2015年 40卷 第6期
2015, 40(6): 941-952.
doi: 10.3799/dqkx.2015.079
摘要:
西准噶尔地区广泛发育晚石炭世-二叠纪不同规模、形态各异的花岗岩体,阿克巴斯陶岩体是其中最具代表性岩体之一,但对于该岩体三维形态和侵位过程的研究尤显薄弱.基于详细的野外路线地质调查,通过对阿克巴斯陶岩体NE、NW、SE和SW侧接触边界产状、接触热变质带宽度、岩脉方位和发育程度、顶垂体和围岩捕虏体发育特征的研究,揭示出岩体NE、SE和SW侧与围岩呈低角度外倾接触,而岩体NW侧与围岩呈高角度接触.在此基础上,结合岩体出露区音频大地电磁反演结果,揭示出阿克巴斯陶岩体三维形态总体为不对称蘑菇状,岩体侵位时岩浆主要由NW向朝SE向斜向侵位,并建立了岩体的三维形态模型.阿克巴斯陶岩体三维形态的确定,揭示了西准噶尔地区晚石炭世晚期-早二叠世为后造山伸展环境.
西准噶尔地区广泛发育晚石炭世-二叠纪不同规模、形态各异的花岗岩体,阿克巴斯陶岩体是其中最具代表性岩体之一,但对于该岩体三维形态和侵位过程的研究尤显薄弱.基于详细的野外路线地质调查,通过对阿克巴斯陶岩体NE、NW、SE和SW侧接触边界产状、接触热变质带宽度、岩脉方位和发育程度、顶垂体和围岩捕虏体发育特征的研究,揭示出岩体NE、SE和SW侧与围岩呈低角度外倾接触,而岩体NW侧与围岩呈高角度接触.在此基础上,结合岩体出露区音频大地电磁反演结果,揭示出阿克巴斯陶岩体三维形态总体为不对称蘑菇状,岩体侵位时岩浆主要由NW向朝SE向斜向侵位,并建立了岩体的三维形态模型.阿克巴斯陶岩体三维形态的确定,揭示了西准噶尔地区晚石炭世晚期-早二叠世为后造山伸展环境.
2015, 40(6): 953-964, 1060.
doi: 10.3799/dqkx.2015.080
摘要:
龙门山是青藏高原周边山脉中地形梯度变化最大的山脉.利用数字高程模型(digital elevation models, DEM),采用三维残余面法恢复龙门山晚新生代古残余面DEM,并与现代地形面做差值运算,得到研究区域的剥蚀量地形,进而定量估算青衣江、岷江、沱江和涪江主要水系流域晚新生代的地表剥蚀量.结果表明:龙门山晚新生代地表剥蚀总量为80 500~92 800 km3;岷江流域对龙门山地区剥蚀量贡献率约33.9%~37.1%,其次为涪江(33.6%~38.4%)、青衣江(24.1%~31.9%),沱江流域贡献率为0.4%~0.6%;类似2008年“5·12”汶川地震的次生灾害引发的地表快速剥蚀,是青藏高原东缘龙门山造山带晚新生代地表剥蚀的主要原因.
龙门山是青藏高原周边山脉中地形梯度变化最大的山脉.利用数字高程模型(digital elevation models, DEM),采用三维残余面法恢复龙门山晚新生代古残余面DEM,并与现代地形面做差值运算,得到研究区域的剥蚀量地形,进而定量估算青衣江、岷江、沱江和涪江主要水系流域晚新生代的地表剥蚀量.结果表明:龙门山晚新生代地表剥蚀总量为80 500~92 800 km3;岷江流域对龙门山地区剥蚀量贡献率约33.9%~37.1%,其次为涪江(33.6%~38.4%)、青衣江(24.1%~31.9%),沱江流域贡献率为0.4%~0.6%;类似2008年“5·12”汶川地震的次生灾害引发的地表快速剥蚀,是青藏高原东缘龙门山造山带晚新生代地表剥蚀的主要原因.
2015, 40(6): 965-981.
doi: 10.3799/dqkx.2015.081
摘要:
布青山构造混杂岩带中的哥日卓杂岩体与区域构造线方向不一致,属于典型的“钉合岩体”,对限定地体拼贴或增生的时间上限具有特殊的构造年代学意义.锆石LA-ICP-MS U-Pb定年结果显示岩体形成于晚三叠世中期(似斑状花岗岩形成于227 Ma,闪长岩形成于224 Ma).在地球化学上,似斑状花岗岩为高钾钙碱性系列,高Sr(479~573 μg/g),低Yb(1.03~1.20 μg/g),Mg#值为48.7~51.8,判断岩石属于埃达克岩类.岩石的εHf(t)值为-2.40~2.98,判断岩石源于加厚陆壳部分熔融.闪长岩Ti/Yb值为1 930~2 178,Nb/Ta值为15.9~17.4,属混合成因.综合前人研究成果,哥日卓托杂岩体形成于古特提斯洋闭合后碰撞环境,并且标志同碰撞到后碰撞的构造体制转换.
布青山构造混杂岩带中的哥日卓杂岩体与区域构造线方向不一致,属于典型的“钉合岩体”,对限定地体拼贴或增生的时间上限具有特殊的构造年代学意义.锆石LA-ICP-MS U-Pb定年结果显示岩体形成于晚三叠世中期(似斑状花岗岩形成于227 Ma,闪长岩形成于224 Ma).在地球化学上,似斑状花岗岩为高钾钙碱性系列,高Sr(479~573 μg/g),低Yb(1.03~1.20 μg/g),Mg#值为48.7~51.8,判断岩石属于埃达克岩类.岩石的εHf(t)值为-2.40~2.98,判断岩石源于加厚陆壳部分熔融.闪长岩Ti/Yb值为1 930~2 178,Nb/Ta值为15.9~17.4,属混合成因.综合前人研究成果,哥日卓托杂岩体形成于古特提斯洋闭合后碰撞环境,并且标志同碰撞到后碰撞的构造体制转换.
2015, 40(6): 982-994.
doi: 10.3799/dqkx.2015.082
摘要:
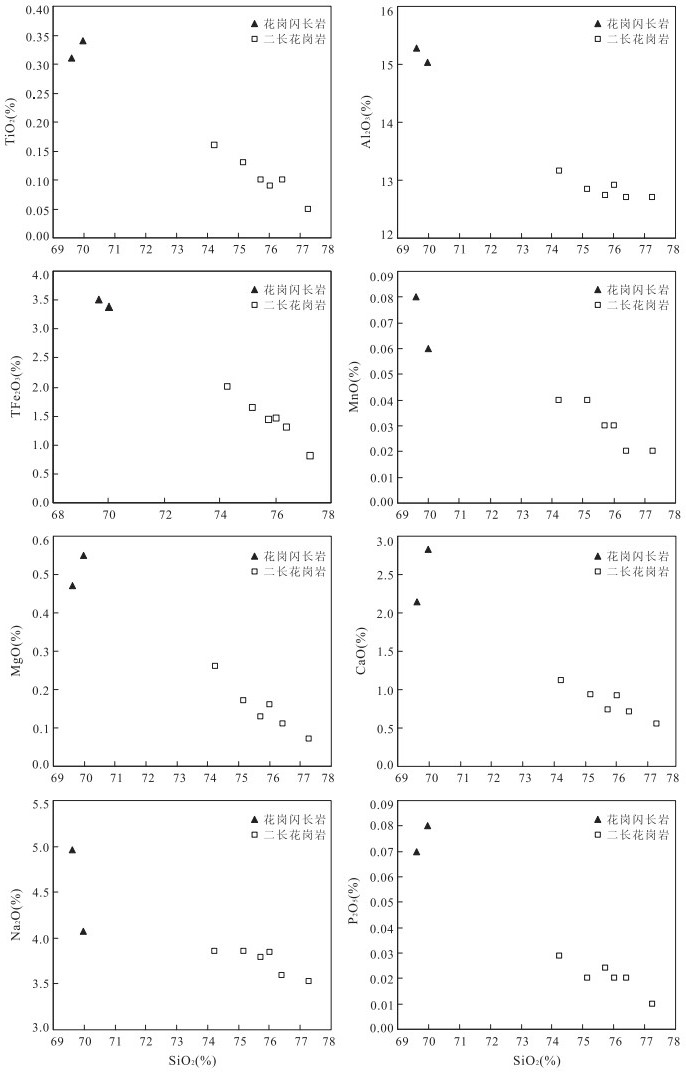
兴凯地块南部构造演化复杂,缺乏精确的年代学证据和系统的地球化学研究.锆石U-Pb年龄测定结果表明:兴凯地块南部花岗岩侵位结晶年龄为晚三叠世末期(202~205 Ma),处于古亚洲洋和古太平洋构造体制的转换阶段.地球化学成分上,二长花岗岩和花岗闪长岩均以富硅(SiO2=69.61%~77.27%)、弱过铝(Al2O3=12.70%~15.28%)、较富碱(AKI=0.64~0.88)为特征.结合角闪石矿物的出现、较低的锆石饱和温度(TZr=679~787 ℃)等特征表明本区花岗岩为分异的Ⅰ型花岗岩.锆石的176Hf/177Hf比值较高(0.282 773~0.282 913),εHf(t)均为正值(4.39~9.32),二阶段Hf模式年龄较为年轻(0.65~0.96 Ga),反映其源区物质为新元古代期间从亏损地幔新增生的年轻地壳物质.结合岩石形成年龄、岩石组合等特征可以推断岩石应该形成于西太平洋开始俯冲的活动大陆边缘环境下.
兴凯地块南部构造演化复杂,缺乏精确的年代学证据和系统的地球化学研究.锆石U-Pb年龄测定结果表明:兴凯地块南部花岗岩侵位结晶年龄为晚三叠世末期(202~205 Ma),处于古亚洲洋和古太平洋构造体制的转换阶段.地球化学成分上,二长花岗岩和花岗闪长岩均以富硅(SiO2=69.61%~77.27%)、弱过铝(Al2O3=12.70%~15.28%)、较富碱(AKI=0.64~0.88)为特征.结合角闪石矿物的出现、较低的锆石饱和温度(TZr=679~787 ℃)等特征表明本区花岗岩为分异的Ⅰ型花岗岩.锆石的176Hf/177Hf比值较高(0.282 773~0.282 913),εHf(t)均为正值(4.39~9.32),二阶段Hf模式年龄较为年轻(0.65~0.96 Ga),反映其源区物质为新元古代期间从亏损地幔新增生的年轻地壳物质.结合岩石形成年龄、岩石组合等特征可以推断岩石应该形成于西太平洋开始俯冲的活动大陆边缘环境下.
2015, 40(6): 995-1005.
doi: 10.3799/dqkx.2015.083
摘要:
红岭铅锌矿是内蒙古东南部的大型代表性矿床之一.目前,对该矿床成矿流体地球化学特征、性质及演化问题尚缺乏系统研究.对其展开了系统的流体包裹体研究.结果表明,矿区矽卡岩期Ⅰ阶段石榴石中发育含NaCl子矿物三相(SL)、气相-富气相(LV)及气液两相(VL)3种类型的原生流体包裹体,Ⅱ阶段中石英颗粒主要发育LV和VL两种类型原生流体包裹体,测温结果表明矽卡岩期成矿流体属中-高温、高盐度的不均匀NaCl-H2O体系热液,在成矿过程中发生过沸腾作用而导致铅、锌、铜等有用元素沉淀富集.石英-硫化物期Ⅲ→Ⅵ阶段中矿物均主要发育较单一的VL型包裹体,其中Ⅲ阶段热液均一温度较矽卡岩期明显降低,而盐度没有明显变化;Ⅳ阶段成矿流体均一温度明显增高、盐度明显降低,反映了有新的高温、低盐度体系热液的加入;而Ⅴ→Ⅵ阶段成矿流体均一温度及盐度逐渐降低,体现了一种不断与外来天水混合的演变趋势;整体上看,石英-硫化物期流体为简单的中-低温、低盐度NaCl-H2O体系热液.流体包裹体C、H、O同位素研究表明,红岭矿床矽卡岩期Ⅱ阶段成矿流体以岩浆水为主;石英-硫化物期成矿流体源自大气降水与岩浆水的混合流体,晚阶段逐渐演化为以大气降水为主.矿床S、Pb同位素研究表明,区内成矿物质具深源特点.
红岭铅锌矿是内蒙古东南部的大型代表性矿床之一.目前,对该矿床成矿流体地球化学特征、性质及演化问题尚缺乏系统研究.对其展开了系统的流体包裹体研究.结果表明,矿区矽卡岩期Ⅰ阶段石榴石中发育含NaCl子矿物三相(SL)、气相-富气相(LV)及气液两相(VL)3种类型的原生流体包裹体,Ⅱ阶段中石英颗粒主要发育LV和VL两种类型原生流体包裹体,测温结果表明矽卡岩期成矿流体属中-高温、高盐度的不均匀NaCl-H2O体系热液,在成矿过程中发生过沸腾作用而导致铅、锌、铜等有用元素沉淀富集.石英-硫化物期Ⅲ→Ⅵ阶段中矿物均主要发育较单一的VL型包裹体,其中Ⅲ阶段热液均一温度较矽卡岩期明显降低,而盐度没有明显变化;Ⅳ阶段成矿流体均一温度明显增高、盐度明显降低,反映了有新的高温、低盐度体系热液的加入;而Ⅴ→Ⅵ阶段成矿流体均一温度及盐度逐渐降低,体现了一种不断与外来天水混合的演变趋势;整体上看,石英-硫化物期流体为简单的中-低温、低盐度NaCl-H2O体系热液.流体包裹体C、H、O同位素研究表明,红岭矿床矽卡岩期Ⅱ阶段成矿流体以岩浆水为主;石英-硫化物期成矿流体源自大气降水与岩浆水的混合流体,晚阶段逐渐演化为以大气降水为主.矿床S、Pb同位素研究表明,区内成矿物质具深源特点.
2015, 40(6): 1006-1016.
doi: 10.3799/dqkx.2015.084
摘要:
查藏错铜铅锌矿床是近年来在冈底斯成矿带北亚带西部林子宗群火山岩中发现的一个铜多金属矿床.到目前为止,对其矿床成因还缺乏明确的认识.C、H、O、S、Pb同位素分析结果表明:δ13CV-PDB值为-5.60‰~-2.40‰,δDV-SMOW值为-111.00‰~-68.00‰,δ18OV-SMOW值为-8.65‰~0.27‰,显示成矿流体早期主要来自岩浆热液,后期大气降水有所混入.δ34SCDT值集中分布在0.50‰~2.50‰,具塔式分布特征,表明硫的来源为相对单一的岩浆源.Pb同位素比值较为稳定,μ值较大(>9.58),具有上地壳铅源的特征,与冈底斯成矿带北亚带矿床矿石硫化物的铅同位素特征比较相似,但明显不同于典中组火山岩的铅同位素特征,推测成矿物质主要来自上地壳的岩浆源.结合矿床地质特征,并与国内外典型岩浆热液脉型矿床对比,认为其属岩浆热液脉型矿床.
查藏错铜铅锌矿床是近年来在冈底斯成矿带北亚带西部林子宗群火山岩中发现的一个铜多金属矿床.到目前为止,对其矿床成因还缺乏明确的认识.C、H、O、S、Pb同位素分析结果表明:δ13CV-PDB值为-5.60‰~-2.40‰,δDV-SMOW值为-111.00‰~-68.00‰,δ18OV-SMOW值为-8.65‰~0.27‰,显示成矿流体早期主要来自岩浆热液,后期大气降水有所混入.δ34SCDT值集中分布在0.50‰~2.50‰,具塔式分布特征,表明硫的来源为相对单一的岩浆源.Pb同位素比值较为稳定,μ值较大(>9.58),具有上地壳铅源的特征,与冈底斯成矿带北亚带矿床矿石硫化物的铅同位素特征比较相似,但明显不同于典中组火山岩的铅同位素特征,推测成矿物质主要来自上地壳的岩浆源.结合矿床地质特征,并与国内外典型岩浆热液脉型矿床对比,认为其属岩浆热液脉型矿床.
2015, 40(6): 1017-1033.
doi: 10.3799/dqkx.2015.085
摘要:
库鲁克塔格是新疆前寒武纪出露较全的地区,然而该区区域成矿规律研究程度非常低.通过对研究区已有资料进行总结分析,系统阐述研究区矿床类型,并对其成矿系列进行划分.研究区从太古代到早古生代形成了7个主要的岩浆构造演化阶段:古太古代陆核形成阶段(3.3~3.0 Ga)、新太古代-古元古代陆壳增生改造阶段(2.6~2.3 Ga)、古元古代中晚期陆壳改造阶段(2.1~1.8 Ga)、中元古代晚期-新元古代早期造山运动阶段(1.1~0.86 Ga)、新元古代中期后碰撞伸展阶段(830~800 Ma)、新元古代中晚期陆内裂解阶段(770~600 Ma)和早古生代造陆运动阶段.成矿作用主要发生在古元古代、新元古代及早古生代.依据各构造演化阶段、含矿建造特征及矿床成因特征,将库鲁克塔格成矿作用类型总结为以下6个主要成矿系列,即形成于古元古代陆壳增生改造环境下的Fe-P-Cu-Au系列、新元古代俯冲碰撞环境下的Cu-Au系列、新元古代后碰撞环境下的Cu-Mo-Au-Fe-P-REE系列、新元古代裂解环境下的Cu-Ni系列、早古生代沉积盆地中Ag-V-Mo-Au-U-P系列和早古生代俯冲岛弧环境下的Cu-Au系列.
库鲁克塔格是新疆前寒武纪出露较全的地区,然而该区区域成矿规律研究程度非常低.通过对研究区已有资料进行总结分析,系统阐述研究区矿床类型,并对其成矿系列进行划分.研究区从太古代到早古生代形成了7个主要的岩浆构造演化阶段:古太古代陆核形成阶段(3.3~3.0 Ga)、新太古代-古元古代陆壳增生改造阶段(2.6~2.3 Ga)、古元古代中晚期陆壳改造阶段(2.1~1.8 Ga)、中元古代晚期-新元古代早期造山运动阶段(1.1~0.86 Ga)、新元古代中期后碰撞伸展阶段(830~800 Ma)、新元古代中晚期陆内裂解阶段(770~600 Ma)和早古生代造陆运动阶段.成矿作用主要发生在古元古代、新元古代及早古生代.依据各构造演化阶段、含矿建造特征及矿床成因特征,将库鲁克塔格成矿作用类型总结为以下6个主要成矿系列,即形成于古元古代陆壳增生改造环境下的Fe-P-Cu-Au系列、新元古代俯冲碰撞环境下的Cu-Au系列、新元古代后碰撞环境下的Cu-Mo-Au-Fe-P-REE系列、新元古代裂解环境下的Cu-Ni系列、早古生代沉积盆地中Ag-V-Mo-Au-U-P系列和早古生代俯冲岛弧环境下的Cu-Au系列.
2015, 40(6): 1034-1051.
doi: 10.3799/dqkx.2015.086
摘要:
传统方法不能明确揭示泥河铁矿床多阶段热液叠加蚀变过程中元素迁移的继承性特征.运用等浓度图法(the isocon diagram),根据该区晚阶段蚀变都是叠加在稍早阶段蚀变之上的实际情况,采用早期蚀变岩石为原岩与稍晚期蚀变岩石的不活动元素拟合最佳等浓度方程,定量揭示主量元素在热液蚀变过程的迁移规律.研究表明,泥河铁矿床阳离子的沉淀顺序大致为:Na→Ca、Mg、Fe、P→Ca、Fe→Al、Si.从早到晚,元素的带入和带出是连续互补的,蚀变矿化作用是一个连续的过程.钠长石的大量出现是Na质沉淀的标志,代表铁矿化的开始;膏辉岩化是Ca、Mg、Fe质沉淀的表现形式,为磁铁矿体的近矿和容矿蚀变;次生石英岩化、高岭石化是早期迁移出的Al、Si质沉淀的结果,是磁铁矿化远程指示性蚀变.
传统方法不能明确揭示泥河铁矿床多阶段热液叠加蚀变过程中元素迁移的继承性特征.运用等浓度图法(the isocon diagram),根据该区晚阶段蚀变都是叠加在稍早阶段蚀变之上的实际情况,采用早期蚀变岩石为原岩与稍晚期蚀变岩石的不活动元素拟合最佳等浓度方程,定量揭示主量元素在热液蚀变过程的迁移规律.研究表明,泥河铁矿床阳离子的沉淀顺序大致为:Na→Ca、Mg、Fe、P→Ca、Fe→Al、Si.从早到晚,元素的带入和带出是连续互补的,蚀变矿化作用是一个连续的过程.钠长石的大量出现是Na质沉淀的标志,代表铁矿化的开始;膏辉岩化是Ca、Mg、Fe质沉淀的表现形式,为磁铁矿体的近矿和容矿蚀变;次生石英岩化、高岭石化是早期迁移出的Al、Si质沉淀的结果,是磁铁矿化远程指示性蚀变.
2015, 40(6): 1052-1060.
doi: 10.3799/dqkx.2015.087
摘要:
深海沉积物中的稀土资源是一种新发现的、潜在的海底稀土资源.对太平洋中部重力活塞取样获得的90个深海粘土样品的矿物组分、常量和稀土化学分析结果进行了系统分析,并与中北太平洋以及西北太平洋南鸟岛附近海域深海沉积物稀土元素地球化学特征进行了对比.研究结果表明:太平洋中部深海粘土以富含沸石、富P及富REY为特征,其碎屑矿物中含有较多的鱼牙骨,其P2O5与CaO之间、P2O5、CaO与∑REY之间呈良好的正相关关系;其稀土分布模式表现为明显的Ce负异常、一定程度的重稀土元素富集和Y正异常.太平洋中部深海粘土REY富集的主要原因是深海粘土中含有过量的磷酸盐组分,推测过量的磷酸盐组分是由于深海粘土中鱼牙骨碎屑的加入引起的.在北太平洋海域,未受到热液活动影响的条件下,富REY的深海沉积物的稀土元素富集机制具有统一性和普遍性,可以归纳为深海沉积物中高REY磷酸盐的混入作用.
深海沉积物中的稀土资源是一种新发现的、潜在的海底稀土资源.对太平洋中部重力活塞取样获得的90个深海粘土样品的矿物组分、常量和稀土化学分析结果进行了系统分析,并与中北太平洋以及西北太平洋南鸟岛附近海域深海沉积物稀土元素地球化学特征进行了对比.研究结果表明:太平洋中部深海粘土以富含沸石、富P及富REY为特征,其碎屑矿物中含有较多的鱼牙骨,其P2O5与CaO之间、P2O5、CaO与∑REY之间呈良好的正相关关系;其稀土分布模式表现为明显的Ce负异常、一定程度的重稀土元素富集和Y正异常.太平洋中部深海粘土REY富集的主要原因是深海粘土中含有过量的磷酸盐组分,推测过量的磷酸盐组分是由于深海粘土中鱼牙骨碎屑的加入引起的.在北太平洋海域,未受到热液活动影响的条件下,富REY的深海沉积物的稀土元素富集机制具有统一性和普遍性,可以归纳为深海沉积物中高REY磷酸盐的混入作用.
2015, 40(6): 1061-1071.
doi: 10.3799/dqkx.2015.088
摘要:
为阐明惠州凹陷古近纪构造活动对物源供给与沉积充填的控制作用,以LA-ICPMS锆石U-Pb定年为主要技术手段,对惠州凹陷古近系不同层段的8件样品中的锆石形态及年代组成进行分析,定量研究其物源供给规律.南部物源,即盆内基岩凸起与东沙隆起,以中生代火成岩为主;北部物源,即盆外华南褶皱带,岩性及年代学复杂.结果显示从下文昌组-上文昌组-恩平组的砂岩样品中,中生代锆石颗粒含量逐渐降低,前寒武-古生代锆石颗粒含量逐渐增加,表明惠州凹陷具有早期南部供源逐渐到晚期北部供源的转换规律.惠州凹陷构造演化分为3幕:裂陷ⅠA、ⅠB和Ⅱ幕.裂陷ⅠA幕,下文昌组沉积时期,凹陷南部断层活动强烈,砂岩中锆石以中生代颗粒为主,沉积相类型以靠近南部断裂带发育的扇三角洲及中深湖相为主;裂陷ⅠB幕,上文昌组沉积时期,北部边界断裂带活动强度增加,中生代锆石颗粒含量为68%,前寒武-古生代颗粒含量为32%,表明该时期南北同时供源,沉积体系以扇三角洲、辫状河三角洲及中深湖相为特色;裂陷Ⅱ幕,恩平组沉积时期,北部断层持续活动,前寒武-古生代锆石颗粒含量为64%,中生代颗粒含量为36%,证实恩平组沉积时期以北部物源为主,发育了浅水辫状河三角洲、滩坝以及薄煤层.
为阐明惠州凹陷古近纪构造活动对物源供给与沉积充填的控制作用,以LA-ICPMS锆石U-Pb定年为主要技术手段,对惠州凹陷古近系不同层段的8件样品中的锆石形态及年代组成进行分析,定量研究其物源供给规律.南部物源,即盆内基岩凸起与东沙隆起,以中生代火成岩为主;北部物源,即盆外华南褶皱带,岩性及年代学复杂.结果显示从下文昌组-上文昌组-恩平组的砂岩样品中,中生代锆石颗粒含量逐渐降低,前寒武-古生代锆石颗粒含量逐渐增加,表明惠州凹陷具有早期南部供源逐渐到晚期北部供源的转换规律.惠州凹陷构造演化分为3幕:裂陷ⅠA、ⅠB和Ⅱ幕.裂陷ⅠA幕,下文昌组沉积时期,凹陷南部断层活动强烈,砂岩中锆石以中生代颗粒为主,沉积相类型以靠近南部断裂带发育的扇三角洲及中深湖相为主;裂陷ⅠB幕,上文昌组沉积时期,北部边界断裂带活动强度增加,中生代锆石颗粒含量为68%,前寒武-古生代颗粒含量为32%,表明该时期南北同时供源,沉积体系以扇三角洲、辫状河三角洲及中深湖相为特色;裂陷Ⅱ幕,恩平组沉积时期,北部断层持续活动,前寒武-古生代锆石颗粒含量为64%,中生代颗粒含量为36%,证实恩平组沉积时期以北部物源为主,发育了浅水辫状河三角洲、滩坝以及薄煤层.
2015, 40(6): 1072-1082.
doi: 10.3799/dqkx.2015.089
摘要:
东海盆地西湖凹陷具有大量的原油资源,但对于原油成因讨论较少.采集西湖凹陷多个油样和岩样,利用气相色谱和傅里叶红外光谱等手段,全面分析了该区烃源岩和原油的地球化学特征,综合讨论了原油来源以及凝析油和高蜡轻质油的成因.研究结果表明,平湖组煤系源岩均处于热演化的成熟阶段,其中碳质泥岩和煤岩以陆源生物为主要生源,其干酪根类型为Ⅲ型,暗色泥岩则具有陆源生物和水生生物双重生源贡献,其干酪根类型Ⅱ-Ⅲ型,同时碳质泥岩和煤的生油潜力远高于泥岩.原油主要为凝析油和轻质油,凝析油具有低密度、低蜡等“六低一高”的特点,轻质油具有高蜡特质,而且轻烃组分有明显差异.生标参数显示大部分原油为腐殖型,少部分原油表现出具有腐殖和腐泥母质的特点,同时该区原油均处于中等成熟阶段.油油对比和油岩对比表明大部分油来自平湖组碳质泥岩和煤岩,具有典型Ⅲ型腐殖油的特征;少部分油来自暗色泥岩,具有Ⅱ-Ⅲ型油的特征(总体上仍偏腐殖型).凝析油和轻质油的物性及轻烃组分的差异与源岩母质无关.凝析油是干酪根在成熟演化阶段生成的原油遭受蒸发分馏作用的结果,高蜡轻质油除了是“蒸发分馏作用”的残余油外,还有部分是“混合作用”的结果.
东海盆地西湖凹陷具有大量的原油资源,但对于原油成因讨论较少.采集西湖凹陷多个油样和岩样,利用气相色谱和傅里叶红外光谱等手段,全面分析了该区烃源岩和原油的地球化学特征,综合讨论了原油来源以及凝析油和高蜡轻质油的成因.研究结果表明,平湖组煤系源岩均处于热演化的成熟阶段,其中碳质泥岩和煤岩以陆源生物为主要生源,其干酪根类型为Ⅲ型,暗色泥岩则具有陆源生物和水生生物双重生源贡献,其干酪根类型Ⅱ-Ⅲ型,同时碳质泥岩和煤的生油潜力远高于泥岩.原油主要为凝析油和轻质油,凝析油具有低密度、低蜡等“六低一高”的特点,轻质油具有高蜡特质,而且轻烃组分有明显差异.生标参数显示大部分原油为腐殖型,少部分原油表现出具有腐殖和腐泥母质的特点,同时该区原油均处于中等成熟阶段.油油对比和油岩对比表明大部分油来自平湖组碳质泥岩和煤岩,具有典型Ⅲ型腐殖油的特征;少部分油来自暗色泥岩,具有Ⅱ-Ⅲ型油的特征(总体上仍偏腐殖型).凝析油和轻质油的物性及轻烃组分的差异与源岩母质无关.凝析油是干酪根在成熟演化阶段生成的原油遭受蒸发分馏作用的结果,高蜡轻质油除了是“蒸发分馏作用”的残余油外,还有部分是“混合作用”的结果.
2015, 40(6): 1083-1092.
doi: 10.3799/dqkx.2015.090
摘要:
淮北煤田的高温热害问题愈发突出,但目前对该区系统的地温场特征及大地热流分布研究非常稀少.在系统分析淮北煤田大量地面钻孔井温测井数据和井下巷道围岩温度测试数据的基础上,结合72块岩石样品的热导率测试结果,全面阐述了该区现今地温梯度和大地热流的分布特征.研究表明:淮北煤田现今地温梯度众值介于1.80~2.80 ℃/100 m之间,平均地温梯度为2.42 ℃/100 m;大地热流值变化范围为39.52~74.12 mW/m2,平均热流值为55.72 mW/m2,地温梯度和热流值均低于同处华北板块的其他盆地以及南部的淮南煤田;大地热流受地温梯度控制明显,两者分布较为相似,整体表现为南高北低、西高东低的特点.结果表明,区内现今地温场和热流分布主要受区域地质背景和区内构造格局的控制.
淮北煤田的高温热害问题愈发突出,但目前对该区系统的地温场特征及大地热流分布研究非常稀少.在系统分析淮北煤田大量地面钻孔井温测井数据和井下巷道围岩温度测试数据的基础上,结合72块岩石样品的热导率测试结果,全面阐述了该区现今地温梯度和大地热流的分布特征.研究表明:淮北煤田现今地温梯度众值介于1.80~2.80 ℃/100 m之间,平均地温梯度为2.42 ℃/100 m;大地热流值变化范围为39.52~74.12 mW/m2,平均热流值为55.72 mW/m2,地温梯度和热流值均低于同处华北板块的其他盆地以及南部的淮南煤田;大地热流受地温梯度控制明显,两者分布较为相似,整体表现为南高北低、西高东低的特点.结果表明,区内现今地温场和热流分布主要受区域地质背景和区内构造格局的控制.
2015, 40(6): 1093-1100.
doi: 10.3799/dqkx.2015.091
摘要:
传统暂堵剂难以封堵低孔低渗煤层气储层中的大量纳米级别孔隙.通过煤岩显微观测、钻井液基本性能测试、泥饼清除实验、煤岩孔隙分布实验和气体渗透率实验,探讨了纳米碳酸钙降低低孔低渗煤层气储层伤害的效果.结果表明:纳米碳酸钙材料只有在水溶液中保持纳米级的分散状态,才可能对低渗煤岩起到暂堵作用;基于纳米碳酸钙的可降解钻井液既能封堵低孔低渗煤岩中微米级别孔隙,也能封堵其中的纳米级别孔隙;经过生物酶和稀盐酸双重解堵后,煤岩渗透率恢复值达77.17%~97.98%,储层保护效果好;煤岩孔隙分布实验可以在纳米尺度上研究纳米材料对低孔低渗储层的暂堵效果.研究成果可为纳米碳酸钙在低孔低渗煤层和页岩钻完井过程中的应用奠定良好技术基础.
传统暂堵剂难以封堵低孔低渗煤层气储层中的大量纳米级别孔隙.通过煤岩显微观测、钻井液基本性能测试、泥饼清除实验、煤岩孔隙分布实验和气体渗透率实验,探讨了纳米碳酸钙降低低孔低渗煤层气储层伤害的效果.结果表明:纳米碳酸钙材料只有在水溶液中保持纳米级的分散状态,才可能对低渗煤岩起到暂堵作用;基于纳米碳酸钙的可降解钻井液既能封堵低孔低渗煤岩中微米级别孔隙,也能封堵其中的纳米级别孔隙;经过生物酶和稀盐酸双重解堵后,煤岩渗透率恢复值达77.17%~97.98%,储层保护效果好;煤岩孔隙分布实验可以在纳米尺度上研究纳米材料对低孔低渗储层的暂堵效果.研究成果可为纳米碳酸钙在低孔低渗煤层和页岩钻完井过程中的应用奠定良好技术基础.
2015, 40(6): 1101-1106.
doi: 10.3799/dqkx.2015.092
摘要:
岩体结构面产状是影响岩体力学性质及工程稳定性的重要地质因素.从钻孔孔壁电视平展图上可较精确地提取结构面迹线上不共线三点的相对二维坐标(d, h),再利用空间解析几何理论确定其三维空间相对坐标(x, y, z),并求得结构面法向矢量.根据钻孔孔壁与坡面及结构面产状的空间几何关系,在保持原点不变的情况下,采用空间坐标变换的方法,将三维坐标系z轴和y轴分别转化为竖直方向z′和正北地理方向y′,并确定转化后坐标系空间的结构面法向矢量.再从结构面产状的定义出发,根据结构面法向矢量与结构面倾向、倾角的相关性,建立了一个空间几何模型,通过该模型可求得任意平直坡面上任一钻孔内局部岩体结构面的产状.
岩体结构面产状是影响岩体力学性质及工程稳定性的重要地质因素.从钻孔孔壁电视平展图上可较精确地提取结构面迹线上不共线三点的相对二维坐标(d, h),再利用空间解析几何理论确定其三维空间相对坐标(x, y, z),并求得结构面法向矢量.根据钻孔孔壁与坡面及结构面产状的空间几何关系,在保持原点不变的情况下,采用空间坐标变换的方法,将三维坐标系z轴和y轴分别转化为竖直方向z′和正北地理方向y′,并确定转化后坐标系空间的结构面法向矢量.再从结构面产状的定义出发,根据结构面法向矢量与结构面倾向、倾角的相关性,建立了一个空间几何模型,通过该模型可求得任意平直坡面上任一钻孔内局部岩体结构面的产状.




登录
注册
高级检索
邮件订阅
RSS
摘要
HTML全文