2000年 25卷 第2期
2000, 25(2): 111-116.
摘要:
大别-苏鲁构造带内超高压(UHP)和高压(HP)变质岩石的分布和不同构造岩石单位间的关系表明, 三叠纪中朝与扬子克拉通碰撞及超高压和高压变质岩石形成时的古缝合线, 位于大别地块的北缘, 沿八里畈-磨子潭-晓天一线展布, 在苏鲁地区, 五莲-烟台断裂代表被强烈改造了的古缝合线的位置.大别山北部霍山县与岳西县交界地区以及舒城、桐城和潜山县交界地区UHP和HP单位岩石的大面积分布, 说明水吼-五河断裂不是UHP和HP榴辉岩相岩石的北限, 因而, 不代表缝合线位置, “南大别”与“北大别”地体的划分地质意义是不明确的.同时, 大别山北部的镁铁质及超镁铁质岩石块体群, 包括变形的方辉橄榄岩、纯橄榄岩组合及未变形的辉石岩、角闪辉石岩和辉长岩组合, 前者与榴辉岩相岩石有相同的变形变质及几何学特征, 后者是燕山期侵入体(123~130Ma), 因此, 不是“变质蛇绿混杂岩”, 也不代表三叠纪陆-陆碰撞时期古缝合线.强调指出, 准确地鉴别三叠纪碰撞缝合线位置, 是正确理解UHP和HP岩石形成及折返动力学过程的关键.
大别-苏鲁构造带内超高压(UHP)和高压(HP)变质岩石的分布和不同构造岩石单位间的关系表明, 三叠纪中朝与扬子克拉通碰撞及超高压和高压变质岩石形成时的古缝合线, 位于大别地块的北缘, 沿八里畈-磨子潭-晓天一线展布, 在苏鲁地区, 五莲-烟台断裂代表被强烈改造了的古缝合线的位置.大别山北部霍山县与岳西县交界地区以及舒城、桐城和潜山县交界地区UHP和HP单位岩石的大面积分布, 说明水吼-五河断裂不是UHP和HP榴辉岩相岩石的北限, 因而, 不代表缝合线位置, “南大别”与“北大别”地体的划分地质意义是不明确的.同时, 大别山北部的镁铁质及超镁铁质岩石块体群, 包括变形的方辉橄榄岩、纯橄榄岩组合及未变形的辉石岩、角闪辉石岩和辉长岩组合, 前者与榴辉岩相岩石有相同的变形变质及几何学特征, 后者是燕山期侵入体(123~130Ma), 因此, 不是“变质蛇绿混杂岩”, 也不代表三叠纪陆-陆碰撞时期古缝合线.强调指出, 准确地鉴别三叠纪碰撞缝合线位置, 是正确理解UHP和HP岩石形成及折返动力学过程的关键.
2000, 25(2): 117-121.
摘要:
地层层序是古海平面变化的信息记录载体, 有效容纳空间(C(t))是地层层序的堆积场所, 是海平面变化(L(t))、构造沉降(Y(t)) 和地质时间(t) 的函数.通过对上扬子地台西缘二叠—三叠系层序地层学研究, 在总结前人海平面变化曲线研究方法的基础上, 建立了海平面变化曲线的数学模型(数学地质模型和数学函数模型), 即首先创立海平面变化曲线的数学地质模型: C(t) =L(t)+Y(), 进而提出了海平面变化曲线的数学函数模型.运用该模型定量编制了上扬子地台西缘二叠—三叠纪海平面变化曲线.
地层层序是古海平面变化的信息记录载体, 有效容纳空间(C(t))是地层层序的堆积场所, 是海平面变化(L(t))、构造沉降(Y(t)) 和地质时间(t) 的函数.通过对上扬子地台西缘二叠—三叠系层序地层学研究, 在总结前人海平面变化曲线研究方法的基础上, 建立了海平面变化曲线的数学模型(数学地质模型和数学函数模型), 即首先创立海平面变化曲线的数学地质模型: C(t) =L(t)+Y(), 进而提出了海平面变化曲线的数学函数模型.运用该模型定量编制了上扬子地台西缘二叠—三叠纪海平面变化曲线.
2000, 25(2): 122-126.
摘要:
中更新世晚期, 东昆仑布青山已开始大幅度崛起.布青山北坡查干额日格地区第四系厚达百余m, 整体上为具多元结构的洪冲积扇复合建造体, 其中较细粒沉积层中产丰富的孢粉化石.根据冲洪积层中植物孢粉组合分析, 确定其时代为中更新世, 孢粉组合所反映的当时植被类型为混交林-荒漠草原.冲洪积层中部的热释光年龄为(30 2± 2 2) ka, 古地磁测量确定出琵琶反向极性1和琵琶反向极性2两个亚时, 时代为中更新世晚期.
中更新世晚期, 东昆仑布青山已开始大幅度崛起.布青山北坡查干额日格地区第四系厚达百余m, 整体上为具多元结构的洪冲积扇复合建造体, 其中较细粒沉积层中产丰富的孢粉化石.根据冲洪积层中植物孢粉组合分析, 确定其时代为中更新世, 孢粉组合所反映的当时植被类型为混交林-荒漠草原.冲洪积层中部的热释光年龄为(30 2± 2 2) ka, 古地磁测量确定出琵琶反向极性1和琵琶反向极性2两个亚时, 时代为中更新世晚期.
2000, 25(2): 127-131.
摘要:
综合利用泥岩声波时差、实测地层压力和地震资料, 分析了辽河盆地大民屯凹陷的地下流体压力场特征.研究结果表明: (1) 本区泥岩压实类型可划分为正常压实-常压型、单段欠压实-弱超压型和双段欠压实-强超压型三大类; (2) 油层压力梯度接近于1, 多属正常压力系统; (3) 利用地震资料研究平、剖面压力场特征具有较高的可行性与可靠性; (4) 现今剖面压力系统由浅部正常压力、中部弱超压和深部强超压3个部分组成, 断裂系统、不整合面和相互连通的孔隙系统及底辟构造组成了凹陷内流体纵、横向输导的复杂网络系统; (5) 规模较大断层两侧的剩余压力和压力系数具较明显的差异性, 断层对压力的形成、演化与分布起着重要的控制作用; (6) 欠压实与烃类生成是本区超压形成的主导机制.
综合利用泥岩声波时差、实测地层压力和地震资料, 分析了辽河盆地大民屯凹陷的地下流体压力场特征.研究结果表明: (1) 本区泥岩压实类型可划分为正常压实-常压型、单段欠压实-弱超压型和双段欠压实-强超压型三大类; (2) 油层压力梯度接近于1, 多属正常压力系统; (3) 利用地震资料研究平、剖面压力场特征具有较高的可行性与可靠性; (4) 现今剖面压力系统由浅部正常压力、中部弱超压和深部强超压3个部分组成, 断裂系统、不整合面和相互连通的孔隙系统及底辟构造组成了凹陷内流体纵、横向输导的复杂网络系统; (5) 规模较大断层两侧的剩余压力和压力系数具较明显的差异性, 断层对压力的形成、演化与分布起着重要的控制作用; (6) 欠压实与烃类生成是本区超压形成的主导机制.
2000, 25(2): 133-136.
摘要:
从气体地球化学、有机质热变、包裹体均一温度、古地温梯度、成岩矿物、重金属元素和岩浆活动等方面证实了东营凹陷发生了大量的热流体活动.热流体主要沿活动性较强的深大断裂运移至浅部, 并以侧向强迫对流为主, 同时具有多期次活动的特点.热流体通过改变温度场和地温梯度以及带入一些无机物质, 导致水-岩相互作用强度和类型的差异.
从气体地球化学、有机质热变、包裹体均一温度、古地温梯度、成岩矿物、重金属元素和岩浆活动等方面证实了东营凹陷发生了大量的热流体活动.热流体主要沿活动性较强的深大断裂运移至浅部, 并以侧向强迫对流为主, 同时具有多期次活动的特点.热流体通过改变温度场和地温梯度以及带入一些无机物质, 导致水-岩相互作用强度和类型的差异.
2000, 25(2): 137-142.
摘要:
孔隙流体压力属于流体状态参量, 它是进行盆地动力学分析、油气成藏动力学分析以及油气预测的重要因素之一.孔隙流体压力的预测模式应尽量将各种地质作用对其的贡献考虑进去, 并且, 利用大量的实际地层测试参数与各种地球物理参数之间的相互关系来选择适当的数学模型.选用神经网络计算技术对松辽盆地深层孔隙流体压力进行了预测, 并对孔隙流体压力的可能成因进行了分析.
孔隙流体压力属于流体状态参量, 它是进行盆地动力学分析、油气成藏动力学分析以及油气预测的重要因素之一.孔隙流体压力的预测模式应尽量将各种地质作用对其的贡献考虑进去, 并且, 利用大量的实际地层测试参数与各种地球物理参数之间的相互关系来选择适当的数学模型.选用神经网络计算技术对松辽盆地深层孔隙流体压力进行了预测, 并对孔隙流体压力的可能成因进行了分析.
2000, 25(2): 143-146.
摘要:
运用火山岩岩石薄片、铸体薄片、扫描电镜、孔、渗及压汞分析等多种分析测试手段研究了辽河盆地荣兴屯地区中生界火山岩储集性能, 认为: (1) 火山岩储集空间以次生孔缝为主, 原生孔缝大多已被充填; (2) 孔喉狭窄, 平均连通孔喉半径一般在0.100~ 0.500 μm左右.孔喉分布主要有单峰型和平峰型两种; (3) 孔隙组合类型有微裂缝型、微裂缝-孔隙型和孔隙型3种, 并以前两种类型为主; (4) 孔隙度值在1.0 %~ 16.3%之间, 渗透率在0.0 12× 10-3 ~12×10-3 μm2, 属低孔特低渗储集层; (5) 储层非均质性强, 渗透率级差为10 0 0, 突进系数为12.41, 变异系数为2.3.根据上述特点提出了火山岩储集层划分方案; (6) 由于孔/喉比值较小, 火山岩储集层的压汞退出效率较高, 平均达47.9%, 预示了较高的油气产能.
运用火山岩岩石薄片、铸体薄片、扫描电镜、孔、渗及压汞分析等多种分析测试手段研究了辽河盆地荣兴屯地区中生界火山岩储集性能, 认为: (1) 火山岩储集空间以次生孔缝为主, 原生孔缝大多已被充填; (2) 孔喉狭窄, 平均连通孔喉半径一般在0.100~ 0.500 μm左右.孔喉分布主要有单峰型和平峰型两种; (3) 孔隙组合类型有微裂缝型、微裂缝-孔隙型和孔隙型3种, 并以前两种类型为主; (4) 孔隙度值在1.0 %~ 16.3%之间, 渗透率在0.0 12× 10-3 ~12×10-3 μm2, 属低孔特低渗储集层; (5) 储层非均质性强, 渗透率级差为10 0 0, 突进系数为12.41, 变异系数为2.3.根据上述特点提出了火山岩储集层划分方案; (6) 由于孔/喉比值较小, 火山岩储集层的压汞退出效率较高, 平均达47.9%, 预示了较高的油气产能.
2000, 25(2): 147-151.
摘要:
将胜利油区下第三系发育的粒屑碳酸盐岩划分为鲕粒白云岩、砂屑白云岩、螺屑灰(云) 岩、介屑云岩、杂基充填多粒屑云岩、灰质亮晶粒屑云岩等6种类型.通过分析水波浪在湖岸和高(台) 地周缘对粒屑的搅动和搬迁过程, 以及屏障湖湾和离岸水下隆起两个减能地形的确定, 阐述了粒屑碳酸盐岩的沉积机理.根据粒屑粒径平均值R和粒屑在岩石中的百分含量G所得的经验公式W=RG, 确定了水体能量指数W, 并以此识别本区存在的特高能级区(W > 5 0)、高能级区(W : 2 5~ 5 0)、中能级区(W : 10~ 2 5)、低能级区(W : 1~ 10) 和静水区(W < 1) 5个相带.比较系数(分选系数T) 可以作为波浪能量和沉积区水体能量的一个判别指标.根据粒屑碳酸盐岩的沉积作用和后期再造作用所形成的物性条件, 将此类碳酸盐岩储层划分为原生特高渗透层、次生高渗透层、次生中—低渗透层和原生低渗透层4个类型.
将胜利油区下第三系发育的粒屑碳酸盐岩划分为鲕粒白云岩、砂屑白云岩、螺屑灰(云) 岩、介屑云岩、杂基充填多粒屑云岩、灰质亮晶粒屑云岩等6种类型.通过分析水波浪在湖岸和高(台) 地周缘对粒屑的搅动和搬迁过程, 以及屏障湖湾和离岸水下隆起两个减能地形的确定, 阐述了粒屑碳酸盐岩的沉积机理.根据粒屑粒径平均值R和粒屑在岩石中的百分含量G所得的经验公式W=RG, 确定了水体能量指数W, 并以此识别本区存在的特高能级区(W > 5 0)、高能级区(W : 2 5~ 5 0)、中能级区(W : 10~ 2 5)、低能级区(W : 1~ 10) 和静水区(W < 1) 5个相带.比较系数(分选系数T) 可以作为波浪能量和沉积区水体能量的一个判别指标.根据粒屑碳酸盐岩的沉积作用和后期再造作用所形成的物性条件, 将此类碳酸盐岩储层划分为原生特高渗透层、次生高渗透层、次生中—低渗透层和原生低渗透层4个类型.
2000, 25(2): 152-158.
摘要:
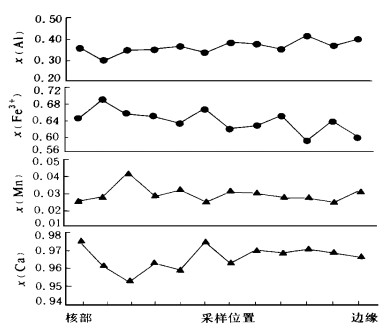
通过对大别山北部石榴二辉麻粒岩岩相学、矿物地质温压计和热力学计算, 获得4个主要的变质演化阶段的矿物共生组合、温压条件和相应的水活度条件: (1) 榴辉岩相阶段(M1), 以Cpx (含Jd) +Q +Ru +Gt组合为代表的残留矿物, 并呈包体的形式产于石榴石中, t=612~750℃; (2)麻粒岩相阶段(M2), 以Opx+Cpx +Gt+Q +Ti+Mt矿物组合为特征, 其相应的t =837~887℃, p=1.03~1.25GPa, 水活度为0.718~0.799; (3) 角闪岩相阶段(M3), 矿物组合为Cpx +Gt+Amp +Pl+Mt, t=530~660℃, p=0.85~0.95GPa, 其相应的水活度为0.2 3~ 0.2 4;和(4) 低角闪岩相阶段(M4), 其形成的温压条件为t=495℃, p=0.5 6~ 0.70GPa, 相应的水活度为0.11~ 0.13.石榴二辉麻粒岩变质反应、变质结构、矿物组合及其演化, 不仅受控于形成时的温压条件, 而且与形成时体系中水活度的演化有着密切的成因关系.水活度的演化特征表明, 变质流体在变质作用过程中, 对变质反应温度起着一定的缓冲作用.
通过对大别山北部石榴二辉麻粒岩岩相学、矿物地质温压计和热力学计算, 获得4个主要的变质演化阶段的矿物共生组合、温压条件和相应的水活度条件: (1) 榴辉岩相阶段(M1), 以Cpx (含Jd) +Q +Ru +Gt组合为代表的残留矿物, 并呈包体的形式产于石榴石中, t=612~750℃; (2)麻粒岩相阶段(M2), 以Opx+Cpx +Gt+Q +Ti+Mt矿物组合为特征, 其相应的t =837~887℃, p=1.03~1.25GPa, 水活度为0.718~0.799; (3) 角闪岩相阶段(M3), 矿物组合为Cpx +Gt+Amp +Pl+Mt, t=530~660℃, p=0.85~0.95GPa, 其相应的水活度为0.2 3~ 0.2 4;和(4) 低角闪岩相阶段(M4), 其形成的温压条件为t=495℃, p=0.5 6~ 0.70GPa, 相应的水活度为0.11~ 0.13.石榴二辉麻粒岩变质反应、变质结构、矿物组合及其演化, 不仅受控于形成时的温压条件, 而且与形成时体系中水活度的演化有着密切的成因关系.水活度的演化特征表明, 变质流体在变质作用过程中, 对变质反应温度起着一定的缓冲作用.
2000, 25(2): 159-162.
摘要:
构造模拟研究表明, (1) 粒度是控制岩石流变性质的重要因素之一, 粒度越粗, 岩石粘度越高; (2) 粒状矿物含量与基质的比值越低, 粒度对岩石流变性质的影响就越小, 反之则越大; (3) 岩石的粒度差异对韧性剪切带的发育程度有着重要影响, 粒度越细, 韧性剪切带中有限应变越大.这些结果与野外所观察的地质现象及应变测量结果完全一致.
构造模拟研究表明, (1) 粒度是控制岩石流变性质的重要因素之一, 粒度越粗, 岩石粘度越高; (2) 粒状矿物含量与基质的比值越低, 粒度对岩石流变性质的影响就越小, 反之则越大; (3) 岩石的粒度差异对韧性剪切带的发育程度有着重要影响, 粒度越细, 韧性剪切带中有限应变越大.这些结果与野外所观察的地质现象及应变测量结果完全一致.
2000, 25(2): 163-171.
摘要:
通过野外与显微镜观察和电子探针分析, 对柿竹园多金属矿床矽卡岩中石榴石的特征进行了研究.根据石榴石的产出状态、矿物的共生组合, 矽卡岩可分为4个带: 磁铁矿-辉石-石榴石带、辉石-石榴石带、符山石-石榴石带、矽卡岩化大理岩带.从成分上的变化, 探讨了石榴石在各矽卡岩带中的特征.柿竹园矿床矽卡岩中的石榴石可分为早、晚两期, 早期形成的石榴石颜色为暗棕色, 并且在垂直和水平方向上有明显的变化规律.从磁铁矿-辉石-石榴石带到矽卡岩化大理石带, 随着石榴石中Fe2O3含量的减少, Al2O3含量的增加, 由钙铁榴石向钙铝榴石变化; 石榴石晶体具有从核部向边缘由均质性向非均质性变化的规律.早期石榴石形成于较氧化的条件下, 温度为520~620℃, 压力为1000×105Pa, 由富含Si, Al, Fe, Cl, F组分的热液和泥盆纪佘田桥组灰岩反应交代形成.当温度降至450~ 540℃, pH, Eh值降低时, 晚期石榴石形成的同时使白钨矿沉淀.晚期石榴石颜色比早期形成的石榴石浅, 为红色.结晶颗粒较大, 并且, 普遍可以观察到石榴石环带结构.
通过野外与显微镜观察和电子探针分析, 对柿竹园多金属矿床矽卡岩中石榴石的特征进行了研究.根据石榴石的产出状态、矿物的共生组合, 矽卡岩可分为4个带: 磁铁矿-辉石-石榴石带、辉石-石榴石带、符山石-石榴石带、矽卡岩化大理岩带.从成分上的变化, 探讨了石榴石在各矽卡岩带中的特征.柿竹园矿床矽卡岩中的石榴石可分为早、晚两期, 早期形成的石榴石颜色为暗棕色, 并且在垂直和水平方向上有明显的变化规律.从磁铁矿-辉石-石榴石带到矽卡岩化大理石带, 随着石榴石中Fe2O3含量的减少, Al2O3含量的增加, 由钙铁榴石向钙铝榴石变化; 石榴石晶体具有从核部向边缘由均质性向非均质性变化的规律.早期石榴石形成于较氧化的条件下, 温度为520~620℃, 压力为1000×105Pa, 由富含Si, Al, Fe, Cl, F组分的热液和泥盆纪佘田桥组灰岩反应交代形成.当温度降至450~ 540℃, pH, Eh值降低时, 晚期石榴石形成的同时使白钨矿沉淀.晚期石榴石颜色比早期形成的石榴石浅, 为红色.结晶颗粒较大, 并且, 普遍可以观察到石榴石环带结构.
2000, 25(2): 172-178.
摘要:
大兴安岭地区晚侏罗世—早白垩世流纹岩类广泛分布.根据岩石学和微量元素地球化学特征将其划分为两类, 分别称其为Ⅰ型流纹岩和Ⅱ型流纹岩.稀土和微量元素分析结果显示: (1) Ⅰ型流纹岩呈右倾的稀土分布曲线, 不相容元素以强烈富集Rb, Ba, Th, K和亏损Sr, Ti, P, Nb为特征, 其形成与钙碱性系列玄武岩浆的结晶分异作用有关; (2) Ⅱ型流纹岩具有与大陆裂谷流纹岩一致的稀土和不相容元素分布模式, 以Ba, Sr的强烈亏损与I型流纹岩相区别, 与碱性系列玄武岩类构成双峰式火山岩组合, 其成因与地壳岩石的非理想熔融作用相联系.两类流纹岩的形成与地幔柱上涌导致上覆岩石圈伸展作用有关.
大兴安岭地区晚侏罗世—早白垩世流纹岩类广泛分布.根据岩石学和微量元素地球化学特征将其划分为两类, 分别称其为Ⅰ型流纹岩和Ⅱ型流纹岩.稀土和微量元素分析结果显示: (1) Ⅰ型流纹岩呈右倾的稀土分布曲线, 不相容元素以强烈富集Rb, Ba, Th, K和亏损Sr, Ti, P, Nb为特征, 其形成与钙碱性系列玄武岩浆的结晶分异作用有关; (2) Ⅱ型流纹岩具有与大陆裂谷流纹岩一致的稀土和不相容元素分布模式, 以Ba, Sr的强烈亏损与I型流纹岩相区别, 与碱性系列玄武岩类构成双峰式火山岩组合, 其成因与地壳岩石的非理想熔融作用相联系.两类流纹岩的形成与地幔柱上涌导致上覆岩石圈伸展作用有关.
2000, 25(2): 179-185.
摘要:
在详细岩相学、主元素和微量元素研究基础上, 报道了准噶尔盆地基底不同区块火山岩的Sr-Nd同位素和锆石颗粒年龄研究成果, 结合盆地周缘造山带古生代构造史、古生物、沉积建造、火山岩、侵入岩的综合研究成果, 表明准噶尔盆地基底可能由分属哈萨克斯坦板块、塔里木板块(?) 和西伯利亚板块刚性体外围的岛弧体系经构造软碰撞拼合而成, 它们又经历了块体拼合后的构造-岩浆热事件(如基性岩浆底侵作用) 的进一步改造和影响.
在详细岩相学、主元素和微量元素研究基础上, 报道了准噶尔盆地基底不同区块火山岩的Sr-Nd同位素和锆石颗粒年龄研究成果, 结合盆地周缘造山带古生代构造史、古生物、沉积建造、火山岩、侵入岩的综合研究成果, 表明准噶尔盆地基底可能由分属哈萨克斯坦板块、塔里木板块(?) 和西伯利亚板块刚性体外围的岛弧体系经构造软碰撞拼合而成, 它们又经历了块体拼合后的构造-岩浆热事件(如基性岩浆底侵作用) 的进一步改造和影响.
2000, 25(2): 186-190.
摘要:
以基体匹配的混合标准溶液为外标校正溶液, 采用115In - 10 3 Rh双内标校正系统, 通过单个元素Ca, Cr, Ti, Ba, La, Ce, Pr的氧化物、氢氧化物产率的测定, 计算其等效干扰离子浓度, 并进行校正, 从而有效地抑制了分析信号的漂移、基体效应及多原子离子干扰.针对不同岩性的地质样品, 分别采用酸消解、碱熔融样品制备体系, 在POEMSⅢ上建立了等离子体质谱法同时测定微量、痕量、超痕量元素的分析方法.用于国际地质标样AGV - 1 (安山岩), BH VO - 2 (玄武岩), GSR - 3 (玄武岩), DNC - 1 (橄榄岩), RGM - 1 (流纹岩), G - 2 (花岗岩), JG- 2 (花岗岩) 的分析, 结果令人满意.
以基体匹配的混合标准溶液为外标校正溶液, 采用115In - 10 3 Rh双内标校正系统, 通过单个元素Ca, Cr, Ti, Ba, La, Ce, Pr的氧化物、氢氧化物产率的测定, 计算其等效干扰离子浓度, 并进行校正, 从而有效地抑制了分析信号的漂移、基体效应及多原子离子干扰.针对不同岩性的地质样品, 分别采用酸消解、碱熔融样品制备体系, 在POEMSⅢ上建立了等离子体质谱法同时测定微量、痕量、超痕量元素的分析方法.用于国际地质标样AGV - 1 (安山岩), BH VO - 2 (玄武岩), GSR - 3 (玄武岩), DNC - 1 (橄榄岩), RGM - 1 (流纹岩), G - 2 (花岗岩), JG- 2 (花岗岩) 的分析, 结果令人满意.
2000, 25(2): 191-194.
摘要:
建立盆地三维构造-地层格架是进行三维盆地模拟的关键技术之一.为了使一系列二维地震解释剖面转化为盆地的三维构造-地层格架, 必须选择有效的内插外推方法, 而插值方法的选择和空间分析的实现依赖于空间拓扑结构.在探讨基于BRep模型的盆地三维空间拓扑结构表示法及图形编码准则的基础上, 引进了适合于构建盆地三维构造-地层格架的几种形态插值方法, 并提出了一种新的方法———相似变形插值法.这些方法曾成功地应用于珠三盆地三维构造-地层格架的模拟, 能够很好地支持包括矢量剪切在内的各种空间分析
建立盆地三维构造-地层格架是进行三维盆地模拟的关键技术之一.为了使一系列二维地震解释剖面转化为盆地的三维构造-地层格架, 必须选择有效的内插外推方法, 而插值方法的选择和空间分析的实现依赖于空间拓扑结构.在探讨基于BRep模型的盆地三维空间拓扑结构表示法及图形编码准则的基础上, 引进了适合于构建盆地三维构造-地层格架的几种形态插值方法, 并提出了一种新的方法———相似变形插值法.这些方法曾成功地应用于珠三盆地三维构造-地层格架的模拟, 能够很好地支持包括矢量剪切在内的各种空间分析
2000, 25(2): 195-200.
摘要:
首先引入利用旋转面作为基函数的函数逼近概念, 在此基础上经过复杂的矩阵推导证明泛克立格法可表示为传统的带权最小二乘多项式拟合与以旋转面作为基函数的函数逼近, 并在一定条件下(随机场高度连续无块金效应) 论证了协方差(即旋转面) 的参数可通过数学分析的方法确定, 给出了以高斯函数为例确定协方差函数的两个准则.
首先引入利用旋转面作为基函数的函数逼近概念, 在此基础上经过复杂的矩阵推导证明泛克立格法可表示为传统的带权最小二乘多项式拟合与以旋转面作为基函数的函数逼近, 并在一定条件下(随机场高度连续无块金效应) 论证了协方差(即旋转面) 的参数可通过数学分析的方法确定, 给出了以高斯函数为例确定协方差函数的两个准则.
2000, 25(2): 201-204.
摘要:
大庆市齐家水源地井口现场和实验室测定的地下水水质参数与其真实情况存在差异.运用水文地球化学手段模拟了地下水从含水层被抽出至地表的过程中由于所承受压力降低不可避免地导致CO2, H2S等气体的逸出, 从而影响pH, Eh的测定结果.最后指出了地下水采样测试技术的发展方向.
大庆市齐家水源地井口现场和实验室测定的地下水水质参数与其真实情况存在差异.运用水文地球化学手段模拟了地下水从含水层被抽出至地表的过程中由于所承受压力降低不可避免地导致CO2, H2S等气体的逸出, 从而影响pH, Eh的测定结果.最后指出了地下水采样测试技术的发展方向.
2000, 25(2): 205-208.
摘要:
完整的水文地质单元内, 从补给区到排泄区, 矿物溶沉的顺序通常依次为方解石、白云石、石膏.这样, 水中的方解石饱和指数一般应大于白云石饱和指数, 但在辛安泉域潞安矿区8508~8516孔一带, 出现了白云石饱和指数明显大于方解石饱和指数的异常现象.就其形成机制, 建立了一套水化学类型形成的化学反应模型, 阐述了模型的存在条件, 并用氧化还原和离子交替等理论做了进一步的检验.结果表明, 所建模型符合实际情况.该模型在其他类似水文地质单元内也可得以验证, 因此具有一定的普遍意义
完整的水文地质单元内, 从补给区到排泄区, 矿物溶沉的顺序通常依次为方解石、白云石、石膏.这样, 水中的方解石饱和指数一般应大于白云石饱和指数, 但在辛安泉域潞安矿区8508~8516孔一带, 出现了白云石饱和指数明显大于方解石饱和指数的异常现象.就其形成机制, 建立了一套水化学类型形成的化学反应模型, 阐述了模型的存在条件, 并用氧化还原和离子交替等理论做了进一步的检验.结果表明, 所建模型符合实际情况.该模型在其他类似水文地质单元内也可得以验证, 因此具有一定的普遍意义
2000, 25(2): 209-214.
摘要:
城市地质环境评价是城市规划和场地选址的基础.以兰州市为例, 以地理信息系统软件ARC/INFO为开发平台, 建立了城市地质环境基础数据库, 将城市用地类型分为高层建筑用地、多层建筑用地、低层建筑用地、垃圾填埋用地及自然保护用地, 系统分析了各类用地与地质环境协调性评价的指标体系, 采用层次分析法建立了评价模型, 对不同的用地类型进行了评价.结果表明GIS与评价模型的结合可以快捷、准确地进行城市建设用地与地质环境的协调性评价
城市地质环境评价是城市规划和场地选址的基础.以兰州市为例, 以地理信息系统软件ARC/INFO为开发平台, 建立了城市地质环境基础数据库, 将城市用地类型分为高层建筑用地、多层建筑用地、低层建筑用地、垃圾填埋用地及自然保护用地, 系统分析了各类用地与地质环境协调性评价的指标体系, 采用层次分析法建立了评价模型, 对不同的用地类型进行了评价.结果表明GIS与评价模型的结合可以快捷、准确地进行城市建设用地与地质环境的协调性评价
2000, 25(2): 215-220.
摘要:
土体的结构性研究是土力学研究中的前沿课题之一.工程土体在宏观上所表现出来的非连续、不均匀、各向异性和非确定性等复杂性特征, 从根本上取决于土体微观结构的非连续性和非确定性.可以说土体的复杂性是其介质结构与组分非线性的直接体现.因而, 对土体结构及其模型的研究, 成为土力学的核心问题之一.科学建立土体演化的结构控制模型, 进而建立基于土体微观结构演化机制的土力学模型和本构关系是土力学理论发展的新方向.从土体微观结构研究的进展出发, 探讨了土体结构演化机制和结构模型的特点, 进而指出土力学理论建模的新思路.
土体的结构性研究是土力学研究中的前沿课题之一.工程土体在宏观上所表现出来的非连续、不均匀、各向异性和非确定性等复杂性特征, 从根本上取决于土体微观结构的非连续性和非确定性.可以说土体的复杂性是其介质结构与组分非线性的直接体现.因而, 对土体结构及其模型的研究, 成为土力学的核心问题之一.科学建立土体演化的结构控制模型, 进而建立基于土体微观结构演化机制的土力学模型和本构关系是土力学理论发展的新方向.从土体微观结构研究的进展出发, 探讨了土体结构演化机制和结构模型的特点, 进而指出土力学理论建模的新思路.




登录
注册
高级检索
邮件订阅
RSS
摘要
HTML全文