2015年 40卷 第11期
2015, 40(11): 1781-1795.
doi: 10.3799/dqkx.2015.159
摘要:
江南造山带被普遍认为是扬子与华夏陆块在新元古代的拼合带, 其拼合机制及精细时代却一直备受争议.在江南造山带中段湘赣交界慈化地区识别出新元古代火山岩, 并对其进行了锆石U-Pb年代学及主微量地球化学研究.该火山岩发育于冷家溪群地层中, 其锆石LA-ICP-MS年代学测试得到了832±12 Ma的206Pb/238U加权平均年龄(n=16, MSWD=0.12), 代表其喷发年龄.主量元素结果显示, SiO2和MgO含量分别为57.67%~61.33%和3.51%~4.29%, Mg#为52~57, 高于正常弧火山岩, 属高镁安山岩.微量元素富集轻稀土元素和大离子亲石元素, 亏损高场强元素, 其Nb-Ta、Ti亏损, 具"弧型"地球化学特征, 可能来源于受板片熔体/流体或者俯冲再循环沉积物交代的难熔地幔源区.上述资料表明, 慈化高镁安山岩是江南造山带中段楔形地幔源区受消减组分交代作用的产物, 暗示此时江南造山带中段仍在消减, 扬子和华夏陆块尚未完全拼合.结合前人研究成果, 江南造山带不同区段的闭合时间可能存在差异.
江南造山带被普遍认为是扬子与华夏陆块在新元古代的拼合带, 其拼合机制及精细时代却一直备受争议.在江南造山带中段湘赣交界慈化地区识别出新元古代火山岩, 并对其进行了锆石U-Pb年代学及主微量地球化学研究.该火山岩发育于冷家溪群地层中, 其锆石LA-ICP-MS年代学测试得到了832±12 Ma的206Pb/238U加权平均年龄(n=16, MSWD=0.12), 代表其喷发年龄.主量元素结果显示, SiO2和MgO含量分别为57.67%~61.33%和3.51%~4.29%, Mg#为52~57, 高于正常弧火山岩, 属高镁安山岩.微量元素富集轻稀土元素和大离子亲石元素, 亏损高场强元素, 其Nb-Ta、Ti亏损, 具"弧型"地球化学特征, 可能来源于受板片熔体/流体或者俯冲再循环沉积物交代的难熔地幔源区.上述资料表明, 慈化高镁安山岩是江南造山带中段楔形地幔源区受消减组分交代作用的产物, 暗示此时江南造山带中段仍在消减, 扬子和华夏陆块尚未完全拼合.结合前人研究成果, 江南造山带不同区段的闭合时间可能存在差异.
2015, 40(11): 1796-1801.
doi: 10.3799/dqkx.2015.160
摘要:
作为一种常用的矿石品位估值方法, 距离幂次反比(inverse distance weighting, 简称IDW)计算结果的可信度难以评估.对此, 提出了一种基于统计学理论的解决途径. 将参与IDW估值的样品品位视为指示化阈值, 推导得出估值过程中其分配到的权重, 即为待估点取这样品值的概率. 基于这一结论构建出IDW估计值对应的条件累计分布函数(conditional cumulative distribution function, 简称CCDF), 从而完成待估位置矿石品位不确定性的建模. 以一典型矿区的实际矿体勘探数据为基础进行了对比测试. 针对每个估值点的CCDF进行了中位数、期望、方差等信息的提取, 验证表明这一方法的计算结果与样品数据的实际情况之间存在较好的吻合度. 在一定程度上说明了它在IDW品位估值结果不确定性评价方面的有效性.
作为一种常用的矿石品位估值方法, 距离幂次反比(inverse distance weighting, 简称IDW)计算结果的可信度难以评估.对此, 提出了一种基于统计学理论的解决途径. 将参与IDW估值的样品品位视为指示化阈值, 推导得出估值过程中其分配到的权重, 即为待估点取这样品值的概率. 基于这一结论构建出IDW估计值对应的条件累计分布函数(conditional cumulative distribution function, 简称CCDF), 从而完成待估位置矿石品位不确定性的建模. 以一典型矿区的实际矿体勘探数据为基础进行了对比测试. 针对每个估值点的CCDF进行了中位数、期望、方差等信息的提取, 验证表明这一方法的计算结果与样品数据的实际情况之间存在较好的吻合度. 在一定程度上说明了它在IDW品位估值结果不确定性评价方面的有效性.
2015, 40(11): 1802-1809.
doi: 10.3799/dqkx.2015.161
摘要:
不同斑岩铜矿的构造地质、成矿时代和控矿因素具有其特殊性, 所以需要针对具体的矿区开展地质调查以获取矿区标志性蚀变矿物组合信息, 从而利用遥感技术手段提取矿区蚀变信息, 确定找矿远景区.通过综合分析秘鲁南部斑岩铜矿地质特征、控矿因素, 确立了以泥化-绢英岩化和青磐岩化组合蚀变矿物带为遥感找矿指示标志, 并以ASTER数据为遥感数据源开展蚀变矿物信息提取技术研究, 结合已有矿区地质资料、高光谱影像和实地勘查结果, 验证了典型蚀变带矿物信息提取结果的可靠性, 另圈定了2处找矿远景区.在综合分析、梳理已有研究基础上, 构建了多光谱遥感找矿模式, 并在智利、阿根廷等其他多个斑岩铜矿区取得了较好的应用效果.
不同斑岩铜矿的构造地质、成矿时代和控矿因素具有其特殊性, 所以需要针对具体的矿区开展地质调查以获取矿区标志性蚀变矿物组合信息, 从而利用遥感技术手段提取矿区蚀变信息, 确定找矿远景区.通过综合分析秘鲁南部斑岩铜矿地质特征、控矿因素, 确立了以泥化-绢英岩化和青磐岩化组合蚀变矿物带为遥感找矿指示标志, 并以ASTER数据为遥感数据源开展蚀变矿物信息提取技术研究, 结合已有矿区地质资料、高光谱影像和实地勘查结果, 验证了典型蚀变带矿物信息提取结果的可靠性, 另圈定了2处找矿远景区.在综合分析、梳理已有研究基础上, 构建了多光谱遥感找矿模式, 并在智利、阿根廷等其他多个斑岩铜矿区取得了较好的应用效果.
2015, 40(11): 1810-1823.
doi: 10.3799/dqkx.2015.162
摘要:
页岩气的成功勘探开发引发了全球海相页岩研究的热潮, 然而对处于生油窗内的陆相页岩储集性能的研究尚需加强.基于光学薄片、场发射扫描电镜、环境扫描电镜、纳米CT、图像分析、GRI物性、气体吸附等方法对长7段泥页岩储集性能进行系统研究.结果表明: 长7段泥页岩形成于陆相半深湖-深湖环境, 面积为10×104 km2, TOC>2%, Ro=0.8%~1.0%, HI=124~480 mg/g, 生烃潜力高; 脆性矿物含量为45%~59%, 孔隙度为0.6%~3.8%, 渗透率为0.000 72×10-3~0.002 30×10-3 μm2; 主要发育粒内孔、粒间孔和有机质孔, 以伊蒙混层等粘土矿物粒内孔为主, 有机质孔较少; 孔隙直径为30~200 nm, 孔喉系统连通性中等, 具备储集能力; 伊蒙混层等粘土矿物含量与比孔容相关性优于热演化程度与烃指数等, 表明长7页岩微观孔隙主要受控于成岩作用, 有机质生烃作用对储集空间贡献相对较小; 滞留烃主要以吸附态和游离态存在于黄铁矿晶间孔、伊蒙混层粒内孔、伊利石粒内孔与长石粒间孔.
页岩气的成功勘探开发引发了全球海相页岩研究的热潮, 然而对处于生油窗内的陆相页岩储集性能的研究尚需加强.基于光学薄片、场发射扫描电镜、环境扫描电镜、纳米CT、图像分析、GRI物性、气体吸附等方法对长7段泥页岩储集性能进行系统研究.结果表明: 长7段泥页岩形成于陆相半深湖-深湖环境, 面积为10×104 km2, TOC>2%, Ro=0.8%~1.0%, HI=124~480 mg/g, 生烃潜力高; 脆性矿物含量为45%~59%, 孔隙度为0.6%~3.8%, 渗透率为0.000 72×10-3~0.002 30×10-3 μm2; 主要发育粒内孔、粒间孔和有机质孔, 以伊蒙混层等粘土矿物粒内孔为主, 有机质孔较少; 孔隙直径为30~200 nm, 孔喉系统连通性中等, 具备储集能力; 伊蒙混层等粘土矿物含量与比孔容相关性优于热演化程度与烃指数等, 表明长7页岩微观孔隙主要受控于成岩作用, 有机质生烃作用对储集空间贡献相对较小; 滞留烃主要以吸附态和游离态存在于黄铁矿晶间孔、伊蒙混层粒内孔、伊利石粒内孔与长石粒间孔.
2015, 40(11): 1824-1833.
doi: 10.3799/dqkx.2015.163
摘要:
有机储集空间是页岩的重要储集类型, 但对处于生油窗内的湖相页岩是否发育有机储集空间却缺少研究.系统采集处于生油窗范围内不同演化程度的湖相页岩样品, 利用氩离子抛光样品制备技术, 分别使用Quanta200扫描电镜及EDAX能谱仪联机和JSM-6700f冷场发射扫描电子显微镜对湖相页岩进行微观特征观察和岩石组分分析, 背散射图像和二次电子图像均显示, 页岩内大量发育呈暗色条带状的有机质-粘土-碳酸盐和有机质-粘土-硫酸盐混合体.该混合体内极易发育孔隙, 从2 500~4 000 m, 该类孔隙连续分布, 当埋深小于3 600 m时, 这类孔隙的尺度一般为微米级, 但随着演化程度增高纳米孔隙增加, 并且呈密集分布.混合体内孔隙的发育分别与页岩含油饱和度迅速增高及游离有机酸含量的增加同步, 该类孔隙的发育不仅仅取决于生烃作用, 它的形成是生烃转化和有机酸溶蚀共同作用的结果.上述结果表明, 在生油窗范围内湖相页岩中, 有机质与无机矿物作为整体共同演化且相互作用, 在生烃与溶蚀叠合作用下形成了丰富的有机质-矿物混合体内储集空间, 该储集类型对陆相页岩油气赋存具有重要意义.
有机储集空间是页岩的重要储集类型, 但对处于生油窗内的湖相页岩是否发育有机储集空间却缺少研究.系统采集处于生油窗范围内不同演化程度的湖相页岩样品, 利用氩离子抛光样品制备技术, 分别使用Quanta200扫描电镜及EDAX能谱仪联机和JSM-6700f冷场发射扫描电子显微镜对湖相页岩进行微观特征观察和岩石组分分析, 背散射图像和二次电子图像均显示, 页岩内大量发育呈暗色条带状的有机质-粘土-碳酸盐和有机质-粘土-硫酸盐混合体.该混合体内极易发育孔隙, 从2 500~4 000 m, 该类孔隙连续分布, 当埋深小于3 600 m时, 这类孔隙的尺度一般为微米级, 但随着演化程度增高纳米孔隙增加, 并且呈密集分布.混合体内孔隙的发育分别与页岩含油饱和度迅速增高及游离有机酸含量的增加同步, 该类孔隙的发育不仅仅取决于生烃作用, 它的形成是生烃转化和有机酸溶蚀共同作用的结果.上述结果表明, 在生油窗范围内湖相页岩中, 有机质与无机矿物作为整体共同演化且相互作用, 在生烃与溶蚀叠合作用下形成了丰富的有机质-矿物混合体内储集空间, 该储集类型对陆相页岩油气赋存具有重要意义.
2015, 40(11): 1834-1845.
doi: 10.3799/dqkx.2015.164
摘要:
南堡凹陷深部油气资源丰富, 油气成因研究薄弱.首次采用高分辨质谱(负离子电喷雾离子源(electrospray ionization, 简称ESI)傅里叶变换离子回旋共振质谱(Fourier transform ion cyclotron resonance mass spectrometry, 简称FT-ICR MS)技术对南堡凹陷原油中杂原子化合物的组成与分布特征及其地球化学意义进行了研究.应用负离子ESI FT-ICR MS检测出9种主要杂原子组合类型, 分别为N1、N1O1、N1O2、N1O3、N2、O1、O2、O3和O4类, 其中N1、O1和O2类在所有样品中普遍存在且相对丰度较高.经研究发现成熟度对原油中N1、O1类化合物碳数分布、缩合度有明显的控制作用.实验观察到N1类DBE(等效双键数)=12, 15的高低分子量同系物相对丰度参数C16-20/C21-50-DBE12-N1和C20-24/C25-50-DBE15-N1、N1类缩合度参数DBE12/DBE9-N1及O1类缩合度参数DBE8-9/DBE4-O1与成熟度指标Ts/Tm、TMNr具有良好的相关性, 认为它们可作为该区原油成熟度评价指标, 反映烃类演化的热动力学原理.南堡凹陷不同层系原油高分辨质谱特征有明显差异, 指示其可应用于母源岩性质识别.综合研究认为, FT-ICR MS在成熟度评价、油气成因与油源识别等方面地球化学意义显著, 其在油气地球化学理论研究和油气勘探中具有潜在的应用价值.
南堡凹陷深部油气资源丰富, 油气成因研究薄弱.首次采用高分辨质谱(负离子电喷雾离子源(electrospray ionization, 简称ESI)傅里叶变换离子回旋共振质谱(Fourier transform ion cyclotron resonance mass spectrometry, 简称FT-ICR MS)技术对南堡凹陷原油中杂原子化合物的组成与分布特征及其地球化学意义进行了研究.应用负离子ESI FT-ICR MS检测出9种主要杂原子组合类型, 分别为N1、N1O1、N1O2、N1O3、N2、O1、O2、O3和O4类, 其中N1、O1和O2类在所有样品中普遍存在且相对丰度较高.经研究发现成熟度对原油中N1、O1类化合物碳数分布、缩合度有明显的控制作用.实验观察到N1类DBE(等效双键数)=12, 15的高低分子量同系物相对丰度参数C16-20/C21-50-DBE12-N1和C20-24/C25-50-DBE15-N1、N1类缩合度参数DBE12/DBE9-N1及O1类缩合度参数DBE8-9/DBE4-O1与成熟度指标Ts/Tm、TMNr具有良好的相关性, 认为它们可作为该区原油成熟度评价指标, 反映烃类演化的热动力学原理.南堡凹陷不同层系原油高分辨质谱特征有明显差异, 指示其可应用于母源岩性质识别.综合研究认为, FT-ICR MS在成熟度评价、油气成因与油源识别等方面地球化学意义显著, 其在油气地球化学理论研究和油气勘探中具有潜在的应用价值.
2015, 40(11): 1846-1857.
doi: 10.3799/dqkx.2015.165
摘要:
系统剖析流花11-1礁灰岩油藏储层烃类的生物降解特征, 揭示油藏底水与隔夹层对原油生物降解程度具有显著控制效应, 这使得油藏原油生物降解程度及其分布预测更加复杂化.研究发现, 流花11-1油藏具有统一的油水界面, 油源类型单一, 原油成熟度较高且分布较窄, 可能为短期快速充注所形成的油藏.原油普遍遭受生物降解, 降解程度均小于6级.垂向上, 隔夹层虽可引起局部储层烃类降解程度的倒转, 但单井油柱生物降解等级仍以储层与油水界面的距离为主要控制因素, 表现为降解程度由顶部向底部呈明显梯度变化, 油藏底水控制效应明显.横向上, 油藏降解程度的差异主要由隔夹层控制下储层内原油与活跃底水的接触程度不同导致.在隔夹层密集发育区流体运动受阻, 进而使微生物营养物质供应不足, 代谢物质交换不畅, 原油降解程度相对较低.在上述研究的基础上, 建立了油藏底水与储层非均质性对原油生物降解程度的控制效应模型, 并探讨了该方法在稠油油藏开发中的应用.
系统剖析流花11-1礁灰岩油藏储层烃类的生物降解特征, 揭示油藏底水与隔夹层对原油生物降解程度具有显著控制效应, 这使得油藏原油生物降解程度及其分布预测更加复杂化.研究发现, 流花11-1油藏具有统一的油水界面, 油源类型单一, 原油成熟度较高且分布较窄, 可能为短期快速充注所形成的油藏.原油普遍遭受生物降解, 降解程度均小于6级.垂向上, 隔夹层虽可引起局部储层烃类降解程度的倒转, 但单井油柱生物降解等级仍以储层与油水界面的距离为主要控制因素, 表现为降解程度由顶部向底部呈明显梯度变化, 油藏底水控制效应明显.横向上, 油藏降解程度的差异主要由隔夹层控制下储层内原油与活跃底水的接触程度不同导致.在隔夹层密集发育区流体运动受阻, 进而使微生物营养物质供应不足, 代谢物质交换不畅, 原油降解程度相对较低.在上述研究的基础上, 建立了油藏底水与储层非均质性对原油生物降解程度的控制效应模型, 并探讨了该方法在稠油油藏开发中的应用.
2015, 40(11): 1858-1869.
doi: 10.3799/dqkx.2015.166
摘要:
在大陆动力学和地球系统动力学创新思想指导下, 干热岩地热能的开发将对未来的能源革命和工业革命起到关键的作用, 然而目前干热岩地质理论研究十分薄弱.从地质学和经济学的角度讨论干热岩的定义; 以大陆盆山热构造系统为基础, 提出地热能综合分类方案; 根据岩石流变学和构造物理学理论, 探讨在固态、半固态流变环境下干热岩的构造岩石系统; 在活动盆山构造系统地壳四维非均匀流变思想指导下, 探讨干热岩的分布规律和形成机理; 提出将地球系统动力学的思想贯穿到干热岩及其关联的资源、灾害、环境、工程地质的调查研究与应用的各个环节之中, 并建议在华北、青藏高原及其邻区、东南沿海、台湾4种不同类型的热构造活动区进行联合勘查、综合评价与系统开发.
在大陆动力学和地球系统动力学创新思想指导下, 干热岩地热能的开发将对未来的能源革命和工业革命起到关键的作用, 然而目前干热岩地质理论研究十分薄弱.从地质学和经济学的角度讨论干热岩的定义; 以大陆盆山热构造系统为基础, 提出地热能综合分类方案; 根据岩石流变学和构造物理学理论, 探讨在固态、半固态流变环境下干热岩的构造岩石系统; 在活动盆山构造系统地壳四维非均匀流变思想指导下, 探讨干热岩的分布规律和形成机理; 提出将地球系统动力学的思想贯穿到干热岩及其关联的资源、灾害、环境、工程地质的调查研究与应用的各个环节之中, 并建议在华北、青藏高原及其邻区、东南沿海、台湾4种不同类型的热构造活动区进行联合勘查、综合评价与系统开发.
2015, 40(11): 1870-1875.
doi: 10.3799/dqkx.2015.167
摘要:
地层水特征是研究盆地演化及稠油分布的重要因素.稠油在辽河盆地已探明的石油储量中占有重要比例, 地层水化学场研究是预测稠油分布的基础,利用地层水地球化学特征和同位素资料研究地层水来源,分析水介质条件对原油降解稠化的影响.研究表明:西部凹陷地层水的矿化度和离子构成受深度控制,具有“垂向流”特征;其化学组成及变化规律的差异反映了不同地区地表水注入强度及局部地下水运动特征的变化,地表水注入强度及运动特征的差异是原油生物降解程度不同的主要原因,地下水的循环特征决定了其化学条件和原油生物降解程度,地表水淋滤作用是降解型稠油发育的必要条件.
地层水特征是研究盆地演化及稠油分布的重要因素.稠油在辽河盆地已探明的石油储量中占有重要比例, 地层水化学场研究是预测稠油分布的基础,利用地层水地球化学特征和同位素资料研究地层水来源,分析水介质条件对原油降解稠化的影响.研究表明:西部凹陷地层水的矿化度和离子构成受深度控制,具有“垂向流”特征;其化学组成及变化规律的差异反映了不同地区地表水注入强度及局部地下水运动特征的变化,地表水注入强度及运动特征的差异是原油生物降解程度不同的主要原因,地下水的循环特征决定了其化学条件和原油生物降解程度,地表水淋滤作用是降解型稠油发育的必要条件.
2015, 40(11): 1876-1886.
doi: 10.3799/dqkx.2015.168
摘要:
查明地下水中砷的时间变异性规律及机理是高砷地下水研究的难点和热点, 也是防控地下水砷污染的根本.选择在雨季前后对浅层潜水和孔隙承压水进行了动态监测.研究表明地下水砷含量和形态与地下水位波动存在明显的响应关系: 雨季开始后随着地下水位抬升, 地下水还原环境增强, As(Ⅴ)和Asp转化成As(Ⅲ), 颗粒态铁大幅降低, 导致水中溶解的砷和铁大幅增加, 地下水砷含量在雨季达到最高且As(Ⅲ)所占比例达到90%;雨季结束后随着水位逐渐降低, 地下水中As(Ⅲ)所占比例和溶解的砷含量下降.农业活动对浅层潜水砷形态季节性变化有明显的影响.孔隙承压水的砷形态分布变化较浅层潜水幅度大, 其变化与水位波动存在滞后效应.自然或人为活动引起的地下水位季节性变化改变了含水层的氧化还原环境, 补给水源与地下水之间的混合过程带来新的物质输入促进地下水系统中砷的迁移转化.
查明地下水中砷的时间变异性规律及机理是高砷地下水研究的难点和热点, 也是防控地下水砷污染的根本.选择在雨季前后对浅层潜水和孔隙承压水进行了动态监测.研究表明地下水砷含量和形态与地下水位波动存在明显的响应关系: 雨季开始后随着地下水位抬升, 地下水还原环境增强, As(Ⅴ)和Asp转化成As(Ⅲ), 颗粒态铁大幅降低, 导致水中溶解的砷和铁大幅增加, 地下水砷含量在雨季达到最高且As(Ⅲ)所占比例达到90%;雨季结束后随着水位逐渐降低, 地下水中As(Ⅲ)所占比例和溶解的砷含量下降.农业活动对浅层潜水砷形态季节性变化有明显的影响.孔隙承压水的砷形态分布变化较浅层潜水幅度大, 其变化与水位波动存在滞后效应.自然或人为活动引起的地下水位季节性变化改变了含水层的氧化还原环境, 补给水源与地下水之间的混合过程带来新的物质输入促进地下水系统中砷的迁移转化.
2015, 40(11): 1887-1895.
doi: 10.3799/dqkx.2015.169
摘要:
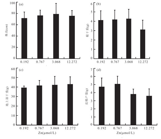
微咸水在西北干旱区广泛分布, 越来越多地被运用于灌溉棉花(Gossypium hirsutum L.)等作物.微咸水中NaCl和微量元素含量比淡水高, 有关NaCl和微量元素各自对棉花生长的影响已有大量研究, 而他们对棉花生长的相互作用研究比较缺乏.选取对棉花生长作用敏感的NaCl和微量元素Zn, 开展不同NaCl和Zn浓度灌溉水盆栽试验.结果表明, 缺Zn环境下, 在灌溉水电导率为2.90~3.95 dS/m的范围内, 随着电导率增大, NaCl促进棉花根和地上部生长及皮棉产量增加.富Zn环境下, 灌溉水电导率大于5.04 dS/m时, 随着电导率增大皮棉产量明显下降.在灌溉水中Zn浓度为0.192 0~3.068 0 μmol/L的范围内, Zn浓度越大棉花营养生长越快; 大于0.767 6 μmol/L时, 随着Zn浓度增大皮棉产量下降.灌溉水中NaCl和Zn对棉花生长和产量的影响作用, 表现为相互拮抗作用关系.棉花叶的Ca、K、Mg、B和Fe含量以及铃的Cu和Zn含量高于其他组织, Na和Mn不易迁移, 易富集在棉花根部.Zn在盐胁迫条件下影响棉花对营养元素的吸收, 使棉花体内相关营养元素含量发生变化, 进而影响棉花生长及产量.
微咸水在西北干旱区广泛分布, 越来越多地被运用于灌溉棉花(Gossypium hirsutum L.)等作物.微咸水中NaCl和微量元素含量比淡水高, 有关NaCl和微量元素各自对棉花生长的影响已有大量研究, 而他们对棉花生长的相互作用研究比较缺乏.选取对棉花生长作用敏感的NaCl和微量元素Zn, 开展不同NaCl和Zn浓度灌溉水盆栽试验.结果表明, 缺Zn环境下, 在灌溉水电导率为2.90~3.95 dS/m的范围内, 随着电导率增大, NaCl促进棉花根和地上部生长及皮棉产量增加.富Zn环境下, 灌溉水电导率大于5.04 dS/m时, 随着电导率增大皮棉产量明显下降.在灌溉水中Zn浓度为0.192 0~3.068 0 μmol/L的范围内, Zn浓度越大棉花营养生长越快; 大于0.767 6 μmol/L时, 随着Zn浓度增大皮棉产量下降.灌溉水中NaCl和Zn对棉花生长和产量的影响作用, 表现为相互拮抗作用关系.棉花叶的Ca、K、Mg、B和Fe含量以及铃的Cu和Zn含量高于其他组织, Na和Mn不易迁移, 易富集在棉花根部.Zn在盐胁迫条件下影响棉花对营养元素的吸收, 使棉花体内相关营养元素含量发生变化, 进而影响棉花生长及产量.
2015, 40(11): 1896-1903.
doi: 10.3799/dqkx.2015.170
摘要:
污水中的悬浮物、盐分和有机营养物对土壤孔隙状况产生了深刻的影响.通过室内模拟和CT(computed tomography)扫描的方法, 定量研究污水灌溉条件下土壤孔隙数、孔隙度及形态特征.结果表明: 与对照点相比, 污水灌溉区上层土壤总孔隙数和大孔隙数(当量直径≥1.00 mm)均显著升高, 而下层土壤总孔隙数、大孔隙数、粗孔隙数(当量直径为0.26~1.00 mm)、总孔隙度、大孔隙度和粗孔隙度均显著降低(p<0.05);在模拟悬浮液和盐液灌溉条件下, 土壤总孔隙数、粗孔隙数和粗孔隙度均有所升高, 而大孔隙数、总孔隙度、大孔隙度和孔隙成圆率均有所降低; 在模拟营养液灌溉条件下, 土壤总孔隙数、大孔隙数、粗孔隙数和粗孔隙度均有所增加, 而孔隙成圆率有所降低; 对于研究区土壤来说, 悬浮液灌溉对土壤孔隙的影响效应强于盐液灌溉; 对于同种性质的污水灌溉来说, 污灌对对照点土壤孔隙的影响效应强于污灌区土壤.
污水中的悬浮物、盐分和有机营养物对土壤孔隙状况产生了深刻的影响.通过室内模拟和CT(computed tomography)扫描的方法, 定量研究污水灌溉条件下土壤孔隙数、孔隙度及形态特征.结果表明: 与对照点相比, 污水灌溉区上层土壤总孔隙数和大孔隙数(当量直径≥1.00 mm)均显著升高, 而下层土壤总孔隙数、大孔隙数、粗孔隙数(当量直径为0.26~1.00 mm)、总孔隙度、大孔隙度和粗孔隙度均显著降低(p<0.05);在模拟悬浮液和盐液灌溉条件下, 土壤总孔隙数、粗孔隙数和粗孔隙度均有所升高, 而大孔隙数、总孔隙度、大孔隙度和孔隙成圆率均有所降低; 在模拟营养液灌溉条件下, 土壤总孔隙数、大孔隙数、粗孔隙数和粗孔隙度均有所增加, 而孔隙成圆率有所降低; 对于研究区土壤来说, 悬浮液灌溉对土壤孔隙的影响效应强于盐液灌溉; 对于同种性质的污水灌溉来说, 污灌对对照点土壤孔隙的影响效应强于污灌区土壤.
2015, 40(11): 1904-1912.
doi: 10.3799/dqkx.2015.171
摘要:
岩体变形模量是岩体工程设计最重要的参数之一.由于受到资金、时间、尺寸效应等限制, 在工程勘察设计阶段往往不可能大量开展岩体现场和室内变形模量试验, 试验结果也不具有普遍代表性.因此, 水电工程常常采用岩体纵波波速与变形模量之间的相关关系来估算大范围及深部岩体变形模量.根据波动微分方程从理论上解释了岩体纵波波速与变形模量之间内在的联系.以我国西南金沙江干流上坝基主要为玄武岩体的4个大型水电工程为例, 根据132组现场变形模量试验结果与同向波速测试结果建立玄武岩体波速与变形模量相关方程, 并与也有的研究成果对比分析.研究成果表明, 玄武岩体波速与变形模量具有较好的相关性.当波速小于4 500 m/s时, 不同类型玄武岩根据波速计算变形模量差别较小; 当波速大于4 500 m/s时, 差别逐渐增加.选取最优的相关方程用于估算坝基玄武岩体变形模量, 为水电工程坝基玄武岩体变形模量的快捷评价提供科学依据.
岩体变形模量是岩体工程设计最重要的参数之一.由于受到资金、时间、尺寸效应等限制, 在工程勘察设计阶段往往不可能大量开展岩体现场和室内变形模量试验, 试验结果也不具有普遍代表性.因此, 水电工程常常采用岩体纵波波速与变形模量之间的相关关系来估算大范围及深部岩体变形模量.根据波动微分方程从理论上解释了岩体纵波波速与变形模量之间内在的联系.以我国西南金沙江干流上坝基主要为玄武岩体的4个大型水电工程为例, 根据132组现场变形模量试验结果与同向波速测试结果建立玄武岩体波速与变形模量相关方程, 并与也有的研究成果对比分析.研究成果表明, 玄武岩体波速与变形模量具有较好的相关性.当波速小于4 500 m/s时, 不同类型玄武岩根据波速计算变形模量差别较小; 当波速大于4 500 m/s时, 差别逐渐增加.选取最优的相关方程用于估算坝基玄武岩体变形模量, 为水电工程坝基玄武岩体变形模量的快捷评价提供科学依据.
2015, 40(11): 1913-1921.
doi: 10.3799/dqkx.2015.172
摘要:
随着全球对天然气水合物勘探与开发的关注越来越多, 水合物地层钻井技术的研究也得到了日益重视.但是, 水合物地层钻井存在井内水合物分解与重新生成从而影响井内安全的严重问题.为了解决这一问题, 针对水合物地层的钻井特点, 结合现有的纳米材料, 通过大量实验优选出一种适合海洋天然气水合物地层钻井用的纳米SiO2钻井液: 海水+2%纳米SiO2+3%膨润土+1%Na-CMC+3%SMP-2+1%PVP(K90)+2%KCl, 并对其低温常规性能和水合物生成抑制性能进行了实验评价.实验结果表明, 该钻井液具有适中的密度、良好的低温流变性和泥页岩水化抑制性, 并能够长时间有效抑制近井壁地层中的水合物分解气在钻井液循环系统中重新生成水合物, 有利于保障井内安全和钻井作业的顺利实施.
随着全球对天然气水合物勘探与开发的关注越来越多, 水合物地层钻井技术的研究也得到了日益重视.但是, 水合物地层钻井存在井内水合物分解与重新生成从而影响井内安全的严重问题.为了解决这一问题, 针对水合物地层的钻井特点, 结合现有的纳米材料, 通过大量实验优选出一种适合海洋天然气水合物地层钻井用的纳米SiO2钻井液: 海水+2%纳米SiO2+3%膨润土+1%Na-CMC+3%SMP-2+1%PVP(K90)+2%KCl, 并对其低温常规性能和水合物生成抑制性能进行了实验评价.实验结果表明, 该钻井液具有适中的密度、良好的低温流变性和泥页岩水化抑制性, 并能够长时间有效抑制近井壁地层中的水合物分解气在钻井液循环系统中重新生成水合物, 有利于保障井内安全和钻井作业的顺利实施.
2015, 40(11): 1922-1932.
doi: 10.3799/dqkx.2015.173
摘要:
自钻式原位剪切旁压试验(self-boring in-situ shear pressure-meter)以其独特的多级加载方式, 能够直接测出土体的强度和变形参数, 然而, 目前对探头周围土体变形机理研究较少.为揭示自钻式原位剪切旁压仪试验过程中测定器周围土颗粒变形机理, 应用PFC3D(particle flow code in three dimensions)颗粒流程序对自钻式原位剪切旁压试验进行了仿真数值模拟, 对多级加载过程中探头周围土体的位移场和应力场发展变化以及数值试样各阶段变形模量和土颗粒运动轨迹进行了分析研究.试验结果表明: 随着剪应力的逐级施加, 中间区域颗粒的位移量不断增大, 且位移矢量方向性更加显著.径向应力在探头附近两侧形成近似呈对称分布的数个"应力核"; 竖向应力在探头两侧形成扁平状应力带, 且在肩部形成应力集中区.中部区域球颗粒的运动轨迹成台阶状, 且随距探头距离的增大由近到远可分为3个特征区域; 球颗粒的Z向和XY向位移量亦随之呈负指数形式衰减, Z向位移量衰减速率更快.
自钻式原位剪切旁压试验(self-boring in-situ shear pressure-meter)以其独特的多级加载方式, 能够直接测出土体的强度和变形参数, 然而, 目前对探头周围土体变形机理研究较少.为揭示自钻式原位剪切旁压仪试验过程中测定器周围土颗粒变形机理, 应用PFC3D(particle flow code in three dimensions)颗粒流程序对自钻式原位剪切旁压试验进行了仿真数值模拟, 对多级加载过程中探头周围土体的位移场和应力场发展变化以及数值试样各阶段变形模量和土颗粒运动轨迹进行了分析研究.试验结果表明: 随着剪应力的逐级施加, 中间区域颗粒的位移量不断增大, 且位移矢量方向性更加显著.径向应力在探头附近两侧形成近似呈对称分布的数个"应力核"; 竖向应力在探头两侧形成扁平状应力带, 且在肩部形成应力集中区.中部区域球颗粒的运动轨迹成台阶状, 且随距探头距离的增大由近到远可分为3个特征区域; 球颗粒的Z向和XY向位移量亦随之呈负指数形式衰减, Z向位移量衰减速率更快.
2015, 40(11): 1933-1944.
doi: 10.3799/dqkx.2015.174
摘要:
米兰科维奇旋回是记录在沉积地层中的表现形式, 其代表的时间涵义是进行高分辨率地层划分和对比的有效手段, 从地层中揭示的米兰科维奇旋回, 可以完善地层学尤其是旋回地层学理论.以北黄海东部坳陷为研究对象, 根据J. Laskar的解决方案计算出该区始新统的米兰科维奇旋回周期为: 125 ka和99 ka的偏心率周期, 51 ka和39 ka的地轴斜率周期, 23 ka和19 ka的岁差周期.通过对3口井的GR(自然伽马)和SP(自然电位)测井曲线进行频谱分析, 发现其频谱峰值与天文周期存在着良好的对应关系, 因此可以判定该区域地层中保存着完好的米兰科维奇沉积旋回.地层旋回厚度存在13.03~15.89 m的长周期、3.70~5.21 m的中周期和2.17~2.94 m的短周期, 并由此计算地层的沉积速率为121.20~127.12 m/Ma.从隆起沿着斜坡往湖盆中心, 沉积持续时间越长且沉积厚度也越厚, 但沉积速率相对稳定.通过连续小波变换对始新统地层进行小层划分, 划分出6期沉积体, 以每个沉积体为独立窗口进行频谱分析计算出沉积的持续时间和速率, 从气候变化的影响分析每个阶段的沉积环境.从下往上层序地层E6期为低水位体系域, E5和E4为湖泊扩张体系域, E3为高位体系域, E2和E1为湖泊收缩体系域.以上方法可以证明米兰科维奇进行沉积旋回分析是一种有效的方法.
米兰科维奇旋回是记录在沉积地层中的表现形式, 其代表的时间涵义是进行高分辨率地层划分和对比的有效手段, 从地层中揭示的米兰科维奇旋回, 可以完善地层学尤其是旋回地层学理论.以北黄海东部坳陷为研究对象, 根据J. Laskar的解决方案计算出该区始新统的米兰科维奇旋回周期为: 125 ka和99 ka的偏心率周期, 51 ka和39 ka的地轴斜率周期, 23 ka和19 ka的岁差周期.通过对3口井的GR(自然伽马)和SP(自然电位)测井曲线进行频谱分析, 发现其频谱峰值与天文周期存在着良好的对应关系, 因此可以判定该区域地层中保存着完好的米兰科维奇沉积旋回.地层旋回厚度存在13.03~15.89 m的长周期、3.70~5.21 m的中周期和2.17~2.94 m的短周期, 并由此计算地层的沉积速率为121.20~127.12 m/Ma.从隆起沿着斜坡往湖盆中心, 沉积持续时间越长且沉积厚度也越厚, 但沉积速率相对稳定.通过连续小波变换对始新统地层进行小层划分, 划分出6期沉积体, 以每个沉积体为独立窗口进行频谱分析计算出沉积的持续时间和速率, 从气候变化的影响分析每个阶段的沉积环境.从下往上层序地层E6期为低水位体系域, E5和E4为湖泊扩张体系域, E3为高位体系域, E2和E1为湖泊收缩体系域.以上方法可以证明米兰科维奇进行沉积旋回分析是一种有效的方法.




登录
注册
高级检索
邮件订阅
RSS
摘要
HTML全文