kunlun,but also has good metallogenic conditions,which provides important evidence for the study of the Late Triassic magmatism in the East Kunlun and search for porphyry or hydrothermal polymetallic deposits.
Jiangjunmu ore-bearing granodiorite porphyry is located in the eastern part of East Kunlun orogenic belt. In this paper,zircon U-Pb dating and Lu-Hf isotopes,whole-rock major and trace elements of ore-bearing granodiorite porphyry are presented to discuss their geochronology and genesis. The results show that the ore-bearing granodiorite porphyry was formed at the Late Triassic with the age of 218.8±1.3 Ma. It has contents of SiO2(65.23%-67.25%),MgO(1.50%-1.59%),Al2O3(15.30%-15.75%) with K2O/Na2O ratios ranging from 1.00 to 1.20 and Mg# values ranging from 43 to 44. The ore-bearing granodiorite porphyries are characterized by high silicon,aluminum and high-potassium,belonging to the high-potassium rock. Meanwhile,they are enriched in large ion lithophile elements (LILEs) such as Th,U,Rb and K,and depleted in high field strength elements (HFSE) such as Nb,P and Zr. Hf isotopic compositions of the ore-bearing granodiorite porphyry (εHf(t)=-1.7-+1.01,TDM2=1 064-1 214 Ma),indicating that their parental magmas were derived from the Middle Proterozoic lower crust. Coupled with the petrography of a small number of mafic microgranular enclaves,geochronology,petrology and geochemistry data indicate that ore-bearing granodiorite porphyry originated from the mixing of dominating re-melting of Middle Proterozoic lower crust and a small amount of mantle-derived materials. The ore-bearing granodiorite porphyry was formed in the post-collisional orogenic extensional setting,indicative of the crust-mantle diagenesis and mineralization at Late Triassic in the East Kunlun. It is not only the product of the Paleo-Tethys tectonic and magmatic event in the East Kunlun,but also has good metallogenic conditions,which provides important evidence for the study of the Late Triassic magmatism in the East Kunlun and search for porphyry or hydrothermal polymetallic deposits.
2020, 45(4): 1168-1186.
doi: 10.3799/dqkx.2019.132
Abstract:
Nominally anhydrous minerals (NAMs) are major components of the subducted continental slab and thus regarded as important water reservoir in continental subduction zone. The water contents of NAMs are critical for understanding of fluid action and geodynamics of subduction zones. In this study,Fourier Transform Infrared Spectroscopy (FTIR) as well as major and trace element analyses were carried out on garnets in Jinheqiao eclogites from the Dabie orogen. The results demonstrate that garnet grains contain molecular water and hydroxyl (OH) with the contents of < 1×10-6 to 1 946×10-6 and < 1×10-6 to 1 347×10-6,respectively. Contents of hydroxyl are positively correlated with Ca,Na,Ti,Zr and Pr,but negatively correlated with Si for garnets in most samples,indicating that the incorporation of OH in garnet is dominated by hydrogarnet substitution. Molecular water is primary or transformed from hydroxyl during exhumation,implying molecular water an internal origin in eclogite. Garnet has total water contents varying from < 1×10-6 to 3 293×10-6,with the highest water content corresponding to the garnet's capacity for water storage under peak UHP metamorphism. Water can be saturated in peak metamorphic garnet. The variable water contents in garnet have been controlled by several factors including protolith nature,fluid availability,pressure and temperature,which however,have been dominated by decompression dehydration during exhumation. Garnets in the Jinheqiao eclogites have average total water contents ranging from 749×10-6 to 1 164×10-6,suggesting that they have similar capacity for water storage as omphacite and thus are important media for subducted slab to transport water into deep mantle.
Nominally anhydrous minerals (NAMs) are major components of the subducted continental slab and thus regarded as important water reservoir in continental subduction zone. The water contents of NAMs are critical for understanding of fluid action and geodynamics of subduction zones. In this study,Fourier Transform Infrared Spectroscopy (FTIR) as well as major and trace element analyses were carried out on garnets in Jinheqiao eclogites from the Dabie orogen. The results demonstrate that garnet grains contain molecular water and hydroxyl (OH) with the contents of < 1×10-6 to 1 946×10-6 and < 1×10-6 to 1 347×10-6,respectively. Contents of hydroxyl are positively correlated with Ca,Na,Ti,Zr and Pr,but negatively correlated with Si for garnets in most samples,indicating that the incorporation of OH in garnet is dominated by hydrogarnet substitution. Molecular water is primary or transformed from hydroxyl during exhumation,implying molecular water an internal origin in eclogite. Garnet has total water contents varying from < 1×10-6 to 3 293×10-6,with the highest water content corresponding to the garnet's capacity for water storage under peak UHP metamorphism. Water can be saturated in peak metamorphic garnet. The variable water contents in garnet have been controlled by several factors including protolith nature,fluid availability,pressure and temperature,which however,have been dominated by decompression dehydration during exhumation. Garnets in the Jinheqiao eclogites have average total water contents ranging from 749×10-6 to 1 164×10-6,suggesting that they have similar capacity for water storage as omphacite and thus are important media for subducted slab to transport water into deep mantle.
2020, 45(4): 1187-1212.
doi: 10.3799/dqkx.2019.101
Abstract:
The Luokuidong porphyry Mo deposit in Hainan Island is a large-scale low-grade deposit,controlled by volcanic apparatus. In order to understand petrogenesis of ore-forming porphyry and the sources of metallogenetic material,in this paper,it presents a systematic study of the major elements,trace elements,Sr-Nd-Pb isotopic compositions of whole rocks and S-Pb isotopic compositions of metal sulfide,with the following results.(1) The geochemical characteristics of Luokuidong porphyritic granite are similar to the adakitic rock,showing high SiO2(70.94%-72.59%),Al2O3(15.11%-16.26%) and low MgO (0.56%-0.68%),high Sr (421×10-6-564×10-6) and low Y (7.50×10-6-14.57×10-6),Yb (0.76×10-6-1.30×10-6),negligible Eu anomalies (average 0.75),depletion of HFSE,enrichment of LREE and LILE,high La/Yb (26.1-46.4) and Sr/Y (36.9-67.1). (2) Porphyritic granite has(87Sr/86Sr)i=0.708 38-0.708 44,(143Nd/144Nd)i=0.512 22-0.512 23,εNd(t)=-5.6——5.5 and TDM2=1.35-1.36 Ga,indicating they may have derived from underplating thickened lower crust (Mesoproterozoic) remelting. (3) Temperatures from the concentration of Zr in whole-rock and Ti in zircon are 795±12℃ (σ) and 690±21℃ (σ),respectively,reflecting their magmatic hydrothermal system experienced partial melting under near-water-saturated conditions. (4) The ratio Ce4+/Ce3+ (174-621,average 383) of zircons from porphyritic granite reflect a high oxygen fugacity environment when their magmatic-hydrothermal system formed. (5) S-Pb isotopic compositions of metal sulfide suggest ore-forming materials belong to crust-mantle mixed source type dominated by deep crust source. (6) The Luokuidong porphyry Mo deposit is preliminarily considered belonging to Endako type porphyry Mo deposit after comparison in chronology,mineralogy,geochemistry and forming environment,respectively.
The Luokuidong porphyry Mo deposit in Hainan Island is a large-scale low-grade deposit,controlled by volcanic apparatus. In order to understand petrogenesis of ore-forming porphyry and the sources of metallogenetic material,in this paper,it presents a systematic study of the major elements,trace elements,Sr-Nd-Pb isotopic compositions of whole rocks and S-Pb isotopic compositions of metal sulfide,with the following results.(1) The geochemical characteristics of Luokuidong porphyritic granite are similar to the adakitic rock,showing high SiO2(70.94%-72.59%),Al2O3(15.11%-16.26%) and low MgO (0.56%-0.68%),high Sr (421×10-6-564×10-6) and low Y (7.50×10-6-14.57×10-6),Yb (0.76×10-6-1.30×10-6),negligible Eu anomalies (average 0.75),depletion of HFSE,enrichment of LREE and LILE,high La/Yb (26.1-46.4) and Sr/Y (36.9-67.1). (2) Porphyritic granite has(87Sr/86Sr)i=0.708 38-0.708 44,(143Nd/144Nd)i=0.512 22-0.512 23,εNd(t)=-5.6——5.5 and TDM2=1.35-1.36 Ga,indicating they may have derived from underplating thickened lower crust (Mesoproterozoic) remelting. (3) Temperatures from the concentration of Zr in whole-rock and Ti in zircon are 795±12℃ (σ) and 690±21℃ (σ),respectively,reflecting their magmatic hydrothermal system experienced partial melting under near-water-saturated conditions. (4) The ratio Ce4+/Ce3+ (174-621,average 383) of zircons from porphyritic granite reflect a high oxygen fugacity environment when their magmatic-hydrothermal system formed. (5) S-Pb isotopic compositions of metal sulfide suggest ore-forming materials belong to crust-mantle mixed source type dominated by deep crust source. (6) The Luokuidong porphyry Mo deposit is preliminarily considered belonging to Endako type porphyry Mo deposit after comparison in chronology,mineralogy,geochemistry and forming environment,respectively.
2020, 45(4): 1213-1226.
doi: 10.3799/dqkx.2019.130
Abstract:
The Dachang Sn-polymetallic ore deposit,Guangxi,is one of the largest tin deposits in the world. The granite porphyry occurs in the eastern side of the Tongkeng-Changpo-Bali-Longtoushan area,which is mainly controlled by nearly SN extensional tectonics and has superimposed and reformed the ore bodies formed in the early stage. To further evaluate the petrogenesis and associated hydrothermal mineralization of the granite porphyry,detailed electron microprobe analyses were performed on three modes of biotite occurrence:inclusions enclosed in quartz,phenocrysts and matrix as one of rock-forming minerals. The biotites of different occurrences are all classified as magmatic ferrobiotites,reflecting that their host rock has high basicity. Biotite matrixes contain higher FeOt,MnO and Li2O but lower MgO and TiO2 than those occur as phenocryst and inclusion. The estimated crystallization temperatures for phenocryst and inclusion biotites are 688-715℃ and pressure conditions range from 1.7 to 2.3 kbar,equivalent to emplacement depth of 6.3-8.4 km. In contrast,the calculated crystallization temperatures for matrix biotites are 630-673℃ and pressure conditions range from 1.6 to 2.0 kbar,equivalent to emplacement depth of 6.0-7.4 km. Systematic differences in oxygen fugacity between biotites related to inclusion (-17.0 to -16.6),phenocryst (-17.0 to -16.1) and matrix (-19.0 to -17.4) are found,which are characterized by a trend of decreasing oxygen fugacities in the direction of magma upwelling,suggesting that the diagenetic conditions change from relative oxidizing condition to reducing condition. Magmatic biotite composition is useful in the calculation of the halogen fugacity in magma during its crystallization,which are represented by lg(fH2O/fHF)Fluid,lg(fH2O/fHCl)Fluid and lg(fHF/fHCl)Fluid values. These values for phenocrystys are 3.41-3.82,3.78-4.07 and -0.54 to -0.17 respectively; for inclusions are 3.90-4.11,3.86-4.11 and -0.74 to -0.43 respectively; and for matrix are 3.90-4.39,3.85-4.96 and -0.61-0.25 respectively,which indicates that the coexisting hydrothermal fluids associated with phenocrysty,inclusion and matrix biotite crystallization are not continuous episode but differences in composition. The changes in the composition of biotites regarding to inclusion,phenocrysts and matrix,indicate that the early stage of the magma crystallization is characterized by high temperature,high basicity and low oxygen fugacity. These characteristics could have been beneficial to the activation,migration and concentration of the Sn element,as well as to further transformation on the earlier formed deposit.
The Dachang Sn-polymetallic ore deposit,Guangxi,is one of the largest tin deposits in the world. The granite porphyry occurs in the eastern side of the Tongkeng-Changpo-Bali-Longtoushan area,which is mainly controlled by nearly SN extensional tectonics and has superimposed and reformed the ore bodies formed in the early stage. To further evaluate the petrogenesis and associated hydrothermal mineralization of the granite porphyry,detailed electron microprobe analyses were performed on three modes of biotite occurrence:inclusions enclosed in quartz,phenocrysts and matrix as one of rock-forming minerals. The biotites of different occurrences are all classified as magmatic ferrobiotites,reflecting that their host rock has high basicity. Biotite matrixes contain higher FeOt,MnO and Li2O but lower MgO and TiO2 than those occur as phenocryst and inclusion. The estimated crystallization temperatures for phenocryst and inclusion biotites are 688-715℃ and pressure conditions range from 1.7 to 2.3 kbar,equivalent to emplacement depth of 6.3-8.4 km. In contrast,the calculated crystallization temperatures for matrix biotites are 630-673℃ and pressure conditions range from 1.6 to 2.0 kbar,equivalent to emplacement depth of 6.0-7.4 km. Systematic differences in oxygen fugacity between biotites related to inclusion (-17.0 to -16.6),phenocryst (-17.0 to -16.1) and matrix (-19.0 to -17.4) are found,which are characterized by a trend of decreasing oxygen fugacities in the direction of magma upwelling,suggesting that the diagenetic conditions change from relative oxidizing condition to reducing condition. Magmatic biotite composition is useful in the calculation of the halogen fugacity in magma during its crystallization,which are represented by lg(fH2O/fHF)Fluid,lg(fH2O/fHCl)Fluid and lg(fHF/fHCl)Fluid values. These values for phenocrystys are 3.41-3.82,3.78-4.07 and -0.54 to -0.17 respectively; for inclusions are 3.90-4.11,3.86-4.11 and -0.74 to -0.43 respectively; and for matrix are 3.90-4.39,3.85-4.96 and -0.61-0.25 respectively,which indicates that the coexisting hydrothermal fluids associated with phenocrysty,inclusion and matrix biotite crystallization are not continuous episode but differences in composition. The changes in the composition of biotites regarding to inclusion,phenocrysts and matrix,indicate that the early stage of the magma crystallization is characterized by high temperature,high basicity and low oxygen fugacity. These characteristics could have been beneficial to the activation,migration and concentration of the Sn element,as well as to further transformation on the earlier formed deposit.
2020, 45(4): 1266-1280.
doi: 10.3799/dqkx.2019.119
Abstract:
In order to reduce the gap between contemporary oceanographic studies and geological records in the study area of deep-water contour currents deposits, and to explore the significance of ocean circulation system on marine deep water oil and gas exploration in Middle to Upper Ordovician of western margin of Ordos basin, it was perform paleo-currents-analyses and hydrodynamics using sedimentary structures based on detailed field observations. The results show that:(1)There are 1/3 small cross beddings with paleo-currents directions perpendicular to the regional slope direction; (2)sedimentary structures with bi-directional progressive grain-size change are ubiquitous in deep-water turbidity currents channel, which include parallel (ripple laminae)-homogeneous-parallel (ripple laminae) sequence, stripped-and-banded structures and inverse to normal grading sequence (grain size). All these sedimentary characteristics maybe suggest the deep-water contour currents deposits according to the perpendicular flow direction and the rhythmic lithologic properties which coincide with the period of contour currents. Here it was also recognized two contourites types:deep-water non-channel contourites and turbidity currents channel contourites, and the latter includes two subtypes with partial reaction and entire reaction.
In order to reduce the gap between contemporary oceanographic studies and geological records in the study area of deep-water contour currents deposits, and to explore the significance of ocean circulation system on marine deep water oil and gas exploration in Middle to Upper Ordovician of western margin of Ordos basin, it was perform paleo-currents-analyses and hydrodynamics using sedimentary structures based on detailed field observations. The results show that:(1)There are 1/3 small cross beddings with paleo-currents directions perpendicular to the regional slope direction; (2)sedimentary structures with bi-directional progressive grain-size change are ubiquitous in deep-water turbidity currents channel, which include parallel (ripple laminae)-homogeneous-parallel (ripple laminae) sequence, stripped-and-banded structures and inverse to normal grading sequence (grain size). All these sedimentary characteristics maybe suggest the deep-water contour currents deposits according to the perpendicular flow direction and the rhythmic lithologic properties which coincide with the period of contour currents. Here it was also recognized two contourites types:deep-water non-channel contourites and turbidity currents channel contourites, and the latter includes two subtypes with partial reaction and entire reaction.
2020, 45(4): 1281-1294.
doi: 10.3799/dqkx.2019.138
Abstract:
Mound-shoal complex sedimentary models are important for the high-quality reservoir exploration of the Dengying Formation in the Sichuan basin. Based on core and outcrop profile and thin section observation, it is found that the main rock type of the mound-shoal complex is cyanobacteria dolostone. The mound-shoal complex consists of five microfacies including mound base, mound core, mound flat, mound cap and mound flank. There are three types of vertical combination rules of these microfacies, namely, the mound base-core-flat sequence reflecting aggradation, the mound base-core-flank sequence reflecting migration and the mound base-core-cap reflecting termination. According to the distribution of sedimentary facies, the mound-shoal complex of the Dengying Formation is divided into four types including aggradation platform margin mound-shoal complex, migration platform margin mound-shoal complex, platform interior mound-shoal complex and platform interior flat. The study shows that the aggradation platform margin mound-shoal complex mainly deposits the mound base-core-flat sequence, with obvious cyclicity. Its mound core develops a large number of framework residual pores and holes. Due to its advantages in total reservoir thickness, porosity and permeability, it is concluded that the aggradation platform margin mound-shoal complex is the high-quality reservoir of the Dengying Formation in the Sichuan basin.
Mound-shoal complex sedimentary models are important for the high-quality reservoir exploration of the Dengying Formation in the Sichuan basin. Based on core and outcrop profile and thin section observation, it is found that the main rock type of the mound-shoal complex is cyanobacteria dolostone. The mound-shoal complex consists of five microfacies including mound base, mound core, mound flat, mound cap and mound flank. There are three types of vertical combination rules of these microfacies, namely, the mound base-core-flat sequence reflecting aggradation, the mound base-core-flank sequence reflecting migration and the mound base-core-cap reflecting termination. According to the distribution of sedimentary facies, the mound-shoal complex of the Dengying Formation is divided into four types including aggradation platform margin mound-shoal complex, migration platform margin mound-shoal complex, platform interior mound-shoal complex and platform interior flat. The study shows that the aggradation platform margin mound-shoal complex mainly deposits the mound base-core-flat sequence, with obvious cyclicity. Its mound core develops a large number of framework residual pores and holes. Due to its advantages in total reservoir thickness, porosity and permeability, it is concluded that the aggradation platform margin mound-shoal complex is the high-quality reservoir of the Dengying Formation in the Sichuan basin.
2020, 45(4): 1295-1307.
doi: 10.3799/dqkx.2019.093
Abstract:
The identification of fans under the para-sequence framework helps to reveal the sedimentary filling history of continental rift basins, the relationship between sediment and tectonic activities, and to guide the further exploration for oil field. Cores, logging data, and seismic data are used to study the evolution process, shapes, internal architecture, and formation mechanism of fans. Fans are mainly developed in midwestern Gaoliu tectonic belt in 1st member of Shahejie Formation, and expand to No. 4 tectonic belt in Dongying Formation. The fans can be classified into 4 types based on shapes and internal architectures:(1) the fans are wide in delta plain, and gradually narrow down in delta front, channels are well developed with multi-branches in delta plain, mouth bars are deposited close to delta plain, and this type of fans is developed when the faulting rate of boundary faults is higher than subsidence rate in the lake; (2) the fans are narrow in delta plain, and gradually widen in delta front, the channels show limited branches in delta plain, the amount of mouth bars are large, but each mouth bar shows a small coverage area, and this type of fans is developed when the reverse drag anticlines appear; (3) the fans are elongated, the channels show limited branches in delta plain, the subaqueous channels are unstable, the mouth bars are large in quantity and total coverage area, and this type of fans is developed when the faulting rate of boundary faults is lower than the subsidence rate in the lake; (4) the fans are bird-foot shaped, channels are stable in delta plain, subaqueous channels show large amount of branches, the amount of mouth bars are small, but each mouth bar shows a large coverage area, and this type of fans is developed when the faulting rate of boundary faults is approximately equal with the subsidence rate in lake.
The identification of fans under the para-sequence framework helps to reveal the sedimentary filling history of continental rift basins, the relationship between sediment and tectonic activities, and to guide the further exploration for oil field. Cores, logging data, and seismic data are used to study the evolution process, shapes, internal architecture, and formation mechanism of fans. Fans are mainly developed in midwestern Gaoliu tectonic belt in 1st member of Shahejie Formation, and expand to No. 4 tectonic belt in Dongying Formation. The fans can be classified into 4 types based on shapes and internal architectures:(1) the fans are wide in delta plain, and gradually narrow down in delta front, channels are well developed with multi-branches in delta plain, mouth bars are deposited close to delta plain, and this type of fans is developed when the faulting rate of boundary faults is higher than subsidence rate in the lake; (2) the fans are narrow in delta plain, and gradually widen in delta front, the channels show limited branches in delta plain, the amount of mouth bars are large, but each mouth bar shows a small coverage area, and this type of fans is developed when the reverse drag anticlines appear; (3) the fans are elongated, the channels show limited branches in delta plain, the subaqueous channels are unstable, the mouth bars are large in quantity and total coverage area, and this type of fans is developed when the faulting rate of boundary faults is lower than the subsidence rate in the lake; (4) the fans are bird-foot shaped, channels are stable in delta plain, subaqueous channels show large amount of branches, the amount of mouth bars are small, but each mouth bar shows a large coverage area, and this type of fans is developed when the faulting rate of boundary faults is approximately equal with the subsidence rate in lake.
2020, 45(4): 1308-1314.
doi: 10.3799/dqkx.2019.133
Abstract:
The genetic mechanism of natural gas is complex. In view of the fact that carbon isotope series reverse of alkane gas exists generally in the highly-over mature stage, and the organic matter in the highly-over mature stage is often rich in aromatic ring structure, the carbon isotope series reverse of alkane gas in the highly-over mature stage is discussed by means of pyrolysis experiments of aromatic hydrocarbons (toluene). The pyrolysis of toluene shows that the yield of alkane gas increases with the increase of simulated temperature, and the yield of H2 in the product increases with the increase of simulated temperature. The distribution ranges of δ13C1, δ13C2 and δ13C3 in toluene pyrolysis products are -31.8‰ to -27.7‰, -31.0‰ to -20.4‰ and -31.0‰ to -20.4‰, respectively. In the toluene thermal simulation experiment at 450℃, partial reversal of carbon isotope series of alkanes occurred (δ13C1>δ13C2 < δ13C3). It is found that carbon isotope series reversal occurs in both coal type gas and oil type gas at highly-over mature stage. Combining with the simulation results, it is considered that aromatic hydrocarbon demethylation may be an important reason for carbon isotope series reversal in highly-over mature stage of alkane gas.
The genetic mechanism of natural gas is complex. In view of the fact that carbon isotope series reverse of alkane gas exists generally in the highly-over mature stage, and the organic matter in the highly-over mature stage is often rich in aromatic ring structure, the carbon isotope series reverse of alkane gas in the highly-over mature stage is discussed by means of pyrolysis experiments of aromatic hydrocarbons (toluene). The pyrolysis of toluene shows that the yield of alkane gas increases with the increase of simulated temperature, and the yield of H2 in the product increases with the increase of simulated temperature. The distribution ranges of δ13C1, δ13C2 and δ13C3 in toluene pyrolysis products are -31.8‰ to -27.7‰, -31.0‰ to -20.4‰ and -31.0‰ to -20.4‰, respectively. In the toluene thermal simulation experiment at 450℃, partial reversal of carbon isotope series of alkanes occurred (δ13C1>δ13C2 < δ13C3). It is found that carbon isotope series reversal occurs in both coal type gas and oil type gas at highly-over mature stage. Combining with the simulation results, it is considered that aromatic hydrocarbon demethylation may be an important reason for carbon isotope series reversal in highly-over mature stage of alkane gas.
2020, 45(4): 1315-1326.
doi: 10.3799/dqkx.2019.144
Abstract:
The YM32 Lower Paleozoic buried hill reservoir is a low-amplitude reservoir controlled by faults, which is characterized by complex migration and accumulation of oil and gas. Firstly, combined with the geochemical analysis of new drilling data, the oil and gas migration law of oil and gas reservoirs in the study area is analyzed. Then, based on the biomarker compounds, alkanes and steroid terpane from saturated hydrocarbon, naphthalene and phenanthrene, DBTs and TAS from aromatic hydrocarbons in the samples of crude oil and extracts from the YM32 Paleozoic buried hill reservoir, the tracer parameters of oil and gas are optimized. Finally, a step-by-step method of hydrocarbon migration tracer is formed by normalization, in combination with the results of group composition analysis. Results show that there are two filling points of YM342-YM343 and YM322 in the YM32 Lower Paleozoic buried hill reservoir, as well as four migration paths of YM342-YM343 to YM34-1H to YM32, YM342-YM343 to YM34-7H to YM33, YM342-YM343 to YM37-YM35, and YM322 to YM321 to YM32. On the migration path of YM342-YM343 to YM37-YM35, two potential traps with more resources than 1.00×106t were found. Both the single parameter and the two-step method of hydrocarbon migration tracer can reflect the migration path of oil and gas, and the latter has the characteristics of comprehensive, intuitive and accurate characterization of the migration path of oil and gas.
The YM32 Lower Paleozoic buried hill reservoir is a low-amplitude reservoir controlled by faults, which is characterized by complex migration and accumulation of oil and gas. Firstly, combined with the geochemical analysis of new drilling data, the oil and gas migration law of oil and gas reservoirs in the study area is analyzed. Then, based on the biomarker compounds, alkanes and steroid terpane from saturated hydrocarbon, naphthalene and phenanthrene, DBTs and TAS from aromatic hydrocarbons in the samples of crude oil and extracts from the YM32 Paleozoic buried hill reservoir, the tracer parameters of oil and gas are optimized. Finally, a step-by-step method of hydrocarbon migration tracer is formed by normalization, in combination with the results of group composition analysis. Results show that there are two filling points of YM342-YM343 and YM322 in the YM32 Lower Paleozoic buried hill reservoir, as well as four migration paths of YM342-YM343 to YM34-1H to YM32, YM342-YM343 to YM34-7H to YM33, YM342-YM343 to YM37-YM35, and YM322 to YM321 to YM32. On the migration path of YM342-YM343 to YM37-YM35, two potential traps with more resources than 1.00×106t were found. Both the single parameter and the two-step method of hydrocarbon migration tracer can reflect the migration path of oil and gas, and the latter has the characteristics of comprehensive, intuitive and accurate characterization of the migration path of oil and gas.
2020, 45(4): 1327-1336.
doi: 10.3799/dqkx.2019.123
Abstract:
As an important issue in earth science, source-to-sink(S2S)system has attracted worldwide attention. The level division of source-to-sink system is the basis of quantitative study and fine description for source-to-sink system. But reports on the level division of source-to-sink system are few, since more reports are focused on the coupling of source-to-sink systematic unit, parameter fitting, prediction and control factor analysis about source-to-sink system. In this paper, watershed, water dividing line and ridge line are put forward as the respective boundary of Level 1, Level 2 and Level 3 of level division for source-to-sink system and the reasons are provided, also the level division flow path of three-level source-to-sink system is summarized and concluded. Lake Erhai basin, Yunnan Province as modern source-to-sink system and the southern uplift of XJ23 sub-sag of Xijiang sag of Zhuyi depression in Pearl River Mouth basin is selected as an example and analyzed. Watershed divides Diancangshan-Erhai source-to-sink system into two first level source-to-sink systems Ⅰ, Ⅱ, water dividing line divides the first level source-to-sink system Ⅰ into 19 second level source-to-sink systems, ridge line divides Number 15 source-to-sink system into A and B third level source-to-sink systems. The source-to-sink system of the low bulge in XJ23 sub-sag of Xijiang sag, Zhuyi depression, Pearl River Mouth basin is divided into three first level source-to-sink systems:A, B, and C. The first level source-sink system A is divided into A1 and A2, A3, A4 four second level source-to-sink system, second level source-sink system A3 is further divided into two three-level source-to-sink systems of Ⅰ and Ⅱ. The level division method of source-to-sink system is of important reference value to the quantitative research and the fine anatomy of source-to-sink system.
As an important issue in earth science, source-to-sink(S2S)system has attracted worldwide attention. The level division of source-to-sink system is the basis of quantitative study and fine description for source-to-sink system. But reports on the level division of source-to-sink system are few, since more reports are focused on the coupling of source-to-sink systematic unit, parameter fitting, prediction and control factor analysis about source-to-sink system. In this paper, watershed, water dividing line and ridge line are put forward as the respective boundary of Level 1, Level 2 and Level 3 of level division for source-to-sink system and the reasons are provided, also the level division flow path of three-level source-to-sink system is summarized and concluded. Lake Erhai basin, Yunnan Province as modern source-to-sink system and the southern uplift of XJ23 sub-sag of Xijiang sag of Zhuyi depression in Pearl River Mouth basin is selected as an example and analyzed. Watershed divides Diancangshan-Erhai source-to-sink system into two first level source-to-sink systems Ⅰ, Ⅱ, water dividing line divides the first level source-to-sink system Ⅰ into 19 second level source-to-sink systems, ridge line divides Number 15 source-to-sink system into A and B third level source-to-sink systems. The source-to-sink system of the low bulge in XJ23 sub-sag of Xijiang sag, Zhuyi depression, Pearl River Mouth basin is divided into three first level source-to-sink systems:A, B, and C. The first level source-sink system A is divided into A1 and A2, A3, A4 four second level source-to-sink system, second level source-sink system A3 is further divided into two three-level source-to-sink systems of Ⅰ and Ⅱ. The level division method of source-to-sink system is of important reference value to the quantitative research and the fine anatomy of source-to-sink system.
2020, 45(4): 1337-1361.
doi: 10.3799/dqkx.2019.126
Abstract:
A Cenozoic compressive belt, which is manifested by near SN or NE-SW trending thrust faults or folds, was observed in the eastern margin of the Alxa block. The compressive belt is vital to the understanding of the deformation pattern of the Alxa block as well as its relationship with the propagation of the northeast Tibetan plateau. To better understand how these compressive structures were controlled by the growth of Tibetan plateau, field mapping and regional comparison along the eastern margin of the Alxa block were carried out. By analyzing the geometric and kinematic characteristics of these structures in the Cenozoic strata, the paleo-stress field which shows that these structures were governed by the NW-SE or near EW compression regime was rebuilt by us. Together with seismic profile and the strata involved in the compressive zone, it tentatively interprets the formation of the compressive belt was formed in the Middle-Late Miocene. The dynamics of this event could be attributed to the eastward extrusion of the Alxa block caused by the intense push from the Tibetan plateau during Miocene, which indicates the northeastward Tibetan plateau growth. Meanwhile, dextral slip faults are accommodation faults developed on the pre-existing basement foliations, together with the eastern compressive belt, to adjust the eastward movement of the Alxa block. During the Middle to Late Miocene, the northeastern plateau was subjected to intense NE-oriented compression, after which the maximum principal stress demonstrated a clockwise rotation. The compressive structures along the eastern margin of Alxa were replaced by later structures.
A Cenozoic compressive belt, which is manifested by near SN or NE-SW trending thrust faults or folds, was observed in the eastern margin of the Alxa block. The compressive belt is vital to the understanding of the deformation pattern of the Alxa block as well as its relationship with the propagation of the northeast Tibetan plateau. To better understand how these compressive structures were controlled by the growth of Tibetan plateau, field mapping and regional comparison along the eastern margin of the Alxa block were carried out. By analyzing the geometric and kinematic characteristics of these structures in the Cenozoic strata, the paleo-stress field which shows that these structures were governed by the NW-SE or near EW compression regime was rebuilt by us. Together with seismic profile and the strata involved in the compressive zone, it tentatively interprets the formation of the compressive belt was formed in the Middle-Late Miocene. The dynamics of this event could be attributed to the eastward extrusion of the Alxa block caused by the intense push from the Tibetan plateau during Miocene, which indicates the northeastward Tibetan plateau growth. Meanwhile, dextral slip faults are accommodation faults developed on the pre-existing basement foliations, together with the eastern compressive belt, to adjust the eastward movement of the Alxa block. During the Middle to Late Miocene, the northeastern plateau was subjected to intense NE-oriented compression, after which the maximum principal stress demonstrated a clockwise rotation. The compressive structures along the eastern margin of Alxa were replaced by later structures.
2020, 45(4): 1362-1374.
doi: 10.3799/dqkx.2019.199
Abstract:
Individual fluid inclusions can accurately indicate the fluid characteristics of the trapped period and avoid the mixed interference of multi-stage inclusions. Laser ablation-inductively coupled plasma-mass spectrometry (LA-ICP-MS) is an important method for microanalysis of individual fluid inclusions, owing to its analytical superiority of in-situ, timeliness, high spatial resolution and sensitivity, high precision, low detection limits and a large dynamic line range. The technique of LA-ICP-MS for determining the composition of individual fluid inclusions focuses on selection criteria for fluid inclusions suitable for analysis, ablation procedure, aerosol transport and ionization within the ICP, transient signals acquisition efficiency, quantitative calibration and determination of internal standard elements. Meanwhile, the source and distribution of the ore-forming elements, the source and characteristics of the ore-forming fluid, the establishment of the metallogenic model also are widely studied. The results show that it is urgent for LA-ICP-MS analysis technology to improve the success rate of individual ore-forming fluid inclusions, reduce the detection limits of elements for small-sized fluid inclusions, and determine mineral fluid inclusions.
Individual fluid inclusions can accurately indicate the fluid characteristics of the trapped period and avoid the mixed interference of multi-stage inclusions. Laser ablation-inductively coupled plasma-mass spectrometry (LA-ICP-MS) is an important method for microanalysis of individual fluid inclusions, owing to its analytical superiority of in-situ, timeliness, high spatial resolution and sensitivity, high precision, low detection limits and a large dynamic line range. The technique of LA-ICP-MS for determining the composition of individual fluid inclusions focuses on selection criteria for fluid inclusions suitable for analysis, ablation procedure, aerosol transport and ionization within the ICP, transient signals acquisition efficiency, quantitative calibration and determination of internal standard elements. Meanwhile, the source and distribution of the ore-forming elements, the source and characteristics of the ore-forming fluid, the establishment of the metallogenic model also are widely studied. The results show that it is urgent for LA-ICP-MS analysis technology to improve the success rate of individual ore-forming fluid inclusions, reduce the detection limits of elements for small-sized fluid inclusions, and determine mineral fluid inclusions.
2020, 45(4): 1375-1387.
doi: 10.3799/dqkx.2019.096
Abstract:
In order to further study the enrichment mechanism of the 10 rhythm of the third (Eq3) members(Eq3410 for short) and partial rhythm of the forth (Eq4low)members shale organic matter in the Qianjiang Formation of the Qianjiang sag, Jianghan basin under the background of salt lake, X-ray fluorescence spectroscopy (XRF), carbon sulfur analyzer, GC, GC-MS and other methods were used to understand the relationship between elemental changes and TOC enrichment of shale in this area, so as to analyze the main controlling factors of organic matter enrichment and establish organic matter enrichment mode. The results show that organic matter is more concentrated in the transgressive systems tract (TST), and is poor in the highstand systems tract (HST) and the lowstand systems tract(LST). Organic carbon is positively correlated with paleoproductivity index (P/Ti), paleoclimate index (Mg/Ca) and paleo-water depth index (Rb/K), and the organic matter increases first and then decreases with the increase of the ancient salinity index (Sr/Ba). Land-based material input and the quantitative parameters (SiO2, Al3O2) are negatively correlated with organic carbon. And when P/Ti >1, 2 < Sr/Ba < 4, Mg/Ca < 0.4, Rb/K >0.007 and the input of terrigenous matter is less, the organic matter is more concentrated. The study reveals that the source of organic matter in the shale of the Qianjiang Formation in the Qianjiang sag is mainly aquatic organisms. Under the relatively humid paleoclimate conditions, the aquatic organisms prosper, and the input of terrigenous debris is low, which weakens the dilution of organic matter. At the same time, more precipitation makes the lake water depth increase rapidly, the surface water body salinity decreases, and the lake bottom salinity is larger, which results in salinity stratification and enhances the reduction of deep lake water and is conducive to the enrichment of organic matter.
In order to further study the enrichment mechanism of the 10 rhythm of the third (Eq3) members(Eq3410 for short) and partial rhythm of the forth (Eq4low)members shale organic matter in the Qianjiang Formation of the Qianjiang sag, Jianghan basin under the background of salt lake, X-ray fluorescence spectroscopy (XRF), carbon sulfur analyzer, GC, GC-MS and other methods were used to understand the relationship between elemental changes and TOC enrichment of shale in this area, so as to analyze the main controlling factors of organic matter enrichment and establish organic matter enrichment mode. The results show that organic matter is more concentrated in the transgressive systems tract (TST), and is poor in the highstand systems tract (HST) and the lowstand systems tract(LST). Organic carbon is positively correlated with paleoproductivity index (P/Ti), paleoclimate index (Mg/Ca) and paleo-water depth index (Rb/K), and the organic matter increases first and then decreases with the increase of the ancient salinity index (Sr/Ba). Land-based material input and the quantitative parameters (SiO2, Al3O2) are negatively correlated with organic carbon. And when P/Ti >1, 2 < Sr/Ba < 4, Mg/Ca < 0.4, Rb/K >0.007 and the input of terrigenous matter is less, the organic matter is more concentrated. The study reveals that the source of organic matter in the shale of the Qianjiang Formation in the Qianjiang sag is mainly aquatic organisms. Under the relatively humid paleoclimate conditions, the aquatic organisms prosper, and the input of terrigenous debris is low, which weakens the dilution of organic matter. At the same time, more precipitation makes the lake water depth increase rapidly, the surface water body salinity decreases, and the lake bottom salinity is larger, which results in salinity stratification and enhances the reduction of deep lake water and is conducive to the enrichment of organic matter.
2020, 45(4): 1388-1402.
doi: 10.3799/dqkx.2019.094
Abstract:
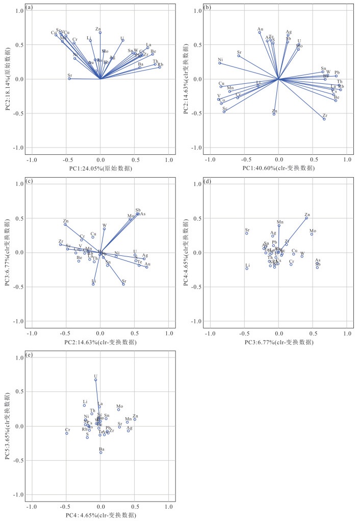
In most 1:50 000 geological and mineral surveys, geochemical surveys are conducted first and sampling density is higher than 8 samples/km2, with up to 38 geochemical indices being analyzed, because the main purpose is to identify "ore causing anomalies" and to facilitate mineral exploration. However, it has been found in previous studies that regional geochemical data directly reflect the chemical composition of surface materials, which contain more extensive geological information than mere anomalies related to mineralization. Based on 1:50 000 geochemical surveys of arid desert landscapes in Northwest China. Geological units in the working area and their geochemical characteristics were studied and identified in this study. Compared to 1:200 000 geological maps, the results of the PC analysis performed on clr-transformed 1:50 000 geochemical data show more details:(1) some geological units could be further divided into multiple sub-units; (2) some intrusive rocks could be divided by phases or lithofacies characteristics; (3) could provide clues for the classification of geological units. The results of this study have been successfully used in the follow-up 1:50 000 geological mapping and verification of the final 1:50 000 geological map. Furthermore, the division of geological units and the identification of geochemical characteristics could provide information for excluding the geochemical anomalies which are irrelevant to mineralization.
In most 1:50 000 geological and mineral surveys, geochemical surveys are conducted first and sampling density is higher than 8 samples/km2, with up to 38 geochemical indices being analyzed, because the main purpose is to identify "ore causing anomalies" and to facilitate mineral exploration. However, it has been found in previous studies that regional geochemical data directly reflect the chemical composition of surface materials, which contain more extensive geological information than mere anomalies related to mineralization. Based on 1:50 000 geochemical surveys of arid desert landscapes in Northwest China. Geological units in the working area and their geochemical characteristics were studied and identified in this study. Compared to 1:200 000 geological maps, the results of the PC analysis performed on clr-transformed 1:50 000 geochemical data show more details:(1) some geological units could be further divided into multiple sub-units; (2) some intrusive rocks could be divided by phases or lithofacies characteristics; (3) could provide clues for the classification of geological units. The results of this study have been successfully used in the follow-up 1:50 000 geological mapping and verification of the final 1:50 000 geological map. Furthermore, the division of geological units and the identification of geochemical characteristics could provide information for excluding the geochemical anomalies which are irrelevant to mineralization.
2020, 45(4): 1403-1415.
doi: 10.3799/dqkx.2019.118
Abstract:
The Madura Strait basin belongs to the eastern part of the Tethys tectonic domain. During the Late Oligocene to Early Miocene post-rift subsidence stage, a large area of carbonate rock was deposited, which is one of the most important oil and gas reservoirs in the study area. It analyzed the sedimentary facies and seismic facies based on the drilling with core photos and 2D seismic profiles with a total length of about 120 km of the Kujung in the Madura Strait basin to explore the basin evolution model during this stage. The basin seismic facies is divided into 6 types, and it is found that the coral reefs of the Kujung have obvious north-south regional features with F6 reverse fault as the boundary. According to the special environment required for the growth and development of coral reefs, it consider that the post-rift subsidence stage of the Madura Strait basin is divided into two parts:the southern shallow marine open platform and the northern deeper marine by a series of EW normal faults. It shows the geomorphological features of "the south higher than the north".
The Madura Strait basin belongs to the eastern part of the Tethys tectonic domain. During the Late Oligocene to Early Miocene post-rift subsidence stage, a large area of carbonate rock was deposited, which is one of the most important oil and gas reservoirs in the study area. It analyzed the sedimentary facies and seismic facies based on the drilling with core photos and 2D seismic profiles with a total length of about 120 km of the Kujung in the Madura Strait basin to explore the basin evolution model during this stage. The basin seismic facies is divided into 6 types, and it is found that the coral reefs of the Kujung have obvious north-south regional features with F6 reverse fault as the boundary. According to the special environment required for the growth and development of coral reefs, it consider that the post-rift subsidence stage of the Madura Strait basin is divided into two parts:the southern shallow marine open platform and the northern deeper marine by a series of EW normal faults. It shows the geomorphological features of "the south higher than the north".
2020, 45(4): 1416-1426.
doi: 10.3799/dqkx.2019.109
Abstract:
A multi-disciplinary synthetic survey about marine geological, physical oceanography and biological environment was conducted in the Shenhu area bearing with the active gas hydrate in the northern South China Sea. Ten box corer and gravity-piston corer sites were located with the water depth of 1 000 to 4 000 m in the continental slope and deep basin area. It is the key area with the active oil and gas hydrate and is also the region of trial production of the gas hydrate in the northern South China Sea. The 10 sites coring designed by the cruise was conducted onboard with the surface box corer and gravity-piston corer sediment sampling. By deploying a "Haiyan" underwater glider, the underway measurement time-series profiles of the physical oceanography environment were obtained on the area of trial production of the gas hydrate in the Shenhu area. By using deployment and recovery of the two ocean bottom seismometers on two sites, time-series data of seafloor seismicity and microseisms and short duration events were obtained. Layering water sample from the CTD's bottles and sediment samples from the box corers and gravity-piston corers are conducted by the microbiological experiment testing. The preliminary results of the cruise indicate that the sediment type is mainly clay and soft mud in the surveying area. The temperature and salinity parameter variations of the whole seawater from the CTD measurements and from the underwater glider are clearly shown. The seismicity activity and micro tremor possibly related to the gas hydrate is observed by the ocean bottom seismometers. The microbiological experiment shows the characteristic of the bacterial community abundance in the sediment.
A multi-disciplinary synthetic survey about marine geological, physical oceanography and biological environment was conducted in the Shenhu area bearing with the active gas hydrate in the northern South China Sea. Ten box corer and gravity-piston corer sites were located with the water depth of 1 000 to 4 000 m in the continental slope and deep basin area. It is the key area with the active oil and gas hydrate and is also the region of trial production of the gas hydrate in the northern South China Sea. The 10 sites coring designed by the cruise was conducted onboard with the surface box corer and gravity-piston corer sediment sampling. By deploying a "Haiyan" underwater glider, the underway measurement time-series profiles of the physical oceanography environment were obtained on the area of trial production of the gas hydrate in the Shenhu area. By using deployment and recovery of the two ocean bottom seismometers on two sites, time-series data of seafloor seismicity and microseisms and short duration events were obtained. Layering water sample from the CTD's bottles and sediment samples from the box corers and gravity-piston corers are conducted by the microbiological experiment testing. The preliminary results of the cruise indicate that the sediment type is mainly clay and soft mud in the surveying area. The temperature and salinity parameter variations of the whole seawater from the CTD measurements and from the underwater glider are clearly shown. The seismicity activity and micro tremor possibly related to the gas hydrate is observed by the ocean bottom seismometers. The microbiological experiment shows the characteristic of the bacterial community abundance in the sediment.
2020, 45(4): 1427-1438.
doi: 10.3799/dqkx.2019.117
Abstract:
In order to understand the hydrochemistry characterization variation tendency of the aquifer after the sedimentary metamorphic iron deposit mined, on the basis of the division of aquifer system and development law of the flow system in the mining area, through the analysis of relevance of conventional ions, hydrochemistry types and common factors on 148 groundwater samples collected from the Upper Quaternary aquifer, the Lower Quaternary aquifer and the bedrock aquifer, the hydrochemical type distribution and the isolines of common factors scores were obtained, then they were overlaid to analyze potential formation and controlling factors of the aquifers. The results show that Upper Quaternary aquifer is characterized by the carbonate dissolution, pollution and oxidation; the Lower Quaternary aquifer is characterized by the pollution, the carbonate dissolution and the local sulfate reduction; the bedrock aquifer is characterized by ion exchange adsorption, the mixing effect of the Quaternary aquifer and incongruent dissolution of silicate. In addition to background factors, three-dimensional flow field has controlled the formation and original hydrochemical types of the bedrock aquifers, and has affected the local formation of the Quaternary aquifer to make hydrochemical type boundary move significantly.
In order to understand the hydrochemistry characterization variation tendency of the aquifer after the sedimentary metamorphic iron deposit mined, on the basis of the division of aquifer system and development law of the flow system in the mining area, through the analysis of relevance of conventional ions, hydrochemistry types and common factors on 148 groundwater samples collected from the Upper Quaternary aquifer, the Lower Quaternary aquifer and the bedrock aquifer, the hydrochemical type distribution and the isolines of common factors scores were obtained, then they were overlaid to analyze potential formation and controlling factors of the aquifers. The results show that Upper Quaternary aquifer is characterized by the carbonate dissolution, pollution and oxidation; the Lower Quaternary aquifer is characterized by the pollution, the carbonate dissolution and the local sulfate reduction; the bedrock aquifer is characterized by ion exchange adsorption, the mixing effect of the Quaternary aquifer and incongruent dissolution of silicate. In addition to background factors, three-dimensional flow field has controlled the formation and original hydrochemical types of the bedrock aquifers, and has affected the local formation of the Quaternary aquifer to make hydrochemical type boundary move significantly.
2020, 45(4): 1439-1446.
doi: 10.3799/dqkx.2019.124
Abstract:
Radial solute transport refers to a dispersive transport process of a solute under a radial flow field, which has been widely used to describe the solute transport around the well in aquifer remediation. However, in the previous studies, the mixing effect in the wellbore has often been ignored, assuming that the wellbore is infinitely small or the concentration of the wellbore is constant during the injection period. In this study, a new mathematical model to describe radial solute transport of the injection well is proposed considering both the mixing effect and scale effect. The analytical solution is derived by the Laplace transform and Stehfest numerical inversion method. The linear dispersion model with mixing effect (LDM) is compared with the linear dispersion model with no-mixing effect (LDNM) to illustrate the mixing effect and the scale effect. Moreover, the robustness of the new model is tested using the experimental data. The results show that mixing effect and scale effect have a great influence on radial solute transport. Specifically, the greater mixing effect results in the lower the breakthrough curves (BTCs) in both wellbore and aquifer, the longer time for the solute concentration to reach its peak. With the well radius increasing, the difference between the models with and without mixing effect is more obvious. Additionally, with the increase of scale-dependent dispersion, the arrival time of the BTC peak values decreases. LDM (linear dispersion model with mixing effect) is more reasonable than LDNM (linear dispersion model with no-mixing effect) in describing radial solute transport.
Radial solute transport refers to a dispersive transport process of a solute under a radial flow field, which has been widely used to describe the solute transport around the well in aquifer remediation. However, in the previous studies, the mixing effect in the wellbore has often been ignored, assuming that the wellbore is infinitely small or the concentration of the wellbore is constant during the injection period. In this study, a new mathematical model to describe radial solute transport of the injection well is proposed considering both the mixing effect and scale effect. The analytical solution is derived by the Laplace transform and Stehfest numerical inversion method. The linear dispersion model with mixing effect (LDM) is compared with the linear dispersion model with no-mixing effect (LDNM) to illustrate the mixing effect and the scale effect. Moreover, the robustness of the new model is tested using the experimental data. The results show that mixing effect and scale effect have a great influence on radial solute transport. Specifically, the greater mixing effect results in the lower the breakthrough curves (BTCs) in both wellbore and aquifer, the longer time for the solute concentration to reach its peak. With the well radius increasing, the difference between the models with and without mixing effect is more obvious. Additionally, with the increase of scale-dependent dispersion, the arrival time of the BTC peak values decreases. LDM (linear dispersion model with mixing effect) is more reasonable than LDNM (linear dispersion model with no-mixing effect) in describing radial solute transport.
2020, 45(4): 1447-1456.
doi: 10.3799/dqkx.2019.131
Abstract:
The channel width and particle size in the formation area of debris flow catchment are important factors in the initiation of debris flows caused by runoff mechanism. This phenomenon is often found in the debris flows in strong earthquake area. Up to now, there is no prediction model of debris flow involving these two factors. Based on the 10 min and 1 h precise prediction model of debris flow, this study proposes a revised 10 min and 1 h precise prediction model of debris flow with channel width and particle size by field investigations. The validations were made in the group debris flow events of Dayi, Wangmo County, Guizhou Province, in the group debris flow events of Dechang, Sichuan Province, and a series debris flows in Wenjia Gully located in the Wenchuan earthquake area. The validations were successful in these debris flows events. It is concluded that the particle size in the formation area of debris flow catchment is the geological factor, and the channel width of the formation area of debris flow catchment is one of the topographical factor. Both of them are very important in the formation of debris flows. The revised 10 min and 1 h precise prediction model of debris flows can be used for forecasting of the ordinary debris flows and debris flows in strong earthquake area.
The channel width and particle size in the formation area of debris flow catchment are important factors in the initiation of debris flows caused by runoff mechanism. This phenomenon is often found in the debris flows in strong earthquake area. Up to now, there is no prediction model of debris flow involving these two factors. Based on the 10 min and 1 h precise prediction model of debris flow, this study proposes a revised 10 min and 1 h precise prediction model of debris flow with channel width and particle size by field investigations. The validations were made in the group debris flow events of Dayi, Wangmo County, Guizhou Province, in the group debris flow events of Dechang, Sichuan Province, and a series debris flows in Wenjia Gully located in the Wenchuan earthquake area. The validations were successful in these debris flows events. It is concluded that the particle size in the formation area of debris flow catchment is the geological factor, and the channel width of the formation area of debris flow catchment is one of the topographical factor. Both of them are very important in the formation of debris flows. The revised 10 min and 1 h precise prediction model of debris flows can be used for forecasting of the ordinary debris flows and debris flows in strong earthquake area.
2020, 45(4): 1457-1465.
doi: 10.3799/dqkx.2019.137
Abstract:
Stratigraphic age, lithological association and other parameters of Quaternary sediment are important basis of soil engineering division of geological units. Based on the comprehensive survey and integrated analysis of geomorphology features, the Quaternary geological characteristics (e.g. stratigraphic sequences, strata genesis and lithological characters, etc.) and the soil engineering geological properties, the zonation principle of soil unit of Wuhan Metropolitan Area is proposed as the combination of stratigraphic age, lithological association and stratigraphic sequences. In order to meet the requirements of the city construction, soil engineering of geological units of Wuhan Metropolitan Area is divided into three levels:unit layer (1), sub-unit layer (1-1), and basic unit layer (1-1-1). And the division of control factors is stratigraphic age, lithological association (rock stratigraphic units) and stratigraphic sequences, respectively. According to the above division principle, it is proposed that soil engineering division of geological units of Wuhan Metropolitan Area could be divided into 6 unit layers, 14 sub-unit layers, and 28 basic unit layers. In addition, the characteristics of each geological unit are also analyzed, respectively.
Stratigraphic age, lithological association and other parameters of Quaternary sediment are important basis of soil engineering division of geological units. Based on the comprehensive survey and integrated analysis of geomorphology features, the Quaternary geological characteristics (e.g. stratigraphic sequences, strata genesis and lithological characters, etc.) and the soil engineering geological properties, the zonation principle of soil unit of Wuhan Metropolitan Area is proposed as the combination of stratigraphic age, lithological association and stratigraphic sequences. In order to meet the requirements of the city construction, soil engineering of geological units of Wuhan Metropolitan Area is divided into three levels:unit layer (1), sub-unit layer (1-1), and basic unit layer (1-1-1). And the division of control factors is stratigraphic age, lithological association (rock stratigraphic units) and stratigraphic sequences, respectively. According to the above division principle, it is proposed that soil engineering division of geological units of Wuhan Metropolitan Area could be divided into 6 unit layers, 14 sub-unit layers, and 28 basic unit layers. In addition, the characteristics of each geological unit are also analyzed, respectively.
2020, 45(4): 1466-1480.
doi: 10.3799/dqkx.2019.128
Abstract:
In this paper, it presents a case study of the high-temperature geothermal field in Huizhou, China to interpret the formation model of this geothermal field and that of Southeast China by integrating seismics, geochemistry and the zircon U-Pb age. It is found that the magmatic intrusion in the study area is mainly Yanshanian I-type granite with high differentiation and high heat-producing elements, which has been formed by the subduction and the retreat of Paleo-Pacific Plate. The subterranean magmatic intrusion is an integrated whole with thickness up to 3.5 km. The heat transfer from the mantle to the surface promoted by the high thermal conductivity of granite, and the heat generated by radioactive element decay in granite are two important causes for high temperature geothermal formation in Huizhou. The subterranean granite in the study area has high heat production and inestimable geothermal resources of hot dry rock. The geothermal output model of this study area is of great significance to the energy supply system in Huizhou and even the Southeast China.
In this paper, it presents a case study of the high-temperature geothermal field in Huizhou, China to interpret the formation model of this geothermal field and that of Southeast China by integrating seismics, geochemistry and the zircon U-Pb age. It is found that the magmatic intrusion in the study area is mainly Yanshanian I-type granite with high differentiation and high heat-producing elements, which has been formed by the subduction and the retreat of Paleo-Pacific Plate. The subterranean magmatic intrusion is an integrated whole with thickness up to 3.5 km. The heat transfer from the mantle to the surface promoted by the high thermal conductivity of granite, and the heat generated by radioactive element decay in granite are two important causes for high temperature geothermal formation in Huizhou. The subterranean granite in the study area has high heat production and inestimable geothermal resources of hot dry rock. The geothermal output model of this study area is of great significance to the energy supply system in Huizhou and even the Southeast China.









PDF 319KB