2021年 46卷 第9期
显示方式:
2021, 46(9): 3049-3056.
doi: 10.3799/dqkx.2020.323
摘要:
为建立一个较严密、系统的常见变质岩石的岩相学分类,采用既反映岩石结构构造特征又蕴含岩石基本组成的变质岩组构组分作为岩石分类的一级分类指标,以岩石结构、构造和组构组分的成分依次作为二、三和四级指标,划分了归属于造山区域变质岩、接触热变质岩、断层动力变质岩、蚀变交代变质岩和混合岩这5个大类变质成因的基本岩石.如岩石的地质产状已知,可用对应于地质产状的成因类型变质岩替换组构组分,升级为一级分类指标,然后用同样程序进行划分.本分类方案中,造山区域变质岩与接触热变质岩因具有相同组构组分,因此,大部分基本岩石名称相同,但可借助其地质产状和一些特征变质矿物的特殊显微构造的有无将它们区分开来.本分类方案的分类效果优于国内外现有的岩相学分类方案.
为建立一个较严密、系统的常见变质岩石的岩相学分类,采用既反映岩石结构构造特征又蕴含岩石基本组成的变质岩组构组分作为岩石分类的一级分类指标,以岩石结构、构造和组构组分的成分依次作为二、三和四级指标,划分了归属于造山区域变质岩、接触热变质岩、断层动力变质岩、蚀变交代变质岩和混合岩这5个大类变质成因的基本岩石.如岩石的地质产状已知,可用对应于地质产状的成因类型变质岩替换组构组分,升级为一级分类指标,然后用同样程序进行划分.本分类方案中,造山区域变质岩与接触热变质岩因具有相同组构组分,因此,大部分基本岩石名称相同,但可借助其地质产状和一些特征变质矿物的特殊显微构造的有无将它们区分开来.本分类方案的分类效果优于国内外现有的岩相学分类方案.
2021, 46(9): 3057-3073.
doi: 10.3799/dqkx.2020.335
摘要:
为了解蒙古—鄂霍次克构造体系的远程作用及其在中国东北以南的影响范围,在内蒙古多伦火山盆地羊盘沟地区开展了流纹斑岩锆石U-Pb同位素年代学、岩石地球化学及区域对比研究.结果显示,其形成时代为144.2±0.6 Ma,属于早白垩世早期.主量元素SiO2含量为73.25%~76.72%,K2O含量为4.64%~7.87%,K2O/Na2O值在1.15~3.82之间,A/CNK值为0.79~0.99;副矿物为磁铁矿、锆石和磷灰石等,属准铝质高钾钙碱性—钾玄岩系列A2型流纹岩类;稀土元素总量高(320.76×10-6~415.70×10-6),富集轻稀土元素、大离子亲石元素K和Rb、高场强元素Zr和Hf以及元素U、Th等,亏损重稀土元素、大离子亲石元素Ba和Sr、高场强元素Nb和Ta以及元素P、Ti等,显著Eu负异常(δEu=0.08~0.15).表明流纹斑岩形成于后碰撞构造环境,是早白垩世蒙古—鄂霍次克洋闭合后某个伸展事件下的产物,因此,蒙古—鄂霍次克构造体系在中国的影响范围向东南至少延伸至蒙东南—冀北一带,且对应的蒙古—鄂霍次克洋东段的闭合完成时间应早于144.2 Ma.
为了解蒙古—鄂霍次克构造体系的远程作用及其在中国东北以南的影响范围,在内蒙古多伦火山盆地羊盘沟地区开展了流纹斑岩锆石U-Pb同位素年代学、岩石地球化学及区域对比研究.结果显示,其形成时代为144.2±0.6 Ma,属于早白垩世早期.主量元素SiO2含量为73.25%~76.72%,K2O含量为4.64%~7.87%,K2O/Na2O值在1.15~3.82之间,A/CNK值为0.79~0.99;副矿物为磁铁矿、锆石和磷灰石等,属准铝质高钾钙碱性—钾玄岩系列A2型流纹岩类;稀土元素总量高(320.76×10-6~415.70×10-6),富集轻稀土元素、大离子亲石元素K和Rb、高场强元素Zr和Hf以及元素U、Th等,亏损重稀土元素、大离子亲石元素Ba和Sr、高场强元素Nb和Ta以及元素P、Ti等,显著Eu负异常(δEu=0.08~0.15).表明流纹斑岩形成于后碰撞构造环境,是早白垩世蒙古—鄂霍次克洋闭合后某个伸展事件下的产物,因此,蒙古—鄂霍次克构造体系在中国的影响范围向东南至少延伸至蒙东南—冀北一带,且对应的蒙古—鄂霍次克洋东段的闭合完成时间应早于144.2 Ma.
2021, 46(9): 3074-3090.
doi: 10.3799/dqkx.2021.061
摘要:
蓬莱群是胶北地区最主要的晚前寒武纪沉积盖层,对研究华北克拉通东南缘晚前寒武纪演化有重要意义.为确认蓬莱群沉积时代与物源特征,本次研究选取栖霞地区蓬莱群辅子夼组中上部的长石石英岩为研究对象,对锆石CL图像、U-Pb年龄以及稀土元素组成开展研究,发现碎屑锆石主要为岩浆锆石,年龄峰值主要集中在1 100、1 200 Ma以及1 600 Ma,缺乏年龄大于1.8 Ga的锆石;其中,最年轻碎屑锆石年龄为1 094±39 Ma,结合前人资料,蓬莱群辅子夼组沉积时代被限定在新元古代初期;不同地区的蓬莱群在辅子夼组中部以上物源区是统一的,在辅子夼组下部沉积时期物源发生变化.在区域上,蓬莱群物源特点与朝鲜祥原超群、以及我国辽东细河群、鲁南土门群、徐淮地区淮南群、豫西地区栾川群等华北东缘、南缘新元古代沉积盆地物源相似,物源主要来自华北克拉通以外的古陆.结合古地磁、中—新元古代岩墙分布等资料,推测发育格林威尔期造山带的克拉通如Laurentia-Siberia-Baltica或Sao Fransico-Congo克拉通与华北克拉通南缘拼合,提供物源.
蓬莱群是胶北地区最主要的晚前寒武纪沉积盖层,对研究华北克拉通东南缘晚前寒武纪演化有重要意义.为确认蓬莱群沉积时代与物源特征,本次研究选取栖霞地区蓬莱群辅子夼组中上部的长石石英岩为研究对象,对锆石CL图像、U-Pb年龄以及稀土元素组成开展研究,发现碎屑锆石主要为岩浆锆石,年龄峰值主要集中在1 100、1 200 Ma以及1 600 Ma,缺乏年龄大于1.8 Ga的锆石;其中,最年轻碎屑锆石年龄为1 094±39 Ma,结合前人资料,蓬莱群辅子夼组沉积时代被限定在新元古代初期;不同地区的蓬莱群在辅子夼组中部以上物源区是统一的,在辅子夼组下部沉积时期物源发生变化.在区域上,蓬莱群物源特点与朝鲜祥原超群、以及我国辽东细河群、鲁南土门群、徐淮地区淮南群、豫西地区栾川群等华北东缘、南缘新元古代沉积盆地物源相似,物源主要来自华北克拉通以外的古陆.结合古地磁、中—新元古代岩墙分布等资料,推测发育格林威尔期造山带的克拉通如Laurentia-Siberia-Baltica或Sao Fransico-Congo克拉通与华北克拉通南缘拼合,提供物源.
2021, 46(9): 3091-3106.
doi: 10.3799/dqkx.2020.360
摘要:
矿物智能识别是地球科学与信息科学的重要交叉方向,显示出强大的生命力.本文在调研国内外研究动态的基础上,把矿物智能识别划分为4个阶段,即矿物采集、数据获取、模型构建、分类判别;根据测试方法和获得的数据类型,把矿物智能识别分为基于化学成分、显微光学图片、光谱分析的3条基本路线;总结了应用于矿物智能识别的机器学习方法和技术,包括统计学习、线性回归模型、距离度量模型、树结构模型、神经网络模型及其与样本问题相关的新技术.在此基础上,提出消除地质学与人工智能的鸿沟、建设可用于学习的高质量矿物数据集、完善适合矿物智能识别的机器学习方法、增进模型可解释性、加强工业推广的实践是该领域未来的重点发展方向.
矿物智能识别是地球科学与信息科学的重要交叉方向,显示出强大的生命力.本文在调研国内外研究动态的基础上,把矿物智能识别划分为4个阶段,即矿物采集、数据获取、模型构建、分类判别;根据测试方法和获得的数据类型,把矿物智能识别分为基于化学成分、显微光学图片、光谱分析的3条基本路线;总结了应用于矿物智能识别的机器学习方法和技术,包括统计学习、线性回归模型、距离度量模型、树结构模型、神经网络模型及其与样本问题相关的新技术.在此基础上,提出消除地质学与人工智能的鸿沟、建设可用于学习的高质量矿物数据集、完善适合矿物智能识别的机器学习方法、增进模型可解释性、加强工业推广的实践是该领域未来的重点发展方向.
2021, 46(9): 3107-3122.
doi: 10.3799/dqkx.2020.346
摘要:
对四川省兴文县上奥陶统宝塔组底部含鲕绿泥石灰岩开展成因研究,有助于了解扬子台地西南部同时期的沉积环境演化过程.通过沉积学分析,并辅助以电子探针和扫描电镜等矿物学研究方法,发现富鲕绿泥石鲕粒及球粒为同生期沉积物,共生的生物碎屑组合指示海水为氧化性水体.丰富的微生物相关组构表明同期微生物席发育,且其代谢活动可致使水岩界面附近形成还原性水体,这是同生鲕绿泥石形成的必要条件,鲕绿泥石形成所需的Fe、Al元素来自早期风化壳在海侵阶段的大规模输入.宝塔组底部富鲕绿泥石灰岩是同期全球海平面演化在扬子台地的具体表现,佐证了早桑比期的海平面下降,是晚桑比期扬子台地快速海侵的重要标志.
对四川省兴文县上奥陶统宝塔组底部含鲕绿泥石灰岩开展成因研究,有助于了解扬子台地西南部同时期的沉积环境演化过程.通过沉积学分析,并辅助以电子探针和扫描电镜等矿物学研究方法,发现富鲕绿泥石鲕粒及球粒为同生期沉积物,共生的生物碎屑组合指示海水为氧化性水体.丰富的微生物相关组构表明同期微生物席发育,且其代谢活动可致使水岩界面附近形成还原性水体,这是同生鲕绿泥石形成的必要条件,鲕绿泥石形成所需的Fe、Al元素来自早期风化壳在海侵阶段的大规模输入.宝塔组底部富鲕绿泥石灰岩是同期全球海平面演化在扬子台地的具体表现,佐证了早桑比期的海平面下降,是晚桑比期扬子台地快速海侵的重要标志.
2021, 46(9): 3123-3138.
doi: 10.3799/dqkx.2020.396
摘要:
海底块状硫化物(SMS)蕴藏有丰富的Cu、Cd、Au、Fe、Ag、Co等战略性金属,是未来可供人类开发利用的战略资源.本文搜集了全球3 946组SMS化学成分数据,根据构造环境可将其分成4类(快速、中速、慢速、超慢速扩张)洋中脊型和2类(弧后扩张中心和弧火山)岛弧型SMS矿床.利用多元统计方法分析了SMS战略性金属的分布特征和主控因素,探讨了其资源前景.结果表明:洋中脊型SMS矿床富集Cu+Fe+Co±Mo,而岛弧型普遍富集Zn+Pb+Cd+Sb+Ag±Au等关键元素.分析表明,成矿温度、成矿物质来源、酸碱度和氧化还原条件是战略性金属富集的主要影响因素,其中流体温度主要受水深条件控制,成矿物质来源主要受控于构造地质环境,酸碱度和氧化还原性主要受控于围岩类型.Cu+Au+Fe+Co在水深超过约2 650 m的慢速—超慢速扩张脊非转换不连续带和拆离断层带等区域具较好的勘查前景;而Cu+Au+Cd+Ag在水深约1 080~2 160 m的弧后扩张中心区域具较好的勘查前景.
海底块状硫化物(SMS)蕴藏有丰富的Cu、Cd、Au、Fe、Ag、Co等战略性金属,是未来可供人类开发利用的战略资源.本文搜集了全球3 946组SMS化学成分数据,根据构造环境可将其分成4类(快速、中速、慢速、超慢速扩张)洋中脊型和2类(弧后扩张中心和弧火山)岛弧型SMS矿床.利用多元统计方法分析了SMS战略性金属的分布特征和主控因素,探讨了其资源前景.结果表明:洋中脊型SMS矿床富集Cu+Fe+Co±Mo,而岛弧型普遍富集Zn+Pb+Cd+Sb+Ag±Au等关键元素.分析表明,成矿温度、成矿物质来源、酸碱度和氧化还原条件是战略性金属富集的主要影响因素,其中流体温度主要受水深条件控制,成矿物质来源主要受控于构造地质环境,酸碱度和氧化还原性主要受控于围岩类型.Cu+Au+Fe+Co在水深超过约2 650 m的慢速—超慢速扩张脊非转换不连续带和拆离断层带等区域具较好的勘查前景;而Cu+Au+Cd+Ag在水深约1 080~2 160 m的弧后扩张中心区域具较好的勘查前景.
2021, 46(9): 3139-3156.
doi: 10.3799/dqkx.2020.302
摘要:
川东建南地区须家河组储层非均质性极强,致密化程度极高,为了查明储层差异演化过程,剖析储层差异演化控制因素,运用岩石学和岩石地球化学的多种实验方法,在详细刻画储层岩石学特征的基础上,划分了储层成岩相类型,查明了不同类型砂岩的物性特征和孔隙结构特征,分析了储层的差异性演化过程.研究区砂岩可以划分为4种成岩相类型,即强压实相、溶蚀相、硅质胶结相和强钙质胶结相.溶蚀相砂岩物性最好,强压实相砂岩次之,硅质胶结相和钙质胶结相砂岩物性最差.碎屑组分的差异是造成储层非均质性强和差异性演化的重要原因.塑性岩屑含量的差异,导致早成岩时期压实减孔程度的不同;长石含量的差异,影响了砂岩中溶蚀强度和方解石胶结程度;石英含量的差异,控制了砂岩中硅质胶结作用的强弱;最终,使得储层演化有先有后,空间分布非均质.
川东建南地区须家河组储层非均质性极强,致密化程度极高,为了查明储层差异演化过程,剖析储层差异演化控制因素,运用岩石学和岩石地球化学的多种实验方法,在详细刻画储层岩石学特征的基础上,划分了储层成岩相类型,查明了不同类型砂岩的物性特征和孔隙结构特征,分析了储层的差异性演化过程.研究区砂岩可以划分为4种成岩相类型,即强压实相、溶蚀相、硅质胶结相和强钙质胶结相.溶蚀相砂岩物性最好,强压实相砂岩次之,硅质胶结相和钙质胶结相砂岩物性最差.碎屑组分的差异是造成储层非均质性强和差异性演化的重要原因.塑性岩屑含量的差异,导致早成岩时期压实减孔程度的不同;长石含量的差异,影响了砂岩中溶蚀强度和方解石胶结程度;石英含量的差异,控制了砂岩中硅质胶结作用的强弱;最终,使得储层演化有先有后,空间分布非均质.
2021, 46(9): 3157-3171.
doi: 10.3799/dqkx.2020.344
摘要:
作为川南志留系页岩气重点拓展区,宁西地区经历多次断裂活动,龙一段普遍发育方解石脉体,同时由于热演化程度极高,出现石墨化现象,致使页岩气富集规律不明.本次研究以区内重点探井——宁西202井的龙一段为研究对象,通过系统岩心描述、薄片镜下观察、阴极发光、激光拉曼光谱和显微测温等实验分析,进行了古温压恢复研究.研究表明:龙一段主体分布高角度方解石脉体(A类),局部发育顺层脉体(B类).A类脉体中主要发育高密度甲烷包裹体、部分样品出现特殊的沥青包裹体.沥青包裹体中沥青的拉曼Ro(RmcRo)为3.52%~4.16%,处于过成熟至石墨化阶段.甲烷拉曼散射峰介于2 910.711 2~2 912.495 1 cm—1,均一温度介于-99.8~-96.3℃.通过拉曼参数位移法和显微测温法分析得出的密度值分别介于0.253 6~0.344 5 g/cm3和0.291 6~0.303 2 g/cm3,呈典型的高密度特征.综上,高密度甲烷包裹体可能捕获于燕山构造运动抬升初期,处于超压状态,指示页岩系统封闭性较好,有利于页岩气的富集.
作为川南志留系页岩气重点拓展区,宁西地区经历多次断裂活动,龙一段普遍发育方解石脉体,同时由于热演化程度极高,出现石墨化现象,致使页岩气富集规律不明.本次研究以区内重点探井——宁西202井的龙一段为研究对象,通过系统岩心描述、薄片镜下观察、阴极发光、激光拉曼光谱和显微测温等实验分析,进行了古温压恢复研究.研究表明:龙一段主体分布高角度方解石脉体(A类),局部发育顺层脉体(B类).A类脉体中主要发育高密度甲烷包裹体、部分样品出现特殊的沥青包裹体.沥青包裹体中沥青的拉曼Ro(RmcRo)为3.52%~4.16%,处于过成熟至石墨化阶段.甲烷拉曼散射峰介于2 910.711 2~2 912.495 1 cm—1,均一温度介于-99.8~-96.3℃.通过拉曼参数位移法和显微测温法分析得出的密度值分别介于0.253 6~0.344 5 g/cm3和0.291 6~0.303 2 g/cm3,呈典型的高密度特征.综上,高密度甲烷包裹体可能捕获于燕山构造运动抬升初期,处于超压状态,指示页岩系统封闭性较好,有利于页岩气的富集.
2021, 46(9): 3172-3188.
doi: 10.3799/dqkx.2020.354
摘要:
为探讨黔中隆起北缘五峰—龙马溪组富有机质页岩的沉积环境和物源区背景,对区内两口井的样品进行了有机碳含量、微量元素和稀土元素地球化学测试和分析.结果表明,研究区五峰—龙马溪组页岩在沉积时以贫氧—厌氧环境为主,富氧环境也偶尔存在,且龙马溪组沉积水体还原程度比五峰组高.LaN/YbN值的变化反映沉积速率为:龙马溪组下部 < 五峰组 < 观音桥段,表明五峰—龙马溪组页岩沉积时存在沉积速率先变快后变缓的过程.Mo/TOC值显示五峰组页岩沉积时盆地滞留程度较强,进入志留纪相对减弱,盆地滞留程度对有机质富集的正向影响可能不大,海平面升降造成的氧化还原条件以及生产力条件的变化或许控制了有机质的富集.微量和稀土元素组合及比值特征,反映研究区五峰—龙马溪组沉积时的原始物质来自上地壳,五峰组沉积时存在混合物源,而龙马溪组沉积时物源相对单一,总体上源岩以长英质(花岗岩)为主.源区构造背景以主动大陆边缘为主,受到一定热液活动的影响,同时也表现出一定的大陆岛弧构造背景的特征.
为探讨黔中隆起北缘五峰—龙马溪组富有机质页岩的沉积环境和物源区背景,对区内两口井的样品进行了有机碳含量、微量元素和稀土元素地球化学测试和分析.结果表明,研究区五峰—龙马溪组页岩在沉积时以贫氧—厌氧环境为主,富氧环境也偶尔存在,且龙马溪组沉积水体还原程度比五峰组高.LaN/YbN值的变化反映沉积速率为:龙马溪组下部 < 五峰组 < 观音桥段,表明五峰—龙马溪组页岩沉积时存在沉积速率先变快后变缓的过程.Mo/TOC值显示五峰组页岩沉积时盆地滞留程度较强,进入志留纪相对减弱,盆地滞留程度对有机质富集的正向影响可能不大,海平面升降造成的氧化还原条件以及生产力条件的变化或许控制了有机质的富集.微量和稀土元素组合及比值特征,反映研究区五峰—龙马溪组沉积时的原始物质来自上地壳,五峰组沉积时存在混合物源,而龙马溪组沉积时物源相对单一,总体上源岩以长英质(花岗岩)为主.源区构造背景以主动大陆边缘为主,受到一定热液活动的影响,同时也表现出一定的大陆岛弧构造背景的特征.
2021, 46(9): 3189-3202.
doi: 10.3799/dqkx.2020.331
摘要:
渤中29-6油田位于黄河口凹陷北部陡坡带,具有双洼供烃的有利位置,已发现原油整体表现为稠油特征,生标特征复杂多样,其油气来源及稠油成因机理尚不明确.在前人研究基础之上,基于原油分析化验数据,利用地球化学分析方法,系统梳理了渤中29-6油田稠油来源,阐明了该原油稠化机理,并建立了原油的稠化模式及成藏模式,结果表明:(1)渤中29-6油田表现为双洼混合供烃的特征,其中高硫油主要来源于黄河口东洼,而低硫油主要来源于黄河口中洼;(2)渤中29-6油田整体表现为浅层稠油,其原油物性受二次充注作用、断层活动性、母源条件这3个因素的联合控制,其中断层活动性控制整体原油稠化级别,二次充注作用和母源条件分别可以改善和加剧原油稠化作用,并形成了低熟—弱断弱充注、成熟—强断弱充注、成熟—强断强充注、低熟—强断强充注这4种原油稠化模式;(3)渤中29-6油田具有双洼供烃成藏模式,且因距离洼陷远近而不同,近源形成单洼供烃—断裂垂向输导—强/弱充注—强降解—源上稠油成藏模式,远源形成双洼供烃—砂体或不整合侧向输导—弱充注—强/弱降解稠油成藏模式;(4)渤中29-6油田围区可划分为4个区带:I区原油物性最好,II区和IV区稠化最严重,物性最差,III区原油物性居中.由于二次充注作用可以明显改善原油物性,中—轻原油勘探和开发应优选I区和III区.
渤中29-6油田位于黄河口凹陷北部陡坡带,具有双洼供烃的有利位置,已发现原油整体表现为稠油特征,生标特征复杂多样,其油气来源及稠油成因机理尚不明确.在前人研究基础之上,基于原油分析化验数据,利用地球化学分析方法,系统梳理了渤中29-6油田稠油来源,阐明了该原油稠化机理,并建立了原油的稠化模式及成藏模式,结果表明:(1)渤中29-6油田表现为双洼混合供烃的特征,其中高硫油主要来源于黄河口东洼,而低硫油主要来源于黄河口中洼;(2)渤中29-6油田整体表现为浅层稠油,其原油物性受二次充注作用、断层活动性、母源条件这3个因素的联合控制,其中断层活动性控制整体原油稠化级别,二次充注作用和母源条件分别可以改善和加剧原油稠化作用,并形成了低熟—弱断弱充注、成熟—强断弱充注、成熟—强断强充注、低熟—强断强充注这4种原油稠化模式;(3)渤中29-6油田具有双洼供烃成藏模式,且因距离洼陷远近而不同,近源形成单洼供烃—断裂垂向输导—强/弱充注—强降解—源上稠油成藏模式,远源形成双洼供烃—砂体或不整合侧向输导—弱充注—强/弱降解稠油成藏模式;(4)渤中29-6油田围区可划分为4个区带:I区原油物性最好,II区和IV区稠化最严重,物性最差,III区原油物性居中.由于二次充注作用可以明显改善原油物性,中—轻原油勘探和开发应优选I区和III区.
2021, 46(9): 3203-3216.
doi: 10.3799/dqkx.2020.352
摘要:
塔河油田中下奥陶统碳酸盐岩储层在构造活动的作用下发育多期方解石脉体,为研究储层流体演化和油气成藏过程提供了重要素材.通过岩心观察、薄片鉴定、阴极发光和微区元素分析在塔河油田中下奥陶统碳酸盐岩储层中识别出3期裂缝方解石脉体,3期脉体在阴极发光颜色、稀土元素、碳氧锶同位素以及形成时间方面都存在差异.采用激光原位方解石U-Pb定年技术确定3期方解石脉形成的绝对年龄分别为466±11 Ma~458.6±8.8 Ma、329.7±1.6 Ma~308.1±4.1 Ma和249.3±2.6 Ma~220.5±7.3 Ma.第2期和第3期方解石成脉流体主要来源于深部地层成岩流体,并伴有成烃流体的影响.第3期方解石脉的成脉流体可能还有壳源锶的输入,导致其87Sr/86Sr比值高于第2期方解石脉.方解石脉体的绝对年龄可以用于约束多旋回叠合盆地断裂活动和油气成藏时间.在塔河油田中下奥陶统碳酸盐岩储层中识别的3期方解石脉体形成时间分别对应于加里东中期Ⅰ幕、海西中期Ⅰ~Ⅱ幕和海西晚—印支期构造运动造成的断裂活动时间.方解石脉体与烃类流体包裹体的共生关系指示中下奥陶统储层在海西中期Ⅱ幕发生过一期原油充注,在印支期之后又存在两期原油充注.
塔河油田中下奥陶统碳酸盐岩储层在构造活动的作用下发育多期方解石脉体,为研究储层流体演化和油气成藏过程提供了重要素材.通过岩心观察、薄片鉴定、阴极发光和微区元素分析在塔河油田中下奥陶统碳酸盐岩储层中识别出3期裂缝方解石脉体,3期脉体在阴极发光颜色、稀土元素、碳氧锶同位素以及形成时间方面都存在差异.采用激光原位方解石U-Pb定年技术确定3期方解石脉形成的绝对年龄分别为466±11 Ma~458.6±8.8 Ma、329.7±1.6 Ma~308.1±4.1 Ma和249.3±2.6 Ma~220.5±7.3 Ma.第2期和第3期方解石成脉流体主要来源于深部地层成岩流体,并伴有成烃流体的影响.第3期方解石脉的成脉流体可能还有壳源锶的输入,导致其87Sr/86Sr比值高于第2期方解石脉.方解石脉体的绝对年龄可以用于约束多旋回叠合盆地断裂活动和油气成藏时间.在塔河油田中下奥陶统碳酸盐岩储层中识别的3期方解石脉体形成时间分别对应于加里东中期Ⅰ幕、海西中期Ⅰ~Ⅱ幕和海西晚—印支期构造运动造成的断裂活动时间.方解石脉体与烃类流体包裹体的共生关系指示中下奥陶统储层在海西中期Ⅱ幕发生过一期原油充注,在印支期之后又存在两期原油充注.
2021, 46(9): 3217-3229.
doi: 10.3799/dqkx.2020.359
摘要:
桑托斯盆地盐下油气田中发现了大量CO2,给油气勘探开发和生产都带来诸多困难和挑战.利用地层测试、样品分析及文献资料等,明确了CO2成因及来源,统计分析了其区域分布特征,并基于区域重磁和深源地震等资料,剖析了控制CO2分布的地质因素.盆内CO2主要为幔源—岩浆成因,且幔源CO2贡献了至少92%的CO2总量.区域上,CO2自陆向海呈增加趋势,并相对集中在盆地东部隆起带上.地壳减薄和地幔局部隆升是控制CO2宏观分布最重要的背景因素.极端的地壳伸展造成了圣保罗地台下部陆壳强烈拉伸减薄,形成了一个面积约5.1×104 km2的地壳减薄区,造成了富含CO2的地幔物质上拱进入陆壳,宏观上决定了盆内CO2区域分布.此区域之外,出现高含量CO2的可能性大幅降低.岩浆侵入和活动断层都是沟通隆升地幔和浅部储层的重要路径,但以断裂沟通最常见.NW-SE向区域走滑断裂和NE-SW向I-II级正断层对CO2在浅部地层中的分配起控制作用,两组断裂交汇部位或周缘是幔源岩浆或CO2最集中发育区.
桑托斯盆地盐下油气田中发现了大量CO2,给油气勘探开发和生产都带来诸多困难和挑战.利用地层测试、样品分析及文献资料等,明确了CO2成因及来源,统计分析了其区域分布特征,并基于区域重磁和深源地震等资料,剖析了控制CO2分布的地质因素.盆内CO2主要为幔源—岩浆成因,且幔源CO2贡献了至少92%的CO2总量.区域上,CO2自陆向海呈增加趋势,并相对集中在盆地东部隆起带上.地壳减薄和地幔局部隆升是控制CO2宏观分布最重要的背景因素.极端的地壳伸展造成了圣保罗地台下部陆壳强烈拉伸减薄,形成了一个面积约5.1×104 km2的地壳减薄区,造成了富含CO2的地幔物质上拱进入陆壳,宏观上决定了盆内CO2区域分布.此区域之外,出现高含量CO2的可能性大幅降低.岩浆侵入和活动断层都是沟通隆升地幔和浅部储层的重要路径,但以断裂沟通最常见.NW-SE向区域走滑断裂和NE-SW向I-II级正断层对CO2在浅部地层中的分配起控制作用,两组断裂交汇部位或周缘是幔源岩浆或CO2最集中发育区.
2021, 46(9): 3230-3244.
doi: 10.3799/dqkx.2020.334
摘要:
胶东半岛北部海滨和山东中部山区北麓沉积了典型的风尘黄土,详细记录了晚更新世以来的气候变化,然而有关这些黄土究竟来自哪里,目前仍处于争议之中.锆石是黄土中常见的副矿物,其U-Pb年龄谱对比被广泛用于黄土的物源示踪研究.基于此,利用激光剥蚀电感耦合等离子质谱仪(LA-ICP-MS)对上述地区晚更新世典型的黄土剖面开展碎屑锆石(n=420)微区原位U-Pb年龄分析,结合Kolmogorov-Smirnov统计方法的多维判别图和前人已经发表的研究结果,发现胶东半岛北部海岸和山东中部山地北麓东段的晚更新世黄土主要来自渤海裸露的大陆架和华北平原的碎屑物质,受中国西北内陆干旱区的影响较小,但由于地理位置的差异,山东中部山地北麓西段的晚更新世黄土具有黄河下游和黄土高原的物质信号,而与晚更新世渤海末次冰期裸露在海底的沉积物的物源关系较弱.
胶东半岛北部海滨和山东中部山区北麓沉积了典型的风尘黄土,详细记录了晚更新世以来的气候变化,然而有关这些黄土究竟来自哪里,目前仍处于争议之中.锆石是黄土中常见的副矿物,其U-Pb年龄谱对比被广泛用于黄土的物源示踪研究.基于此,利用激光剥蚀电感耦合等离子质谱仪(LA-ICP-MS)对上述地区晚更新世典型的黄土剖面开展碎屑锆石(n=420)微区原位U-Pb年龄分析,结合Kolmogorov-Smirnov统计方法的多维判别图和前人已经发表的研究结果,发现胶东半岛北部海岸和山东中部山地北麓东段的晚更新世黄土主要来自渤海裸露的大陆架和华北平原的碎屑物质,受中国西北内陆干旱区的影响较小,但由于地理位置的差异,山东中部山地北麓西段的晚更新世黄土具有黄河下游和黄土高原的物质信号,而与晚更新世渤海末次冰期裸露在海底的沉积物的物源关系较弱.
2021, 46(9): 3245-3257.
doi: 10.3799/dqkx.2020.357
摘要:
沉积相及特征研究有助于更全面地认识河湖环境演化规律,但在洞庭盆地资水三角洲地区还未有相关表述.本研究基于第四纪典型钻孔(BMS01和BMS02)沉积样品,开展了丰富的岩石学、年代学与沉积学研究,运用粒度频率分布曲线对研究区第四纪堆积物沉积相进行分析,用粒度参数计算结果和Fisher判别模型进行了判别.结果表明Fisher模型判别公式适用于平原区河流相、湖相及非稳定相沉积环境的判别.在资水三角洲区域内的应用,判别函数总体识别正确率为94.9%,误判率为5.1%,高出正确率的一般标准(75%).综合判别结果及地质研究资料,运用C-M图和粒度散点图揭示了第四纪以来区域的多旋回沉积特征及演化过程,并阐述了地层的形成机制.研究结果可以为第四纪地层划分与对比、地下水资源评价和地层原生劣质水研究提供基础资料.
沉积相及特征研究有助于更全面地认识河湖环境演化规律,但在洞庭盆地资水三角洲地区还未有相关表述.本研究基于第四纪典型钻孔(BMS01和BMS02)沉积样品,开展了丰富的岩石学、年代学与沉积学研究,运用粒度频率分布曲线对研究区第四纪堆积物沉积相进行分析,用粒度参数计算结果和Fisher判别模型进行了判别.结果表明Fisher模型判别公式适用于平原区河流相、湖相及非稳定相沉积环境的判别.在资水三角洲区域内的应用,判别函数总体识别正确率为94.9%,误判率为5.1%,高出正确率的一般标准(75%).综合判别结果及地质研究资料,运用C-M图和粒度散点图揭示了第四纪以来区域的多旋回沉积特征及演化过程,并阐述了地层的形成机制.研究结果可以为第四纪地层划分与对比、地下水资源评价和地层原生劣质水研究提供基础资料.
2021, 46(9): 3258-3277.
doi: 10.3799/dqkx.2020.355
摘要:
为探讨陆相断陷湖盆陡坡带构造活动控制下水下粗碎屑岩沉积特征、搬运机制及其演化规律,以滦平断陷盆地陡坡带下白垩统西瓜园组为研究对象,采用无人机倾斜摄影、实测剖面、砾石定向性定量表征等技术方法,从沉积背景、岩相类型、沉积单元及相序特征等方面开展野外露头解剖工作.滦平盆地西瓜园组沉积时期,近岸水下扇沉积于构造沉降速率大、湖平面上升、深水、古地貌陡峭环境,洪水携带粗碎屑沉积沿陡坡带入湖,底部发育与地震活动相关的砾质碎屑流,伴随发育滑动—滑塌沉积,上部发育高密度浊流.随着沉积物不断供给,斜坡坡度逐渐减小;随着粗碎屑沉积搬运距离不断增加,砂砾质碎屑流中砾石表现出明显定向性,高密度浊流所占厚度比例增加;末端以低密度浊流为主.扇三角洲沉积于构造沉降速率相对较低、水深相对较浅、古地貌相对平缓的环境,发育相对成熟的供源体系,汇水系统长度较长,扇三角洲前缘粗碎屑岩由碎屑流向高密度浊流、牵引流、低密度浊流转换.
为探讨陆相断陷湖盆陡坡带构造活动控制下水下粗碎屑岩沉积特征、搬运机制及其演化规律,以滦平断陷盆地陡坡带下白垩统西瓜园组为研究对象,采用无人机倾斜摄影、实测剖面、砾石定向性定量表征等技术方法,从沉积背景、岩相类型、沉积单元及相序特征等方面开展野外露头解剖工作.滦平盆地西瓜园组沉积时期,近岸水下扇沉积于构造沉降速率大、湖平面上升、深水、古地貌陡峭环境,洪水携带粗碎屑沉积沿陡坡带入湖,底部发育与地震活动相关的砾质碎屑流,伴随发育滑动—滑塌沉积,上部发育高密度浊流.随着沉积物不断供给,斜坡坡度逐渐减小;随着粗碎屑沉积搬运距离不断增加,砂砾质碎屑流中砾石表现出明显定向性,高密度浊流所占厚度比例增加;末端以低密度浊流为主.扇三角洲沉积于构造沉降速率相对较低、水深相对较浅、古地貌相对平缓的环境,发育相对成熟的供源体系,汇水系统长度较长,扇三角洲前缘粗碎屑岩由碎屑流向高密度浊流、牵引流、低密度浊流转换.
2021, 46(9): 3278-3289.
doi: 10.3799/dqkx.2020.329
摘要:
柴达木盆地厚达万米的新生代沉积物记录了青藏高原东北部隆升和古气候变化信息.本文基于盆地北缘大红沟剖面高分辨率的磁极性年代标尺,对该剖面古—新近纪河湖相沉积物进行了颜色测量,首次获得了柴达木盆地长时间尺度(52~7 Ma)的色度参数变化序列.在此基础上,综合沉积相与区域构造和古气候记录,探讨了影响河湖相沉积物颜色参数的因素及柴达木盆地古—新近纪的气候演变.结果表明,大红沟剖面沉积物颜色的变化与全球温度变化趋势基本一致,说明温度是影响颜色参数,特别是红度(a*)的主要因素;沉积相变化,尤其是水面上、下的氧化—还原环境变化对颜色参数也有重要影响.根据色度参数在时间标尺上的变化,将柴达木盆地的气候变化划分为8个阶段:(a)52.0~44.2 Ma湿热,(b)44.2~33.7 Ma在干湿波动中逐渐变干,(c)33.7~27.1 Ma进一步变干,(d)27.1~19.7 Ma逐渐变湿,(e)19.7~17.0 Ma较干旱,(f)17.0~13.3 Ma气候湿润,(g)13.3~9.5 Ma快速变干,(h)9.5~7.0 Ma进一步变干旱.影响柴达木盆地古—新近纪气候变化的主要因素包括全球温度、副特提斯海、青藏高原构造隆升和东亚夏季风.
柴达木盆地厚达万米的新生代沉积物记录了青藏高原东北部隆升和古气候变化信息.本文基于盆地北缘大红沟剖面高分辨率的磁极性年代标尺,对该剖面古—新近纪河湖相沉积物进行了颜色测量,首次获得了柴达木盆地长时间尺度(52~7 Ma)的色度参数变化序列.在此基础上,综合沉积相与区域构造和古气候记录,探讨了影响河湖相沉积物颜色参数的因素及柴达木盆地古—新近纪的气候演变.结果表明,大红沟剖面沉积物颜色的变化与全球温度变化趋势基本一致,说明温度是影响颜色参数,特别是红度(a*)的主要因素;沉积相变化,尤其是水面上、下的氧化—还原环境变化对颜色参数也有重要影响.根据色度参数在时间标尺上的变化,将柴达木盆地的气候变化划分为8个阶段:(a)52.0~44.2 Ma湿热,(b)44.2~33.7 Ma在干湿波动中逐渐变干,(c)33.7~27.1 Ma进一步变干,(d)27.1~19.7 Ma逐渐变湿,(e)19.7~17.0 Ma较干旱,(f)17.0~13.3 Ma气候湿润,(g)13.3~9.5 Ma快速变干,(h)9.5~7.0 Ma进一步变干旱.影响柴达木盆地古—新近纪气候变化的主要因素包括全球温度、副特提斯海、青藏高原构造隆升和东亚夏季风.
2021, 46(9): 3290-3306.
doi: 10.3799/dqkx.2020.265
摘要:
华南早中生代构造体制转换对粤南地区古气候演化产生了深远影响,但对其内在联系的研究尚有不足.本文以粤南地区上三叠统—下、中侏罗统小坪组、金鸡组、桥源组为研究对象,采集各组泥岩样品进行了X-射线荧光光谱主量元素和ICP-MS微量、稀土元素测试,并开展了沉积特征和古生物特征综合分析.测试表明,小坪组凤岗段泥岩样品CIA(75.7~81.3)、Sr/Cu(0.83~21.3)、Rb/Sr(2.32~12.8)、Mg/Ca(0.57~2.50)和Sr/Ba(0.04~0.19)均指示该区晚三叠世早期为温湿气候,δCe(0.93~0.95)指示弱氧化环境,间接反映该时期为温湿气候;小坪组马安段泥岩样品CIA(77.5~82.2)、Sr/Cu(8.41~13.3)、Rb/Sr(2.08~5.83)、Mg/Ca(0.79~3.10)和Sr/Ba(0.06~0.26)指示该区晚三叠世晚期为干热气候,δCe(1.04~1.05)指示还原环境,间接反映该时期为干热气候;金鸡组、桥源组泥岩样品CIA(77.1~82.3)、Sr/Cu(1.51~4.38)、Rb/Sr(2.16~12.1)、Mg/Ca(0.84~2.94)和Sr/Ba(0.04~0.24)指示该区早侏罗世—早、中侏罗世以温湿气候为主,短暂出现干热气候,δCe(0.92~1.00)指示弱还原—弱氧化环境,间接反映该时期气候以温湿为主,短暂出现干热.将研究区与周缘地区古气候进行对比,晚三叠世—早、中侏罗世粤南及其围区古气候都经历了由温湿(晚三叠世早期)—干热(晚三叠世晚期)—温湿为主,短暂出现干热(早侏罗世—早、中侏罗世)的转变,这一具有相同演化趋势的古气候转变,正是对该时期华南经历了由特提斯构造域向古太平洋构造域转换的响应.
华南早中生代构造体制转换对粤南地区古气候演化产生了深远影响,但对其内在联系的研究尚有不足.本文以粤南地区上三叠统—下、中侏罗统小坪组、金鸡组、桥源组为研究对象,采集各组泥岩样品进行了X-射线荧光光谱主量元素和ICP-MS微量、稀土元素测试,并开展了沉积特征和古生物特征综合分析.测试表明,小坪组凤岗段泥岩样品CIA(75.7~81.3)、Sr/Cu(0.83~21.3)、Rb/Sr(2.32~12.8)、Mg/Ca(0.57~2.50)和Sr/Ba(0.04~0.19)均指示该区晚三叠世早期为温湿气候,δCe(0.93~0.95)指示弱氧化环境,间接反映该时期为温湿气候;小坪组马安段泥岩样品CIA(77.5~82.2)、Sr/Cu(8.41~13.3)、Rb/Sr(2.08~5.83)、Mg/Ca(0.79~3.10)和Sr/Ba(0.06~0.26)指示该区晚三叠世晚期为干热气候,δCe(1.04~1.05)指示还原环境,间接反映该时期为干热气候;金鸡组、桥源组泥岩样品CIA(77.1~82.3)、Sr/Cu(1.51~4.38)、Rb/Sr(2.16~12.1)、Mg/Ca(0.84~2.94)和Sr/Ba(0.04~0.24)指示该区早侏罗世—早、中侏罗世以温湿气候为主,短暂出现干热气候,δCe(0.92~1.00)指示弱还原—弱氧化环境,间接反映该时期气候以温湿为主,短暂出现干热.将研究区与周缘地区古气候进行对比,晚三叠世—早、中侏罗世粤南及其围区古气候都经历了由温湿(晚三叠世早期)—干热(晚三叠世晚期)—温湿为主,短暂出现干热(早侏罗世—早、中侏罗世)的转变,这一具有相同演化趋势的古气候转变,正是对该时期华南经历了由特提斯构造域向古太平洋构造域转换的响应.
2021, 46(9): 3307-3320.
doi: 10.3799/dqkx.2020.343
摘要:
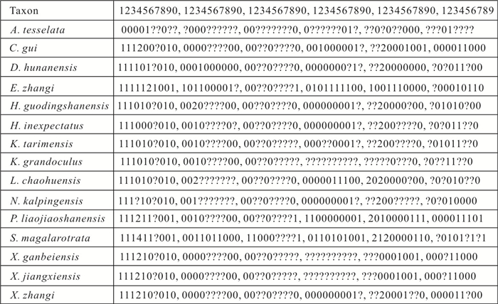
汉阳鱼作为湖北武汉地区古生代鱼类的代表,其真实形态一直未被确定下来,同时关于汉阳鱼目内部的系统发育学关系也只停留在其下两个属种的讨论上,并未对其开展详细的分析讨论.采用形态学和分支系统学的方法,对湖北武汉兰多维列世清水组上部的盔甲鱼类新材料进行了详细研究,建立了汉阳鱼科一新属新种:意外洪山鱼(Hongshanaspis inexpectatus gen.et sp.nov.),同时修订了汉阳鱼属的部分特征.新属以头甲呈宽大于长的梯形和横长的长条形中背孔等特征而归属于汉阳鱼科,同时又以头甲侧缘从眶孔往后逐渐由光滑变为锯齿状,椭圆形的背位眶孔,发育8对侧横管和细小粒状的突起纹饰等特征区别于汉阳鱼科其他属种.分支系统学显示,汉阳鱼目并未组成一个单系类群,其下的汉阳鱼科的属种也并未组成一个单系类群,而是一个多分支形式,但其下的修水鱼科的属种却组成了一个单系类群.相关的相标志表明,相比于锅顶山汉阳鱼,意外洪山鱼生活在水体更深的潮控三角洲环境中.
汉阳鱼作为湖北武汉地区古生代鱼类的代表,其真实形态一直未被确定下来,同时关于汉阳鱼目内部的系统发育学关系也只停留在其下两个属种的讨论上,并未对其开展详细的分析讨论.采用形态学和分支系统学的方法,对湖北武汉兰多维列世清水组上部的盔甲鱼类新材料进行了详细研究,建立了汉阳鱼科一新属新种:意外洪山鱼(Hongshanaspis inexpectatus gen.et sp.nov.),同时修订了汉阳鱼属的部分特征.新属以头甲呈宽大于长的梯形和横长的长条形中背孔等特征而归属于汉阳鱼科,同时又以头甲侧缘从眶孔往后逐渐由光滑变为锯齿状,椭圆形的背位眶孔,发育8对侧横管和细小粒状的突起纹饰等特征区别于汉阳鱼科其他属种.分支系统学显示,汉阳鱼目并未组成一个单系类群,其下的汉阳鱼科的属种也并未组成一个单系类群,而是一个多分支形式,但其下的修水鱼科的属种却组成了一个单系类群.相关的相标志表明,相比于锅顶山汉阳鱼,意外洪山鱼生活在水体更深的潮控三角洲环境中.
2021, 46(9): 3321-3337.
doi: 10.3799/dqkx.2021.098
摘要:
西沙海域夹持于南海西北次海盆和西南次海盆之间,构造演化过程与南海的扩张和南海西部的走滑作用关系密切.基于覆盖西沙海域的区域地震资料开展了构造—地层解释、盆地结构特征分析和区域构造演化制图,整体上将西沙海域划分出3种类型盆地,即高角度断层控制的盆地、低角度拆离断层控制的盆地和走滑盆地.结合地壳厚度变化和伸展薄化程度,突出断层的构造样式,将西沙海域划分为北部拆离断层构造发育区、东南部拆离断层构造发育区、西部走滑断层发育区和中部高角度断层发育区,进而明确了西沙海域盆地的基本构造格局.同时,以关键构造界面为主线,强调了不同类型断层在岩石圈地壳减薄过程中的作用,阐明了西沙海域盆地的差异构造演化过程.
西沙海域夹持于南海西北次海盆和西南次海盆之间,构造演化过程与南海的扩张和南海西部的走滑作用关系密切.基于覆盖西沙海域的区域地震资料开展了构造—地层解释、盆地结构特征分析和区域构造演化制图,整体上将西沙海域划分出3种类型盆地,即高角度断层控制的盆地、低角度拆离断层控制的盆地和走滑盆地.结合地壳厚度变化和伸展薄化程度,突出断层的构造样式,将西沙海域划分为北部拆离断层构造发育区、东南部拆离断层构造发育区、西部走滑断层发育区和中部高角度断层发育区,进而明确了西沙海域盆地的基本构造格局.同时,以关键构造界面为主线,强调了不同类型断层在岩石圈地壳减薄过程中的作用,阐明了西沙海域盆地的差异构造演化过程.
2021, 46(9): 3338-3351.
doi: 10.3799/dqkx.2021.064
摘要:
万安盆地是南海西南部重要的沉积盆地之一,深入分析其构造—沉积充填特征对于认识南海南部主要构造事件及其沉积响应具有重要的科学意义.利用覆盖全盆地的二维地震资料,结合国内外的研究成果,对万安盆地构造—层序特征及其构造—沉积充填演化进行分析.研究表明,万安盆地内新生代以来可识别出8个主要的二级/三级层序界面.沉降模拟显示,盆地沉降整体表现出一个“快—慢—快”的过程,且整体呈现出东高西低,中高南低的特征.综合构造层序特征和沉降模拟结果,万安盆地新生代以来沉积演化可分为5个阶段:初始裂陷期、晚期裂陷期、断坳转换期、裂后热沉降期和裂后加速热沉降期.盆地自形成以来,沉降主要受东亚大陆边缘区域拉张所造成的深部断裂的影响,至上新世,万安断裂转而成为盆地沉降的主要影响因素,并由此造成了早期盆地沉降中心由中部向西迁移,然后再逐步向东迁移的特征.渐新世至早中新世为盆地裂陷阶段,以陆源碎屑岩沉积为主,断陷早期可能为湖相,晚期为浅海相;中中新世为盆地断坳转换阶段,晚中新世以来为盆地裂后热沉降阶段,二者均发育陆源碎屑岩和自生碳酸盐岩两种沉积类型,且裂后热沉降期碳酸盐岩沉积范围相对缩小,陆缘碎屑岩沉积范围相对扩大.
万安盆地是南海西南部重要的沉积盆地之一,深入分析其构造—沉积充填特征对于认识南海南部主要构造事件及其沉积响应具有重要的科学意义.利用覆盖全盆地的二维地震资料,结合国内外的研究成果,对万安盆地构造—层序特征及其构造—沉积充填演化进行分析.研究表明,万安盆地内新生代以来可识别出8个主要的二级/三级层序界面.沉降模拟显示,盆地沉降整体表现出一个“快—慢—快”的过程,且整体呈现出东高西低,中高南低的特征.综合构造层序特征和沉降模拟结果,万安盆地新生代以来沉积演化可分为5个阶段:初始裂陷期、晚期裂陷期、断坳转换期、裂后热沉降期和裂后加速热沉降期.盆地自形成以来,沉降主要受东亚大陆边缘区域拉张所造成的深部断裂的影响,至上新世,万安断裂转而成为盆地沉降的主要影响因素,并由此造成了早期盆地沉降中心由中部向西迁移,然后再逐步向东迁移的特征.渐新世至早中新世为盆地裂陷阶段,以陆源碎屑岩沉积为主,断陷早期可能为湖相,晚期为浅海相;中中新世为盆地断坳转换阶段,晚中新世以来为盆地裂后热沉降阶段,二者均发育陆源碎屑岩和自生碳酸盐岩两种沉积类型,且裂后热沉降期碳酸盐岩沉积范围相对缩小,陆缘碎屑岩沉积范围相对扩大.
2021, 46(9): 3352-3364.
doi: 10.3799/dqkx.2020.349
摘要:
人类活动的不断加剧已逐步影响到地球的健康状况,急需发展有效的地球健康诊断、评估与识别技术.为获悉地球健康状态,需要对地球进行全面的体检.谱遥感技术因具有动态、快速、大范围应用等特点,综合了地物波谱、地学图谱、地表时空演化谱信息,是监测和分析资源、环境乃至生态状况的最佳手段之一,是地球健康状况检测的核心技术.本文在遥感地物波谱特征的基础上,结合遥感揭示地学图谱和地表时空演化谱的优势,提出了谱遥感的定义、谱遥感地球体检应用的内容及其关键技术,总结了实现健康地球的谱遥感应用需求,归纳了天、空、地一体化的谱遥感平台构建方法,并探讨了提高地球体检效果的技术体系,最后对利用谱遥感技术开展地球体检提出了思路和展望.
人类活动的不断加剧已逐步影响到地球的健康状况,急需发展有效的地球健康诊断、评估与识别技术.为获悉地球健康状态,需要对地球进行全面的体检.谱遥感技术因具有动态、快速、大范围应用等特点,综合了地物波谱、地学图谱、地表时空演化谱信息,是监测和分析资源、环境乃至生态状况的最佳手段之一,是地球健康状况检测的核心技术.本文在遥感地物波谱特征的基础上,结合遥感揭示地学图谱和地表时空演化谱的优势,提出了谱遥感的定义、谱遥感地球体检应用的内容及其关键技术,总结了实现健康地球的谱遥感应用需求,归纳了天、空、地一体化的谱遥感平台构建方法,并探讨了提高地球体检效果的技术体系,最后对利用谱遥感技术开展地球体检提出了思路和展望.
2021, 46(9): 3365-3375.
doi: 10.3799/dqkx.2020.350
摘要:
场源中心位置的计算是重磁数据反演的主要任务之一,现主要通过异常与场源位置之间的数学物理方程来估算地质体的位置.为了快速、准确获得地质体的位置信息,提出基于重磁梯度比值的深度学习技术实现场源位置的获取;其利用深度学习技术所建立的重磁梯度比值水平分布与地质体埋深、构造指数的关系,快速实现异常场源位置计算,且提出利用多个值的相互关系来更加准确、稳定地计算出地质体的信息.该方法可以计算复杂地质体的中心位置,且避免了以往线性方程反演方法需对结果进行筛选的复杂过程,对于存在剩磁的磁异常则采用解析信号的深度学习方法来进行位置反演.理论模型试验证明利用梯度比值的深度学习方法可以准确获得地质体的深度,且通过对比更多点的深度学习计算结果发现,采用多个不同比例极值点可以减弱噪声带来的干扰,从而得到更加准确的位置.最后将该方法应用于实测磁异常的反演工作,获得了地下磁性物体的中心位置,且计算结果与欧拉反褶积法相接近,因此该方法具有良好的实用性.
场源中心位置的计算是重磁数据反演的主要任务之一,现主要通过异常与场源位置之间的数学物理方程来估算地质体的位置.为了快速、准确获得地质体的位置信息,提出基于重磁梯度比值的深度学习技术实现场源位置的获取;其利用深度学习技术所建立的重磁梯度比值水平分布与地质体埋深、构造指数的关系,快速实现异常场源位置计算,且提出利用多个值的相互关系来更加准确、稳定地计算出地质体的信息.该方法可以计算复杂地质体的中心位置,且避免了以往线性方程反演方法需对结果进行筛选的复杂过程,对于存在剩磁的磁异常则采用解析信号的深度学习方法来进行位置反演.理论模型试验证明利用梯度比值的深度学习方法可以准确获得地质体的深度,且通过对比更多点的深度学习计算结果发现,采用多个不同比例极值点可以减弱噪声带来的干扰,从而得到更加准确的位置.最后将该方法应用于实测磁异常的反演工作,获得了地下磁性物体的中心位置,且计算结果与欧拉反褶积法相接近,因此该方法具有良好的实用性.
2021, 46(9): 3376-3384.
doi: 10.3799/dqkx.2020.339
摘要:
磁测技术对发现和确定水下目标十分有效,已被广泛用于探测水下沉船、水下掩埋管线、电缆和其他(电)磁性物体.然而,水下目标往往具有较强的剩磁与退磁特点,影响了定性解释结果和定量计算精度.为了更精准地确定和刻画水下目标的位置与形状,以磁异常模量数据为基础,采用最小结构模型进行磁化率成像反演;在模型试验中采用了L1范数和L2范数分别进行反演,并且对两者结果进行了对比分析,结果显示L1范数反演结果具有更为规则与清晰的边界,而L2范数反演结果则相对更为平滑.因此,对于常见水下目标磁测,L1范数反演更适合.以港珠澳大桥沉管隧道磁测数据为例,基于磁异常模量的最小结构模型反演了水下沉管的埋设状态,其平面位置、宽度和埋深具有较好的精准度.因此,本方法能够基于磁测数据更加精细地计算水下掩埋目标的位置和规模,具有较强的实际应用价值.
磁测技术对发现和确定水下目标十分有效,已被广泛用于探测水下沉船、水下掩埋管线、电缆和其他(电)磁性物体.然而,水下目标往往具有较强的剩磁与退磁特点,影响了定性解释结果和定量计算精度.为了更精准地确定和刻画水下目标的位置与形状,以磁异常模量数据为基础,采用最小结构模型进行磁化率成像反演;在模型试验中采用了L1范数和L2范数分别进行反演,并且对两者结果进行了对比分析,结果显示L1范数反演结果具有更为规则与清晰的边界,而L2范数反演结果则相对更为平滑.因此,对于常见水下目标磁测,L1范数反演更适合.以港珠澳大桥沉管隧道磁测数据为例,基于磁异常模量的最小结构模型反演了水下沉管的埋设状态,其平面位置、宽度和埋深具有较好的精准度.因此,本方法能够基于磁测数据更加精细地计算水下掩埋目标的位置和规模,具有较强的实际应用价值.
2021, 46(9): 3385-3396.
doi: 10.3799/dqkx.2020.342
摘要:
为了准确评价油气储藏水力压裂及岩爆等工程中岩石的脆性,总结了目前国内外已有的基于能量理论计算岩石脆性的方法,并指出了它们的局限性.综合考虑岩石峰前和峰后的能量演化特征,建立了一种基于全应力应变曲线的反映岩石变形破坏全过程的脆性指数评价方法,更加全面地描述岩石的脆性特征.为了验证新方法的合理性,收集了4组岩石力学试验对新指数进行检验.试验结果表明:由峰前指数与峰后指数合成的脆性指数都随着围压的增加而减小,低围压下煤岩和页岩2组均具有较强的脆性,而高围压下红砂岩和页岩1组的脆性明显减弱,表现了随围压增大岩石发生脆延转换的特性.在实际边坡工程中通过对板岩进行脆性评价,验证了本文所提出的脆性指数在工程应用中的合理性,该成果有望对岩石脆性评价提供参考.
为了准确评价油气储藏水力压裂及岩爆等工程中岩石的脆性,总结了目前国内外已有的基于能量理论计算岩石脆性的方法,并指出了它们的局限性.综合考虑岩石峰前和峰后的能量演化特征,建立了一种基于全应力应变曲线的反映岩石变形破坏全过程的脆性指数评价方法,更加全面地描述岩石的脆性特征.为了验证新方法的合理性,收集了4组岩石力学试验对新指数进行检验.试验结果表明:由峰前指数与峰后指数合成的脆性指数都随着围压的增加而减小,低围压下煤岩和页岩2组均具有较强的脆性,而高围压下红砂岩和页岩1组的脆性明显减弱,表现了随围压增大岩石发生脆延转换的特性.在实际边坡工程中通过对板岩进行脆性评价,验证了本文所提出的脆性指数在工程应用中的合理性,该成果有望对岩石脆性评价提供参考.
2021, 46(9): 3397-3409.
doi: 10.3799/dqkx.2020.333
摘要:
在西藏昌都市江达县波罗乡发生的两次高位大型滑坡,形成堰塞体阻断金沙江,其溃决洪水对下游造成了巨大损失.本文基于野外地质调查与工程验证、遥感影像、倾斜摄影测量、岩体微观特征,结合区域地质资料进行分析研究.结果表明:(1)白格滑坡发育于金沙江构造混杂岩带,坡体属于河谷型构造破碎松散体;(2)坡体物质主要由弱变形构造透镜体岩块和强变形错动带(糜棱岩带、碎裂岩带、断层泥)组成,镜下岩石结构破坏严重,岩石强度显著降低;(3)断层破碎带控制滑坡体两侧及后缘边界,为滑坡提供了侧向及后缘的切割面;(4)不连续错动带为白格滑坡的滑动层,在重力卸荷作用下发生贯通,导致坡体发生多期次崩滑;(5)综合坡体失稳启动分析,白格滑坡为"推移式+牵引式"混合型滑坡;(6)白格滑坡是在内动力和外动力耦合作用相互交替下促进形成,加之金沙江对坡脚掏蚀,松散体在重力卸荷作用下剪切破坏致使滑坡发生.白格滑坡事件可为研究金沙江构造混杂岩带中大型滑坡形成机制提供依据,同时也为该区域防灾减灾研究提供理论指导.
在西藏昌都市江达县波罗乡发生的两次高位大型滑坡,形成堰塞体阻断金沙江,其溃决洪水对下游造成了巨大损失.本文基于野外地质调查与工程验证、遥感影像、倾斜摄影测量、岩体微观特征,结合区域地质资料进行分析研究.结果表明:(1)白格滑坡发育于金沙江构造混杂岩带,坡体属于河谷型构造破碎松散体;(2)坡体物质主要由弱变形构造透镜体岩块和强变形错动带(糜棱岩带、碎裂岩带、断层泥)组成,镜下岩石结构破坏严重,岩石强度显著降低;(3)断层破碎带控制滑坡体两侧及后缘边界,为滑坡提供了侧向及后缘的切割面;(4)不连续错动带为白格滑坡的滑动层,在重力卸荷作用下发生贯通,导致坡体发生多期次崩滑;(5)综合坡体失稳启动分析,白格滑坡为"推移式+牵引式"混合型滑坡;(6)白格滑坡是在内动力和外动力耦合作用相互交替下促进形成,加之金沙江对坡脚掏蚀,松散体在重力卸荷作用下剪切破坏致使滑坡发生.白格滑坡事件可为研究金沙江构造混杂岩带中大型滑坡形成机制提供依据,同时也为该区域防灾减灾研究提供理论指导.
2021, 46(9): 3410-3420.
doi: 10.3799/dqkx.2020.345
摘要:
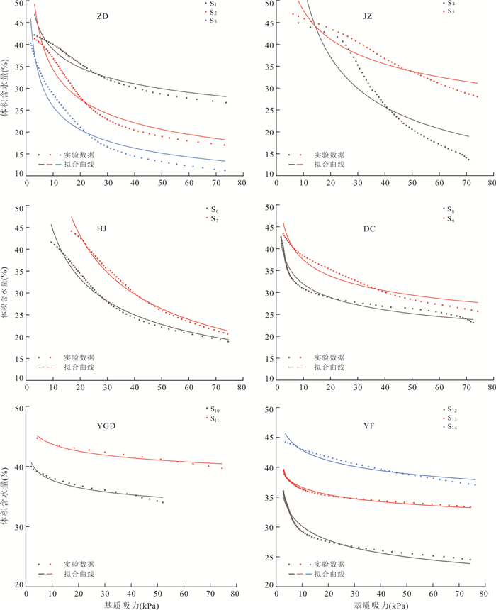
为定量获得土壤结构对其水力性质的指示作用,室内实验选用华北平原子牙河流域原状土样为研究对象,用张力计法和激光粒度分析仪分别测定土壤水分特征曲线和样品粒度分布,基于分形理论计算土壤粒度分布的分形维数,采用实验测定与模型验证相结合的方法对水分特征曲线进行分析.结果表明,土壤颗粒粒度分布在[10 μm,50 μm]区间内的分段分维值是表征土壤粒度累积分布显著上升段特征的关键参数,与0~80 kPa吸力范围内的土壤水分特征曲线幂函数模型拟合参数(a、b)有极显著相关关系.研究区内土壤水分特征曲线以分形形式表达的幂函数模型为:θ=100.78×(3-D)S(D-3)/3,利用土壤结构分形特征能够有效指示其水力性质.
为定量获得土壤结构对其水力性质的指示作用,室内实验选用华北平原子牙河流域原状土样为研究对象,用张力计法和激光粒度分析仪分别测定土壤水分特征曲线和样品粒度分布,基于分形理论计算土壤粒度分布的分形维数,采用实验测定与模型验证相结合的方法对水分特征曲线进行分析.结果表明,土壤颗粒粒度分布在[10 μm,50 μm]区间内的分段分维值是表征土壤粒度累积分布显著上升段特征的关键参数,与0~80 kPa吸力范围内的土壤水分特征曲线幂函数模型拟合参数(a、b)有极显著相关关系.研究区内土壤水分特征曲线以分形形式表达的幂函数模型为:θ=100.78×(3-D)S(D-3)/3,利用土壤结构分形特征能够有效指示其水力性质.




登录
注册
高级检索
邮件订阅
RSS
摘要
HTML全文