2018年 43卷 第3期
显示方式:
2018, 43(3): 635-654.
doi: 10.3799/dqkx.2018.900
摘要:
出露于扬子板块东南缘的九宫山片麻状花岗岩侵位于早新元古代双桥山群.通过阴极发光图像分析和LA-ICP-MS锆石U-Pb年龄测试表明,九宫山岩体的岩浆结晶年龄为830±8 Ma;4个继承锆石分析点给出加权平均值为873±7 Ma的年龄值,可能记录了新元古代早期扬子与华夏板块碰撞产生的岩浆活动.九宫山岩体具有高SiO2(71.83%~74.20%)、高K2O+Na2O(7.06%~7.90%)、低基性组分(∑TiO2+FeOT+MgO=2.64%~4.00%)的含量特征,高K2O/Na2O比值(1.25~1.64),铝饱和指数(A/CNK)为1.03~1.27,主要为弱过铝质花岗岩.岩石具有轻稀土富集的右倾模式和明显的Eu负异常(Eu/Eu*=0.35~0.47),K、Rb、Th、U等大离子亲石元素富集,Sr、P、Nb、Ta、Ti等相对亏损.全岩εNd(t)值为-1.49~+5.24,同岩浆锆石和继承锆石的εHf(t)值分别为3.5±1.0~11.0±1.1、5.1±0.9~12.9±1.1,指示岩浆源区含有显著的新生地壳物质.九宫山岩体可能形成于陆内裂谷环境,由类似双桥山群的变质砂屑岩和火山岩部分熔融形成.区域对比表明,江南造山带新元古代中期花岗岩的Nd-Hf同位素组成具有从东向西逐渐降低的特征,表明该区早新元古代时期新生地壳物质对花岗岩的影响由东向西呈减弱趋势,这可能是扬子与华夏板块碰撞拼合过程中岛弧岩浆作用由东向西逐渐减弱而使新生地壳物质减少所引起.
出露于扬子板块东南缘的九宫山片麻状花岗岩侵位于早新元古代双桥山群.通过阴极发光图像分析和LA-ICP-MS锆石U-Pb年龄测试表明,九宫山岩体的岩浆结晶年龄为830±8 Ma;4个继承锆石分析点给出加权平均值为873±7 Ma的年龄值,可能记录了新元古代早期扬子与华夏板块碰撞产生的岩浆活动.九宫山岩体具有高SiO2(71.83%~74.20%)、高K2O+Na2O(7.06%~7.90%)、低基性组分(∑TiO2+FeOT+MgO=2.64%~4.00%)的含量特征,高K2O/Na2O比值(1.25~1.64),铝饱和指数(A/CNK)为1.03~1.27,主要为弱过铝质花岗岩.岩石具有轻稀土富集的右倾模式和明显的Eu负异常(Eu/Eu*=0.35~0.47),K、Rb、Th、U等大离子亲石元素富集,Sr、P、Nb、Ta、Ti等相对亏损.全岩εNd(t)值为-1.49~+5.24,同岩浆锆石和继承锆石的εHf(t)值分别为3.5±1.0~11.0±1.1、5.1±0.9~12.9±1.1,指示岩浆源区含有显著的新生地壳物质.九宫山岩体可能形成于陆内裂谷环境,由类似双桥山群的变质砂屑岩和火山岩部分熔融形成.区域对比表明,江南造山带新元古代中期花岗岩的Nd-Hf同位素组成具有从东向西逐渐降低的特征,表明该区早新元古代时期新生地壳物质对花岗岩的影响由东向西呈减弱趋势,这可能是扬子与华夏板块碰撞拼合过程中岛弧岩浆作用由东向西逐渐减弱而使新生地壳物质减少所引起.
2018, 43(3): 655-671.
doi: 10.3799/dqkx.2018.901
摘要:
为研究兴蒙造山带-华北克拉通地球化学走廊带区域地球化学组成及其横向空间变化,统计分析不同地理单元和五万图幅单元的REE含量并绘制其空间分布折线图.内蒙古半干旱草原土壤中稀土含量较低,与其草原沙土的粘土矿物较少有关;江苏北部冲积平原区的土壤中稀土含量较高,与降雨量存在良好空间对应关系.内蒙古红格尔到河北张家口,土壤与岩石∑REE的比值绝大多数小于1,REE发生贫化;山东章丘到江苏连云港,比值基本大于1,REE发生富集.华北克拉通内蒙地块土壤稀土特征与兴蒙造山带相似,可能受其草原沙土景观的影响.在不同构造单元之间,LREE与HREE亏损与富集的空间分布存在细微差异.结果表明:地理景观,特别是黏土矿物是影响土壤REE含量的重要因素,降雨量与REE存在良好空间对应关系,REE自身的地球化学性质的差异在土壤形成过程中对轻重稀土元素分异具有重要影响.
为研究兴蒙造山带-华北克拉通地球化学走廊带区域地球化学组成及其横向空间变化,统计分析不同地理单元和五万图幅单元的REE含量并绘制其空间分布折线图.内蒙古半干旱草原土壤中稀土含量较低,与其草原沙土的粘土矿物较少有关;江苏北部冲积平原区的土壤中稀土含量较高,与降雨量存在良好空间对应关系.内蒙古红格尔到河北张家口,土壤与岩石∑REE的比值绝大多数小于1,REE发生贫化;山东章丘到江苏连云港,比值基本大于1,REE发生富集.华北克拉通内蒙地块土壤稀土特征与兴蒙造山带相似,可能受其草原沙土景观的影响.在不同构造单元之间,LREE与HREE亏损与富集的空间分布存在细微差异.结果表明:地理景观,特别是黏土矿物是影响土壤REE含量的重要因素,降雨量与REE存在良好空间对应关系,REE自身的地球化学性质的差异在土壤形成过程中对轻重稀土元素分异具有重要影响.
2018, 43(3): 672-695.
doi: 10.3799/dqkx.2017.510
摘要:
兴蒙造山带中段锡林浩特跃进地区出露一套石炭纪侵入岩,具有类似岛弧侵入岩的岩石组合(花岗闪长岩、英云闪长岩、石英闪长岩)和地球化学特征.锆石LA-MC-ICP-MS U-Pb测年结果表明,这套侵入岩形成时代为310~330 Ma,属于石炭纪中晚期.岩石地球化学分析表明,跃进侵入岩属于钠质钙碱性系列岩石;A/CNK范围为0.86~1.17,大多属于准铝-弱过铝质系列;样品均具有较高的Mg#值,范围为47.5~55.8;微量元素分析表明,跃进侵入岩具有Rb、Ba、Th、U、K等大离子亲石元素的富集,Nb、Ta、P、Ti等高场强元素的亏损;稀土总量较低(3.62×10-6~172.33×10-6,平均值为118.33×10-6),具有轻稀土富集的配分模式,(La/Yb)N大于1,范围为2.48~9.44,重稀土分馏较弱,(Gd/Yb)N范围为1.19~1.96,具有弱的Eu负异常(δEu值0.70~1.04).跃进侵入岩均具有亏损的Hf同位素组成,176Hf/177Hf范围为0.282 651~0.282 870,εHf(t)均为正值,范围为+2.0~+9.9,地壳存留模式年龄TDMC范围为829~1 536 Ma,集中于900~1 200 Ma;(87Sr/86Sr)i范围为0.703 7~0.704 8,(143Nd/144Nd)i范围为0.512 320~0.512 401,εNd(t)均为正值(+2.1~+3.6),二阶段Nd模式年龄TDM2较集中,为新元古代(793~918 Ma).跃进侵入岩是在石炭纪活动大陆边缘的背景下,由中元古代晚期-新元古代早期的新生基性下地壳物质,在俯冲流体及岛弧基性岩浆的共同作用下部分熔融形成的,表明石炭纪中晚期兴蒙造山带中段仍然存在板块俯冲,古亚洲洋并未关闭.
兴蒙造山带中段锡林浩特跃进地区出露一套石炭纪侵入岩,具有类似岛弧侵入岩的岩石组合(花岗闪长岩、英云闪长岩、石英闪长岩)和地球化学特征.锆石LA-MC-ICP-MS U-Pb测年结果表明,这套侵入岩形成时代为310~330 Ma,属于石炭纪中晚期.岩石地球化学分析表明,跃进侵入岩属于钠质钙碱性系列岩石;A/CNK范围为0.86~1.17,大多属于准铝-弱过铝质系列;样品均具有较高的Mg#值,范围为47.5~55.8;微量元素分析表明,跃进侵入岩具有Rb、Ba、Th、U、K等大离子亲石元素的富集,Nb、Ta、P、Ti等高场强元素的亏损;稀土总量较低(3.62×10-6~172.33×10-6,平均值为118.33×10-6),具有轻稀土富集的配分模式,(La/Yb)N大于1,范围为2.48~9.44,重稀土分馏较弱,(Gd/Yb)N范围为1.19~1.96,具有弱的Eu负异常(δEu值0.70~1.04).跃进侵入岩均具有亏损的Hf同位素组成,176Hf/177Hf范围为0.282 651~0.282 870,εHf(t)均为正值,范围为+2.0~+9.9,地壳存留模式年龄TDMC范围为829~1 536 Ma,集中于900~1 200 Ma;(87Sr/86Sr)i范围为0.703 7~0.704 8,(143Nd/144Nd)i范围为0.512 320~0.512 401,εNd(t)均为正值(+2.1~+3.6),二阶段Nd模式年龄TDM2较集中,为新元古代(793~918 Ma).跃进侵入岩是在石炭纪活动大陆边缘的背景下,由中元古代晚期-新元古代早期的新生基性下地壳物质,在俯冲流体及岛弧基性岩浆的共同作用下部分熔融形成的,表明石炭纪中晚期兴蒙造山带中段仍然存在板块俯冲,古亚洲洋并未关闭.
2018, 43(3): 696-715.
doi: 10.3799/dqkx.2018.902
摘要:
文玉铜(银)矿是云县-景洪火山弧上重要的与火山作用相关矿床,了解矿区成岩成矿地质背景是探讨成矿作用的基础.本文报道了赋矿火山岩的岩石学、地球化学及锆石LA-ICP-MS年代学.小定西组火山岩由基性岩夹少量酸性岩组成,SiO2分别介于47.94%~54.02%和76.92%~84.16%之间,具"双峰式"火山岩特征.流纹岩锆石U-Pb年龄为238.4±2.4 Ma(MSWD=1.4),表明小定西组时代为中三叠世,而并非前人认为的晚三叠世.小定西组基性火山岩具低镁高铝特征,属于钾玄岩-高钾钙碱性-钙碱性系列,具较强Sr、Ti、Nb和Ta负异常、弱Eu负异常以及较低的Mg#、(La/Yb)N比值和Cr、Ni含量等特征;酸性火山岩属于过铝质高钾钙碱性系列,具有强的Sr、Ti、P、Nb、Ta、Ba和Eu负异常,Nb/Ta和Th/Ce比值与大陆地壳较为一致,具高Th含量和低Mg#特征.地球化学特征显示其可能形成于中三叠世早期弧(陆)-陆碰撞边缘下的伸展环境,是洋壳俯冲板片断离作用的结果.结合区域火山作用及成矿作用研究,中三叠世碰撞伸展作用阶段伴随多期次多阶段火山作用,具有良好的火山成矿作用前景.
文玉铜(银)矿是云县-景洪火山弧上重要的与火山作用相关矿床,了解矿区成岩成矿地质背景是探讨成矿作用的基础.本文报道了赋矿火山岩的岩石学、地球化学及锆石LA-ICP-MS年代学.小定西组火山岩由基性岩夹少量酸性岩组成,SiO2分别介于47.94%~54.02%和76.92%~84.16%之间,具"双峰式"火山岩特征.流纹岩锆石U-Pb年龄为238.4±2.4 Ma(MSWD=1.4),表明小定西组时代为中三叠世,而并非前人认为的晚三叠世.小定西组基性火山岩具低镁高铝特征,属于钾玄岩-高钾钙碱性-钙碱性系列,具较强Sr、Ti、Nb和Ta负异常、弱Eu负异常以及较低的Mg#、(La/Yb)N比值和Cr、Ni含量等特征;酸性火山岩属于过铝质高钾钙碱性系列,具有强的Sr、Ti、P、Nb、Ta、Ba和Eu负异常,Nb/Ta和Th/Ce比值与大陆地壳较为一致,具高Th含量和低Mg#特征.地球化学特征显示其可能形成于中三叠世早期弧(陆)-陆碰撞边缘下的伸展环境,是洋壳俯冲板片断离作用的结果.结合区域火山作用及成矿作用研究,中三叠世碰撞伸展作用阶段伴随多期次多阶段火山作用,具有良好的火山成矿作用前景.
2018, 43(3): 716-732.
doi: 10.3799/dqkx.2018.903
摘要:
胶北地块位于华北克拉通东部陆块,胶-辽-吉活动带的南端.胶北地区荆山杂岩中存在一组与高压基性麻粒岩密切共生的斜长角闪岩,是构成前寒武纪变质基底的重要组成部分.岩石学矿物学研究表明,斜长角闪岩记录了3个阶段的变质作用:峰期变质矿物组合(M1)为角闪石1+斜长石+榍石,根据NCKFMASHTO体系的成分视剖面图和角闪石压力计估算出温度条件T=660~715 ℃,压力条件P=0.65~0.71 GPa;其后经历了退变质作用(M2),矿物组合为角闪石2+绿帘石+斜长石+绿泥石+钠长石,估算温压条件为537~630 ℃/0.41~0.58 GPa;晚期发生前绿片岩相退变质作用(M3),其矿物组合为钠长石+葡萄石+绿泥石+方解石,其温压条件 < 400 ℃/0.35 GPa.斜长角闪石的CL图像显示其具有较弱的阴极发光效应和弱震荡环带,Th/U比值相对较小(0.06~0.43),锆石形态和内部结构指示锆石形成于深熔作用过程,21个锆石的LA-ICP-MS定年研究的结果表明,斜长角闪岩记录的最老206Pb/238U年龄为2 075±25 Ma,上交点年龄为1 845±23 Ma(MSWD=0.35),该组年龄记录了斜长角闪岩峰期变质作用时代的上限.斜长角闪岩在原岩形成以后,可能曾经历麻粒岩相变质作用,并记录了在胶-辽-吉带~1.85 Ga碰撞闭合过程中的深熔事件,此后经历了角闪岩相变质作用,及其二次退变质作用,终结于前绿片岩相的变质温压条件.
胶北地块位于华北克拉通东部陆块,胶-辽-吉活动带的南端.胶北地区荆山杂岩中存在一组与高压基性麻粒岩密切共生的斜长角闪岩,是构成前寒武纪变质基底的重要组成部分.岩石学矿物学研究表明,斜长角闪岩记录了3个阶段的变质作用:峰期变质矿物组合(M1)为角闪石1+斜长石+榍石,根据NCKFMASHTO体系的成分视剖面图和角闪石压力计估算出温度条件T=660~715 ℃,压力条件P=0.65~0.71 GPa;其后经历了退变质作用(M2),矿物组合为角闪石2+绿帘石+斜长石+绿泥石+钠长石,估算温压条件为537~630 ℃/0.41~0.58 GPa;晚期发生前绿片岩相退变质作用(M3),其矿物组合为钠长石+葡萄石+绿泥石+方解石,其温压条件 < 400 ℃/0.35 GPa.斜长角闪石的CL图像显示其具有较弱的阴极发光效应和弱震荡环带,Th/U比值相对较小(0.06~0.43),锆石形态和内部结构指示锆石形成于深熔作用过程,21个锆石的LA-ICP-MS定年研究的结果表明,斜长角闪岩记录的最老206Pb/238U年龄为2 075±25 Ma,上交点年龄为1 845±23 Ma(MSWD=0.35),该组年龄记录了斜长角闪岩峰期变质作用时代的上限.斜长角闪岩在原岩形成以后,可能曾经历麻粒岩相变质作用,并记录了在胶-辽-吉带~1.85 Ga碰撞闭合过程中的深熔事件,此后经历了角闪岩相变质作用,及其二次退变质作用,终结于前绿片岩相的变质温压条件.
2018, 43(3): 733-752.
doi: 10.3799/dqkx.2018.904
摘要:
为了查明青海玉树查涌地区闪长岩岩石成因及形成的地球动力学背景,对其进行了岩相学、矿物电子探针分析、锆石LA-ICP-MS U-Pb年代学和岩石地球化学分析.闪长岩锆石LA-ICP-MS U-Pb年龄为230±2 Ma,属于晚三叠世.电子探针分析结果显示,闪长岩中的斜长石具有正环带结构,核部斜长石属于倍长石或钙长石,边部属于中长石或拉长石;黑云母矿物成分为镁质黑云母,结晶温度介于647~688 ℃,侵位深度约为14.2~15.5 km;角闪石属于钙质角闪石,显示壳幔混合成因的特点.岩石地球化学分析结果显示闪长岩具有富硅、富镁、高的Mg#值及较高含量的Cr和Ni,富集LILE和LREE,亏损HFSE,铕异常不明显,与高镁闪长岩中的赞岐岩相似.闪长岩中锆石的εHf(t)值为-10.4~-10.3和-6.4~-4.0,锆石Hf单阶段模式年龄(tDM1)为1 021~1 311 Ma.分析研究表明闪长岩形成于俯冲带之上的地幔楔环境,为地幔橄榄岩与俯冲的洋壳板片部分熔融的富硅质熔体平衡反应形成的.结合区域地质演化认为晚三叠世古特提斯洋仍处于俯冲消减状态,查涌高镁闪长岩为金沙江洋向西俯冲消减过程中的产物.
为了查明青海玉树查涌地区闪长岩岩石成因及形成的地球动力学背景,对其进行了岩相学、矿物电子探针分析、锆石LA-ICP-MS U-Pb年代学和岩石地球化学分析.闪长岩锆石LA-ICP-MS U-Pb年龄为230±2 Ma,属于晚三叠世.电子探针分析结果显示,闪长岩中的斜长石具有正环带结构,核部斜长石属于倍长石或钙长石,边部属于中长石或拉长石;黑云母矿物成分为镁质黑云母,结晶温度介于647~688 ℃,侵位深度约为14.2~15.5 km;角闪石属于钙质角闪石,显示壳幔混合成因的特点.岩石地球化学分析结果显示闪长岩具有富硅、富镁、高的Mg#值及较高含量的Cr和Ni,富集LILE和LREE,亏损HFSE,铕异常不明显,与高镁闪长岩中的赞岐岩相似.闪长岩中锆石的εHf(t)值为-10.4~-10.3和-6.4~-4.0,锆石Hf单阶段模式年龄(tDM1)为1 021~1 311 Ma.分析研究表明闪长岩形成于俯冲带之上的地幔楔环境,为地幔橄榄岩与俯冲的洋壳板片部分熔融的富硅质熔体平衡反应形成的.结合区域地质演化认为晚三叠世古特提斯洋仍处于俯冲消减状态,查涌高镁闪长岩为金沙江洋向西俯冲消减过程中的产物.
2018, 43(3): 753-769.
doi: 10.3799/dqkx.2018.905
摘要:
地球表层的土壤沉积物记录了第四纪以来与气候、环境、人类等有关的地球演化信息,是重要的研究过去历史的载体.成土体系中土壤的诸多特性都与成土期的气候环境信息息息相关,通过地质学研究方法可以提取某些特性并作为反演风化强度以及古气候的风化指标,即古气候替代指标.重点讨论了成土体系中新生的矿物学风化指标——粘土矿物与铁矿物的表征意义、研究方法与实例分析,并评述了其在反演气候方面的优势与局限性.成土作用中新生的粘土矿物直接受成土期盛行的环境与气候条件的影响,所以其组成、粒度、含量、结晶度等矿物学特征充分记录了成土期的气候与环境信息.另外,成土体系中也会新生成部分铁矿物.自生的铁矿物是反映成土期的湿度条件、温度范围的有效指标,因此对当时的气候演化历史也有很好的指示意义.粘土矿物与铁矿物在一定的条件下都可以作为独立的重建古气候的替代指标,但是在使用时要充分考虑研究区域的地质背景、物源供给、气候类型、风化条件等客观局限对这些风化指标的制约.另外,对于区域内风化程度及古气候的重建,通常多指标结合对比的方法更为可靠.
地球表层的土壤沉积物记录了第四纪以来与气候、环境、人类等有关的地球演化信息,是重要的研究过去历史的载体.成土体系中土壤的诸多特性都与成土期的气候环境信息息息相关,通过地质学研究方法可以提取某些特性并作为反演风化强度以及古气候的风化指标,即古气候替代指标.重点讨论了成土体系中新生的矿物学风化指标——粘土矿物与铁矿物的表征意义、研究方法与实例分析,并评述了其在反演气候方面的优势与局限性.成土作用中新生的粘土矿物直接受成土期盛行的环境与气候条件的影响,所以其组成、粒度、含量、结晶度等矿物学特征充分记录了成土期的气候与环境信息.另外,成土体系中也会新生成部分铁矿物.自生的铁矿物是反映成土期的湿度条件、温度范围的有效指标,因此对当时的气候演化历史也有很好的指示意义.粘土矿物与铁矿物在一定的条件下都可以作为独立的重建古气候的替代指标,但是在使用时要充分考虑研究区域的地质背景、物源供给、气候类型、风化条件等客观局限对这些风化指标的制约.另外,对于区域内风化程度及古气候的重建,通常多指标结合对比的方法更为可靠.
2018, 43(3): 770-785.
doi: 10.3799/dqkx.2018.906
摘要:
不同于具有相对稳定构造-沉积背景海相盆地的层序构型,陆相盆地的层序构型具有多样性.针对陆相盆地具有局限、封闭、类型多样、控制因素多变、多物源、古地貌差异大等典型特征,提出"陆相盆地层序构型多元化体系"的观点."陆相盆地层序构型多元化体系"是指不同类型陆相盆地在多种因素综合作用下,会形成不同的层序构型、沉积充填样式,构成陆相盆地层序构型多元化体系.该体系包含经典层序构型和特征性层序构型两大类,在系统总结不同类型陆相盆地经典层序构型的基础上,进一步介绍断陷盆地非同步叠加、迁移型、陆内克拉通盆地"溯源退积"等多种新的特征性层序构型,补充、丰富了陆相盆地层序构型多元化体系.陆相盆地层序构型多元化体系反映了陆相盆地沉积动力学过程的复杂性,可以将不同类型陆相盆地所发育的不同层序构型纳入到一个统一体系,有利于陆相层序地层学研究的系统化,丰富陆相盆地层序地层理论体系.
不同于具有相对稳定构造-沉积背景海相盆地的层序构型,陆相盆地的层序构型具有多样性.针对陆相盆地具有局限、封闭、类型多样、控制因素多变、多物源、古地貌差异大等典型特征,提出"陆相盆地层序构型多元化体系"的观点."陆相盆地层序构型多元化体系"是指不同类型陆相盆地在多种因素综合作用下,会形成不同的层序构型、沉积充填样式,构成陆相盆地层序构型多元化体系.该体系包含经典层序构型和特征性层序构型两大类,在系统总结不同类型陆相盆地经典层序构型的基础上,进一步介绍断陷盆地非同步叠加、迁移型、陆内克拉通盆地"溯源退积"等多种新的特征性层序构型,补充、丰富了陆相盆地层序构型多元化体系.陆相盆地层序构型多元化体系反映了陆相盆地沉积动力学过程的复杂性,可以将不同类型陆相盆地所发育的不同层序构型纳入到一个统一体系,有利于陆相层序地层学研究的系统化,丰富陆相盆地层序地层理论体系.
2018, 43(3): 786-801.
doi: 10.3799/dqkx.2017.501
摘要:
准噶尔盆地车排子凸起新近系沙湾组为湖盆缓坡多物源、复杂沉积体系沉积,其沉积体系认识争议很大,时空演化难以刻画.准确刻画其沉积体系类型、演化规律和砂体分布特征,是精细刻画单砂体及内部构型等储层的基石,对后期油气开发具有重要指导意义.在岩心、测井、测试分析及地震资料,充分利用相位转换、地层切片等地震沉积学技术方法,对其沉积体系特征进行深入研究.建立研究区精细层序地层格架,将沙湾组划分为2个三级层序、4个四级层序;识别出冲积扇、辫状河、曲流河、曲流河三角洲、扇三角洲及滨浅湖6种沉积体系类型,并确定沉积体系边界及演化规律;建立了多物源冲积扇-辫状河、扇三角洲-曲流河三角洲沉积模式及砂体分布模式.辫状河道、心滩、点坝复合体及冲积扇砂体均钻遇较好油气显示,为重要储集体.此次研究丰富了地震沉积学在湖盆缓坡多物源、多沉积体系类型中的应用.
准噶尔盆地车排子凸起新近系沙湾组为湖盆缓坡多物源、复杂沉积体系沉积,其沉积体系认识争议很大,时空演化难以刻画.准确刻画其沉积体系类型、演化规律和砂体分布特征,是精细刻画单砂体及内部构型等储层的基石,对后期油气开发具有重要指导意义.在岩心、测井、测试分析及地震资料,充分利用相位转换、地层切片等地震沉积学技术方法,对其沉积体系特征进行深入研究.建立研究区精细层序地层格架,将沙湾组划分为2个三级层序、4个四级层序;识别出冲积扇、辫状河、曲流河、曲流河三角洲、扇三角洲及滨浅湖6种沉积体系类型,并确定沉积体系边界及演化规律;建立了多物源冲积扇-辫状河、扇三角洲-曲流河三角洲沉积模式及砂体分布模式.辫状河道、心滩、点坝复合体及冲积扇砂体均钻遇较好油气显示,为重要储集体.此次研究丰富了地震沉积学在湖盆缓坡多物源、多沉积体系类型中的应用.
2018, 43(3): 802-811.
doi: 10.3799/dqkx.2017.508
摘要:
前人对万安、曾母、文莱-沙巴盆地的油气地质条件开展大量研究,对盆地之间的油气地质条件差异性研究较少.以前人大量研究成果为基础,综合利用钻井、地震、油气测试等资料,对中国南海南部万安、曾母、文莱-沙巴三大盆地的主要油气地质条件开展差异性分析.研究认为:3个盆地新生代均经历了两期构造演化阶段,主要发育海陆过渡相和海相沉积环境;3个时期(渐新世、中新世和上新世)发育三角洲煤系和陆源海相两类烃源岩,主力烃源岩发育时期从西往东逐渐变新;发育碎屑砂岩和碳酸盐岩两类储层,呈现"近岸砂、远岸礁"分布特征,储层发育时期从西往东逐渐变新;发育近岸的自生自储型和远岸的下生上储型2种生储组合.
前人对万安、曾母、文莱-沙巴盆地的油气地质条件开展大量研究,对盆地之间的油气地质条件差异性研究较少.以前人大量研究成果为基础,综合利用钻井、地震、油气测试等资料,对中国南海南部万安、曾母、文莱-沙巴三大盆地的主要油气地质条件开展差异性分析.研究认为:3个盆地新生代均经历了两期构造演化阶段,主要发育海陆过渡相和海相沉积环境;3个时期(渐新世、中新世和上新世)发育三角洲煤系和陆源海相两类烃源岩,主力烃源岩发育时期从西往东逐渐变新;发育碎屑砂岩和碳酸盐岩两类储层,呈现"近岸砂、远岸礁"分布特征,储层发育时期从西往东逐渐变新;发育近岸的自生自储型和远岸的下生上储型2种生储组合.
2018, 43(3): 812-826.
doi: 10.3799/dqkx.2017.511
摘要:
火山地层常具穿时和倒转现象,并且缺少化石资料,致使其地层序列划分和对比困难.营城组火山地层序列是松辽盆地火山岩油气勘探的基础和关键,火山岩中的厚层沉积夹层(营城组二段)在火山地层序列划分中可作为标志层,是营城组进一步分段的关键层位.从盆缘露头剖面入手,根据实测剖面、钻井、测井、地震、同位素年龄等资料,证实徐家围子断陷存在营二段地层,通过地层对比,总结其地层发育时限、岩性及序列特征、地层分布规律及其成因、地球物理识别标志,并将其作为标志层对火山地层进行准确划分和对比.结果显示:营二段形成于早白垩世Albian期(110~108 Ma),沉积时限2~3 Ma;以富含凝灰质夹煤层为主要特征,其碎屑粒度自下至上呈现"粗-细-粗"的全韵律;断陷内营二段地层厚度变化大,平面上存在着两类沉积中心:(1)与营一段火山岩最大厚度中心重叠的火山期后热沉降中心;(2)继承性古地貌凹陷.不同成因地层其地球物理识别特征不同.以营二段为标志层可将徐家围子断陷营城组分为3段,其中一段和三段均以火山岩为主.而原分层中的营四段实属盆地不同充填期的两套地层:下部细粒砂泥岩段应为断陷期的营二段,上部粗粒砂砾岩段应为拗陷期的登娄库组一段.该方法可为其他地区火山地层划分与对比提供借鉴.
火山地层常具穿时和倒转现象,并且缺少化石资料,致使其地层序列划分和对比困难.营城组火山地层序列是松辽盆地火山岩油气勘探的基础和关键,火山岩中的厚层沉积夹层(营城组二段)在火山地层序列划分中可作为标志层,是营城组进一步分段的关键层位.从盆缘露头剖面入手,根据实测剖面、钻井、测井、地震、同位素年龄等资料,证实徐家围子断陷存在营二段地层,通过地层对比,总结其地层发育时限、岩性及序列特征、地层分布规律及其成因、地球物理识别标志,并将其作为标志层对火山地层进行准确划分和对比.结果显示:营二段形成于早白垩世Albian期(110~108 Ma),沉积时限2~3 Ma;以富含凝灰质夹煤层为主要特征,其碎屑粒度自下至上呈现"粗-细-粗"的全韵律;断陷内营二段地层厚度变化大,平面上存在着两类沉积中心:(1)与营一段火山岩最大厚度中心重叠的火山期后热沉降中心;(2)继承性古地貌凹陷.不同成因地层其地球物理识别特征不同.以营二段为标志层可将徐家围子断陷营城组分为3段,其中一段和三段均以火山岩为主.而原分层中的营四段实属盆地不同充填期的两套地层:下部细粒砂泥岩段应为断陷期的营二段,上部粗粒砂砾岩段应为拗陷期的登娄库组一段.该方法可为其他地区火山地层划分与对比提供借鉴.
2018, 43(3): 827-834.
doi: 10.3799/dqkx.2017.565
摘要:
中国中西部发育大量的叠合盆地,中深层纵向上形成了隆起、凹陷、正向叠加(古隆起)、负向叠加(凹陷或洼陷)、跷跷板式等叠加样式.它们对于油气的富集与保存有着不同的作用.跷跷板式叠加作用是盆地边缘最为常见的叠加样式.分析表明,在盆地垂向调整、改造过程中构造枢纽带是必然产物,是调整范围的一部分,是新的构造圈闭区范围.向盆地区也存在调整区,地层产状变缓,但方向没有改变.构造枢纽带后方,下部层位产状发生极性变化.构造枢纽带位置在地质历史是变化的.随着造山带向盆地的推进,枢纽带有不断向盆内推进的趋势,形成继承型、新生和反转型(废弃)3种类型的构造枢纽带.其中晚期继承型最有利油气的富集保存;晚期新生构造枢纽带有利油气聚集;反转型(废弃)构造枢纽带不利于油气的保存.
中国中西部发育大量的叠合盆地,中深层纵向上形成了隆起、凹陷、正向叠加(古隆起)、负向叠加(凹陷或洼陷)、跷跷板式等叠加样式.它们对于油气的富集与保存有着不同的作用.跷跷板式叠加作用是盆地边缘最为常见的叠加样式.分析表明,在盆地垂向调整、改造过程中构造枢纽带是必然产物,是调整范围的一部分,是新的构造圈闭区范围.向盆地区也存在调整区,地层产状变缓,但方向没有改变.构造枢纽带后方,下部层位产状发生极性变化.构造枢纽带位置在地质历史是变化的.随着造山带向盆地的推进,枢纽带有不断向盆内推进的趋势,形成继承型、新生和反转型(废弃)3种类型的构造枢纽带.其中晚期继承型最有利油气的富集保存;晚期新生构造枢纽带有利油气聚集;反转型(废弃)构造枢纽带不利于油气的保存.
2018, 43(3): 835-850.
doi: 10.3799/dqkx.2018.907
摘要:
现代海底热液活动往往与岩浆作用相伴生.传统的热液系统循环模式认为:海水沿裂隙(通道)下渗,被加热并与围岩发生水岩反应,萃取岩石中的金属元素,形成热液流体并上涌喷出海底,沉积生成多金属硫化物矿体.这一模式合理地解释了构成现代海底热液系统的3个基本要素:流体、通道和热源,与我们现今条件下所观察到的许多事实相吻合.然而,基岩渗透率、热液流体性质、热液生态系统和热液产物上的差异表明现代海底热液活动系统可能存在另一种注入式循环模式,即热液流体来自深部岩浆房流体和挥发性组分的直接注入.据此提出现代海底热液活动系统可能存在两种模式:一种是浅层循环模式,即传统的热液循环模式;另一种是岩浆后期热液注入模式(简称"注入模式").在岩浆作用强烈和构造裂隙发育的环境中,两种模式可能同时存在,形成双扩散对流循环模式.双扩散对流循环模式可以很好地解释现代海底热液活动研究中近期所发现的多种现象和事实.对弧后盆地而言,在研究其岩浆作用与热液活动时,还要考虑板块俯冲的构造背景和俯冲组分及陆壳组分加入等因素,同时构建了适用于弧后盆地海底热液活动系统的理论模型.
现代海底热液活动往往与岩浆作用相伴生.传统的热液系统循环模式认为:海水沿裂隙(通道)下渗,被加热并与围岩发生水岩反应,萃取岩石中的金属元素,形成热液流体并上涌喷出海底,沉积生成多金属硫化物矿体.这一模式合理地解释了构成现代海底热液系统的3个基本要素:流体、通道和热源,与我们现今条件下所观察到的许多事实相吻合.然而,基岩渗透率、热液流体性质、热液生态系统和热液产物上的差异表明现代海底热液活动系统可能存在另一种注入式循环模式,即热液流体来自深部岩浆房流体和挥发性组分的直接注入.据此提出现代海底热液活动系统可能存在两种模式:一种是浅层循环模式,即传统的热液循环模式;另一种是岩浆后期热液注入模式(简称"注入模式").在岩浆作用强烈和构造裂隙发育的环境中,两种模式可能同时存在,形成双扩散对流循环模式.双扩散对流循环模式可以很好地解释现代海底热液活动研究中近期所发现的多种现象和事实.对弧后盆地而言,在研究其岩浆作用与热液活动时,还要考虑板块俯冲的构造背景和俯冲组分及陆壳组分加入等因素,同时构建了适用于弧后盆地海底热液活动系统的理论模型.
2018, 43(3): 851-861.
doi: 10.3799/dqkx.2018.908
摘要:
SST(海洋表层温度,sea surface temperature)的季节与年际异常对于认识现代全球变暖、重建历史时期气候变化以及探讨气候变化机制具有重要意义,而台湾东北部海域SST季节与年际异常的研究却相对较少.为更好地理解现代全球变暖和历史气候变化,利用NOAA的全球海表温度最优插值资料、Hadley中心的全球海表温度数据以及MEI逐月指数,分析了现代全球变暖背景下台湾东北部海域SST季节与年际异常及其控制因素.季节尺度上,受东亚冬季风的影响,研究海区的冬季SST变化比夏季更为剧烈,冬季SST控制着该海域年均SST和SST季节性的变化.现代器测和古气候记录表明该现象在年际-百年尺度上可能一直存在.年际尺度上,SST异常与MEI指数存在显著的8个月滞后相关性,ENSO(厄尔尼诺—南方涛动,El Niño-Southern Oscillation)事件通过东亚冬季风来影响研究海域的SST变化.在历史气候重建中区分气候变化的多尺度性和替代指标的季节性、认识历史气候对ENSO及东亚冬季风的响应特征和机制,这将有助于进一步理解现代全球气候变暖的原因.
SST(海洋表层温度,sea surface temperature)的季节与年际异常对于认识现代全球变暖、重建历史时期气候变化以及探讨气候变化机制具有重要意义,而台湾东北部海域SST季节与年际异常的研究却相对较少.为更好地理解现代全球变暖和历史气候变化,利用NOAA的全球海表温度最优插值资料、Hadley中心的全球海表温度数据以及MEI逐月指数,分析了现代全球变暖背景下台湾东北部海域SST季节与年际异常及其控制因素.季节尺度上,受东亚冬季风的影响,研究海区的冬季SST变化比夏季更为剧烈,冬季SST控制着该海域年均SST和SST季节性的变化.现代器测和古气候记录表明该现象在年际-百年尺度上可能一直存在.年际尺度上,SST异常与MEI指数存在显著的8个月滞后相关性,ENSO(厄尔尼诺—南方涛动,El Niño-Southern Oscillation)事件通过东亚冬季风来影响研究海域的SST变化.在历史气候重建中区分气候变化的多尺度性和替代指标的季节性、认识历史气候对ENSO及东亚冬季风的响应特征和机制,这将有助于进一步理解现代全球气候变暖的原因.
2018, 43(3): 862-872.
doi: 10.3799/dqkx.2017.505
摘要:
四国海盆是位于菲律宾海板块内由岛弧张裂形成的弧后盆地,其深部地壳结构对认识伊豆小笠原岛弧的裂解和弧后盆地的扩张过程有重要的意义.在反射多道地震剖面和深部海底地震(OBS)探测剖面的约束下,结合磁异常条带数据,利用两条横穿四国海盆的重力测线数据对海盆的地壳物性结构反演,对比重力反演剖面与深部探测剖面地壳厚度和密度特征,得到更加精细的四国海盆地壳结构.研究结果显示,四国海盆洋壳厚度自西向东逐渐增厚,在残留扩张脊处莫霍面深度迅速增加.根据地壳密度和厚度将四国海盆分为:洋壳减薄区、洋壳增厚区、后扩张洋壳增生区,分别对应初始慢速张裂、单翼快速扩张、对称慢速扩张3期扩张活动.南北测线不同构造分区得到的扩张速率与由磁异常条带得到扩张速率相同;洋壳减薄区下地壳均有高密度体,与OBS剖面中下地壳高速体相对应,可能是由于洋壳慢速扩张过程中强烈拆离作用,地幔蛇纹石化导致.
四国海盆是位于菲律宾海板块内由岛弧张裂形成的弧后盆地,其深部地壳结构对认识伊豆小笠原岛弧的裂解和弧后盆地的扩张过程有重要的意义.在反射多道地震剖面和深部海底地震(OBS)探测剖面的约束下,结合磁异常条带数据,利用两条横穿四国海盆的重力测线数据对海盆的地壳物性结构反演,对比重力反演剖面与深部探测剖面地壳厚度和密度特征,得到更加精细的四国海盆地壳结构.研究结果显示,四国海盆洋壳厚度自西向东逐渐增厚,在残留扩张脊处莫霍面深度迅速增加.根据地壳密度和厚度将四国海盆分为:洋壳减薄区、洋壳增厚区、后扩张洋壳增生区,分别对应初始慢速张裂、单翼快速扩张、对称慢速扩张3期扩张活动.南北测线不同构造分区得到的扩张速率与由磁异常条带得到扩张速率相同;洋壳减薄区下地壳均有高密度体,与OBS剖面中下地壳高速体相对应,可能是由于洋壳慢速扩张过程中强烈拆离作用,地幔蛇纹石化导致.
2018, 43(3): 873-886.
doi: 10.3799/dqkx.2017.513
摘要:
离散重力测量数据的重构是重力数据分析和处理中最重要的方法之一.等效源方法作为一种有效且稳定的重构方法,受到国内外学者的关注.基于位场理论,提出了三层变尺度等效源方法的技术方案,可有效恢复测量数据中长波长范围的信息,实现对离散重力数据的高精度重构,进而保障了在重力场重构基础上的重力梯度计算.详细地讨论了三层变尺度等效源的设置以及优化反演计算的过程,通过二维和三维理论模型试验,展示了方法的有效性及相对单层等效源方法的优势,并通过广西某地区实际重力测量数据的应用,验证了方法的抗噪能力和实用性.
离散重力测量数据的重构是重力数据分析和处理中最重要的方法之一.等效源方法作为一种有效且稳定的重构方法,受到国内外学者的关注.基于位场理论,提出了三层变尺度等效源方法的技术方案,可有效恢复测量数据中长波长范围的信息,实现对离散重力数据的高精度重构,进而保障了在重力场重构基础上的重力梯度计算.详细地讨论了三层变尺度等效源的设置以及优化反演计算的过程,通过二维和三维理论模型试验,展示了方法的有效性及相对单层等效源方法的优势,并通过广西某地区实际重力测量数据的应用,验证了方法的抗噪能力和实用性.
2018, 43(3): 887-898.
doi: 10.3799/dqkx.2018.909
摘要:
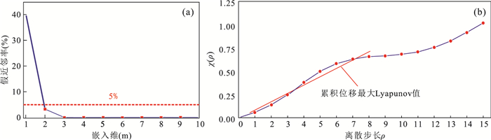
三峡库区某些库岸滑坡在强降雨、库水位涨落等诱发因素影响下,其位移时间序列表现出阶跃式变化特征且可能存在混沌特性.但目前常用于滑坡位移预测的混沌模型,均建立在单变量混沌理论的基础之上.且已有的考虑了诱发因素的常规多变量模型,大都采用经验性的方法来选取输入变量;常规多变量模型对滑坡位移序列的非线性特征,及其与诱发因素间的动态响应关系缺乏数学理论上的深入分析.因此,提出一种基于指数平滑法、多变量混沌模型和极限学习机(extreme learing machine,ELM)的滑坡位移组合预测模型.指数平滑多变量混沌ELM模型首先对滑坡累积位移序列的混沌特性进行识别;然后用指数平滑法对累积位移进行预测,得到趋势项位移,并用累积位移减去趋势项位移得到剩余的波动项位移;之后对波动项位移及降雨量、库水位变化量这3个因子进行多变量相空间重构,并用ELM模型对多变量重构后的波动项位移进行预测;最后将预测得到的趋势项和波动项位移值相加,得到最终的累积位移预测值.以三峡库区白水河滑坡ZG93监测点的累积位移作为实例进行分析,并将模型与指数平滑多变量混沌粒子群-支持向量机(PSO-SVM)模型、指数平滑单变量混沌ELM模型作对比.结果表明滑坡位移序列存在混沌特性,模型能有效预测滑坡位移,其预测效果优于对比模型.且本文模型从混沌理论的角度将波动项位移与降雨量、库水位变化量的动态响应关系进行综合分析,更能反映滑坡位移系统演化的物理本质.
三峡库区某些库岸滑坡在强降雨、库水位涨落等诱发因素影响下,其位移时间序列表现出阶跃式变化特征且可能存在混沌特性.但目前常用于滑坡位移预测的混沌模型,均建立在单变量混沌理论的基础之上.且已有的考虑了诱发因素的常规多变量模型,大都采用经验性的方法来选取输入变量;常规多变量模型对滑坡位移序列的非线性特征,及其与诱发因素间的动态响应关系缺乏数学理论上的深入分析.因此,提出一种基于指数平滑法、多变量混沌模型和极限学习机(extreme learing machine,ELM)的滑坡位移组合预测模型.指数平滑多变量混沌ELM模型首先对滑坡累积位移序列的混沌特性进行识别;然后用指数平滑法对累积位移进行预测,得到趋势项位移,并用累积位移减去趋势项位移得到剩余的波动项位移;之后对波动项位移及降雨量、库水位变化量这3个因子进行多变量相空间重构,并用ELM模型对多变量重构后的波动项位移进行预测;最后将预测得到的趋势项和波动项位移值相加,得到最终的累积位移预测值.以三峡库区白水河滑坡ZG93监测点的累积位移作为实例进行分析,并将模型与指数平滑多变量混沌粒子群-支持向量机(PSO-SVM)模型、指数平滑单变量混沌ELM模型作对比.结果表明滑坡位移序列存在混沌特性,模型能有效预测滑坡位移,其预测效果优于对比模型.且本文模型从混沌理论的角度将波动项位移与降雨量、库水位变化量的动态响应关系进行综合分析,更能反映滑坡位移系统演化的物理本质.
2018, 43(3): 899-909.
doi: 10.3799/dqkx.2018.910
摘要:
水库滑坡次生涌浪灾害是库水运营过程中重要的灾害类型,开展滑坡及其次生涌浪灾害风险分析,能够合理确定并评价滑坡及其次生涌浪灾害对生命及财产的影响程度,从而为采取经济有效的减灾应急措施提供理论依据和技术支持.以三峡库区万州区塘角1号滑坡为例,探讨不同库水位降雨组合工况下,考虑空间差异性的单体滑坡危险性分析方法;确定滑坡次生涌浪灾害影响范围;完善滑坡及其次生涌浪灾害承灾体易损性评价方法;绘制最危险工况下塘角1号滑坡及其次生涌浪灾害经济风险和人口风险分布图,得出:塘角1号滑坡最危险工况为库水位175~145 m+3日100 mm降雨.在该工况下,塘角1号滑坡及其次生灾害总经济风险为2 239万元;坡体上室内人口总风险为0.55人.研究成果以期为指导该类滑坡减灾防灾提供思路和依据.
水库滑坡次生涌浪灾害是库水运营过程中重要的灾害类型,开展滑坡及其次生涌浪灾害风险分析,能够合理确定并评价滑坡及其次生涌浪灾害对生命及财产的影响程度,从而为采取经济有效的减灾应急措施提供理论依据和技术支持.以三峡库区万州区塘角1号滑坡为例,探讨不同库水位降雨组合工况下,考虑空间差异性的单体滑坡危险性分析方法;确定滑坡次生涌浪灾害影响范围;完善滑坡及其次生涌浪灾害承灾体易损性评价方法;绘制最危险工况下塘角1号滑坡及其次生涌浪灾害经济风险和人口风险分布图,得出:塘角1号滑坡最危险工况为库水位175~145 m+3日100 mm降雨.在该工况下,塘角1号滑坡及其次生灾害总经济风险为2 239万元;坡体上室内人口总风险为0.55人.研究成果以期为指导该类滑坡减灾防灾提供思路和依据.
2018, 43(3): 910-921.
doi: 10.3799/dqkx.2017.564
摘要:
高碘地下水是继高砷、高氟地下水之后的又一全球性饮水安全问题,但对地下水系统中碘的赋存形态及迁移富集机理研究尚显不足.为了解华北平原地下水系统中碘的空间分布特征及迁移富集规律,选取石家庄-衡水-沧州典型水文地质剖面,完成地下水样品采集,分析其水化学组成、总碘含量及碘形态组成特征,同时运用phreeqc完成水文地质剖面地球化学反向模拟及相关矿物饱和指数计算,定性定量表征水流场内所发生的水文地球化学过程,进而深入探讨上述过程对地下水系统碘迁移富集的影响.结果表明,区域内地下水中碘含量变化范围为3.35~1 106.00 μg/L,其中,41.86%样品碘含量超过《水源性高碘地区和地方性高碘甲状腺肿病区的规定(GB/T19380-2003)》所界定的150 μg/L国家标准;空间上,高碘地下水主要分布于渤海湾区;地下水中碘的主要赋存形态为碘离子及碘酸根离子,其分布受氧化还原环境控制,碘酸根离子主要出现于氧化环境中;沿地下水流向,地下水环境朝利于液相碘迁移富集的方向演变;渤海湾区,海水入侵影响下形成的偏碱性、(弱)还原环境,利于碘从沉积物中迁移释放至地下水中;碘在不同铁矿物相上的搭载能力及氧化还原环境演化导致的铁矿物相转化,是造成华北平原地下水系统中碘迁移富集的主要水文地球化学过程.
高碘地下水是继高砷、高氟地下水之后的又一全球性饮水安全问题,但对地下水系统中碘的赋存形态及迁移富集机理研究尚显不足.为了解华北平原地下水系统中碘的空间分布特征及迁移富集规律,选取石家庄-衡水-沧州典型水文地质剖面,完成地下水样品采集,分析其水化学组成、总碘含量及碘形态组成特征,同时运用phreeqc完成水文地质剖面地球化学反向模拟及相关矿物饱和指数计算,定性定量表征水流场内所发生的水文地球化学过程,进而深入探讨上述过程对地下水系统碘迁移富集的影响.结果表明,区域内地下水中碘含量变化范围为3.35~1 106.00 μg/L,其中,41.86%样品碘含量超过《水源性高碘地区和地方性高碘甲状腺肿病区的规定(GB/T19380-2003)》所界定的150 μg/L国家标准;空间上,高碘地下水主要分布于渤海湾区;地下水中碘的主要赋存形态为碘离子及碘酸根离子,其分布受氧化还原环境控制,碘酸根离子主要出现于氧化环境中;沿地下水流向,地下水环境朝利于液相碘迁移富集的方向演变;渤海湾区,海水入侵影响下形成的偏碱性、(弱)还原环境,利于碘从沉积物中迁移释放至地下水中;碘在不同铁矿物相上的搭载能力及氧化还原环境演化导致的铁矿物相转化,是造成华北平原地下水系统中碘迁移富集的主要水文地球化学过程.
2018, 43(3): 922-932.
doi: 10.3799/dqkx.2017.580
摘要:
为了分析降雨入渗影响下非饱和土坡渗流特性,利用自制降雨模拟系统和实时监测系统,对降雨诱发非饱和土坡失稳过程进行全方位、多参量的实时监测,研究不同降雨条件下,不同坡度、不同压实度边坡坡体不同位置雨水入渗率和湿润峰的实变规律.结果表明:降雨入渗条件下,陡坡和高压实度土体不利于雨水入渗,而缓坡和低密实度土体入渗率变化快;实际土体吸力和含水量实时变化规律不同步,提出试验湿润峰概念,含水率(吸力)湿润峰点可按含水率(吸力)实时曲线的过渡区和雨后残余含水率(吸力)的线性交叉点确定;考虑单向吸湿或脱湿路径下土体含水率和吸力具有唯一对应关系,含水率湿润峰点与吸力湿润峰点的绝对值时差即为形成湿润峰所需时间;对比湿润峰实测值与Lumb半经验值散点分布规律,基于Lumb湿润峰深度计算公式提出非线性修正表达式.
为了分析降雨入渗影响下非饱和土坡渗流特性,利用自制降雨模拟系统和实时监测系统,对降雨诱发非饱和土坡失稳过程进行全方位、多参量的实时监测,研究不同降雨条件下,不同坡度、不同压实度边坡坡体不同位置雨水入渗率和湿润峰的实变规律.结果表明:降雨入渗条件下,陡坡和高压实度土体不利于雨水入渗,而缓坡和低密实度土体入渗率变化快;实际土体吸力和含水量实时变化规律不同步,提出试验湿润峰概念,含水率(吸力)湿润峰点可按含水率(吸力)实时曲线的过渡区和雨后残余含水率(吸力)的线性交叉点确定;考虑单向吸湿或脱湿路径下土体含水率和吸力具有唯一对应关系,含水率湿润峰点与吸力湿润峰点的绝对值时差即为形成湿润峰所需时间;对比湿润峰实测值与Lumb半经验值散点分布规律,基于Lumb湿润峰深度计算公式提出非线性修正表达式.




登录
注册
高级检索
邮件订阅
RSS
摘要
HTML全文