2022年 47卷 第7期
2022, 47(7): 2287-2302.
doi: 10.3799/dqkx.2022.135
摘要:
基于跨南海西南次海盆V型尖端区共轭被动大陆边缘的1 000 km长的深反射地震剖面的解释和分析,深入研究南海临界破裂区地壳结构、盆地构造地层格架和岩浆作用特征,阐明地壳岩石圈的伸展破裂过程.结果表明,在南海西南次海盆共轭陆缘可以识别出3条一级界面,即海底、基底(Tg/Tb)和Moho面,根据这些界面可将共轭边缘划分为箱型域、细颈域、楔型域和薄箱型域等多个地壳基底结构构造特征显著不同的构造单元;在西南次海盆V型尖端陆缘盆地充填序列中识别出岩石圈裂解分离的响应界面,即裂后不整合界面T50/Tm,该界面与基底面Tg/Tb限定了陆缘盆地的同裂陷沉积充填序列,其内发育了T70、T60两条重要的幕式构造响应界面,控制了早期高角度正断层控制的断陷盆地系(Tg-T70)、中期拆离断层控制的拆离盆地系(T70-T60)和晚期断坳转换作用控制的坳陷盆地(T60-T50);西南次海盆V型尖端薄箱型域属于原洋洋壳域,为岩浆型地壳,代表了岩石圈临近裂解分离、但支撑稳定态海底扩张的地幔对流系统还未完全建立起来之前的“临界破裂”状态,发育于23.5~15.5 Ma(T60-Tm)期间.综合考虑地壳初始厚度、断裂活动性和不同时期的盆地原型等,运用平衡剖面技术重建了西南次海盆V型尖端共轭边缘的发育演化过程,建立了南海西南次海盆临界破裂区构造-地层-岩浆相互作用模式,揭示了南海陆缘岩石圈伸展破裂机制.本研究具有重要的理论意义,并对南海的深水油气勘探具有重大的实际应用价值.
基于跨南海西南次海盆V型尖端区共轭被动大陆边缘的1 000 km长的深反射地震剖面的解释和分析,深入研究南海临界破裂区地壳结构、盆地构造地层格架和岩浆作用特征,阐明地壳岩石圈的伸展破裂过程.结果表明,在南海西南次海盆共轭陆缘可以识别出3条一级界面,即海底、基底(Tg/Tb)和Moho面,根据这些界面可将共轭边缘划分为箱型域、细颈域、楔型域和薄箱型域等多个地壳基底结构构造特征显著不同的构造单元;在西南次海盆V型尖端陆缘盆地充填序列中识别出岩石圈裂解分离的响应界面,即裂后不整合界面T50/Tm,该界面与基底面Tg/Tb限定了陆缘盆地的同裂陷沉积充填序列,其内发育了T70、T60两条重要的幕式构造响应界面,控制了早期高角度正断层控制的断陷盆地系(Tg-T70)、中期拆离断层控制的拆离盆地系(T70-T60)和晚期断坳转换作用控制的坳陷盆地(T60-T50);西南次海盆V型尖端薄箱型域属于原洋洋壳域,为岩浆型地壳,代表了岩石圈临近裂解分离、但支撑稳定态海底扩张的地幔对流系统还未完全建立起来之前的“临界破裂”状态,发育于23.5~15.5 Ma(T60-Tm)期间.综合考虑地壳初始厚度、断裂活动性和不同时期的盆地原型等,运用平衡剖面技术重建了西南次海盆V型尖端共轭边缘的发育演化过程,建立了南海西南次海盆临界破裂区构造-地层-岩浆相互作用模式,揭示了南海陆缘岩石圈伸展破裂机制.本研究具有重要的理论意义,并对南海的深水油气勘探具有重大的实际应用价值.
2022, 47(7): 2303-2316.
doi: 10.3799/dqkx.2022.064
摘要:
断陷盆地的结构-构造主要受控于边界断层的构造作用,但是在盆地发育过程中有不同程度的岩浆作用发生时,断陷结构会受到显著的改造和影响.通过对位于南海北部陆缘超伸展区的珠江口盆地白云凹陷断陷结构差异演化特征的描述和分析,探讨陆缘伸展过程中岩浆作用的参与程度对洼陷结构样式和断陷构造-地层-沉积演化的影响.研究表明,白云凹陷主洼强烈伸展期间,岩浆作用不明显,上地壳发生脆性断裂,中下地壳则发生韧性伸展薄化,产生了壳幔拆离断层控制的宽深断陷,构造作用即地壳伸展拆离薄化作用是断陷发育的主要机制;然而,白云凹陷东部洼陷在经历了早期的脆性破裂之后,随即发生了显著的岩浆上涌作用,改变了上地壳的结构强度,脆-韧性转换面上移,产生了上地壳拆离断层控制的宽浅断陷,断陷结构受岩浆上涌作用的改造而表现出坡坪式拆离断层控制的半地堑系,沉积中心发生规律性迁移,构造-岩浆作用是断陷发育的机制.白云凹陷主洼与白云凹陷东部洼陷中岩浆作用参与程度的不同,不仅导致了洼陷结构样式及其演变过程的不同,而且断陷中的沉积充填体系也表现出显著的差异.构成白云凹陷主洼的宽深断陷中发育了巨厚的中晚始新世上文昌组-恩平组,在北部缓坡和南部深洼区,这套地层依次由大型三角洲体系和深湖相沉积体系构成;白云凹陷的东部洼陷则受岩浆上涌改造,发育多隆凹结构的宽浅断陷,形成多个小物源供源的小型三角洲-浅湖沉积体系,而且沉积物中富含火山碎屑.研究成果对于白云凹陷成盆机制的研究意义重大,同时对该凹陷的油气勘探亦具有重要的实际应用价值.
断陷盆地的结构-构造主要受控于边界断层的构造作用,但是在盆地发育过程中有不同程度的岩浆作用发生时,断陷结构会受到显著的改造和影响.通过对位于南海北部陆缘超伸展区的珠江口盆地白云凹陷断陷结构差异演化特征的描述和分析,探讨陆缘伸展过程中岩浆作用的参与程度对洼陷结构样式和断陷构造-地层-沉积演化的影响.研究表明,白云凹陷主洼强烈伸展期间,岩浆作用不明显,上地壳发生脆性断裂,中下地壳则发生韧性伸展薄化,产生了壳幔拆离断层控制的宽深断陷,构造作用即地壳伸展拆离薄化作用是断陷发育的主要机制;然而,白云凹陷东部洼陷在经历了早期的脆性破裂之后,随即发生了显著的岩浆上涌作用,改变了上地壳的结构强度,脆-韧性转换面上移,产生了上地壳拆离断层控制的宽浅断陷,断陷结构受岩浆上涌作用的改造而表现出坡坪式拆离断层控制的半地堑系,沉积中心发生规律性迁移,构造-岩浆作用是断陷发育的机制.白云凹陷主洼与白云凹陷东部洼陷中岩浆作用参与程度的不同,不仅导致了洼陷结构样式及其演变过程的不同,而且断陷中的沉积充填体系也表现出显著的差异.构成白云凹陷主洼的宽深断陷中发育了巨厚的中晚始新世上文昌组-恩平组,在北部缓坡和南部深洼区,这套地层依次由大型三角洲体系和深湖相沉积体系构成;白云凹陷的东部洼陷则受岩浆上涌改造,发育多隆凹结构的宽浅断陷,形成多个小物源供源的小型三角洲-浅湖沉积体系,而且沉积物中富含火山碎屑.研究成果对于白云凹陷成盆机制的研究意义重大,同时对该凹陷的油气勘探亦具有重要的实际应用价值.
2022, 47(7): 2317-2327.
doi: 10.3799/dqkx.2021.247
摘要:
明确珠江口盆地中生代陆缘岩浆弧特征及构造演化过程对于古潜山勘探至关重要.综合构造学、岩石学、年代学、地球化学与地球物理学现有成果,认为珠江口盆地基底主要为燕山期岩浆杂岩,以中酸性侵入岩为主,中生代岩浆活动以105~165 Ma最为强烈,发育了NE-NEE走向和NW-NWW走向两组中生代断裂.区域构造研究表明中生代期间,珠江口盆地处于古太平洋板片俯冲作用控制的陆缘岩浆弧构造环境,岩浆岩具有流体活动元素富集、Ta-Nb-Ti亏损的特征,形成复合火山岩-侵入岩“双层”岩性组合.重建了珠江口盆地中生代陆缘岩浆弧5个阶段的形成演化过程,揭示了珠江口盆地古潜山的成山背景.
明确珠江口盆地中生代陆缘岩浆弧特征及构造演化过程对于古潜山勘探至关重要.综合构造学、岩石学、年代学、地球化学与地球物理学现有成果,认为珠江口盆地基底主要为燕山期岩浆杂岩,以中酸性侵入岩为主,中生代岩浆活动以105~165 Ma最为强烈,发育了NE-NEE走向和NW-NWW走向两组中生代断裂.区域构造研究表明中生代期间,珠江口盆地处于古太平洋板片俯冲作用控制的陆缘岩浆弧构造环境,岩浆岩具有流体活动元素富集、Ta-Nb-Ti亏损的特征,形成复合火山岩-侵入岩“双层”岩性组合.重建了珠江口盆地中生代陆缘岩浆弧5个阶段的形成演化过程,揭示了珠江口盆地古潜山的成山背景.
2022, 47(7): 2328-2336.
doi: 10.3799/dqkx.2022.033
摘要:
晚中生代是古太平洋板块俯冲和南海北部岩浆弧发育时期,开展珠江口盆地KP1-1-1井钻遇的浅变质砂岩的近源沉积研究有助于揭示岩浆弧源区的构造特点.根据LA-ICPMS碎屑锆石分析,KP1-1-1浅变质砂岩中存在129~155 Ma、155~172 Ma和172~196 Ma三个年龄组分,这一特点与区域上构造岩浆事件一致.碎屑岩浆锆石流体活动性元素富集(如U和Th),高场强元素亏损(如Nb、Hf和Ti);元素组成U/Yb(0.34~3.92)、Sc/Yb(0.48~2.28)、Hf/Th(14.4~186.6)和Th/Nb(24.3~462.7)具有大陆岩浆弧特点;计算的锆石Ti温度为551~786℃,表明属于低温弧岩浆作用.碎屑岩中172~196 Ma锆石组分记录了东沙-大仑-雁荡岩浆弧向西南的进一步延伸,与侏罗纪早期古太平洋斜向俯冲到华南陆块之下有关.155~172 Ma岩浆锆石与古板块强烈俯冲有关,对应于华南165~150 Ma大规模花岗质岩浆活动.129~155 Ma时期板块俯冲减弱或俯冲带后撤,可与浙闽同时期板内强烈火山活动对比.碎屑岩中测得最年轻年龄为128.8 Ma,表明KP1-1-1钻遇浅变质砂岩形成时代晚于128 Ma,应属于白垩系,不是传统上认为的下古生界岩系.
晚中生代是古太平洋板块俯冲和南海北部岩浆弧发育时期,开展珠江口盆地KP1-1-1井钻遇的浅变质砂岩的近源沉积研究有助于揭示岩浆弧源区的构造特点.根据LA-ICPMS碎屑锆石分析,KP1-1-1浅变质砂岩中存在129~155 Ma、155~172 Ma和172~196 Ma三个年龄组分,这一特点与区域上构造岩浆事件一致.碎屑岩浆锆石流体活动性元素富集(如U和Th),高场强元素亏损(如Nb、Hf和Ti);元素组成U/Yb(0.34~3.92)、Sc/Yb(0.48~2.28)、Hf/Th(14.4~186.6)和Th/Nb(24.3~462.7)具有大陆岩浆弧特点;计算的锆石Ti温度为551~786℃,表明属于低温弧岩浆作用.碎屑岩中172~196 Ma锆石组分记录了东沙-大仑-雁荡岩浆弧向西南的进一步延伸,与侏罗纪早期古太平洋斜向俯冲到华南陆块之下有关.155~172 Ma岩浆锆石与古板块强烈俯冲有关,对应于华南165~150 Ma大规模花岗质岩浆活动.129~155 Ma时期板块俯冲减弱或俯冲带后撤,可与浙闽同时期板内强烈火山活动对比.碎屑岩中测得最年轻年龄为128.8 Ma,表明KP1-1-1钻遇浅变质砂岩形成时代晚于128 Ma,应属于白垩系,不是传统上认为的下古生界岩系.
2022, 47(7): 2337-2353.
doi: 10.3799/dqkx.2021.208
摘要:
南海北部陆缘发育独特的远端带结构,以“裂谷宽、基底厚和地貌起伏”为主要特点,显著有别于经典贫岩浆型和富岩浆型张裂陆缘.为了解释陆缘结构的成因,综合已有研究进展和国际大洋发现计划(IODP)的钻探成果,对南海北部陆缘基底性质进行了调研,探讨了拆离断层和岩浆作用的特点以及两者间的相互作用.结果表明,在38 Ma之前南海北部大范围发育核杂岩构造,并伴随大量岩浆侵入到中下地壳;岩浆作用一方面加剧了地壳的韧性变形,导致应变无法集中而在多个地方同时发育大型拆离,另一方面对拆离面和减薄的基底进行了强烈改造.最终提出同张裂期就位的岩浆作用和中下地壳的韧性流动是形成南海北部宽裂谷陆缘的关键,深化了对陆缘结构、变形过程和岩石圈减薄机制的理解.
南海北部陆缘发育独特的远端带结构,以“裂谷宽、基底厚和地貌起伏”为主要特点,显著有别于经典贫岩浆型和富岩浆型张裂陆缘.为了解释陆缘结构的成因,综合已有研究进展和国际大洋发现计划(IODP)的钻探成果,对南海北部陆缘基底性质进行了调研,探讨了拆离断层和岩浆作用的特点以及两者间的相互作用.结果表明,在38 Ma之前南海北部大范围发育核杂岩构造,并伴随大量岩浆侵入到中下地壳;岩浆作用一方面加剧了地壳的韧性变形,导致应变无法集中而在多个地方同时发育大型拆离,另一方面对拆离面和减薄的基底进行了强烈改造.最终提出同张裂期就位的岩浆作用和中下地壳的韧性流动是形成南海北部宽裂谷陆缘的关键,深化了对陆缘结构、变形过程和岩石圈减薄机制的理解.
2022, 47(7): 2354-2373.
doi: 10.3799/dqkx.2022.035
摘要:
壳幔拆离断裂活动与沉积体系响应为世界陆缘演变研究的热点,选取珠江口盆地白云凹陷壳幔拆离体系及其沉积响应开展系统性解剖.结合陆缘演变认识新进展、长电缆三维地震和钻井综合解释等揭示白云凹陷南部主控断裂带主要由4排NEE-NE向断至莫霍面的高角度铲式壳幔拆离断裂组成,裂陷期幕式活动使得白云凹陷经历了均一裂陷、拆离裂陷和断拗转换三阶段演化;均一裂陷期(下文昌组),控洼断裂未延伸至莫霍面,主要发育断裂转换带控制下的轴向陡坡辫状河三角洲/湖相沉积体系,缓坡物源体系不甚发育;拆离裂陷期(上文昌组),壳幔拆离断裂断至莫霍面,呈现强烈水平伸展和垂向落差,导致上盘远离断层一侧强烈旋转翘倾、抬升剥蚀成为最主要缓坡物源体系,靠近断层北侧沉降深陷成为深湖盆,上盘中段发育大型三角洲沉积;断拗转换期(恩平组),拆离作用减弱而沉降作用显著增强,控制了北部缓坡挠曲坡折和NW-SE向推进的大型三角洲/湖相沉积体系的发育.由此,主控断裂由均一伸展到壳幔拆离伸展的构造演变导致白云凹陷上文昌组至恩平组缓坡大型三角洲、下文昌组东西轴向转换带辫状河三角洲和洼陷周边陡坡带扇三角洲砂岩三类规模储集体与湖相泥岩满盆叠置的分布格局,使其成为深水勘探向中深层拓展的主要对象.
壳幔拆离断裂活动与沉积体系响应为世界陆缘演变研究的热点,选取珠江口盆地白云凹陷壳幔拆离体系及其沉积响应开展系统性解剖.结合陆缘演变认识新进展、长电缆三维地震和钻井综合解释等揭示白云凹陷南部主控断裂带主要由4排NEE-NE向断至莫霍面的高角度铲式壳幔拆离断裂组成,裂陷期幕式活动使得白云凹陷经历了均一裂陷、拆离裂陷和断拗转换三阶段演化;均一裂陷期(下文昌组),控洼断裂未延伸至莫霍面,主要发育断裂转换带控制下的轴向陡坡辫状河三角洲/湖相沉积体系,缓坡物源体系不甚发育;拆离裂陷期(上文昌组),壳幔拆离断裂断至莫霍面,呈现强烈水平伸展和垂向落差,导致上盘远离断层一侧强烈旋转翘倾、抬升剥蚀成为最主要缓坡物源体系,靠近断层北侧沉降深陷成为深湖盆,上盘中段发育大型三角洲沉积;断拗转换期(恩平组),拆离作用减弱而沉降作用显著增强,控制了北部缓坡挠曲坡折和NW-SE向推进的大型三角洲/湖相沉积体系的发育.由此,主控断裂由均一伸展到壳幔拆离伸展的构造演变导致白云凹陷上文昌组至恩平组缓坡大型三角洲、下文昌组东西轴向转换带辫状河三角洲和洼陷周边陡坡带扇三角洲砂岩三类规模储集体与湖相泥岩满盆叠置的分布格局,使其成为深水勘探向中深层拓展的主要对象.
2022, 47(7): 2374-2390.
doi: 10.3799/dqkx.2021.258
摘要:
目前对珠江口盆地中生代以来的演化过程及其与沉积环境演变的响应关系尚缺乏系统性认识.基于珠江口盆地中-新生代岩浆活动、断陷结构样式及其改造、典型构造变形样式、沉积中心的转换等特征的对比分析,将盆地中-新生代的构造演化划分为4个阶段、7个期次:(1)中侏罗世-晚白垩世早期(~170~90 Ma)为古太平洋板块俯冲主控的陆缘岩浆弧-弧前盆地演化阶段;(2)晚白垩世-始新世中期(~90~43 Ma)为太平洋板块俯冲后撤背景下弧后周缘前陆/造山后塌陷-主动裂谷演化阶段;(3)始新世中期-中中新世(~43~10 Ma)为华南挤出-古南海俯冲拖曳主导的被动陆缘演化阶段;(4)晚中新世以来(~10~0 Ma)为菲律宾板块NWW向仰冲主导的挤压张扭演化阶段.~90 Ma、~43 Ma、~10 Ma分别实现了由安第斯型俯冲向西太平洋型俯冲、由主动裂谷向被动陆缘伸展、由被动陆缘伸展向挤压张扭的转换.在此过程中,伴随着古南海和南海的发育-消亡,新生代裂陷期沉积环境由东向西、由南向北逐渐海侵,裂后期由南向北阶段性差异沉降,由陆架浅水向陆坡深水转换,这使得珠一/三、珠二、珠四坳陷的石油地质条件具有显著的分带差异性.
目前对珠江口盆地中生代以来的演化过程及其与沉积环境演变的响应关系尚缺乏系统性认识.基于珠江口盆地中-新生代岩浆活动、断陷结构样式及其改造、典型构造变形样式、沉积中心的转换等特征的对比分析,将盆地中-新生代的构造演化划分为4个阶段、7个期次:(1)中侏罗世-晚白垩世早期(~170~90 Ma)为古太平洋板块俯冲主控的陆缘岩浆弧-弧前盆地演化阶段;(2)晚白垩世-始新世中期(~90~43 Ma)为太平洋板块俯冲后撤背景下弧后周缘前陆/造山后塌陷-主动裂谷演化阶段;(3)始新世中期-中中新世(~43~10 Ma)为华南挤出-古南海俯冲拖曳主导的被动陆缘演化阶段;(4)晚中新世以来(~10~0 Ma)为菲律宾板块NWW向仰冲主导的挤压张扭演化阶段.~90 Ma、~43 Ma、~10 Ma分别实现了由安第斯型俯冲向西太平洋型俯冲、由主动裂谷向被动陆缘伸展、由被动陆缘伸展向挤压张扭的转换.在此过程中,伴随着古南海和南海的发育-消亡,新生代裂陷期沉积环境由东向西、由南向北逐渐海侵,裂后期由南向北阶段性差异沉降,由陆架浅水向陆坡深水转换,这使得珠一/三、珠二、珠四坳陷的石油地质条件具有显著的分带差异性.
2022, 47(7): 2391-2409.
doi: 10.3799/dqkx.2022.215
摘要:
珠江口盆地新生代发育跨越浅水区至深水区、多类型的拆离断陷,其中浅水陆架区拆离断陷是探究拆离构造变形与沉积充填响应的重要窗口.基于地震资料和钻井资料详细解析,对恩平凹陷低角度拆离断层特征进行了研究,探讨了拆离构造变形的控制因素、变形过程和沉积充填响应机制.研究表明,恩平凹陷低角度边界正断层为壳间拆离断层,长度约50 km,倾角平均17.5°,断面最深达中下地壳,裂陷期经历了中低角度到低角度的转变.拆离断层形成于中生代先存逆冲断层基础之上,与中下地壳韧性剪切穹隆和边界调节性走滑断裂相伴生,联合控制形成均衡深拆离、前展式宽拆离和迁移型复式拆离3种凹陷结构类型.垂向上可划分出三期裂陷幕,因差异构造变形而具有不同的沉积充填响应:(1)早文昌期均一裂陷幕,快速的裂陷沉降发育于先存逆冲断层弱面,形成具厚层中深湖的均一窄深箕状半地堑;(2)晚文昌期拆离伸展幕,凹陷受差异构造变形而发育成东、西沉积充填差异化的宽浅断陷,西部韧性剪切穹隆弱隆升与边界走滑断层强走滑控制了恩平17洼自迁移型中深湖和大型辫状河三角洲-重力流沉积,而东部韧性剪切穹隆强隆升控制了恩平12-18洼沉积中心跳跃式异迁移的沉积充填,过渡带发育大型走向斜坡扇三角洲;(3)恩平期拆离-断拗联控幕,构造变形由简单剪切向纯剪切转变,沉积向外流水系主导的浅水辫状河三角洲-浅湖相充填转变.低角度拆离断陷具有与高角度脆性断陷不同的构造变形和沉积充填响应,烃源岩与砂岩储层的时空分布非均质性强.研究成果对恩平凹陷的烃源岩和深部储层预测,以及南海北部陆缘同类拆离断陷的构造-沉积充填研究具有良好的指导意义.
珠江口盆地新生代发育跨越浅水区至深水区、多类型的拆离断陷,其中浅水陆架区拆离断陷是探究拆离构造变形与沉积充填响应的重要窗口.基于地震资料和钻井资料详细解析,对恩平凹陷低角度拆离断层特征进行了研究,探讨了拆离构造变形的控制因素、变形过程和沉积充填响应机制.研究表明,恩平凹陷低角度边界正断层为壳间拆离断层,长度约50 km,倾角平均17.5°,断面最深达中下地壳,裂陷期经历了中低角度到低角度的转变.拆离断层形成于中生代先存逆冲断层基础之上,与中下地壳韧性剪切穹隆和边界调节性走滑断裂相伴生,联合控制形成均衡深拆离、前展式宽拆离和迁移型复式拆离3种凹陷结构类型.垂向上可划分出三期裂陷幕,因差异构造变形而具有不同的沉积充填响应:(1)早文昌期均一裂陷幕,快速的裂陷沉降发育于先存逆冲断层弱面,形成具厚层中深湖的均一窄深箕状半地堑;(2)晚文昌期拆离伸展幕,凹陷受差异构造变形而发育成东、西沉积充填差异化的宽浅断陷,西部韧性剪切穹隆弱隆升与边界走滑断层强走滑控制了恩平17洼自迁移型中深湖和大型辫状河三角洲-重力流沉积,而东部韧性剪切穹隆强隆升控制了恩平12-18洼沉积中心跳跃式异迁移的沉积充填,过渡带发育大型走向斜坡扇三角洲;(3)恩平期拆离-断拗联控幕,构造变形由简单剪切向纯剪切转变,沉积向外流水系主导的浅水辫状河三角洲-浅湖相充填转变.低角度拆离断陷具有与高角度脆性断陷不同的构造变形和沉积充填响应,烃源岩与砂岩储层的时空分布非均质性强.研究成果对恩平凹陷的烃源岩和深部储层预测,以及南海北部陆缘同类拆离断陷的构造-沉积充填研究具有良好的指导意义.
2022, 47(7): 2410-2420.
doi: 10.3799/dqkx.2022.002
摘要:
新生代以来,全球地质演化中最大的地质事件不外乎青藏高原的形成及其环境效应,其中东亚地区的黄土堆积及大型水系的形成最为瞩目.珠江作为串联华南大陆与南海北部“源-汇”系统的纽带,是南海沉积学研究的焦点,揭示其形成过程对探讨云贵高原以及青藏东南侧的地形演变具有重要意义.采用元素地球化学与碎屑锆石U-Pb年龄谱系源汇综合示踪技术,结合珠江流域及珠江三角洲的研究成果,详细探讨珠江的诞生与演化历史.珠江河流体系初始形成于早渐新世,流域范围仅限于华南沿海地区;晚渐新世珠江发生向西拓展事件,流域面积显著扩大,达到云贵高原东侧边缘;到中新世珠江流域发生明显改变,河流进一步向西、向北溯源侵蚀,流域面积急剧扩大,深入云贵高原腹地.23 Ma珠江流域面积的快速扩展与同时期长江三峡贯通、北方黄土发育均是该时期青藏高原大范围隆升的直接产物,是东亚地区基本形成西高东低地貌特征的具体反映.
新生代以来,全球地质演化中最大的地质事件不外乎青藏高原的形成及其环境效应,其中东亚地区的黄土堆积及大型水系的形成最为瞩目.珠江作为串联华南大陆与南海北部“源-汇”系统的纽带,是南海沉积学研究的焦点,揭示其形成过程对探讨云贵高原以及青藏东南侧的地形演变具有重要意义.采用元素地球化学与碎屑锆石U-Pb年龄谱系源汇综合示踪技术,结合珠江流域及珠江三角洲的研究成果,详细探讨珠江的诞生与演化历史.珠江河流体系初始形成于早渐新世,流域范围仅限于华南沿海地区;晚渐新世珠江发生向西拓展事件,流域面积显著扩大,达到云贵高原东侧边缘;到中新世珠江流域发生明显改变,河流进一步向西、向北溯源侵蚀,流域面积急剧扩大,深入云贵高原腹地.23 Ma珠江流域面积的快速扩展与同时期长江三峡贯通、北方黄土发育均是该时期青藏高原大范围隆升的直接产物,是东亚地区基本形成西高东低地貌特征的具体反映.
2022, 47(7): 2421-2432.
doi: 10.3799/dqkx.2022.157
摘要:
南海北部狭窄陆架-断裂陆坡控制的深水沉积体系研究程度极低.以“源-渠-汇”耦合思想为指导,基于岩石学特征、测井相、地震相分析,刻画了揭阳凹陷珠海组深水扇砂体的垂向叠置和横向迁移特征,并将其形成演化划分为珠海组四段初始形成期、珠海组三段-二段发展扩大期、珠海组一段萎缩消亡期.揭阳凹陷珠海组大型盆底扇的形成受控于易剥蚀的中生界物源、多期的相对海平面快速下降、狭窄陆架-断裂陆坡的有利地貌这3个关键因素的耦合作用;在区域三级相对海平面快速下降的背景下,揭阳凹陷北侧东沙隆起富砂的下白垩统快速剥蚀,沉积物直接沿狭窄陆架区的侵蚀下切谷或小型陆架边缘三角洲的水下分流河道搬运,顺断裂坡折带或构造转换带调节,以重力流形式经峡谷水道继续搬运至下陆坡盆地形成大型海底扇.
南海北部狭窄陆架-断裂陆坡控制的深水沉积体系研究程度极低.以“源-渠-汇”耦合思想为指导,基于岩石学特征、测井相、地震相分析,刻画了揭阳凹陷珠海组深水扇砂体的垂向叠置和横向迁移特征,并将其形成演化划分为珠海组四段初始形成期、珠海组三段-二段发展扩大期、珠海组一段萎缩消亡期.揭阳凹陷珠海组大型盆底扇的形成受控于易剥蚀的中生界物源、多期的相对海平面快速下降、狭窄陆架-断裂陆坡的有利地貌这3个关键因素的耦合作用;在区域三级相对海平面快速下降的背景下,揭阳凹陷北侧东沙隆起富砂的下白垩统快速剥蚀,沉积物直接沿狭窄陆架区的侵蚀下切谷或小型陆架边缘三角洲的水下分流河道搬运,顺断裂坡折带或构造转换带调节,以重力流形式经峡谷水道继续搬运至下陆坡盆地形成大型海底扇.
2022, 47(7): 2433-2453.
doi: 10.3799/dqkx.2022.156
摘要:
为揭示白云凹陷文昌组构造演化与沉积充填间的耦合关系,基于三维地震数据和钻井、测井资料,采用层序原形结构剖面恢复、增强地震相分析、砂体地震扫描解释等新方法,对白云凹陷文昌组构造演化及其控制下的沉积充填过程进行了详细研究. 研究表明,响应于控凹断层“弱‒极强‒较强‒弱”的活动过程,文昌组沉积期白云凹陷经历了初始断陷期(WCSQ1)、强断陷早期(WCSQ2)、强断陷晚期(WCSQ3)和弱断陷期(WCSQ4、WCSQ5)4个构造演化阶段. 相应地,白云主洼经历了河流‒湖泊、超深湖发生、超深湖充填、深湖‒浅湖发生等沉积演化过程. 其中旋转断块翘倾侧的北部缓坡带主要为河流‒浅湖过渡环境,发育大‒中型辫状河三角洲沉积体系;断块倾没侧的南部陡坡带主要为半深湖‒深湖环境,发育近岸水下扇‒扇三角洲沉积体系;湖盆中心为深湖‒超深湖环境,以泥岩沉积为主,深湖区周缘发育湖底扇沉积;同时期白云东洼为陡坡+岩浆底侵形成的多隆洼地貌,以小型近岸水下扇‒扇三角洲沉积体系为主,局部发育火山碎屑沉积. 文昌组沉积砂体的孔隙性受白云凹陷控凹断裂和岩浆的活动强度、物源体系及次级洼陷古地理特征等因素共同控制.
为揭示白云凹陷文昌组构造演化与沉积充填间的耦合关系,基于三维地震数据和钻井、测井资料,采用层序原形结构剖面恢复、增强地震相分析、砂体地震扫描解释等新方法,对白云凹陷文昌组构造演化及其控制下的沉积充填过程进行了详细研究. 研究表明,响应于控凹断层“弱‒极强‒较强‒弱”的活动过程,文昌组沉积期白云凹陷经历了初始断陷期(WCSQ1)、强断陷早期(WCSQ2)、强断陷晚期(WCSQ3)和弱断陷期(WCSQ4、WCSQ5)4个构造演化阶段. 相应地,白云主洼经历了河流‒湖泊、超深湖发生、超深湖充填、深湖‒浅湖发生等沉积演化过程. 其中旋转断块翘倾侧的北部缓坡带主要为河流‒浅湖过渡环境,发育大‒中型辫状河三角洲沉积体系;断块倾没侧的南部陡坡带主要为半深湖‒深湖环境,发育近岸水下扇‒扇三角洲沉积体系;湖盆中心为深湖‒超深湖环境,以泥岩沉积为主,深湖区周缘发育湖底扇沉积;同时期白云东洼为陡坡+岩浆底侵形成的多隆洼地貌,以小型近岸水下扇‒扇三角洲沉积体系为主,局部发育火山碎屑沉积. 文昌组沉积砂体的孔隙性受白云凹陷控凹断裂和岩浆的活动强度、物源体系及次级洼陷古地理特征等因素共同控制.
2022, 47(7): 2454-2467.
doi: 10.3799/dqkx.2022.017
摘要:
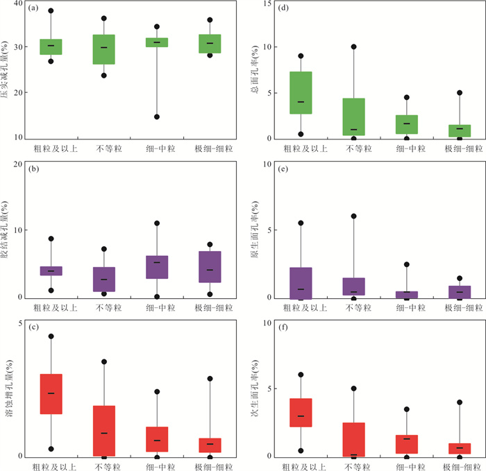
珠江口盆地白云凹陷珠海组和恩平组是该区深层油气勘探的主要层系,查明深层储层基本特征和有效储层控制因素对于白云凹陷深层油气勘探具有重要意义. 基于岩石学和矿物学、成岩作用、孔隙特征及沉积相分析,明确了白云凹陷深层储层基本特征. 白云凹陷深层以低孔低渗和致密储层为主;压实作用是造成深层储层变差的主要原因,碳酸盐胶结和石英次生加大是主要的自生矿物;孔隙类型以粒间溶孔和粒内溶孔为主;有效储层以低孔低渗及以上储层为主,孔隙度总体保持在10%左右,渗透率变化范围大. 中粗粒沉积相带、溶蚀作用和超压是深层有效储层的主要控制因素. 中粗粒砂岩具有较好的原生孔和次生孔发育条件,渗透率较高,胶结减孔作用弱,溶蚀增孔作用强;溶蚀作用是深层关键的建设性成岩作用,溶蚀孔隙是深层主要的孔隙类型;超压传导作用有利于酸性流体活动和溶蚀物质的迁移,对形成溶蚀孔隙具有积极意义;分流河道和水下分流河道砂体是中粗粒砂岩的主要载体,应作为深层油气勘探的优选对象.
珠江口盆地白云凹陷珠海组和恩平组是该区深层油气勘探的主要层系,查明深层储层基本特征和有效储层控制因素对于白云凹陷深层油气勘探具有重要意义. 基于岩石学和矿物学、成岩作用、孔隙特征及沉积相分析,明确了白云凹陷深层储层基本特征. 白云凹陷深层以低孔低渗和致密储层为主;压实作用是造成深层储层变差的主要原因,碳酸盐胶结和石英次生加大是主要的自生矿物;孔隙类型以粒间溶孔和粒内溶孔为主;有效储层以低孔低渗及以上储层为主,孔隙度总体保持在10%左右,渗透率变化范围大. 中粗粒沉积相带、溶蚀作用和超压是深层有效储层的主要控制因素. 中粗粒砂岩具有较好的原生孔和次生孔发育条件,渗透率较高,胶结减孔作用弱,溶蚀增孔作用强;溶蚀作用是深层关键的建设性成岩作用,溶蚀孔隙是深层主要的孔隙类型;超压传导作用有利于酸性流体活动和溶蚀物质的迁移,对形成溶蚀孔隙具有积极意义;分流河道和水下分流河道砂体是中粗粒砂岩的主要载体,应作为深层油气勘探的优选对象.
2022, 47(7): 2468-2480.
doi: 10.3799/dqkx.2022.239
摘要:
地温梯度如何影响砂岩成岩演化和储层物性变化是地学界的热点问题. 以具有高变地温梯度特征的白云深水区为例,通过分析大量不同地温梯度地区的样品,以地温梯度0.1~0.2 ℃/100 m为递进间隔,对比分析了不同地温梯度区间内不同粒度砂岩储层渗透率随埋藏深度变化的趋势,建立了砂岩渗透率的定量地质预测模型,展示了砂岩渗透率与地温梯度之间的内在联系. 结果表明,一定埋深范围内,随地温梯度升高,渗透率每下降一个数量级,砂岩埋深下限差异呈台阶式减少;相同地温梯度区间内,高成分成熟度、低塑性岩屑含量的含砾砂岩、粗粒砂岩、中粒砂岩和细粒砂岩的渗透率下降程度不同,相邻粒径砂岩等效渗透率埋深下限差异相近,随地温梯度增加,相邻粒径砂岩等效渗透率下限埋深差异呈规律性减小;低渗与特低渗砂岩储层的地层深度段随地温梯度升高而明显变小,粗粒砂岩特低渗储层的埋深下限可作为白云深水区常规油气勘探的极限深度. 研究成果对于揭示地温梯度对砂岩成岩演化作用的影响及物性演变效应具有重要的意义,对油气勘探有积极的指导作用.
地温梯度如何影响砂岩成岩演化和储层物性变化是地学界的热点问题. 以具有高变地温梯度特征的白云深水区为例,通过分析大量不同地温梯度地区的样品,以地温梯度0.1~0.2 ℃/100 m为递进间隔,对比分析了不同地温梯度区间内不同粒度砂岩储层渗透率随埋藏深度变化的趋势,建立了砂岩渗透率的定量地质预测模型,展示了砂岩渗透率与地温梯度之间的内在联系. 结果表明,一定埋深范围内,随地温梯度升高,渗透率每下降一个数量级,砂岩埋深下限差异呈台阶式减少;相同地温梯度区间内,高成分成熟度、低塑性岩屑含量的含砾砂岩、粗粒砂岩、中粒砂岩和细粒砂岩的渗透率下降程度不同,相邻粒径砂岩等效渗透率埋深下限差异相近,随地温梯度增加,相邻粒径砂岩等效渗透率下限埋深差异呈规律性减小;低渗与特低渗砂岩储层的地层深度段随地温梯度升高而明显变小,粗粒砂岩特低渗储层的埋深下限可作为白云深水区常规油气勘探的极限深度. 研究成果对于揭示地温梯度对砂岩成岩演化作用的影响及物性演变效应具有重要的意义,对油气勘探有积极的指导作用.
2022, 47(7): 2481-2493.
doi: 10.3799/dqkx.2022.254
摘要:
珠江口盆地陆丰凹陷古近系油气成藏受多种动力多种要素联合控制,因此不能完全依照经典的浮力成藏理论预测有利成藏区带. 通过剖析研究区已经发现的油气藏揭示出三种动力对油气成藏起到了关键作用,包括低位能(背斜类油气藏)、低压能(断块类油气藏)、低界面能(岩性地层类油气藏);在每一种动力作用下,油气成藏受到有效烃源层、优相储层、区域盖层、低势区带4个功能要素及其时空组合的控制. 通过建立多动力‒多要素复合成藏模式,对陆丰凹陷古近系4个目的层有利成藏区带进行了预测评价,优选出10个最有利目标,为研究区油气深化勘探和钻探目标优选提供了科学依据.
珠江口盆地陆丰凹陷古近系油气成藏受多种动力多种要素联合控制,因此不能完全依照经典的浮力成藏理论预测有利成藏区带. 通过剖析研究区已经发现的油气藏揭示出三种动力对油气成藏起到了关键作用,包括低位能(背斜类油气藏)、低压能(断块类油气藏)、低界面能(岩性地层类油气藏);在每一种动力作用下,油气成藏受到有效烃源层、优相储层、区域盖层、低势区带4个功能要素及其时空组合的控制. 通过建立多动力‒多要素复合成藏模式,对陆丰凹陷古近系4个目的层有利成藏区带进行了预测评价,优选出10个最有利目标,为研究区油气深化勘探和钻探目标优选提供了科学依据.
2022, 47(7): 2494-2508.
doi: 10.3799/dqkx.2022.253
摘要:
珠江口盆地陆丰凹陷古近系发育多种类型的油气资源,尤其形成了具有多样特征的复合类和改造类油气藏,利用经典“含油气系统”理论难以解释油气藏成因机制和分布规律. 基于全油气系统新概念阐述了它们的形成分布. 结果表明,在古近系储层致密演化过程中,文昌组和恩平组两套烃源岩提供了早期排出烃、晚期排出烃、源内滞留烃三种原始烃量,源岩内部和周边砂岩储集层因成岩‒压实差异发育了油气自由动力场、局限动力场和束缚动力场,全油气系统内三类原始烃量和3个动力场的耦合作用造成自下而上呈现出“页岩油气‒致密油气‒常规油气”的有序分布.这种规律性认识对于研究区不同类型油气资源分布预测和勘探具有重要的指导意义.
珠江口盆地陆丰凹陷古近系发育多种类型的油气资源,尤其形成了具有多样特征的复合类和改造类油气藏,利用经典“含油气系统”理论难以解释油气藏成因机制和分布规律. 基于全油气系统新概念阐述了它们的形成分布. 结果表明,在古近系储层致密演化过程中,文昌组和恩平组两套烃源岩提供了早期排出烃、晚期排出烃、源内滞留烃三种原始烃量,源岩内部和周边砂岩储集层因成岩‒压实差异发育了油气自由动力场、局限动力场和束缚动力场,全油气系统内三类原始烃量和3个动力场的耦合作用造成自下而上呈现出“页岩油气‒致密油气‒常规油气”的有序分布.这种规律性认识对于研究区不同类型油气资源分布预测和勘探具有重要的指导意义.
2022, 47(7): 2509-2520.
doi: 10.3799/dqkx.2022.154
摘要:
北部湾盆地乌石凹陷从古新世早期到渐新世末期经历了多幕次的伸展,在裂陷Ⅱ幕时期形成了一组近E-W向的伸展滑脱断裂系,但其形成机制及演化过程尚未明确. 基于油气勘探过程中获取的全新高精度三维地震资料,应用构造‒地层综合解释以及定量分析的技术方法,对乌石凹陷东洼伸展滑脱构造进行了深入的解析. 结果表明,乌石东洼新生代地层共发育7条近E-W或NE-SW向展布的伸展滑脱断层(Fa‒Fg),这些伸展滑脱断层与北倾的7号断层相向倾斜发育,共同控制了流沙港组一段到涠洲组一段的跷跷板式地层沉积和大型滚动背斜的形成. 从演化上来讲,在始新世早中期(T100-T83)盆地为由NE-SW向展布的7号断层和局部基底小规模正断层控制的地堑或半地堑盆地,早期局部沉积的流沙港组三段被晚期连续沉积的厚层流沙港组二段油页岩覆盖. 始新世晚期‒渐新世晚期(T83-T60),盆地沉积了由对倾发育的伸展滑脱断层和7号断层共同控制的流沙港组一段‒涠洲组一段,对倾断层的先后活动导致了沉降沉积中心的迁移,控制了复杂的“跷跷板式”滚动背斜及“包心菜”构造的发育. 新近纪以来(T60-海底),盆地的构造活动性减弱,转变为坳陷型盆地. 描述了乌石凹陷东洼裂陷Ⅱ幕时期形成的伸展滑脱构造的几何学特征,并解析了伸展滑脱构造的形成模式,提出了滑脱断裂发育有自下坡断层组向上坡断层组迁移的规律,对解决油气的运移、储存、保存等问题有重要的意义.
北部湾盆地乌石凹陷从古新世早期到渐新世末期经历了多幕次的伸展,在裂陷Ⅱ幕时期形成了一组近E-W向的伸展滑脱断裂系,但其形成机制及演化过程尚未明确. 基于油气勘探过程中获取的全新高精度三维地震资料,应用构造‒地层综合解释以及定量分析的技术方法,对乌石凹陷东洼伸展滑脱构造进行了深入的解析. 结果表明,乌石东洼新生代地层共发育7条近E-W或NE-SW向展布的伸展滑脱断层(Fa‒Fg),这些伸展滑脱断层与北倾的7号断层相向倾斜发育,共同控制了流沙港组一段到涠洲组一段的跷跷板式地层沉积和大型滚动背斜的形成. 从演化上来讲,在始新世早中期(T100-T83)盆地为由NE-SW向展布的7号断层和局部基底小规模正断层控制的地堑或半地堑盆地,早期局部沉积的流沙港组三段被晚期连续沉积的厚层流沙港组二段油页岩覆盖. 始新世晚期‒渐新世晚期(T83-T60),盆地沉积了由对倾发育的伸展滑脱断层和7号断层共同控制的流沙港组一段‒涠洲组一段,对倾断层的先后活动导致了沉降沉积中心的迁移,控制了复杂的“跷跷板式”滚动背斜及“包心菜”构造的发育. 新近纪以来(T60-海底),盆地的构造活动性减弱,转变为坳陷型盆地. 描述了乌石凹陷东洼裂陷Ⅱ幕时期形成的伸展滑脱构造的几何学特征,并解析了伸展滑脱构造的形成模式,提出了滑脱断裂发育有自下坡断层组向上坡断层组迁移的规律,对解决油气的运移、储存、保存等问题有重要的意义.
2022, 47(7): 2521-2535.
doi: 10.3799/dqkx.2022.106
摘要:
断陷湖盆具有多物源注入和地貌复杂的特征,开展从源到汇的分析有利于深化对有利砂体展布的认识. 以涠西南凹陷C洼及邻近凸起为例,基于测井和地震资料刻画了源‒汇系统的要素特征,区分出协调和非协调两类供源样式,明确了多物源汇聚下沉积体系的时空展布规律. 研究表明,涠西南凹陷C洼流三段接受北部、南部短轴体系和西部长轴体系的联合供源,南部体系可进一步划分为S-Ⅰ、S-Ⅱ、S-Ⅲ三个次级体系. 其中,长轴体系具有低缓的源区和宽缓的沟谷,表现为常年稳定和牵引流主导的协调型供源样式,在沉积区发育粒度和含砂率相关变化的辫状河体系;短轴体系具有相对高陡的源区、深切的沟谷,如S-Ⅱ单元,代表着脉冲式和重力流主导的非协调供源样式,在沉积区发育厚层泥岩夹薄层砾岩的盆底扇和扇三角洲体系. 在流三下亚段沉积时期,在南部短轴非协调体系的强烈供源下,长轴协调体系主体被推离C洼南部而分布在中北部;在流三上亚段沉积时期,湖平面上升后短轴源区面积减小使得非协调体系供源减弱,长轴协调体系则保持稳定的供源强度并向南部偏转以填充余出的可容空间. 通过对涠西南C洼及邻近凸起开展源‒汇系统分析,强调供源样式和沉积交互作用耦合控制了有利砂体的时空展布,对涠西南凹陷C洼及相似断陷湖盆的油气勘探具有一定指导意义.
断陷湖盆具有多物源注入和地貌复杂的特征,开展从源到汇的分析有利于深化对有利砂体展布的认识. 以涠西南凹陷C洼及邻近凸起为例,基于测井和地震资料刻画了源‒汇系统的要素特征,区分出协调和非协调两类供源样式,明确了多物源汇聚下沉积体系的时空展布规律. 研究表明,涠西南凹陷C洼流三段接受北部、南部短轴体系和西部长轴体系的联合供源,南部体系可进一步划分为S-Ⅰ、S-Ⅱ、S-Ⅲ三个次级体系. 其中,长轴体系具有低缓的源区和宽缓的沟谷,表现为常年稳定和牵引流主导的协调型供源样式,在沉积区发育粒度和含砂率相关变化的辫状河体系;短轴体系具有相对高陡的源区、深切的沟谷,如S-Ⅱ单元,代表着脉冲式和重力流主导的非协调供源样式,在沉积区发育厚层泥岩夹薄层砾岩的盆底扇和扇三角洲体系. 在流三下亚段沉积时期,在南部短轴非协调体系的强烈供源下,长轴协调体系主体被推离C洼南部而分布在中北部;在流三上亚段沉积时期,湖平面上升后短轴源区面积减小使得非协调体系供源减弱,长轴协调体系则保持稳定的供源强度并向南部偏转以填充余出的可容空间. 通过对涠西南C洼及邻近凸起开展源‒汇系统分析,强调供源样式和沉积交互作用耦合控制了有利砂体的时空展布,对涠西南凹陷C洼及相似断陷湖盆的油气勘探具有一定指导意义.
2022, 47(7): 2536-2548.
doi: 10.3799/dqkx.2021.246
摘要:
为了明确南沙海槽的构造‒地层格架和成因机制,以区域二维地震剖面的解释为基础,进行断层活动性和沉降史的定量计算,在南沙海槽盆地中确定出Tg、T60、T50和T0四个一级层序界面,以这4个一级层序界面为界,将南沙海槽盆地划分出3个盆地原型:古新世‒渐新世(Tg‒T60)断陷盆地、早中新世(T60‒T50)拗陷盆地和中中新世(T50‒T0)前陆盆地;新生代以来,南沙海槽盆地的沉降中心由NW向SE逐渐迁移. 区域资料对比分析表明南沙海槽前陆盆地是由多期前陆盆地叠置而成,以沙捞越造山不整合、区域深部不整合和区域浅部不整合这3个不整合面为界,划分出渐新世‒早中新世、中中新世‒上新世早期和上新世晚期‒现今3期前陆盆地;南沙海槽属于第三期前陆盆地的组成单元,目前仍处于发育演化过程中.
为了明确南沙海槽的构造‒地层格架和成因机制,以区域二维地震剖面的解释为基础,进行断层活动性和沉降史的定量计算,在南沙海槽盆地中确定出Tg、T60、T50和T0四个一级层序界面,以这4个一级层序界面为界,将南沙海槽盆地划分出3个盆地原型:古新世‒渐新世(Tg‒T60)断陷盆地、早中新世(T60‒T50)拗陷盆地和中中新世(T50‒T0)前陆盆地;新生代以来,南沙海槽盆地的沉降中心由NW向SE逐渐迁移. 区域资料对比分析表明南沙海槽前陆盆地是由多期前陆盆地叠置而成,以沙捞越造山不整合、区域深部不整合和区域浅部不整合这3个不整合面为界,划分出渐新世‒早中新世、中中新世‒上新世早期和上新世晚期‒现今3期前陆盆地;南沙海槽属于第三期前陆盆地的组成单元,目前仍处于发育演化过程中.
2022, 47(7): 2549-2561.
doi: 10.3799/dqkx.2022.073
摘要:
在南海扩张过程中微板块断裂、碰撞、拼接的构造背景下,南海南部中新世以来发育碳酸盐岩台地及生物礁,经过后期成岩改造形成了大量碳酸盐岩储层并蕴藏着丰富的油气资源.为了了解该海域碳酸盐岩储层的发育特征和成因机制,以北康盆地高精度二维地震资料为基础并结合邻区岩心、薄片资料,对该区域碳酸盐岩储层发育的类型、储集空间、成岩作用以及控制因素开展了系统研究.结果表明,南海南部碳酸盐岩储层类型多且储集空间丰富,主要有两类,分别为礁滩储层和不整合面岩溶储层;发育多种孔隙类型,包括原生孔隙和次生孔隙,以次生孔隙为主,包括铸模孔、粒内溶孔、粒间溶孔和晶内溶孔等. 该区域碳酸盐岩储集空间主要受白垩化作用、溶蚀作用和白云岩化的建设性改造,并且主要受构造、沉积、古气候和流体活动因素的控制.北康盆地碳酸盐岩可以作为良好的储层,并具有良好的油气成藏条件,能形成“下生上储”的碳酸盐岩油气藏.
在南海扩张过程中微板块断裂、碰撞、拼接的构造背景下,南海南部中新世以来发育碳酸盐岩台地及生物礁,经过后期成岩改造形成了大量碳酸盐岩储层并蕴藏着丰富的油气资源.为了了解该海域碳酸盐岩储层的发育特征和成因机制,以北康盆地高精度二维地震资料为基础并结合邻区岩心、薄片资料,对该区域碳酸盐岩储层发育的类型、储集空间、成岩作用以及控制因素开展了系统研究.结果表明,南海南部碳酸盐岩储层类型多且储集空间丰富,主要有两类,分别为礁滩储层和不整合面岩溶储层;发育多种孔隙类型,包括原生孔隙和次生孔隙,以次生孔隙为主,包括铸模孔、粒内溶孔、粒间溶孔和晶内溶孔等. 该区域碳酸盐岩储集空间主要受白垩化作用、溶蚀作用和白云岩化的建设性改造,并且主要受构造、沉积、古气候和流体活动因素的控制.北康盆地碳酸盐岩可以作为良好的储层,并具有良好的油气成藏条件,能形成“下生上储”的碳酸盐岩油气藏.
2022, 47(7): 2562-2572.
doi: 10.3799/dqkx.2022.244
摘要:
东海陆架盆地新生代发育大型弧后盆地,接受了海相及陆相沉积,油气资源丰富,勘探前景广阔. 其中,丽水凹陷发育了古新统‒始新统扇三角洲、河流三角洲及滨浅海相沉积,其沉积环境及沉积物源研究一直存在争议. 通过古生物学和碎屑锆石U-Pb年龄谱系综合分析,对丽水凹陷古新统‒始新统沉积环境及潜在源区进行系统的源汇对比研究. 结果表明,丽水凹陷古新统及下中始新统以滨浅海相为特征,凹陷东侧海水较深,沉积物主要来自周边燕山期岩浆岩古隆起. 然而,凹陷东、西次凹在沉积物源上存在明显差异,西次凹沉积物锆石U-Pb年龄谱系仅发育燕山期单峰,东次凹还存在明显的印支期物源;特别是进入始新世,东次凹温州组物源发生明显改变,出现大量古老锆石,沉积物来自北部渔山低隆起,显示该时期在凹陷北侧发育较大规模的三角洲沉积. 晚始新世,由于玉泉运动,丽水凹陷发生隆升剥蚀,直到中新世再次接受沉积. 丽水凹陷古新统‒始新统以海陆过渡环境为主,有利于烃源岩及储集体的发育,具有良好的油气勘探潜力.
东海陆架盆地新生代发育大型弧后盆地,接受了海相及陆相沉积,油气资源丰富,勘探前景广阔. 其中,丽水凹陷发育了古新统‒始新统扇三角洲、河流三角洲及滨浅海相沉积,其沉积环境及沉积物源研究一直存在争议. 通过古生物学和碎屑锆石U-Pb年龄谱系综合分析,对丽水凹陷古新统‒始新统沉积环境及潜在源区进行系统的源汇对比研究. 结果表明,丽水凹陷古新统及下中始新统以滨浅海相为特征,凹陷东侧海水较深,沉积物主要来自周边燕山期岩浆岩古隆起. 然而,凹陷东、西次凹在沉积物源上存在明显差异,西次凹沉积物锆石U-Pb年龄谱系仅发育燕山期单峰,东次凹还存在明显的印支期物源;特别是进入始新世,东次凹温州组物源发生明显改变,出现大量古老锆石,沉积物来自北部渔山低隆起,显示该时期在凹陷北侧发育较大规模的三角洲沉积. 晚始新世,由于玉泉运动,丽水凹陷发生隆升剥蚀,直到中新世再次接受沉积. 丽水凹陷古新统‒始新统以海陆过渡环境为主,有利于烃源岩及储集体的发育,具有良好的油气勘探潜力.
2022, 47(7): 2573-2585.
doi: 10.3799/dqkx.2021.240
摘要:
东喜马拉雅构造结快速隆升时间以及雅鲁藏布江和伊洛瓦底江是否曾经相连已经争论了超过半个世纪. 采用锆石U-Pb年代学等方法,对缅甸中央盆地新生代地层的“源‒汇”路径开展研究. 缅甸中央盆地始新统发育大量铬尖晶石、各坳陷的锆石年龄谱各不相同,表明该时期沉积物以盆地周边隆起为主要物源,不存在统一的源区;渐新世之后,源自区域变质岩的重矿物组合比例逐渐增加,盆地各坳陷碎屑锆石年龄谱特征趋于一致,均以40~ 70 Ma的主峰以及80~110 Ma次峰为特征,表明沉积物源区进入抹谷变质带,伊洛瓦底江雏形已经形成;由于缅甸中央盆地渐新统至下中新统完全没有喜马拉雅造山带信息,认为该时期雅鲁藏布江‒伊洛瓦底江并未相连. 晚中新世‒更新世,喜马拉雅造山带特征组合十字石和蓝晶石以及110~130 Ma年龄峰的出现,表明伊洛瓦底江已经侵蚀到东喜马拉雅构造结,达到现今流域规模. 因此,东喜马拉雅构造结快速隆升的时间大约在晚中新世.
东喜马拉雅构造结快速隆升时间以及雅鲁藏布江和伊洛瓦底江是否曾经相连已经争论了超过半个世纪. 采用锆石U-Pb年代学等方法,对缅甸中央盆地新生代地层的“源‒汇”路径开展研究. 缅甸中央盆地始新统发育大量铬尖晶石、各坳陷的锆石年龄谱各不相同,表明该时期沉积物以盆地周边隆起为主要物源,不存在统一的源区;渐新世之后,源自区域变质岩的重矿物组合比例逐渐增加,盆地各坳陷碎屑锆石年龄谱特征趋于一致,均以40~ 70 Ma的主峰以及80~110 Ma次峰为特征,表明沉积物源区进入抹谷变质带,伊洛瓦底江雏形已经形成;由于缅甸中央盆地渐新统至下中新统完全没有喜马拉雅造山带信息,认为该时期雅鲁藏布江‒伊洛瓦底江并未相连. 晚中新世‒更新世,喜马拉雅造山带特征组合十字石和蓝晶石以及110~130 Ma年龄峰的出现,表明伊洛瓦底江已经侵蚀到东喜马拉雅构造结,达到现今流域规模. 因此,东喜马拉雅构造结快速隆升的时间大约在晚中新世.
2022, 47(7): 2586-2601.
doi: 10.3799/dqkx.2021.093
摘要:
为了进一步解释南海不同区域内多金属结核(壳)的地球化学特征与成因,对东部次海盆黄岩‒珍贝海山链上新获取的多金属结核(壳)样品进行了X光衍射、X荧光光谱测试、SEM-EDS分析和X Series2 ICP-MS测试,详细分析了样品的矿物组成、地球化学成分特征. 结果表明,矿物组成为水羟锰矿、石英、斜长石等;主要造岩元素中Si、Al含量较高,与陆缘碎屑物影响较大有关;富含Mn、Fe、Co、Ti、Ni、Pb、Sr等多种金属元素,相比南海其他区域,具有中等的Fe、Mn含量特征,地化元素特征与南海西北陆坡发现的铁锰结核(壳)相似;稀土元素具有总量高(平均2 070.01×10-6)的特点,高于南海北部其他样品,与西太平洋结壳稀土含量接近(接近工业品位),指示了重要的稀土资源前景. 结核Be同位素结果指示该区铁锰结核生长时代为1.17~8.51 Ma,形成于晚中新世大量火山喷发之后,因此水成作用是南海东部次海盆海山链结核(壳)的主要控制作用,而陆源物质的输入、火山作用和高压富氢离子海水的浸取作用都为结核(壳)的形成提供了有利的沉积环境.
为了进一步解释南海不同区域内多金属结核(壳)的地球化学特征与成因,对东部次海盆黄岩‒珍贝海山链上新获取的多金属结核(壳)样品进行了X光衍射、X荧光光谱测试、SEM-EDS分析和X Series2 ICP-MS测试,详细分析了样品的矿物组成、地球化学成分特征. 结果表明,矿物组成为水羟锰矿、石英、斜长石等;主要造岩元素中Si、Al含量较高,与陆缘碎屑物影响较大有关;富含Mn、Fe、Co、Ti、Ni、Pb、Sr等多种金属元素,相比南海其他区域,具有中等的Fe、Mn含量特征,地化元素特征与南海西北陆坡发现的铁锰结核(壳)相似;稀土元素具有总量高(平均2 070.01×10-6)的特点,高于南海北部其他样品,与西太平洋结壳稀土含量接近(接近工业品位),指示了重要的稀土资源前景. 结核Be同位素结果指示该区铁锰结核生长时代为1.17~8.51 Ma,形成于晚中新世大量火山喷发之后,因此水成作用是南海东部次海盆海山链结核(壳)的主要控制作用,而陆源物质的输入、火山作用和高压富氢离子海水的浸取作用都为结核(壳)的形成提供了有利的沉积环境.
2022, 47(7): 2602-2615.
doi: 10.3799/dqkx.2021.114
摘要:
解读末次冰消期全球水文气候演变过程对于理解气候系统对内外强迫的响应具有重要意义. 以冲绳海槽中部OKI02岩心为材料,通过浮游有孔虫Globigerinodes ruber和Pulleniatina obliquiloculata壳体Mg/Ca比值分别重建了19 ka BP以来海槽中部表层和温跃层海水温度(SST和TWT),结合浮游有孔虫群落组成变化重点恢复了末次冰消期(~18~11.7 ka BP)上层水体温度变化的特征和过程. 结果显示SST在LGM显著偏低,末次冰消期表现为显著的千年尺度变化,清楚地记录了HS1、B/A、YD等快速气候波动事件. 19 ka BP以来重建的TWT整体呈明显的上升趋势,但波动频繁而剧烈,末次冰消期相对较低,未显示显著的千年尺度变化. 对比北半球高纬和热带太平洋的记录发现,末次冰消期冲绳海槽中部SST开始上升的时间基本与前者相当,但明显滞后于热带西太平洋;冰消期其变化模式明显区别于热带西太平洋持续稳定的升温过程,而更类似于北半球高纬区的变化. 与SST明显不同,海槽区温跃层的升温(~18 ka BP)明显早于北半球高纬变暖,却接近于热带西太平洋海表温度开始上升的时间;且TWT的上升和波动方式也更接近于热带太平洋海温的变化模式. 对末次冰消期SST和TWT差异化演变的分析表明,AMOC对中低纬大气环流的影响可能通过东亚冬季风强度的变化控制了海槽区SST的演变,而热带太平洋ENSO过程则可能通过黑潮强度的变化决定了区域TWT的演化. 末次冰消期冲绳海槽中部SST和TWT演化存在明显的脱耦现象,显示了其与高、低纬海洋和气候变化之间的密切联系.
解读末次冰消期全球水文气候演变过程对于理解气候系统对内外强迫的响应具有重要意义. 以冲绳海槽中部OKI02岩心为材料,通过浮游有孔虫Globigerinodes ruber和Pulleniatina obliquiloculata壳体Mg/Ca比值分别重建了19 ka BP以来海槽中部表层和温跃层海水温度(SST和TWT),结合浮游有孔虫群落组成变化重点恢复了末次冰消期(~18~11.7 ka BP)上层水体温度变化的特征和过程. 结果显示SST在LGM显著偏低,末次冰消期表现为显著的千年尺度变化,清楚地记录了HS1、B/A、YD等快速气候波动事件. 19 ka BP以来重建的TWT整体呈明显的上升趋势,但波动频繁而剧烈,末次冰消期相对较低,未显示显著的千年尺度变化. 对比北半球高纬和热带太平洋的记录发现,末次冰消期冲绳海槽中部SST开始上升的时间基本与前者相当,但明显滞后于热带西太平洋;冰消期其变化模式明显区别于热带西太平洋持续稳定的升温过程,而更类似于北半球高纬区的变化. 与SST明显不同,海槽区温跃层的升温(~18 ka BP)明显早于北半球高纬变暖,却接近于热带西太平洋海表温度开始上升的时间;且TWT的上升和波动方式也更接近于热带太平洋海温的变化模式. 对末次冰消期SST和TWT差异化演变的分析表明,AMOC对中低纬大气环流的影响可能通过东亚冬季风强度的变化控制了海槽区SST的演变,而热带太平洋ENSO过程则可能通过黑潮强度的变化决定了区域TWT的演化. 末次冰消期冲绳海槽中部SST和TWT演化存在明显的脱耦现象,显示了其与高、低纬海洋和气候变化之间的密切联系.
2022, 47(7): 2616-2630.
doi: 10.3799/dqkx.2021.057
摘要:
大洋地幔内部存在广泛的不均一性,其成因可有多种模式,其中俯冲循环作用对地幔组成的变化具有重要影响. 为明确各循环组分对亏损地幔的改造作用及其在富集源区中的相对贡献,系统总结了不同循环组分(远洋沉积物、俯冲洋壳、陆壳)的平均微量元素特征,计算了各循环组分在俯冲过程中经历的化学变化. 基于改造后的循环组分,开展与亏损地幔源区的混合和熔融模拟. 结果表明,HIMU型玄武岩可以由纯俯冲洋壳(≤10%)与亏损地幔(≥90%)混合形成的源区,经较低程度熔融(0.5%~1.5%)形成;而EMI型玄武岩可以由俯冲洋壳(≤10%)、俯冲剥蚀的下陆壳物质(≤3%)、亏损地幔(≥90%)混合形成的源区,经较低程度熔融(1%~2%)形成;EMII型玄武岩可以由俯冲洋壳(≤10%)、GLOSS-II(全球俯冲沉积物)或上陆壳物质(≤0.8%)与亏损地幔(≥90%)混合形成的源区,经较低程度熔融(1%~1.5%)形成.
大洋地幔内部存在广泛的不均一性,其成因可有多种模式,其中俯冲循环作用对地幔组成的变化具有重要影响. 为明确各循环组分对亏损地幔的改造作用及其在富集源区中的相对贡献,系统总结了不同循环组分(远洋沉积物、俯冲洋壳、陆壳)的平均微量元素特征,计算了各循环组分在俯冲过程中经历的化学变化. 基于改造后的循环组分,开展与亏损地幔源区的混合和熔融模拟. 结果表明,HIMU型玄武岩可以由纯俯冲洋壳(≤10%)与亏损地幔(≥90%)混合形成的源区,经较低程度熔融(0.5%~1.5%)形成;而EMI型玄武岩可以由俯冲洋壳(≤10%)、俯冲剥蚀的下陆壳物质(≤3%)、亏损地幔(≥90%)混合形成的源区,经较低程度熔融(1%~2%)形成;EMII型玄武岩可以由俯冲洋壳(≤10%)、GLOSS-II(全球俯冲沉积物)或上陆壳物质(≤0.8%)与亏损地幔(≥90%)混合形成的源区,经较低程度熔融(1%~1.5%)形成.
2022, 47(7): 2631-2645.
doi: 10.3799/dqkx.2021.084
摘要:
建立埋藏火山的高精度地层格架对了解火山系统的演化、储层成因和资源潜力等具有重要意义.以新西兰Taranaki盆地中新世Kora火山为例,利用小波变换和井震联合对比等方法,开展火山地层高精度格架分析.在Kora火山识别出20个堆积单元,主要为火山碎屑堆积单元以及再搬运碎屑堆积单元,可合并为5个部分(相当于5个火山机构);整体上火山地层的建造与喷发中心的形成和迁移有关. 利用井和常规三维地震数据可以较为准确地识别出喷发间断不整合界面系统、可建立堆积单元尺度的高精度地层格架,利用常规三维地震数据只能识别出部分喷发间断不整合界面、只能建立火山机构尺度的地层格架. 相对年代的高精度地层格架是埋藏火山的更好选择.
建立埋藏火山的高精度地层格架对了解火山系统的演化、储层成因和资源潜力等具有重要意义.以新西兰Taranaki盆地中新世Kora火山为例,利用小波变换和井震联合对比等方法,开展火山地层高精度格架分析.在Kora火山识别出20个堆积单元,主要为火山碎屑堆积单元以及再搬运碎屑堆积单元,可合并为5个部分(相当于5个火山机构);整体上火山地层的建造与喷发中心的形成和迁移有关. 利用井和常规三维地震数据可以较为准确地识别出喷发间断不整合界面系统、可建立堆积单元尺度的高精度地层格架,利用常规三维地震数据只能识别出部分喷发间断不整合界面、只能建立火山机构尺度的地层格架. 相对年代的高精度地层格架是埋藏火山的更好选择.
2022, 47(7): 2646-2666.
doi: 10.3799/dqkx.2021.192
摘要:
红西断层作为红旗凹陷的边界断裂长期控制着凹陷的形成演化与油气成藏,目前对断层的识别刻画及生长模式的认识还存在诸多不足. 以地震剖面精细解释为基础,确定红旗凹陷几何学特征及边界条件,结合控制变量法进行多组构造物理模拟实验;将实验结果与红旗凹陷基底顶面构造图各项参数进行对比,最终确立红西断层先存构造的规模及断层的演化模式. 实验结果显示,红旗凹陷先存构造总体规模至少占整个边界断层现今长度的50%,即34 km以上. 红西断层的构造演化具有孤立断层(先存构造)分段发育→“软连接”→“硬连接”的生长模式,并且在断层转换部位发育典型的中继构造.
红西断层作为红旗凹陷的边界断裂长期控制着凹陷的形成演化与油气成藏,目前对断层的识别刻画及生长模式的认识还存在诸多不足. 以地震剖面精细解释为基础,确定红旗凹陷几何学特征及边界条件,结合控制变量法进行多组构造物理模拟实验;将实验结果与红旗凹陷基底顶面构造图各项参数进行对比,最终确立红西断层先存构造的规模及断层的演化模式. 实验结果显示,红旗凹陷先存构造总体规模至少占整个边界断层现今长度的50%,即34 km以上. 红西断层的构造演化具有孤立断层(先存构造)分段发育→“软连接”→“硬连接”的生长模式,并且在断层转换部位发育典型的中继构造.




登录
注册
高级检索
邮件订阅
RSS
摘要
HTML全文