2014年 39卷 第4期
2014, 39(4): 375-386.
doi: 10.3799/dqkx.2014.036
摘要:
为研究东乌旗北部罕乌拉韧性剪切带的运动学性质及其时代,通过野外宏观调查和定向标本显微分析来研究花岗质糜棱岩的宏观-微观变形构造特征,并对经韧性剪切作用的花岗质糜棱岩进行LA-MC-ICPMS锆石U-Pb定年.研究表明花岗质糜棱岩的长石、石英等主要造岩矿物具塑性变形和动态生长的特征,发育典型的“σ”、“δ”和“S-C”组构,对研究区34组糜棱面理和线理数据进行赤平投影,剪切面(C面)平均面理产状为338°∠24°,线理产状为303°∠17°,显示出左行滑脱型韧性剪切带的特征;锆石U-Pb测年结果表明韧性剪切作用之前就位的花岗质岩石成岩年龄为135.9±1.2 Ma~130.0±0.5 Ma,属早白垩世,且该剪切带被下白垩统大磨拐河组(相当于凡兰吟期-欧特里沃期)砂砾岩覆盖.综上所述,结合最新区域研究成果认为,早白垩世(135.9±1.2 Ma~130.0±0.5 Ma)东乌旗地区经历了大规模左行伸展构造活动,这一成果深化了对该区早白垩世地壳构造演化的认识.
为研究东乌旗北部罕乌拉韧性剪切带的运动学性质及其时代,通过野外宏观调查和定向标本显微分析来研究花岗质糜棱岩的宏观-微观变形构造特征,并对经韧性剪切作用的花岗质糜棱岩进行LA-MC-ICPMS锆石U-Pb定年.研究表明花岗质糜棱岩的长石、石英等主要造岩矿物具塑性变形和动态生长的特征,发育典型的“σ”、“δ”和“S-C”组构,对研究区34组糜棱面理和线理数据进行赤平投影,剪切面(C面)平均面理产状为338°∠24°,线理产状为303°∠17°,显示出左行滑脱型韧性剪切带的特征;锆石U-Pb测年结果表明韧性剪切作用之前就位的花岗质岩石成岩年龄为135.9±1.2 Ma~130.0±0.5 Ma,属早白垩世,且该剪切带被下白垩统大磨拐河组(相当于凡兰吟期-欧特里沃期)砂砾岩覆盖.综上所述,结合最新区域研究成果认为,早白垩世(135.9±1.2 Ma~130.0±0.5 Ma)东乌旗地区经历了大规模左行伸展构造活动,这一成果深化了对该区早白垩世地壳构造演化的认识.
2014, 39(4): 387-398.
doi: 10.3799/dqkx.2014.037
摘要:
通过对注溪地层剖面岩性、含矿性及接触关系进行详细考察,及对其黑色岩系中长石岩屑砂岩进行碎屑锆石LA-ICP-MS U-Pb测年,获得84组有效年龄,其中864~742 Ma年龄最集中,表明新元古代黔东地区存在大规模的岩浆活动.江南造山带为黔东早寒武世黑色岩系的主要沉积物源区,而钒等成矿元素源于基性-超基性侵入岩体.雪峰运动导致这些含矿岩体剥顶,大量金属元素注入海洋.海侵海底缺氧,富含这些成矿元素藻类死亡,钒等金属元素随同有机质进入沉积物中,在利于其沉淀富集的留茶坡和九门冲组地层成矿.536 Ma为留茶坡组最后接受沉积时限和九门冲组最大沉积年龄,震旦与寒武系界线位于留茶坡组中上部硅质岩中,清水江组地层岩性的变形、变质和角度不整合于上覆、下伏地层的现象为雪峰运动地质效应.
通过对注溪地层剖面岩性、含矿性及接触关系进行详细考察,及对其黑色岩系中长石岩屑砂岩进行碎屑锆石LA-ICP-MS U-Pb测年,获得84组有效年龄,其中864~742 Ma年龄最集中,表明新元古代黔东地区存在大规模的岩浆活动.江南造山带为黔东早寒武世黑色岩系的主要沉积物源区,而钒等成矿元素源于基性-超基性侵入岩体.雪峰运动导致这些含矿岩体剥顶,大量金属元素注入海洋.海侵海底缺氧,富含这些成矿元素藻类死亡,钒等金属元素随同有机质进入沉积物中,在利于其沉淀富集的留茶坡和九门冲组地层成矿.536 Ma为留茶坡组最后接受沉积时限和九门冲组最大沉积年龄,震旦与寒武系界线位于留茶坡组中上部硅质岩中,清水江组地层岩性的变形、变质和角度不整合于上覆、下伏地层的现象为雪峰运动地质效应.
2014, 39(4): 399-410.
doi: 10.3799/dqkx.2014.038
摘要:
为了探讨陆相湖盆中沿坡流的作用强度及其对三角洲前缘沉积的影响,对内蒙古岱海断陷湖盆的现代沉积进行了调查.通过卫星图像分析、现场湖浪观察与浮球实测、探槽挖掘与详细沉积特征描述、取样与样品分析、以及骨架剖面砂体对比,证明岱海湖盆陡坡带以顺坡流作用为主,分流河道和河口坝发育,砂体垂向连通性好,常形成大套块状砂体;缓坡带的三角洲前缘存在强烈的沿坡流与顺坡流相互作用,浪成成因的岩相最为发育,沙质沉积物席状化严重,垂向序列呈不明显的反韵律,河口砂体不对称分布,沿坡漂流的上游方向砂体连片、多层叠置、侧向连通性好;下游方向泥质夹层发育、砂体孤立、储层非均质性强.
为了探讨陆相湖盆中沿坡流的作用强度及其对三角洲前缘沉积的影响,对内蒙古岱海断陷湖盆的现代沉积进行了调查.通过卫星图像分析、现场湖浪观察与浮球实测、探槽挖掘与详细沉积特征描述、取样与样品分析、以及骨架剖面砂体对比,证明岱海湖盆陡坡带以顺坡流作用为主,分流河道和河口坝发育,砂体垂向连通性好,常形成大套块状砂体;缓坡带的三角洲前缘存在强烈的沿坡流与顺坡流相互作用,浪成成因的岩相最为发育,沙质沉积物席状化严重,垂向序列呈不明显的反韵律,河口砂体不对称分布,沿坡漂流的上游方向砂体连片、多层叠置、侧向连通性好;下游方向泥质夹层发育、砂体孤立、储层非均质性强.
2014, 39(4): 411-420.
doi: 10.3799/dqkx.2014.039
摘要:
为探讨成岩作用与储层物性演化特征之间的成因联系,查明不同成岩相物性差异的成因及其形成过程,对华池地区长8储层各成岩相的孔隙度演化进行了定量模拟,分析了其孔隙度演化路径的差异.本区绿泥石膜胶结成岩相、不稳定组分溶蚀成岩相、压实充填成岩相与碳酸盐致密胶结成岩相压实损失孔隙度分别为17.6%、20.5%、25.8%和11.4%,早期胶结损失孔隙度为4.5%、4.9%、5.6%和24.9%,溶蚀增加孔隙度为1.4%、2.3%、0.2%和0,晚期胶结损失孔隙度为7.8%、9.7%、3.2%和0.沉积物初始组构差异造成的各成岩相初始孔隙度差别是微小的,但其在很大程度上控制了成岩作用的类型和强度,从而造成了不同成岩相经历了不同的成岩变化过程和孔隙度演化路径,形成了现今组构面貌和孔隙度的差异.
为探讨成岩作用与储层物性演化特征之间的成因联系,查明不同成岩相物性差异的成因及其形成过程,对华池地区长8储层各成岩相的孔隙度演化进行了定量模拟,分析了其孔隙度演化路径的差异.本区绿泥石膜胶结成岩相、不稳定组分溶蚀成岩相、压实充填成岩相与碳酸盐致密胶结成岩相压实损失孔隙度分别为17.6%、20.5%、25.8%和11.4%,早期胶结损失孔隙度为4.5%、4.9%、5.6%和24.9%,溶蚀增加孔隙度为1.4%、2.3%、0.2%和0,晚期胶结损失孔隙度为7.8%、9.7%、3.2%和0.沉积物初始组构差异造成的各成岩相初始孔隙度差别是微小的,但其在很大程度上控制了成岩作用的类型和强度,从而造成了不同成岩相经历了不同的成岩变化过程和孔隙度演化路径,形成了现今组构面貌和孔隙度的差异.
2014, 39(4): 421-430.
doi: 10.3799/dqkx.2014.040
摘要:
植被和活动层水热关系是青藏高原冻土生态环境的重要组成部分,对气候变化和工程活动积极响应,是目前全球变化研究的热点之一.为了解植被差异对活动层水热过程的影响,以场地监测和植被调查数据为基础,分析了黄河源区高温高海拔多年冻土区同一地貌单元内局地条件相似而植被差异显著的3个场地活动层温度和水分变化.初步结果表明:植被盖度较低时,活动层水分含量也低,且含水量高值区趋于中下部;植被盖度较高时,冷季地气温差和温度位移都减小,暖季地气温差增大;随着植被盖度增大,冻融开始和结束时间明显滞后,冻融持续时间延长.初步揭示了黄河源区地表植被对活动层水分和温度的影响过程,对研究和保护高寒生态环境稳定具有重要意义.
植被和活动层水热关系是青藏高原冻土生态环境的重要组成部分,对气候变化和工程活动积极响应,是目前全球变化研究的热点之一.为了解植被差异对活动层水热过程的影响,以场地监测和植被调查数据为基础,分析了黄河源区高温高海拔多年冻土区同一地貌单元内局地条件相似而植被差异显著的3个场地活动层温度和水分变化.初步结果表明:植被盖度较低时,活动层水分含量也低,且含水量高值区趋于中下部;植被盖度较高时,冷季地气温差和温度位移都减小,暖季地气温差增大;随着植被盖度增大,冻融开始和结束时间明显滞后,冻融持续时间延长.初步揭示了黄河源区地表植被对活动层水分和温度的影响过程,对研究和保护高寒生态环境稳定具有重要意义.
2014, 39(4): 431-442.
doi: 10.3799/dqkx.2014.041
摘要:
峨眉山玄武岩作为长江上游攀西地区广泛分布的岩类,具有形成环境独特、出露面积大、岩石易鉴定的特点,可作为长江三峡贯通物源示踪研究的指示标志.通过对长江中上游阶地和江汉平原周老孔第四纪岩心沉积物中的玄武岩砾石和岩屑(1~2 mm)进行研究发现,峨眉山玄武岩砾石在长江上游很常见,在三峡以下很少;玄武岩岩屑在长江上游沉积物中非常普遍,而且在周老孔岩心沉积物中的很多层位都有出现.对玄武岩岩屑基质中的斜长石做了微量元素微区原位分析(LA-ICP-MS),分析表明,在周老孔中含峨眉山玄武岩岩屑的岩心层位最大深度为156 m,该层位古地磁年龄约为1.7 Ma,此时长江已经形成且三峡已经贯通.
峨眉山玄武岩作为长江上游攀西地区广泛分布的岩类,具有形成环境独特、出露面积大、岩石易鉴定的特点,可作为长江三峡贯通物源示踪研究的指示标志.通过对长江中上游阶地和江汉平原周老孔第四纪岩心沉积物中的玄武岩砾石和岩屑(1~2 mm)进行研究发现,峨眉山玄武岩砾石在长江上游很常见,在三峡以下很少;玄武岩岩屑在长江上游沉积物中非常普遍,而且在周老孔岩心沉积物中的很多层位都有出现.对玄武岩岩屑基质中的斜长石做了微量元素微区原位分析(LA-ICP-MS),分析表明,在周老孔中含峨眉山玄武岩岩屑的岩心层位最大深度为156 m,该层位古地磁年龄约为1.7 Ma,此时长江已经形成且三峡已经贯通.
2014, 39(4): 443-450.
doi: 10.3799/dqkx.2014.042
摘要:
海相碳酸盐热释光灵敏地响应冰期-间冰期地球气候变化,是一个新的古海洋代用指标,但是否适用于陆地沉积物,尚缺少研究.通过测定湖北清江穿心洞石笋(CX-1)碳酸盐热释光和氧同位素组成,探讨石笋热释光的发光机制,开发热释光作为陆地古环境的替代指标,发现空气环境中检测的石笋碳酸盐热释光主要是发光有机质氧化产生的化学发光,为假性热释光.石笋中发光有机质来源于土壤中有机物的降解,其含量与太阳辐射调控的土壤温度有关;热释光曲线与其对应的氧同位素曲线变化趋势相似.因而,石笋碳酸盐假性热释光是反映过去环境变化的一个新指标.
海相碳酸盐热释光灵敏地响应冰期-间冰期地球气候变化,是一个新的古海洋代用指标,但是否适用于陆地沉积物,尚缺少研究.通过测定湖北清江穿心洞石笋(CX-1)碳酸盐热释光和氧同位素组成,探讨石笋热释光的发光机制,开发热释光作为陆地古环境的替代指标,发现空气环境中检测的石笋碳酸盐热释光主要是发光有机质氧化产生的化学发光,为假性热释光.石笋中发光有机质来源于土壤中有机物的降解,其含量与太阳辐射调控的土壤温度有关;热释光曲线与其对应的氧同位素曲线变化趋势相似.因而,石笋碳酸盐假性热释光是反映过去环境变化的一个新指标.
2014, 39(4): 451-461.
doi: 10.3799/dqkx.2014.043
摘要:
为了研究黄河三角洲全新世不同古环境中的碳埋藏速率,于2007年在研究区布设了一口30.3 m浅钻,以对其进行了沉积学观测以及含水量、有机碳、总碳和营养成分测试分析.通过地层分析,将其全新世地层划分为8种沉积环境.运用历史地理学和沉积地质学综合分析方法对现代黄河三角洲沉积环境中部分层位进行了精确的年代划分,其他层位也进行了年代推测.同时利用确定的年代计算了不同沉积环境碳的埋藏速率.结果表明:总碳和有机碳与各营养元素都呈很好的线性相关;沉积物的沉积速率是有机碳和总碳埋藏速率的主控因素;虽然沉积物Corg浓度相对较低,但由于其高沉积速率,Corg的平均埋藏速率达到1 331 g/(m2·a),远高于世界其他高Corg浓度的湿地,因此是很好的碳汇地质体.
为了研究黄河三角洲全新世不同古环境中的碳埋藏速率,于2007年在研究区布设了一口30.3 m浅钻,以对其进行了沉积学观测以及含水量、有机碳、总碳和营养成分测试分析.通过地层分析,将其全新世地层划分为8种沉积环境.运用历史地理学和沉积地质学综合分析方法对现代黄河三角洲沉积环境中部分层位进行了精确的年代划分,其他层位也进行了年代推测.同时利用确定的年代计算了不同沉积环境碳的埋藏速率.结果表明:总碳和有机碳与各营养元素都呈很好的线性相关;沉积物的沉积速率是有机碳和总碳埋藏速率的主控因素;虽然沉积物Corg浓度相对较低,但由于其高沉积速率,Corg的平均埋藏速率达到1 331 g/(m2·a),远高于世界其他高Corg浓度的湿地,因此是很好的碳汇地质体.
2014, 39(4): 462-472.
doi: 10.3799/dqkx.2014.044
摘要:
为了解关键性矿物在“超临界CO2-水-岩石”系统中的地球化学作用,利用先进的数值模拟软件TOUGHREACT,结合我国鄂尔多斯盆地深部咸水含水层的基础地质条件,建立一维垂向模型,研究了盖层中绿泥石含量分别为3%、9%、15%时对CO2-水-岩石相互作用的影响.发现CO2进入盖层后,盖层的矿物成分和渗透率发生了较大变化.当绿泥石体积分数为3%时,盖层渗透率在5 000 a期间一直处于增大状态,不适合CO2封存;当绿泥石体积分数为9%和15%时,盖层渗透率呈现先增大后减小的趋势,产生自封闭现象,有利于CO2封存.结果表明,绿泥石的溶解为盖层中钙蒙脱石、铁白云石、片钠铝石、菱镁矿的沉淀提供了必要的Mg2+、Fe2+、AlO2-等离子.绿泥石含量越多,CO2矿化捕集量越大,盖层的自封闭效应越明显,其渗透率最大减少10%.本研究结果可为CO2地质封存的长期性和稳定性评价提供理论依据.
为了解关键性矿物在“超临界CO2-水-岩石”系统中的地球化学作用,利用先进的数值模拟软件TOUGHREACT,结合我国鄂尔多斯盆地深部咸水含水层的基础地质条件,建立一维垂向模型,研究了盖层中绿泥石含量分别为3%、9%、15%时对CO2-水-岩石相互作用的影响.发现CO2进入盖层后,盖层的矿物成分和渗透率发生了较大变化.当绿泥石体积分数为3%时,盖层渗透率在5 000 a期间一直处于增大状态,不适合CO2封存;当绿泥石体积分数为9%和15%时,盖层渗透率呈现先增大后减小的趋势,产生自封闭现象,有利于CO2封存.结果表明,绿泥石的溶解为盖层中钙蒙脱石、铁白云石、片钠铝石、菱镁矿的沉淀提供了必要的Mg2+、Fe2+、AlO2-等离子.绿泥石含量越多,CO2矿化捕集量越大,盖层的自封闭效应越明显,其渗透率最大减少10%.本研究结果可为CO2地质封存的长期性和稳定性评价提供理论依据.
2014, 39(4): 473-480.
doi: 10.3799/dqkx.2014.045
摘要:
针对钻孔摄像技术对结构面产状测量只限于垂直孔的现状,以钻孔孔口圆心为原点,建立空间左手直角坐标系,对倾斜孔中结构面产状的确定方法进行了详尽的阐述和推导,得出了精确的解析计算公式,并基于C#语言进行编程,开发了IDOIB软件,通过测试表明此方法及其程序的正确性.采用PVC管模拟钻孔孔壁,进行钻孔摄像技术用于结构面产状测量的可靠性试验研究,结果表明:(1)对于垂直孔,测量结果的倾向绝对误差为[-3°,4°]、倾角绝对误差为[-1.5°,1.0°],说明该技术用于垂直孔进行结构面产状测量是可靠的,能满足工程应用精度.(2)当PVC管的倾伏向为270°、倾伏角为25°时,结构面产状可靠度为0.10;倾伏向为176°、倾伏角为60°时,结构面产状可靠度为0.67.PVC管倾伏角的不同导致结构面产状可靠度的差异.(3)一般岩体工程的结构面产状测量结果应具有高等级可靠度(不小于0.8),即须在倾伏角不小于71°的钻孔内采用该技术进行测量.
针对钻孔摄像技术对结构面产状测量只限于垂直孔的现状,以钻孔孔口圆心为原点,建立空间左手直角坐标系,对倾斜孔中结构面产状的确定方法进行了详尽的阐述和推导,得出了精确的解析计算公式,并基于C#语言进行编程,开发了IDOIB软件,通过测试表明此方法及其程序的正确性.采用PVC管模拟钻孔孔壁,进行钻孔摄像技术用于结构面产状测量的可靠性试验研究,结果表明:(1)对于垂直孔,测量结果的倾向绝对误差为[-3°,4°]、倾角绝对误差为[-1.5°,1.0°],说明该技术用于垂直孔进行结构面产状测量是可靠的,能满足工程应用精度.(2)当PVC管的倾伏向为270°、倾伏角为25°时,结构面产状可靠度为0.10;倾伏向为176°、倾伏角为60°时,结构面产状可靠度为0.67.PVC管倾伏角的不同导致结构面产状可靠度的差异.(3)一般岩体工程的结构面产状测量结果应具有高等级可靠度(不小于0.8),即须在倾伏角不小于71°的钻孔内采用该技术进行测量.
2014, 39(4): 481-491.
doi: 10.3799/dqkx.2014.046
摘要:
巽他海沟西侧地壳北向运动的差异性是2012年苏门答腊地震发生的动力学成因.库仑应力计算表明,2004年和2005年苏门答腊2次特大逆冲型地震对本次地震具有显著的触发作用.有记录以来至2011年,本次地震的发震断裂带没有发生过7级以上地震,震源区附近存在5级地震空区,2004年大震后该空区被打破.震前6年、4.5年和3个月发生了3组前震活动,其中最显著的是震前3个月发生的7.2级直接前震.
巽他海沟西侧地壳北向运动的差异性是2012年苏门答腊地震发生的动力学成因.库仑应力计算表明,2004年和2005年苏门答腊2次特大逆冲型地震对本次地震具有显著的触发作用.有记录以来至2011年,本次地震的发震断裂带没有发生过7级以上地震,震源区附近存在5级地震空区,2004年大震后该空区被打破.震前6年、4.5年和3个月发生了3组前震活动,其中最显著的是震前3个月发生的7.2级直接前震.
2014, 39(4): 492-498.
doi: 10.3799/dqkx.2014.047
摘要:
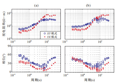
在强噪声环境下,由于相关噪声的影响,准确地估算大地电磁张量阻抗越来越困难.研究一种处理相关噪声问题的信噪分离方法,即采用最小二乘Robust方法,利用相关噪声相对较小的远参考站磁场信号求取分离张量,将本地磁场的观测信号分离为MT信号和噪声,估算大地电磁张量阻抗.分别对模拟数据与实测数据进行处理, 结果表明,信噪分离方法能够分离出较强的相关噪声,给出的视电阻率和相位曲线比最小二乘Robust方法和远参考方法获得的更加平滑,处理效果明显.研究表明,在处理受相关噪声影响的MT数据中,信噪分离方法具有明显的优势.
在强噪声环境下,由于相关噪声的影响,准确地估算大地电磁张量阻抗越来越困难.研究一种处理相关噪声问题的信噪分离方法,即采用最小二乘Robust方法,利用相关噪声相对较小的远参考站磁场信号求取分离张量,将本地磁场的观测信号分离为MT信号和噪声,估算大地电磁张量阻抗.分别对模拟数据与实测数据进行处理, 结果表明,信噪分离方法能够分离出较强的相关噪声,给出的视电阻率和相位曲线比最小二乘Robust方法和远参考方法获得的更加平滑,处理效果明显.研究表明,在处理受相关噪声影响的MT数据中,信噪分离方法具有明显的优势.




登录
注册
高级检索
邮件订阅
RSS
摘要
HTML全文