2022 Vol. 47, No. 12
Debris flow is a worldwide natural hazard that has been common in all historical periods, especially in mountain area with frequent occurrence of earthquakes, causing severe loss of life and property every year. To cope with this sudden, violent, destructive disaster, a series of prevention and control measures have been applied. The measurement of debris flow is summarized systematically in this article. Two kinds of initiatives, namely structured-measures which include check dam, net barrier, drainage channel, sedimentation tank, planting etc. and warning system for unstructured-measures, are used to prevent or reduce the consequence. Static models and hydraulic models are exerted to estimate the impact force of debris flow, furnishing empirical coefficient for structured-measures design.
The dynamic response of slope under earthquake is significantly related to the incident angle of seismic waves. Based on the indirect boundary element method (BEM), the dynamic response characteristics of slopes with oblique incident SH waves are studied in this paper. First of all, based on indirect boundary element theory, a BEM program for dynamic response analysis of rock slope has been developed and validated by calculating the elastic reflection and scattered wave at an opened flat fracture. Then, the boundary element numerical simulation is used to analyze the response characteristics of different slopes under stress wave loading with various incident angles in detail. If the SH waves incident straightly, the seismic amplitude at the shoulder of the semi-circular depression terrain was the smallest, while the seismic amplitude at the highest point of the semi-circular convex terrain was the largest. The immense vibration appears at the shoulder of the single-slope, and the vibration at the top of the wedge convex terrain was the strongest. With the incidence angle of SH wave increasing, the positions with the maximum seismic dynamic response of all kinds of slopes also shift, and the seismic amplification coefficient changes accordingly. In addition, a slope in Zhangmu Town is taken as an example to reveal the amplification effect of local bulges on ground motion in rock slops with complex shapes. The main conclusions can be summarized. The slope microtopography greatly influences the seismic dynamic response, and the dynamic amplification effect is the most significant at the top of the raised mountain slope. The dynamic amplification coefficient and location of the same slope under the action of seismic waves at different incidence angles are different. The results of this research have important directive significance for evaluating slope stability and seismic design.
A numerical model of a landslide stabilized with anti-slide piles and anchor cable frame beams was developed using a three-dimensional finite element program MIDAS/GTS. The factor of safety of the reinforced slope was calculated using the displacement time curve method. The acceleration responses, structural internal forces, and load-sharing rules were analyzed by inputting Wolong seismic waves with different peak ground accelerations(PGA). The results show that the factor of safety of the reinforced slope satisfies the code requirements. A potential shallow slip surface exists in the upper part of the slope, and a potential deep slip surface exists in the middle and lower parts of the slope under the earthquake action. The acceleration of the reinforced slope under seismic loading shows an elevation amplification effect. As the PGA of the input seismic wave increases, the amplification effect is enhanced. The bending moments and shear forces of the anti-slip pile increase when the PGA of the input seismic wave increases. The maximum positive and negative bending moments of the anti-slip pile are located at about 0.7 L(pile length) and 0.4 L from the top of the pile, respectively. The maximum positive and negative shear forces are located at about 0.9 L and 0.7 L from the top of the pile, respectively. When the PGA increases, the load sheared by piles and anchor cables increases gradually. However, the proportion of thrust shared by anti-slip piles increases while the proportion of thrust shared by anchor cables decreases. Thus, the variation of the proportion of thrust shared by anti-slip piles and anchor cables is recommended to be considered in engineering projects.
Taking the Hongshiyan collapse and landslide induced by Ludian earthquake as the research object, the dynamic response and failure instability mode of anti-dip rock slope with weak rock stratum are studied through large-scale shaking table model test and 3DEC numerical simulation. The results show that under horizontal loading, the PGA amplification coefficient first decreases and then increases with the increase of frequency, and the dynamic response of the slope is the most intense under the waveform loading close to the natural frequency of 8 Hz. The weak rock stratum can amplify and absorb transverse wave of different frequencies. It has obvious amplification effect on 5—10 Hz waves, obvious absorption on 15—20 Hz waves, and absorption on 25—30 Hz waves, but not obvious in 15—20 Hz frequency. Under vertical loading, with the increase of loading sine wave frequency, the PGA amplification factor first increases, decreases at 25 Hz, and then continues to increase. When the frequency is 30 Hz, the PGA amplification factor reaches the maximum. In the range of 5—30 Hz, the weak rock stratum has a certain amplification effect on the longitudinal wave. Under two direction loadings, the horizontal and vertical PGA amplification factor distributions of the slope are consistent with that under single direction loading. However, two direction loadings, the dynamic response at some positions of the slope is intensified, while the dynamic response at some positions is restrained. The failure process of anti-dip rock slope with weak rock stratum can be divided into six stages: slight damage inside the slope body-weak rock stratum extrusion and hard rock cracking above the boundary of soft and hard rock-hard rock crack extends upward-squeezing sliding of weak rock stratum-sliding surface formed by bedding plane and vertical joints-slope failure. In the anti-dip rock slope with weak rock stratum, the weak rock stratum has the amplification and absorption of seismic waves and the refraction and reflection effect, which affects the dynamic response characteristics of the slope. The extrusion failure of weak rock stratum leads to the disintegration and rupture of the structural plane of the upper rock mass, which is the main reason for the failure and development of the rock slope. For this kind of slope, attention should be paid to strengthening the weak rock stratum to reduce the dynamic damage of the slope.
Earth dams are prone to be instability and failure, resulting in casualties and great social and economic impact under strong earthquakes. Due to the uncertainty of earthquake, the instability analysis of earth dams under strong earthquake is usually expressed by the instability probability. At present, the commonly used method is the seismic vulnerability analysis method, mainly including cloud chart method and incremental dynamic analysis (IDA). The incremental dynamic analysis leads to accurate results but has low computational efficiency, while cloud analysis has high computational efficiency but cannot guarantee the computational accuracy effectively. Therefore, CIHA, a fast and accurate seismic vulnerability analysis method based on cloud analysis and IDA is proposed in this paper. CIHA can give consideration to both calculation efficiency and accuracy. This method is based on the logarithmic linear regression hypothesis of cloud analysis and adopts nonlinear time history analysis. The seismic intensity value under the corresponding damage index is calculated by scaling the seismic wave once, and the fragility curves of earth dam under each damage level is generated based on the mean and variance of these seismic intensity values. The calculation results of the method proposed in this paper are compared with those of IDA through the seismic fragility analysis of Lower San Fernando earth dam. The results show that the practical seismic fragility analysis method can obtain similar results with IDA in terms of accuracy, and the calculation efficiency is significantly improved compared with IDA in terms of calculation efficiency.
Applying probabilistic seismic hazard evaluation model for seismic landslide hazard zonation is an effective method to handle the uncertainty of seismic source and spatial and temporal uncertainty of seismic-induced landslide evaluation in potential seismic area. Combined with theoretical analysis and actual ground motion parameters of Ludian earthquake and landslide hazards, the uncertainty of earthquake parameters and the geotechnical strength parameters in the proposed Newmark model were optimized and verified. Specifically, the strength attenuation effect of slope rock mass, the topographic amplification effect of seismic acceleration, and the fault zone effect were integrated into the Newmark model to optimize the model parameters. The optimized model shows a better effect of the slope topography and fault zone on the development of earthquake-induced landslide. Meanwhile, the calculation results have a higher agreement with the actual seismic landslide distribution in Ludian earthquake area. In addition, the prediction results show that the probability of seismic landslide will greatly increase in the Baogunao-Xiaohe fault, the Ludian-Zhaotong fault, and the Niulanjiang River valley for 2% probability of exceedance in 50 years. Therefore, it is necessary to take into account the dynamic response laws of earthquake parameters and geotechnical parameters in the Newmark model, which has great effect to improve the reliability of regional slope stability analysis.
Earthquake is one of the main causes of instability and collapse of high dangerous rock mass, and the strength and deformation characteristics of structural plane play a key role in controlling the stability of high dangerous rock mass. In order to study the dynamic instability mechanism of high dangerous rock mass under earthquake, in this paper it studies the vibration deterioration effect of structural plane based on numerical tests and studies the dynamic stability of high dangerous rock mass based on the limit equilibrium method. The research results show that the peak shear strength of the structural plane decreases with the increase of cyclic shear times, and the decreasing degree is getting smaller and smaller until it finally tends to be stable. It increases as the undulation angle increases, and the increase amplitude decreases as the cyclic shear times increase; and it decreases as the cyclic shearing amplitude increases at the same undulation angle. Finally, the mathematical model of structural plane vibration degradation is established based on regression analysis method, and a dynamic stability analysis method of high dangerous rock mass considering structural plane vibration degradation is proposed. The research results are helpful to enrich the basic theoretical research on the dynamic stability of high dangerous rock mass, which is of great theoretical significance and engineering reference value.
A three sections locked rock slope model was designed and produced, and a large-scale shaking table test was carried out to analyze the dynamic response and deformation failure mode of the three sections locked rock slope under earthquake action. The research results show that the natural vibration frequency of the three sections locked slope model decreases gradually with the increase of vibration times, and the damping ratio increases gradually with the increase of vibration times; the horizontal acceleration amplification factor of the slope model shows obvious elevation amplification effect and surface effect. Under the action of different types of input waves, there are obvious differences in the slope acceleration response: the acceleration amplification coefficient increases first and then decreases with the increase of input wave frequency, and the peak acceleration amplification coefficient reaches the maximum value when the frequency is 15 Hz. With the increase of the amplitude of the input wave, the acceleration amplification coefficient of the slope increases first and then decreases. Under the action of seismic wave, multiple cracks appear in the locking section between the crack at the top of the slope and the weak interlayer at the bottom, and continue to develop in an X-shaped connection. Finally, a 3-level slip surface is formed in the slope, and the slope slides along the 3-level slip surface under the action of continuous vibration.
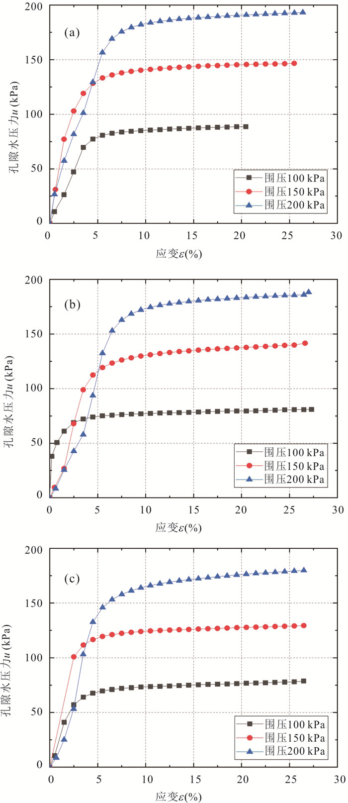
Loess poses a serious threat to the safety of engineering structures because of its collapsibility and deformation when it encounters water. The internal structure of loess in strong earthquake areas will change after encountering historical earthquakes, and the structural evolution is closely related to the initial water content of loess. Structural damage of loess by historical earthquakes also affects its macroscopic mechanical characteristics: In order to reveal the mechanism of the structural evolution and mechanical response of loess in strong earthquake areas, the loess samples were pre-seismically treated with dynamic loads under different PGA (peak ground acceleration) conditions via dynamic triaxial tests, so that the disturbance of historical earthquakes to loess was simulated. Afterwards, the undrained test was carried out to analyze the correlation between the shear strength parameters, the seismic load and initial water content. The test results show that when the initial moisture content is 2%, the peak strength of the loess sample with pre-seismical treatment is significantly lower than that of the sample without pre-seismical treatment, and with the increase of PGA, the peak strength decreases. The pore water pressure eventually tends to be constant with the continuous increase of the strain, the effective axial stress and the effective confining pressure decrease with the continuously increasing strain, and finally tend to be content. When the initial water content increased to 12%, the strength of the loess sample after pre-seismical treatment increased.By drawing the stress path relationship curve, the critical instability line and failure line of the loess in the strong earthquake area are determined. For the same loess samples, the increase of PGA causes the loess instability line to move down continuously, indicating that the stress state in the loess changes with the increase of the earthquake dynamic load. When the initial moisture content is 12%, the shear strength of the loess sample after pre-seismic treatment increases.
The anchored rock slope has great anti-seismic effect, hence its dynamic response mechanism under earthquake is worthy of in-depth understanding. In this paper it systematically reviews the literature on the seismic dynamic response of anchored rock slope. The dynamic characteristics, dynamic stability, and factors influencing dynamic response for anchored rock slope under earthquake are discussed. Future research includes three aspects. Firstly, the dynamic evolution pattern of anchored rock slope under different earthquake types such as macroseism or frequent microseism will be analyzed. Secondly, through the geomechanics model of anchored rock slope based on evolution mode, scholars will reveal the transmission law of seismic load, the mechanical evolution process of anchorage structure, the dynamic response characteristics of anchored rock slope, and the coupling mechanism of rock slope-anchorage structure system under earthquake. Thirdly, innovation, integration, and standardization of key technologies for new anti-seismic anchorage structures with severe plastic deformation will be carried out. Application demonstration area of key technologies for new anti-seismic anchorage structures will be established.
A smooth particle hydrodynamics (SPH) with an improved damage framework was proposed, called kernel-broken smoothed particle hydrodynamics (KBSPH), to simulate the crack propagation and fracture of rock slope under seismic conditions. In KBSPH, an improved damage framework was proposed, which improved the kernel function of damaged particles by introducing a fracture symbol, directly leading to the fracture of the virtual stress bonds of damaged particles. Therefore, the cracks were generated between the virtual bonds, and the crack propagation process of the rock mass is simulated. A double-layer boundary was developed by separating the dynamic boundary from the viscous boundary. Firstly, the dynamic characteristics of KBSPH were verified by thin plate vibration experiments. Secondly, the fracture mechanical properties of KBSPH were verified by a uniaxial compression test of a single fractured rock mass. Finally, the crack propagation process and dynamic response in the multi-joint rock slope under seismic conditions are simulated. The result shows that the thin plate vibration experiment verifies the accuracy of the dynamic characteristics of KBSPH. The uniaxial compression test of single-crack rock mass proves that KBSPH can correctly simulate airfoil cracks at the tip of prefabricated cracks. By comparing the previous numerical simulation methods and field cases, KBSPH correctly reveals the acceleration amplification effect and the crack propagation of the rock slope under earthquake conditions. KBSPH avoids the grid distortion of traditional algorithms and the redistribution of stress components of damaged particles. It reduces the difficulty of programming and improves the running speed. It infers that the KBSPH method is effective and shows promise for applications to more rock slopes under earthquake conditions and understanding of rock fracture mechanisms.
Engineering rock excavation will encounter a variety of complex stress conditions, and the rock will produce rheological phenomena over time under a loading effect. The "progressive damage" leads to landslides, collapses, large deformations and support difficulties in the engineering rock. In order to explain the rheological phenomena of natural rock discontinuities, the shear creep characteristics of the discontinuities of red sandstone are systematically studied based on the three-dimensional morphological scanning test and the graded loading shear creep test. It is found that the amount of creep deformation of the discontinuities is positively correlated with the creep stress and the three-dimensional morphological parameters of the discontinuities. The creep curve of the discontinuities can be divided into three stages, i. e. transition creep, steady-state creep and accelerated creep stage. When the normal stress is certain, the larger the three-dimensional morphological parameters of the discontinuities, the more intense the creep damage occurs. Based on the characteristics of shear creep curve and shear creep rate curve of the discontinuities, an empirical model of shear creep of the discontinuities is established with clear physical meaning of parameters.
The large-scale shaking table test method can simulate seismic effects realistically and effectively, and is a common method for studying the ground vibration response characteristics of slopes in recent years. In this paper it reviews the relevant literature on large-scale shaking table test model on slopes and categorises the research methods, research objects and main findings. Finally, by analyzing the problems in the current research of large-scale shaking table physical simulation tests on rock slopes, in this paper it points out the future research directions and lays the foundation for an in-depth understanding of the dynamic response characteristics of rock slopes under seismic action, the deformation and damage laws and the mechanism of the dynamic coupling between the supporting structure and the geotechnical body, which has important theoretical significance and engineering value.
The anti-sliding force provided by the reinforcement structure is often simplified to a constant value, which cannot reflect the change in the earthquake. To accurately evaluate the stability of the slope, the nonlinear mechanical model is introduced. Combined with the newmark method, the real-time update of the anti-sliding force is realized. The effect of vertical seismic loads on the slope is also considered. The calculation formulas of safety factor and displacement are deduced. Besides, the effect of structural coefficient changes on the results is discussed. The research shows follows: (1) After introducing the exponential nonlinear model, the anti-sliding forces show time effects and increase with earthquakes. (2) The anchor cable force at the initial stage of the earthquake is equal to the pre-tension force, and the stabilizing pile has no anti-sliding effect. As the slope slides, the force of the stabilizing pile grows rapidly and eventually dominates. (3) Equating the anti-sliding force of the structure as a fixed value simplifies the calculation, but the risk of slope instability is underestimated. In the reinforcement design, the deformation of the reinforcement structure should be considered.
Plate suture zone, a special type of "fault", its geohazard effect is an indispensable content in the study of engineering geology and hazard geology, and has great practical significance for engineering construction. Constrained by the complex and long tectonic evolution of the Tethys Ocean, there are 7 plate suture zones along the Sichuan-Tibet traffic corridor, but the study on their geohazard effect is rarely involved. Based on collecting and sorting out the existing research results, combined with field geological survey and laboratory research, in this paper it briefly analyzes the geohazard effect of plate suture zone along the Sichuan-Tibet traffic corridor, and discusses its internal mechanism. The results show that the geohazard effect of plate suture zone is mainly reflected in four aspects, namely shaping landform, creating topographic conditions, degrading rock mass, providing material sources, controlling the distribution and inducing geohazards (chain). Tectonic mélange is of natural disaster prone because of its complicated geological evolution process and special lithologic type and assemblage characteristics, and the tectonic movement during the emplacement of plate suture zone is the endogenous driving force of geohazard effect. The geohazard effect of the plate suture zone is the external manifestation of the coupling of internal and external dynamic geological processes during the tectonic evolution of the plate suture zone along the Sichuan-Tibet traffic corridor. The study on the geohazard effect of plate suture zone is at the initial stage, and it is suggested to deepen the understanding on the basis of detailed investigation of both basic geology and hazardous geology. For the construction of Sichuan-Tibetan traffic corridor, it is quite necessary to strengthen the research on engineering effect of plate suture zone and the research and development of geohazard monitoring and early warning system to ensure its safe construction and smooth operation.
The slope controlled by weak structural plane is prone to slip failure under the influence of blasting strong earthquake disturbance, and its failure mechanism is an important part of landslide disaster protection. Combined with the self-developed blasting stress wave disturbance shear strength instrument of structural plane, the deterioration law of shear strength was obtained, the quantitative relationship between dynamic stress of structural plane and shear strength after disturbance was constructed, and the failure model of internal shear strength of structural plane was proposed. The study shows that the transmission coefficient of P wave generated by the calculation model at the two interfaces decreases with the increase of incident angle. After loading, the shear strength of the weak structural plane was obviously deteriorated. When the loading amplitude was 0.2 mm, the cohesion decreased from 68.75 kPa to 9.69 kPa. Combined with the established shear strength failure model and the shear strength degradation law obtained from the test, the safety of the weak structural plane can be guaranteed when the amplitude is within 0.15 mm.
In order to obtain the dynamic response laws of the flexible rockfall barriers under different rockfall movement characteristics, taking the site where the flexible barriers were damaged by rockfall after the Ludian 803 earthquake as an example, the geological survey was carried out through the UAV tilt photogrammetry technology, Rockyfor3D was used to obtain the movement characteristics of the rockfall in the study area. And through the finite element model, the dynamic response laws of the flexible barrier under different rockfall impact forms are studied. The research shows that the bounce heights of rockfall in the area is generally between 1-2 m, and the rockfall on the dominant path will form a scale impact with slightly high speed and low bouncing. Under the scale rockfall impact, the maximum tensile force of the flexible barrier rope can be increased by 123.7%; under the low-bounce rockfall impact, the maximum tensile force of the rope can be increased by 181.2%. The scale rockfall impact will reduce the energy consumption of the flexible barrier net and lead to the increase of the tensile force of the upslope anchor rope. The lower primary support rope of the flexible barrier is more sensitive to the response of different rockfall bounce heights, some high-bounce rockfall will affect the upslope anchor rope and the upper primary support rope.
Bolting is one of the important methods to harness the bedding rock slopes. The stability of the rock can be strengthened by rock bolts. The mechanical model of bolted bedding rock slope is employed to analyses the behavior of the rock bolt. The force method approach and the deformation compatibility principles are used to model the contribution of the axial and shear bolt forces at the intersection between the bolt and the joint plane. The theoretical analyses of the shearing resistance for the fully grouted rock bolts in the bedding rock slope are evaluated in the action of axial and shear loads. Comparisons and validations were carried out between the shearing resistance mechanical model predictions and the experimental data. It is shown that the data of the both methods have a good agreement. The effects of bolt inclination, the length of shearing deformation, bolt diameter, the grout compressive strength, and the internal friction angle of the joint plane on the shear strength of the bolted bedding rocks are investigated in detail. The results show that the bolt shearing resistance model expresses the contribution of the axial force and shearing force of the bolts to the shear strength of the bedding rock slopes. The total resistance is reduced with the larger of the bolt inclination. With increasing of the dilation angle, the rock bolt resisting force increases. When the inclination of rock bolt equals to the friction angle, the bolt contribution to resist the rock movement is the maximum value.The greater the diameter of the bolts, the larger the bolt resistance. The resistance of the rock bolt will have a little reduction with the increasing of the grout compressive strength for a certain diameter of the bolt.
The tangential restitution coefficient is an important control parameter for the rebound of the rolling stone, and the current theoretical formula can not fully reflect its mechanism. Firstly, according to the different rebound states of the rolling stone, a tangential force model based on the change of incident angle is proposed. Further considering the tangential friction energy dissipation and deformation energy dissipation in the collision process, the theoretical formula of tangential restitution coefficient is derived based on tangential contact theory and kinetic energy theorem. Finally, the influence of various factors on the tangential restitution coefficient is studied. The results show that the tangential restitution coefficient of rolling rebound is mainly affected by tangential deformation. When the rolling stone slips, the influence parameter of incident velocity on the tangential restitution coefficient is
, and the tangential restitution coefficient decreases slowly as it increases, while the influence parameter of incident angle on tangential restitution coefficient is
, and the tangential restitution coefficient increases with its increase, the influence parameter of the deformation modulus of the impacted object on the tangential restitution coefficient is
, and the tangential restitution coefficient increases with its increase. The tangential recovery coefficient based on friction and deformation energy dissipation provides a new computational model for the collision process of rolling stone.
China is a particularly landslide-prone country in the world. The prevention and control of major landslides is an important and urgent strategic demand for national disaster prevention and mitigation. The nature has undergone a long evolutionary process, and evolution is the basic property of landslides as well as an important basis for landslide engineering geology research. The correct understanding of landslide evolution mechanism, evolution characteristics and their quantitative characterization are the key components of research on landslide prediction, forecasting, prevention and control. Based on the common characteristics of nature evolution, in this paper it systematically describes the basic properties of power sources, evolutionary forms, development patterns, evolutionary stages and evolutionary states of landslide. Meanwhile, in this paper it proposes that multi-field correlation monitoring is an effective means to reveal the evolutionary characteristics of landslides, introducing the recent technical breakthrough of landslide flexible deformation monitoring technology. Additionally, the application of evolution in the prediction and prevention of major landslides is proposed, and the further research on major landslide evolution is pointed out.
It is significant to improve the warning accuracy and spatial identification of rainfall-induced landslides. This study takes 156 typical rainfall-induced landslide events from 1980 to 2001 in Ningdu County Jiangxi Province, China as a case. Firstly, the time probability levels of different rainfall-induced landslides are calculated based on traditional EE-D (early effective rainfall-rainfall duration) threshold. Then taking each time probability corresponding to each level critical rainfall threshold curve as dependent variable, and its early effective rainfall (early effective rainfall, EE) and rainfall duration (D) as independent variables, logistic regression is adopted to fitting nonlinear mapping relationship between probability of rainfall-induced landslides and EE and D to obtain continuous probability of landslides. Furthermore, prediction performance of landslide susceptibility between C5.0 decision tree and multilayer perceptron is compared. Finally, continuous probability of rainfall-induced landslides is coupled with landslide susceptibility to realize continuous landslide hazard warning. Results show follows: (1) logistic regression fitting equation of continuous probability rainfall-induced landslides is 1/P=1+e4.062+0.747 4×D-0.079 44×EE with R2 of 0.983. (2) most of 20 rainfall-induced landslides from 2002 to 2003 used for continuous probability critical rainfall threshold test fell in areas with continuous probability greater than 0.7, and only 4 of them fell in areas less than 0.7. (3) the C5.0 DT model has a better prediction performance than the multilayer perceptron. (4) the continuous probability hazard values of four rainfall-type landslides in the past five years are above 0.8, and the areas of high and very high warning zone are smaller than those of traditional landslide hazard warning. It is concluded that compared with the traditional hazard zoning method, the continuous landslide hazard warning method has higher warning accuracy and spatial identification, and the real time landslide hazard map carrying out spatial and time warning can be obtained through combination of landslide critical rainfall threshold and landslide susceptibility map.
Earth evolution, groundwater system, rock engineering and geohazards are related to rock mass structures of different scales. Due to the data deficiency on the structure of underground rock mass, it is a significant challenge to realize the regional elaborated analysis of rock mass structure. Based on the summary of research progress of multiscale rock mass structure investigation, in this study it lists the problems in the elaborated multiscale analysis of rock mass structure. Applying the theory of earth system science, the ideas and technical solutions for these problems are proposed. Rock mass structure is closely related to the evolution process and surrounding environment (pressure-temperature-time, PTt). It is necessary to explore the co-evolution mechanism of discontinuities on different scales and the elaborated analysis theory of multiscale rock mass structure from the perspective of system science. This study combines earth system science with modern survey, experiment, and simulation of rock mass, and proposes a multiscale research approach of rock mass structure combining "PTt -mechanical model-menergy dissipation-discontinuities". The approach is expected to realize the regional elaborated analysis of rock mass structure.
With the impact of global warming, the ice avalanche disaster on the Tibetan plateau is becoming more and more serious. Through a large number of remote sensing interpretations and data analysis, the number, types, development patterns and dangers of the hidden ice avalanches on the Tibetan plateau were identified systematically. (1) There are a total of 581 hidden dangers of ice avalanches in 40 269 glaciers. According to the mode of instability, they are divided into sliding type and caving type; according to the disaster mode, they are divided into the direct disaster of the ice avalanche, dammed lake outburst flood and glacial lake outburst flood. (2) The sensitive slope of ice avalanche is 40°-50°, and the concentrated elevation is 4 500-5 500 m, and the slope direction is "northern-friendly". (3) Obvious differences in regional distribution. Tibet and Xinjiang account for 89.5%, Yarlung Zangbo River and Tarim River basins account for 80.4%, Nyainqentanglha and Hengduan Mountains accounted for 49.4%. (4) Significant differentiation in spatial distribution. The elevation of the front edge of the ice avalanche changed regularly with the eastern Himalayan syntaxis region as the boundary. The elevation generally increased from west to east toward the west, while a "V"-shaped trend that first decreased and then increased toward the east. 40.1% of the ice avalanches front elevation was 4 500-5 000 m, located near the snow line and controlled by mountains. It had the characteristics of "clustering" at the junction of climatic zones. (5) There are 330 low-risk ice avalanches, 215 medium-risk points, and 36 high-risk points.
Landslide is generally characterized by complex moving paths, reflected by behaviors including spreading, turning, splitting, braiding, coalescence and connection.The complexity of landslide moving path increases landslide risk.Therefore, researches on the quantifications and probability distributions of the complexities of landslide moving paths are required for landslide hazard assessment.In this paper it systematically reviews current researches on the complexities of landslide moving paths, points out key problems faced by relevant researches, and proposed perspectives for future researches.Generally, both the quantifications and probabilistic distributions of the complexities of landslide moving paths are inadequate.Specifically, the current profile abstraction method for landslide moving path is not applicable to multi-path complex behaviors; existing indices cannot systematically and scientifically quantify the complexities of landslide moving paths; the probability distribution functions of the complexities of landslide moving paths and their major constraining factors are not clear.Further, for solving the above problems, in this paper it suggests in the prospects: (1) to realize profile abstractions of multi-path complex behaviors mainly by transforming multi-paths into single-paths section by section; (2) to systematically quantify the complexities of landslide moving paths by developing a profile based index system; (3) to find out the probability distribution functions of the complexities of landslide moving paths and their major constraining factors by comprehensively analyzing data of landslide cases from various sources; and finally to develop prediction models for the probability distributions of the complexities of landslide moving paths, and further give a scientific support for quantitative landslide hazard and risk assessments in practice.
The Jiaju ancient landslide,located in Jiaju Village,Niexia Township,Danba County,Sichuan Province,is mainly composed of 5 secondary sliding bodies,such as Jiaju landslide (H01),Niexiaping landslide (H02),Xiaobawang Village landslide (H03),Niela Village landslide (H04),and the mountain top landslide (H05). Affected by factors such as regional structure,heavy rainfall,river erosion,stratigraphic lithology,etc.,the secondary sliding bodies of Jiaju ancient landslide continue to undergo creep deformation,which will cause certain harm to villages,roads and the front edge of Dajin River. The deformation rate tends to increase further after the occurrence of heavy rainfall that occurs once every 50 years in 2020. In this paper it uses SBAS-InSAR technology,combined with remote sensing interpretation and field investigation,obtained the surface deformation characteristics of the Jiaju ancient landslide from June 2018 to August 2021, and obtained the edge of the Jiaju ancient landslide through two-dimensional deformation rate conversion,the slope and vertical deformation rates. The research shows that the maximum deformation rate of the Jiaju ancient landslide along the radar line of sight (VLOS) is -179 mm/a,the maximum deformation rate along the slope direction (Vs) is -211 mm/a,and the maximum deformation rate along the vertical direction (Vv) is -67 mm/a. The northern area of the Jiaju landslide,the southern area of the Niela Village landslide,and the trailing edge of the mountain top landslide are largely deformed,and are generally located in the strong deformation-extremely strong deformation area. The deformation mechanisms of the Jiaju ancient landslide are different to some extent. The Jiaju landslide is dominated by traction deformation,while the Niela Village landslide is dominated by push deformation. Due to the complex geological structure of the ancient landslide and the strong neotectonic activity,under the action of heavy rainfall,it is easy to cause the landslide creep rate to accelerate and further destabilize,resulting in dammed lake and dam broken hazards. It is suggested to strengthen the surface deformation monitoring of secondary sliding bodies to provide technical support and scientific basis for geohazard prevention and mitigation of watershed geological safety risks.
The engineering behaviors of high flowing soil prepared from the subway residue soil were tested in this paper, which may greatly improve the utilized efficiency of the soil. The waste silty clay and silty sand were used in these tests mixing with different proportions of cement and water. Twenty-four groups of mixing soil considering the effect of soil type and mix proportion were prepared for the tests. The tests includes the fluidity measuring tests, bleeding tests and strength tests, which characterize the engineering behavior of these samples. It can be concluded that the low-strength sand soil shows a greater fluidity than that of the silty clay. The adding of foam can also improve its fluidity of the mixing soil. Most of the fluidity parameters prepared mixing soil can meet the engineering requirement within two hours. An empirical formula of fluidity was fitted from the test results of the mixing silty clay soil. The unconfined strength and deformation characteristics of solidified soil samples were also performed by digital image triaxial apparatus. The different failure modes were analyzed by comparing the original and damaged solidified soil samples. It can be concluded that the failure modes were represented by the shear failure, compression failure and splitting failure when the contents of curing agent are 5%, 10%, 15% and 20%, respectively. The flow loss rate, compressive strength and deformation model of the flowing soil were presented, from which the engineering application of preparing high flowing soil were recommended.
Sandstone grottoes are valuable stone cultural relics. However, due to its complex occurrence environment, long-term weathering and the human activities, a variety of deformation and failure phenomena have been produced. Detailed classification system and precise characterization are required for the diagnosis, interpretation, classification and prediction of the deformation and failure of stone cultural relics. However, there is no comprehensive classification method to describe types of deformation and failure of rock in grottoes. In this paper it investigates the engineering geological conditions and failure characteristics of grottoes in northern and southern China. Based on the engineering geological theory, the deformation and failure types of grotto are divided into engineering geological genetic types and engineering geomechanics types. According to the specific damage phenomena, a comprehensive classification method is established, including 2 classes, 6 subclasses and 24 kinds of damage phenomena. Different phenomena and mechanism in south and north grottoes are compared. North grottoes have more damage caused by unloading relaxation. But the failure in south grottoes is mainly resulted from changing micro-environment. As for changing micro-environment, fishing-net-shaped denudation is dominant in north grottoes while scaly-shaped exfoliation is prominent in south grottoes.
The study of oxygen and carbon isotopic compositions of carbonate cements is an important technical method to analyze fluid-rock interaction during diagenesis. By means of petrology, mineralogy and geochemistry, the chemical composition and isotopic composition of carbonate cements and diagenetic fluids in sandstones of Shahejie Formation in western depression of Liaohe basin are systematically analyzed. The results show that the carbonate rocks in the study area are mainly calcite and dolomite, and the main types of cementation are inlaid cementation, pore cementation, patchy cementation and star-point cementation. The stable isotopic composition of carbon and oxygen can effectively reflect the origin of diagenetic and ore-forming fluids and other materials. The oxygen isotopic composition of carbonate cements is very different from that of shallow groundwater but similar to that of metamorphic water, which reflects the influence of active thermal fluid on diagenesis during basin evolution. The hydrogen and oxygen isotopic compositions of the inclusions can represent the evolution characteristics of the ore-forming solutions. The inclusions of the sandstone carbonate cements are enriched with light isotopes of hydrogen and heavy isotopes of oxygen, indicating the obvious "oxygen-18 drift". The carbonate cemented ore-forming solution shows the isotopic composition of "heated rain", which reflects the influence of deep active thermal fluid on diagenesis.









PDF 5570KB