2014年 39卷 第11期
2014, 39(11): 1473-1486.
doi: 10.3799/dqkx.2014.140
摘要:
江西乐平沿沟剖面均一的碳酸盐相岩沉积, 完整地记录了二叠系-三叠系界线附近生物演变过程.通过对该剖面系统的化石切片研究, 共鉴别出有孔虫27属39种, 包含类4属7种.该剖面有孔虫的演变在二叠纪-三叠纪之交呈现出单幕式的消减过程, 对应于华南两幕生物灭绝中的第1幕.有孔虫的个体数和多样性在21-2层顶部发生了突然降低.4个不同有孔虫组合的演替关系, 揭示了有孔虫在灭绝事件中的演变过程, 即由灭绝前的高丰度、高分异度组合转变为灭绝后低丰度、低分异度组合.通过对二叠系-三叠系界线处鲕状灰岩的化石和沉积特征研究, 发现Hindeodus changxingensis带内的鲕状灰岩中仍存在较为丰富的有孔虫等化石.剧烈的海平面变化以及鲕状灰岩形成使下伏地层中的化石颗粒发生再沉积作用, 是形成这一特殊现象的主要原因.通过对鲕状灰岩中化石和沉积特征的深入研究, 论证了该鲕状灰岩形成于二叠纪-三叠纪之交大灭绝之后, 是当时特殊的海洋生态系产物, 反映了当时较高的海水回旋速率、微生物繁盛、海水碳酸盐超饱和等异常的环境条件.
江西乐平沿沟剖面均一的碳酸盐相岩沉积, 完整地记录了二叠系-三叠系界线附近生物演变过程.通过对该剖面系统的化石切片研究, 共鉴别出有孔虫27属39种, 包含类4属7种.该剖面有孔虫的演变在二叠纪-三叠纪之交呈现出单幕式的消减过程, 对应于华南两幕生物灭绝中的第1幕.有孔虫的个体数和多样性在21-2层顶部发生了突然降低.4个不同有孔虫组合的演替关系, 揭示了有孔虫在灭绝事件中的演变过程, 即由灭绝前的高丰度、高分异度组合转变为灭绝后低丰度、低分异度组合.通过对二叠系-三叠系界线处鲕状灰岩的化石和沉积特征研究, 发现Hindeodus changxingensis带内的鲕状灰岩中仍存在较为丰富的有孔虫等化石.剧烈的海平面变化以及鲕状灰岩形成使下伏地层中的化石颗粒发生再沉积作用, 是形成这一特殊现象的主要原因.通过对鲕状灰岩中化石和沉积特征的深入研究, 论证了该鲕状灰岩形成于二叠纪-三叠纪之交大灭绝之后, 是当时特殊的海洋生态系产物, 反映了当时较高的海水回旋速率、微生物繁盛、海水碳酸盐超饱和等异常的环境条件.
2014, 39(11): 1487-1499.
doi: 10.3799/dqkx.2014.141
摘要:
对辽吉裂谷带吉林段集安群火山岩和碎屑沉积岩以及裂谷带内的花岗岩进行了LA-ICP-MS锆石U-Pb的年代学研究.测年结果显示, 集安群火山岩形成于2156~2189Ma, 并于1870~1 881Ma接受区域变质作用改造.伴随集安群的火山-沉积和变质作用, 有2期花岗岩侵入: 一期形成于裂陷期的2156~2189Ma; 另一期形成于造山期的1870~1881Ma.同时, 碎屑锆石和捕获锆石获得了2471~2494Ma和2633~2653Ma的岩浆成因锆石年龄, 代表结晶基底的2次岩浆事件.集安群的物质来源于太古宙基底和裂陷期的岩浆事件产物.
对辽吉裂谷带吉林段集安群火山岩和碎屑沉积岩以及裂谷带内的花岗岩进行了LA-ICP-MS锆石U-Pb的年代学研究.测年结果显示, 集安群火山岩形成于2156~2189Ma, 并于1870~1 881Ma接受区域变质作用改造.伴随集安群的火山-沉积和变质作用, 有2期花岗岩侵入: 一期形成于裂陷期的2156~2189Ma; 另一期形成于造山期的1870~1881Ma.同时, 碎屑锆石和捕获锆石获得了2471~2494Ma和2633~2653Ma的岩浆成因锆石年龄, 代表结晶基底的2次岩浆事件.集安群的物质来源于太古宙基底和裂陷期的岩浆事件产物.
2014, 39(11): 1500-1506.
doi: 10.3799/dqkx.2014.142
摘要:
为了研究构造煤孔渗变化特性, 利用平顶山矿区原生结构煤和构造煤, 进行了不同围压、温度、湿度和煤体结构类型等条件下孔隙度及渗透率的实验测定, 对煤层孔渗特性在不同条件下的变化趋势进行了分析.结果表明: 围压、温度、湿度和煤体结构类型4种因素对煤的孔隙度和渗透率均有较大影响, 当温度和围压同时作用时, 围压的作用效果大于温度的作用效果.并用Origin软件对部分实验数据进行了数据拟合, 得出原生结构煤和构造煤的渗透率-孔隙度函数关系.
为了研究构造煤孔渗变化特性, 利用平顶山矿区原生结构煤和构造煤, 进行了不同围压、温度、湿度和煤体结构类型等条件下孔隙度及渗透率的实验测定, 对煤层孔渗特性在不同条件下的变化趋势进行了分析.结果表明: 围压、温度、湿度和煤体结构类型4种因素对煤的孔隙度和渗透率均有较大影响, 当温度和围压同时作用时, 围压的作用效果大于温度的作用效果.并用Origin软件对部分实验数据进行了数据拟合, 得出原生结构煤和构造煤的渗透率-孔隙度函数关系.
2014, 39(11): 1507-1516.
doi: 10.3799/dqkx.2014.143
摘要:
基于黔西六盘水煤田和织纳煤田16口井36层次的试井资料, 采用地质统计分析等方法, 探讨了黔西地区煤储层渗透性的展布规律与地应力特征, 论证了煤层埋深与地应力对其渗透性的控制机制.研究表明, 研究区煤储层以特低渗-低渗透率储层(<0.1×10-9m2)为主, 中渗透率储层(0.1×10-9~1.0×10-9m2)也占有相当大比例; 应力场类型在浅部表现为大地动力场型, 一定深度可能转化为准静水压力状态.煤储层渗透率及其埋深的负幂指数关系较为离散, 但在不同深度渗透率转折点与地应力场类型转变一致; 单井煤储层试井渗透率差异较大, 随地应力增大和埋深增加而降低, 平面展布受地应力强度控制由SW-NE具"低-高-低"发育规律.埋深对渗透率的控制实质是地应力的控制, 区域构造位置及其所处高应力场作用下的煤体形变与破碎致使孔裂隙压缩或闭合是该区渗透性差异的主要控制机制.
基于黔西六盘水煤田和织纳煤田16口井36层次的试井资料, 采用地质统计分析等方法, 探讨了黔西地区煤储层渗透性的展布规律与地应力特征, 论证了煤层埋深与地应力对其渗透性的控制机制.研究表明, 研究区煤储层以特低渗-低渗透率储层(<0.1×10-9m2)为主, 中渗透率储层(0.1×10-9~1.0×10-9m2)也占有相当大比例; 应力场类型在浅部表现为大地动力场型, 一定深度可能转化为准静水压力状态.煤储层渗透率及其埋深的负幂指数关系较为离散, 但在不同深度渗透率转折点与地应力场类型转变一致; 单井煤储层试井渗透率差异较大, 随地应力增大和埋深增加而降低, 平面展布受地应力强度控制由SW-NE具"低-高-低"发育规律.埋深对渗透率的控制实质是地应力的控制, 区域构造位置及其所处高应力场作用下的煤体形变与破碎致使孔裂隙压缩或闭合是该区渗透性差异的主要控制机制.
2014, 39(11): 1517-1526.
doi: 10.3799/dqkx.2014.144
摘要:
对南海东沙海域陆坡区973-3柱状样开展沉积学和年代学、有孔虫同位素和壳体B/Ca比值、碳酸钙和黄铁矿含量的分析, 发现该岩芯浮游有孔虫Globigerinoides ruber和底栖有孔虫Uvigerina peregrina的δ13C在末次冰期同时在多个层位发生负偏, 最大负偏达-2.03‰; 有孔虫δ13C负偏层位环境[CO32-]浓度相对偏低; 负偏层位同时出现大量黄铁矿, 最高含量达17%.在负偏层位以下沉积的碳酸盐溶解作用强烈, CaCO3含量最低, 沉积物颜色偏深.究其成因与水合物分解关系较大.甲烷渗漏事件发生在末次冰期, 说明末次冰期的海平面下降是水合物分解的主要诱因.根据有孔虫δ13C负偏的次数和程度推断至少发生过4次甲烷渗漏, 渗漏的强度基本相当.
对南海东沙海域陆坡区973-3柱状样开展沉积学和年代学、有孔虫同位素和壳体B/Ca比值、碳酸钙和黄铁矿含量的分析, 发现该岩芯浮游有孔虫Globigerinoides ruber和底栖有孔虫Uvigerina peregrina的δ13C在末次冰期同时在多个层位发生负偏, 最大负偏达-2.03‰; 有孔虫δ13C负偏层位环境[CO32-]浓度相对偏低; 负偏层位同时出现大量黄铁矿, 最高含量达17%.在负偏层位以下沉积的碳酸盐溶解作用强烈, CaCO3含量最低, 沉积物颜色偏深.究其成因与水合物分解关系较大.甲烷渗漏事件发生在末次冰期, 说明末次冰期的海平面下降是水合物分解的主要诱因.根据有孔虫δ13C负偏的次数和程度推断至少发生过4次甲烷渗漏, 渗漏的强度基本相当.
2014, 39(11): 1527-1538.
doi: 10.3799/dqkx.2014.145
摘要:
隐性断裂带是区域或局部应力场、基底断裂体系活动、潜山块体扭动影响下在沉积盆地盖层中产生的断裂趋势带, 它是断裂带的一种类型, 与显性断裂伴生于沉积盆地, 但由于其不具有显性断裂的固有特征, 隐蔽性强而常常被忽略.可以通过以下7个方面有效识别隐性断裂带: ①小型显性构造(小断层、小褶皱、断块)呈雁列式、断续状、错位对称式反映的大型隐性断裂带; ②基底断裂体系活动在沉积盆地盖层中产生的隐性断裂带; ③潜山、凹陷分布形成的线状、调节型或者侧列式隐性断裂带; ④砂体分布反映的隐性断裂带; ⑤油藏排列、分布、走向反映的隐性断裂带; ⑥相干体切片显示的隐性断裂带; ⑦断层叠覆端、末端、深大断裂分段活动等局部应力场变化形成的隐性断裂带.应用上述方法开展渤海湾盆地隐性断裂带识别研究, 综合国内外的调研结果, 建立了隐性断裂带的类型划分方案体系并阐述了不同级别构造单元中隐性断裂带的类型特征.研究表明, 隐性断裂带具有多方面的地质意义, 可以作为调节构造带调节盆地不均匀伸展活动, 分隔凹陷、隆起等构造单元; 控制盆地沉积相带发育分布, 影响断陷湖盆砂体的展布范围; 控制圈闭组合排列、改造输导体系, 形成串珠状、带状油气富集区; 深断裂活动触发地震的过程中会在地表形成隐性断裂带, 因此, 隐性断裂带的识别和分析具有现实意义.
隐性断裂带是区域或局部应力场、基底断裂体系活动、潜山块体扭动影响下在沉积盆地盖层中产生的断裂趋势带, 它是断裂带的一种类型, 与显性断裂伴生于沉积盆地, 但由于其不具有显性断裂的固有特征, 隐蔽性强而常常被忽略.可以通过以下7个方面有效识别隐性断裂带: ①小型显性构造(小断层、小褶皱、断块)呈雁列式、断续状、错位对称式反映的大型隐性断裂带; ②基底断裂体系活动在沉积盆地盖层中产生的隐性断裂带; ③潜山、凹陷分布形成的线状、调节型或者侧列式隐性断裂带; ④砂体分布反映的隐性断裂带; ⑤油藏排列、分布、走向反映的隐性断裂带; ⑥相干体切片显示的隐性断裂带; ⑦断层叠覆端、末端、深大断裂分段活动等局部应力场变化形成的隐性断裂带.应用上述方法开展渤海湾盆地隐性断裂带识别研究, 综合国内外的调研结果, 建立了隐性断裂带的类型划分方案体系并阐述了不同级别构造单元中隐性断裂带的类型特征.研究表明, 隐性断裂带具有多方面的地质意义, 可以作为调节构造带调节盆地不均匀伸展活动, 分隔凹陷、隆起等构造单元; 控制盆地沉积相带发育分布, 影响断陷湖盆砂体的展布范围; 控制圈闭组合排列、改造输导体系, 形成串珠状、带状油气富集区; 深断裂活动触发地震的过程中会在地表形成隐性断裂带, 因此, 隐性断裂带的识别和分析具有现实意义.
2014, 39(11): 1539-1546.
doi: 10.3799/dqkx.2014.146
摘要:
野外观察、典型地震解剖和物理模拟证实, 只要岩石存在能干性差, 断层具有典型垂向分段生长特征.岩石能干性差异决定断层演化历经3个阶段: 下部断层形成、断裂上下分段和贯通性断裂形成.以三肇凹陷为例, 应用岩石力学特征和断层相关褶皱理论, 证实扶杨油层砂岩层段普遍形成断裂, 青一段泥岩阻止下部断层向上传播, 从而形成断层垂向分段生长现象.结合油藏精细解剖表明, 三肇凹陷扶杨油层"倒灌"运移的主要油源断层是成藏期活动、沟通源储且垂向分段生长的断裂.
野外观察、典型地震解剖和物理模拟证实, 只要岩石存在能干性差, 断层具有典型垂向分段生长特征.岩石能干性差异决定断层演化历经3个阶段: 下部断层形成、断裂上下分段和贯通性断裂形成.以三肇凹陷为例, 应用岩石力学特征和断层相关褶皱理论, 证实扶杨油层砂岩层段普遍形成断裂, 青一段泥岩阻止下部断层向上传播, 从而形成断层垂向分段生长现象.结合油藏精细解剖表明, 三肇凹陷扶杨油层"倒灌"运移的主要油源断层是成藏期活动、沟通源储且垂向分段生长的断裂.
2014, 39(11): 1547-1554,1592.
doi: 10.3799/dqkx.2014.147
摘要:
碳酸盐岩的硫酸风化机制及其与碳循环的关系是全球碳循环研究中最为关注的科学问题之一, 其关键问题是识别硫酸盐来源.通过分析长江干流丰水期SO42-浓度及其硫、氧同位素组成特征, 探讨长江硫酸盐的来源及其主要控制因素.长江河水SO42-含量呈现逐年增加的趋势, 并且年增幅度逐渐加大.δ34SSO4和δ18OSO4变化范围为-3.5‰~5.6‰和3.7‰~9.2‰, 二者呈现显著的线性负相关关系.δ18OSO4值从上游到下游的增加趋势受长江水δ18OH2O值的空间组成特征的影响.研究表明, 大气降水(酸雨)和硫化物氧化是控制长江干流丰水期河水硫、氧同位素组成及其来源的主要机制, 为研究长江流域化学风化侵蚀作用和碳循环过程提供重要的理论依据.
碳酸盐岩的硫酸风化机制及其与碳循环的关系是全球碳循环研究中最为关注的科学问题之一, 其关键问题是识别硫酸盐来源.通过分析长江干流丰水期SO42-浓度及其硫、氧同位素组成特征, 探讨长江硫酸盐的来源及其主要控制因素.长江河水SO42-含量呈现逐年增加的趋势, 并且年增幅度逐渐加大.δ34SSO4和δ18OSO4变化范围为-3.5‰~5.6‰和3.7‰~9.2‰, 二者呈现显著的线性负相关关系.δ18OSO4值从上游到下游的增加趋势受长江水δ18OH2O值的空间组成特征的影响.研究表明, 大气降水(酸雨)和硫化物氧化是控制长江干流丰水期河水硫、氧同位素组成及其来源的主要机制, 为研究长江流域化学风化侵蚀作用和碳循环过程提供重要的理论依据.
2014, 39(11): 1555-1565.
doi: 10.3799/dqkx.2014.148
摘要:
为了分析黄河三角洲地下水动态及其与地面沉降的关系, 利用多年地下水和地面沉降监测数据, 发现黄河三角洲广饶县和东营区的地下水动态变化剧烈且地面沉降严重, 含水层多处于超采状态, 浅、深层地下水降落漏斗先后出现.深层地下水降落漏斗中心水位下降速度达2~3m/a.近年来, 东营和广饶地面沉降漏斗中心沉降量和速率分别为155.1mm、28.2mm/a和356.0mm、64.7mm/a.借助GIS技术及数理统计法, 发现深层地下水降落漏斗与沉降漏斗空间耦合良好, 深层地下水位与地面高程呈线性正相关, 相关系数为0.92, 深层地下水过度开采已成为影响沉降的最根本因素.井灌区第三粘性压缩层成为地面沉降主要贡献层, 且深层地下水降落漏斗中心的地下水位已低于第三承压含水层临界水位, 沉降趋于严重.
为了分析黄河三角洲地下水动态及其与地面沉降的关系, 利用多年地下水和地面沉降监测数据, 发现黄河三角洲广饶县和东营区的地下水动态变化剧烈且地面沉降严重, 含水层多处于超采状态, 浅、深层地下水降落漏斗先后出现.深层地下水降落漏斗中心水位下降速度达2~3m/a.近年来, 东营和广饶地面沉降漏斗中心沉降量和速率分别为155.1mm、28.2mm/a和356.0mm、64.7mm/a.借助GIS技术及数理统计法, 发现深层地下水降落漏斗与沉降漏斗空间耦合良好, 深层地下水位与地面高程呈线性正相关, 相关系数为0.92, 深层地下水过度开采已成为影响沉降的最根本因素.井灌区第三粘性压缩层成为地面沉降主要贡献层, 且深层地下水降落漏斗中心的地下水位已低于第三承压含水层临界水位, 沉降趋于严重.
2014, 39(11): 1566-1574.
doi: 10.3799/dqkx.2014.149
摘要:
为了明确嘉陵江曲流型叠置河谷形成原因及其对区域地质环境演化的响应, 在综合分析区域地质地貌背景、水系演化模式等基础上, 认为嘉陵江曲流型叠置河谷的成因可能是三峡贯通这一重大地质事件作用的结果.三峡贯通前, 古分水岭两侧的四川盆地和江汉盆地水系相互独立发育; 由于江汉盆地水系溯源侵蚀速率快, 切穿其与四川盆地的古分水岭, 分水岭西侧水系被袭夺后东流, 两大水系完成统一; 在三峡贯通事件作用下, 嘉陵江古自由河曲快速下切嵌入基岩, 形成了曲流型叠置河谷的壮观地貌景观.基于砾石层中冲积物的电子自旋共振(electron spin resonance dating, ESR)测年结果, 表明三峡贯通的时间大致在早-中更新世之交.第四纪地壳活跃, 三峡的贯通可能与该时期内的"昆仑-黄河运动"密切相关.
为了明确嘉陵江曲流型叠置河谷形成原因及其对区域地质环境演化的响应, 在综合分析区域地质地貌背景、水系演化模式等基础上, 认为嘉陵江曲流型叠置河谷的成因可能是三峡贯通这一重大地质事件作用的结果.三峡贯通前, 古分水岭两侧的四川盆地和江汉盆地水系相互独立发育; 由于江汉盆地水系溯源侵蚀速率快, 切穿其与四川盆地的古分水岭, 分水岭西侧水系被袭夺后东流, 两大水系完成统一; 在三峡贯通事件作用下, 嘉陵江古自由河曲快速下切嵌入基岩, 形成了曲流型叠置河谷的壮观地貌景观.基于砾石层中冲积物的电子自旋共振(electron spin resonance dating, ESR)测年结果, 表明三峡贯通的时间大致在早-中更新世之交.第四纪地壳活跃, 三峡的贯通可能与该时期内的"昆仑-黄河运动"密切相关.
2014, 39(11): 1575-1583.
doi: 10.3799/dqkx.2014.150
摘要:
注入性是关系CO2地质储存成功与否的一个关键的技术和经济问题, 评价与提高CO2在中国陆相沉积盆地普遍存在的低渗储层中的注入能力对于碳捕集与封存技术在中国的应用与推广具有重要意义.以江汉盆地江陵凹陷为例, 通过数值模拟的方法开展高盐低渗储层CO2注入能力评估与提高方案研究.结果表明: 预注入淡水和低盐度的微咸水溶液均可不同程度地缓解注入井周围的盐沉淀问题; 预注入CO2饱和溶液或稀盐酸溶液, 可显著提高注入井周围的孔渗值, 提高CO2注入性, 但由于储层本身的低渗性, 迁移距离有限, 短时间内较难实现CO2注入速率的大幅度提高.采取水力压裂措施可显著提高低渗储层中CO2的注入性, 其提升能力取决于压裂裂缝的半长度以及压裂程度.对于单个垂直井, 通过水力压裂对储层加以改造, 并采取多层注入的方式, 在低渗储层中实现数十万吨的年注入量是可能的.
注入性是关系CO2地质储存成功与否的一个关键的技术和经济问题, 评价与提高CO2在中国陆相沉积盆地普遍存在的低渗储层中的注入能力对于碳捕集与封存技术在中国的应用与推广具有重要意义.以江汉盆地江陵凹陷为例, 通过数值模拟的方法开展高盐低渗储层CO2注入能力评估与提高方案研究.结果表明: 预注入淡水和低盐度的微咸水溶液均可不同程度地缓解注入井周围的盐沉淀问题; 预注入CO2饱和溶液或稀盐酸溶液, 可显著提高注入井周围的孔渗值, 提高CO2注入性, 但由于储层本身的低渗性, 迁移距离有限, 短时间内较难实现CO2注入速率的大幅度提高.采取水力压裂措施可显著提高低渗储层中CO2的注入性, 其提升能力取决于压裂裂缝的半长度以及压裂程度.对于单个垂直井, 通过水力压裂对储层加以改造, 并采取多层注入的方式, 在低渗储层中实现数十万吨的年注入量是可能的.
2014, 39(11): 1584-1592.
doi: 10.3799/dqkx.2014.151
摘要:
乙烷和甲烷是深部天然气藏中的重要组成部分, 精确测量其扩散系数对于正确理解深部页岩储层中的烃类气体的分布运移及其分异具有重要意义.目前乙烷在水中的扩散系数数据局限在低压和283~333K温度范围内, 缺少天然气储层高温高压条件下的数据.本研究利用显微激光拉曼光谱, 在高压透明毛细管中原位观测了20MPa下273~393K温度范围内乙烷在纯水中的扩散, 测定了各温度下的扩散系数, 并用Speedy-Angell指数方程拟合出乙烷扩散系数D(乙烷)(m2/s)与温度T(K)之间的关系式: D(C2H6)=D0[(T/Ts)-1]γ, 式中: D0=13.8055×10-9m2/s, Ts=237.4K, γ=1.7397.相同温度压力条件下, 测得的乙烷的扩散系数小于甲烷的扩散系数.据此计算了2种气体通过低渗透盖层的扩散量的差异, 发现甲烷和乙烷溶解扩散的分异程度随盖层厚度、扩散时间而显著变化.
乙烷和甲烷是深部天然气藏中的重要组成部分, 精确测量其扩散系数对于正确理解深部页岩储层中的烃类气体的分布运移及其分异具有重要意义.目前乙烷在水中的扩散系数数据局限在低压和283~333K温度范围内, 缺少天然气储层高温高压条件下的数据.本研究利用显微激光拉曼光谱, 在高压透明毛细管中原位观测了20MPa下273~393K温度范围内乙烷在纯水中的扩散, 测定了各温度下的扩散系数, 并用Speedy-Angell指数方程拟合出乙烷扩散系数D(乙烷)(m2/s)与温度T(K)之间的关系式: D(C2H6)=D0[(T/Ts)-1]γ, 式中: D0=13.8055×10-9m2/s, Ts=237.4K, γ=1.7397.相同温度压力条件下, 测得的乙烷的扩散系数小于甲烷的扩散系数.据此计算了2种气体通过低渗透盖层的扩散量的差异, 发现甲烷和乙烷溶解扩散的分异程度随盖层厚度、扩散时间而显著变化.
2014, 39(11): 1593-1598,1634.
doi: 10.3799/dqkx.2014.152
摘要:
以三峡库区秭归县马家沟滑坡I号滑体为例, 为研究其在库水位升降和降雨条件下的变形破坏及稳定性, 对其采用框架式模型试验, 参照1∶40相似比进行了缩放.以模型概化前后滑坡稳定性系数相一致为目的, 在2.0m×1.0m×1.5m的试验框架内, 通过改变抗滑桩前的滑体、滑带的几何形态, 建立了与研究对象应力边界条件一致的地质力学模型.概化后对滑坡桩前边界推力和研究区后边界推力进行拟合, 得出相应于实际滑坡在不同水位时边界推力的折减系数.通过调节水位的升降速率来保证在水位变化时滑坡概化前后稳定性系数等效, 数值模拟结果显示滑坡模型的水位变化速率为0.7m/d、水位在183~204m范围内升降满足模拟实际滑坡水位在145~175m间变动的情况, 从而也验证了滑坡概化后模型的合理性.
以三峡库区秭归县马家沟滑坡I号滑体为例, 为研究其在库水位升降和降雨条件下的变形破坏及稳定性, 对其采用框架式模型试验, 参照1∶40相似比进行了缩放.以模型概化前后滑坡稳定性系数相一致为目的, 在2.0m×1.0m×1.5m的试验框架内, 通过改变抗滑桩前的滑体、滑带的几何形态, 建立了与研究对象应力边界条件一致的地质力学模型.概化后对滑坡桩前边界推力和研究区后边界推力进行拟合, 得出相应于实际滑坡在不同水位时边界推力的折减系数.通过调节水位的升降速率来保证在水位变化时滑坡概化前后稳定性系数等效, 数值模拟结果显示滑坡模型的水位变化速率为0.7m/d、水位在183~204m范围内升降满足模拟实际滑坡水位在145~175m间变动的情况, 从而也验证了滑坡概化后模型的合理性.
2014, 39(11): 1599-1606.
doi: 10.3799/dqkx.2014.153
摘要:
洞室开挖不可避免地会损伤岩体, 对于规模巨大、布置异常复杂的水电地下厂房围岩尤甚, 合理地确定开控损伤区(EDZ)分布成为地下洞室的信息化设计、施工和安全运营的关键性问题.在引入EDZ概念及强EDZ、弱EDZ和基本未损区分区的基础上, 提出采用声波测试方法来确定强EDZ和弱EDZ的分布.将声波波速-深度曲线划分为Ⅰ型、Ⅱ型和Ⅲ型等3种曲线类型, 根据曲线特征点, 对EDZ进行定性、半定量的初判.根据波速计算得出的损伤因子D, 对强、弱EDZ和基本未损区进行定量的判别.首次提出的基于声波测试法, 定性、半定量和定量相结合的综合研判法具有创新性, 为客观评价地下洞室EDZ提供了科学的方法.
洞室开挖不可避免地会损伤岩体, 对于规模巨大、布置异常复杂的水电地下厂房围岩尤甚, 合理地确定开控损伤区(EDZ)分布成为地下洞室的信息化设计、施工和安全运营的关键性问题.在引入EDZ概念及强EDZ、弱EDZ和基本未损区分区的基础上, 提出采用声波测试方法来确定强EDZ和弱EDZ的分布.将声波波速-深度曲线划分为Ⅰ型、Ⅱ型和Ⅲ型等3种曲线类型, 根据曲线特征点, 对EDZ进行定性、半定量的初判.根据波速计算得出的损伤因子D, 对强、弱EDZ和基本未损区进行定量的判别.首次提出的基于声波测试法, 定性、半定量和定量相结合的综合研判法具有创新性, 为客观评价地下洞室EDZ提供了科学的方法.
2014, 39(11): 1607-1616.
doi: 10.3799/dqkx.2014.154
摘要:
通过对我国大型水库蓄水的时空特征进行深入分析, 统计得到近60年来大型水库蓄水累积的库容量已达到697km3, 占全国所有水库库容量的83.3%及全球库容量的6.5%;而2000年以来的大型水库数量及蓄水量的变化有明显的加速, 库容量的变化率为16.7km3/a, 远高于1950年到2000年的4.9km3/a的增长率; 同时借助卫星重力(Gravity Recovery and Climate Experiment, GRACE)观测手段, 对2000年以后主要分布在长江流域以南地区的水库进行水储量估算, 结果显示GRACE仅能估算得到63%的水库变化量, 两者之间的差异可能反映了该地区地下水的长期变化. 结合大型水库的分布位置与库容量, 基于海平面变化方程计算得到了中国近海相对海平面的空间变化. 水库蓄水导致的渤海与东南沿海海域的相对海平面上升明显, 最大上升高度约为8mm; 而2000年以后的水库对海平面的影响主要集中在东南沿海, 其中南海海域较为突出, 上升高度约为2~3mm, 在此期间蓄水造成的近海不同验潮站位置的海平面增长速度在0.02~0.11mm/a之间变化.
通过对我国大型水库蓄水的时空特征进行深入分析, 统计得到近60年来大型水库蓄水累积的库容量已达到697km3, 占全国所有水库库容量的83.3%及全球库容量的6.5%;而2000年以来的大型水库数量及蓄水量的变化有明显的加速, 库容量的变化率为16.7km3/a, 远高于1950年到2000年的4.9km3/a的增长率; 同时借助卫星重力(Gravity Recovery and Climate Experiment, GRACE)观测手段, 对2000年以后主要分布在长江流域以南地区的水库进行水储量估算, 结果显示GRACE仅能估算得到63%的水库变化量, 两者之间的差异可能反映了该地区地下水的长期变化. 结合大型水库的分布位置与库容量, 基于海平面变化方程计算得到了中国近海相对海平面的空间变化. 水库蓄水导致的渤海与东南沿海海域的相对海平面上升明显, 最大上升高度约为8mm; 而2000年以后的水库对海平面的影响主要集中在东南沿海, 其中南海海域较为突出, 上升高度约为2~3mm, 在此期间蓄水造成的近海不同验潮站位置的海平面增长速度在0.02~0.11mm/a之间变化.
2014, 39(11): 1617-1624.
doi: 10.3799/dqkx.2014.155
摘要:
针对采用矩谐分析方法构建地磁基准图的边界震荡问题, 提出一种基于二维经验模态分解的区域地磁异常数据边界补偿方法.采用二维经验模态分解方法对区域地磁异常数据进行多尺度分解, 对分解所得小尺度本征模态函数分量, 利用总体Hilbert变换法进行瞬时频率和瞬时幅值特征提取, 通过自采样和特征匹配进行边界补偿; 将大尺度分量之和作为趋势项, 利用三角函数方法建立模型并计算边界之外的大尺度磁异常值.实验证明, 相比当前已有方法, 可以更加有效地抑制对区域地磁异常数据进行矩谐分析的边界震荡问题, 稳定提高构建地磁基准图的准确性.
针对采用矩谐分析方法构建地磁基准图的边界震荡问题, 提出一种基于二维经验模态分解的区域地磁异常数据边界补偿方法.采用二维经验模态分解方法对区域地磁异常数据进行多尺度分解, 对分解所得小尺度本征模态函数分量, 利用总体Hilbert变换法进行瞬时频率和瞬时幅值特征提取, 通过自采样和特征匹配进行边界补偿; 将大尺度分量之和作为趋势项, 利用三角函数方法建立模型并计算边界之外的大尺度磁异常值.实验证明, 相比当前已有方法, 可以更加有效地抑制对区域地磁异常数据进行矩谐分析的边界震荡问题, 稳定提高构建地磁基准图的准确性.
2014, 39(11): 1625-1634.
doi: 10.3799/dqkx.2014.156
摘要:
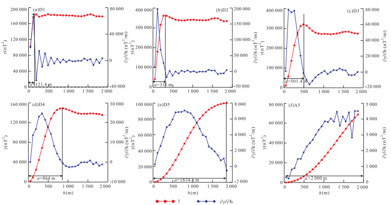
用变差函数研究重磁场的区域变化特征.变差函数的变程反映重磁场的相干范围, 块金效应反映随机干扰, 基台值反映变异程度.重磁场的理论模拟说明: 重力场的相干范围大于磁场, 重磁场变程主要取决于场源深度, 浅源重磁场变差函数近似为球状模型或指数模型, 深源重磁场近似为连续性更好的高斯模型.磁场场源深度近似等于变程的一半, 重力场场源深度近似等于变程的四分之一.湖北大冶铁矿垂直分量磁异常具有几何各向异性, 北西-南东走向, 变差函数推测磁铁矿平均深度为250m.磁异常小波多尺度分解细节和逼近部分磁场具有协调几何各向异性, 变差函数的各阶场源深度估计结果与功率谱估计结果吻合.
用变差函数研究重磁场的区域变化特征.变差函数的变程反映重磁场的相干范围, 块金效应反映随机干扰, 基台值反映变异程度.重磁场的理论模拟说明: 重力场的相干范围大于磁场, 重磁场变程主要取决于场源深度, 浅源重磁场变差函数近似为球状模型或指数模型, 深源重磁场近似为连续性更好的高斯模型.磁场场源深度近似等于变程的一半, 重力场场源深度近似等于变程的四分之一.湖北大冶铁矿垂直分量磁异常具有几何各向异性, 北西-南东走向, 变差函数推测磁铁矿平均深度为250m.磁异常小波多尺度分解细节和逼近部分磁场具有协调几何各向异性, 变差函数的各阶场源深度估计结果与功率谱估计结果吻合.
2014, 39(11): 1635-1643.
doi: 10.3799/dqkx.2014.157
摘要:
利用NGDC720地磁模型提供的磁异常数据, 分析了菲律宾海板块磁异常特征, 进而对磁异常进行多尺度分解, 给出了研究区岩石圈深部和浅部磁异常.结合热流分布特点和磁异常信息, 进一步分析了研究区引起磁异常成因.菲律宾海板块区域的磁异常既反映了该区域岩石圈浅部的构造特征, 也隐含深部构造信息.在西菲律宾海盆以及大东脊构造区, 浅部构造磁异常信息较好地继承了深部构造特征, 反映这些区域岩石圈的整体性特征.四国海盆与帕里西维拉海盆浅部磁异常信息显示了与近代(约10Ma)扩张轴一致的特征, 且磁异常与海底构造走向不一致; 而深部异常显示的帕里西维拉海盆磁异常走向与西菲律宾海盆一致的信息, 可能指示帕里西维拉海盆岩石圈曾与西菲律宾海盆有过类似的演化史.
利用NGDC720地磁模型提供的磁异常数据, 分析了菲律宾海板块磁异常特征, 进而对磁异常进行多尺度分解, 给出了研究区岩石圈深部和浅部磁异常.结合热流分布特点和磁异常信息, 进一步分析了研究区引起磁异常成因.菲律宾海板块区域的磁异常既反映了该区域岩石圈浅部的构造特征, 也隐含深部构造信息.在西菲律宾海盆以及大东脊构造区, 浅部构造磁异常信息较好地继承了深部构造特征, 反映这些区域岩石圈的整体性特征.四国海盆与帕里西维拉海盆浅部磁异常信息显示了与近代(约10Ma)扩张轴一致的特征, 且磁异常与海底构造走向不一致; 而深部异常显示的帕里西维拉海盆磁异常走向与西菲律宾海盆一致的信息, 可能指示帕里西维拉海盆岩石圈曾与西菲律宾海盆有过类似的演化史.
2014, 39(11): 1644-1650.
doi: 10.3799/dqkx.2014.158
摘要:
月壤介电常数是当前月球微波遥感探测的基础, 是月壤厚度、成分等信息提取不可或缺的参数.为了实现全月介电常数反演, 通过对嫦娥二号卫星微波辐射计亮温数据进行时角校正, 得到同一时角的全月微波亮温图.全月微波亮温表现出随月球地形、月壤成分及纬度变化的特征.基于校正后的微波辐射亮温, 结合辐射传输模型, 通过解算相关参数, 反演得到3GHz频率下全月介电常数分布.其中, 月海地区的介电常数实部高于月陆地区, 且月球极地区域介电常数实部偏低; 而介电常数虚部则在月海区域和艾肯盆地较高.通过模拟月表介电常数实验对反演结果进行温度校正, 得到22℃下全月介电常数.将反演结果和月壤真实样品的介电常数测量值进行比较评价.结果表明介电常数实部相对误差都低于11%;虚部相对误差偏大, 但其差值最大仅为0.02.因此, 基于嫦娥二号卫星微波辐射计亮温数据反演月表介电常数的方法是可行的.
月壤介电常数是当前月球微波遥感探测的基础, 是月壤厚度、成分等信息提取不可或缺的参数.为了实现全月介电常数反演, 通过对嫦娥二号卫星微波辐射计亮温数据进行时角校正, 得到同一时角的全月微波亮温图.全月微波亮温表现出随月球地形、月壤成分及纬度变化的特征.基于校正后的微波辐射亮温, 结合辐射传输模型, 通过解算相关参数, 反演得到3GHz频率下全月介电常数分布.其中, 月海地区的介电常数实部高于月陆地区, 且月球极地区域介电常数实部偏低; 而介电常数虚部则在月海区域和艾肯盆地较高.通过模拟月表介电常数实验对反演结果进行温度校正, 得到22℃下全月介电常数.将反演结果和月壤真实样品的介电常数测量值进行比较评价.结果表明介电常数实部相对误差都低于11%;虚部相对误差偏大, 但其差值最大仅为0.02.因此, 基于嫦娥二号卫星微波辐射计亮温数据反演月表介电常数的方法是可行的.




登录
注册
高级检索
邮件订阅
RSS
摘要
HTML全文