2022年 47卷 第9期
			            2022, 47(9): 3073-3106.
			             
		            	doi: 10.3799/dqkx.2022.380 
    					
					
						摘要: 
俯冲带作为板块构造最为重要的标志之一,是地球最大的物质循环系统,被称为“俯冲工厂”.俯冲作用是驱动和维持板块运动的重要动力引擎.一个完整的俯冲带发育海沟、增生楔、弧前盆地、岩浆弧、弧后盆地(或弧背前陆盆地)等基本构造单元.在一些特殊情况下(如洋脊俯冲、年轻洋壳俯冲、海山俯冲),则可形成一些特殊的俯冲带结构(如平板俯冲、俯冲侵蚀),导致岩浆弧、增生楔、弧前盆地等不发育甚至缺失.俯冲大洋板片可滞留于或穿越地幔过渡带进入下地幔甚至到达核幔边界,把地壳物质带入到地球深部,并通过地幔柱活动上升到浅部.俯冲带是构造活动强烈的区域,存在走滑、挤压、伸展等变形及其构造叠加.俯冲带海沟可向大洋或大陆方向迁移,岛弧及增生楔等也随之发生迁移,使俯冲带上盘发生周期性挤压和伸展,形成复杂的古地理格局.微陆块、岛弧、海山/洋底高原等地质体在俯冲带发生增生时,可阻塞先存的俯冲带,造成俯冲带跃迁或俯冲极性反转,在其外侧形成新的俯冲带.俯冲带深部精细结构、俯冲起始如何发生、板块俯冲与地幔柱的深部关联机制等是当前俯冲带研究中值得关注的前沿问题.开展俯冲带地球物理深部探测、古缝合带与现今俯冲带对比研究、俯冲带动力学数值模拟是解决上述科学问题的重要途径.
			   
			        
			        
			        
				  
				俯冲带作为板块构造最为重要的标志之一,是地球最大的物质循环系统,被称为“俯冲工厂”.俯冲作用是驱动和维持板块运动的重要动力引擎.一个完整的俯冲带发育海沟、增生楔、弧前盆地、岩浆弧、弧后盆地(或弧背前陆盆地)等基本构造单元.在一些特殊情况下(如洋脊俯冲、年轻洋壳俯冲、海山俯冲),则可形成一些特殊的俯冲带结构(如平板俯冲、俯冲侵蚀),导致岩浆弧、增生楔、弧前盆地等不发育甚至缺失.俯冲大洋板片可滞留于或穿越地幔过渡带进入下地幔甚至到达核幔边界,把地壳物质带入到地球深部,并通过地幔柱活动上升到浅部.俯冲带是构造活动强烈的区域,存在走滑、挤压、伸展等变形及其构造叠加.俯冲带海沟可向大洋或大陆方向迁移,岛弧及增生楔等也随之发生迁移,使俯冲带上盘发生周期性挤压和伸展,形成复杂的古地理格局.微陆块、岛弧、海山/洋底高原等地质体在俯冲带发生增生时,可阻塞先存的俯冲带,造成俯冲带跃迁或俯冲极性反转,在其外侧形成新的俯冲带.俯冲带深部精细结构、俯冲起始如何发生、板块俯冲与地幔柱的深部关联机制等是当前俯冲带研究中值得关注的前沿问题.开展俯冲带地球物理深部探测、古缝合带与现今俯冲带对比研究、俯冲带动力学数值模拟是解决上述科学问题的重要途径.
			            2022, 47(9): 3107-3126.
			             
		            	doi: 10.3799/dqkx.2022.321 
    					
					
						摘要: 
蛇绿岩与产于增生楔中的蛇绿岩碎片记录了大洋岩石圈形成、俯冲、消亡等造山作用的全过程信息;是解剖造山带与探讨造山作用的重要研究对象.本文重点阐述蛇绿岩的继承性构造(形成于大洋岩石圈形成阶段:洋‒陆过渡带型(ocean-continental transition,简称OCT)、洋中脊型(快速扩张脊的Penrose型与慢速扩张的洋底核杂岩型)、supra-subduction-zone(SSZ)型三个基本端元)与造山就位构造(构造就位于造山带阶段:仰冲就位与俯冲刮铲)的特征、区别及其地质意义.强调蛇绿岩形成的“生而不同”与构造就位的“死也有别”;讨论了蛇绿岩两阶段的特征、时代的大地构造配置,呼吁关注蛇绿岩构造就位阶段俯冲流体的叠加作用,其可能导致最终就位在造山带中的蛇绿岩大部分都具有SSZ型特征.最后,结合中亚造山带南部主要蛇绿岩的特征,对未来中亚造山带蛇绿岩研究提出一些思考与展望;指出未来研究应注重对有限洋盆或小洋盆的厘定,关注OCT成因蛇绿岩的识别与研究,重视山弯构造与走滑断裂对蛇绿岩带现今产出的控制与改造作用.
			   
			        
			        
			        
				  
				蛇绿岩与产于增生楔中的蛇绿岩碎片记录了大洋岩石圈形成、俯冲、消亡等造山作用的全过程信息;是解剖造山带与探讨造山作用的重要研究对象.本文重点阐述蛇绿岩的继承性构造(形成于大洋岩石圈形成阶段:洋‒陆过渡带型(ocean-continental transition,简称OCT)、洋中脊型(快速扩张脊的Penrose型与慢速扩张的洋底核杂岩型)、supra-subduction-zone(SSZ)型三个基本端元)与造山就位构造(构造就位于造山带阶段:仰冲就位与俯冲刮铲)的特征、区别及其地质意义.强调蛇绿岩形成的“生而不同”与构造就位的“死也有别”;讨论了蛇绿岩两阶段的特征、时代的大地构造配置,呼吁关注蛇绿岩构造就位阶段俯冲流体的叠加作用,其可能导致最终就位在造山带中的蛇绿岩大部分都具有SSZ型特征.最后,结合中亚造山带南部主要蛇绿岩的特征,对未来中亚造山带蛇绿岩研究提出一些思考与展望;指出未来研究应注重对有限洋盆或小洋盆的厘定,关注OCT成因蛇绿岩的识别与研究,重视山弯构造与走滑断裂对蛇绿岩带现今产出的控制与改造作用.
			            2022, 47(9): 3127-3146.
			             
		            	doi: 10.3799/dqkx.2021.222 
    					
					
						摘要: 
西天山位于中亚增生型造山带的西南缘,夹于准噶尔地块和塔里木克拉通之间.西天山造山带的构造演化与天山洋的俯冲‒关闭过程密切相关.西天山地质构造复杂,成矿作用独特,既可形成与活动陆缘有关的斑岩铜金矿和火山‒沉积岩型铁锰矿,也可发育与伸展构造有关的海底热水沉积型铅锌矿和浅成低温热液型金矿等多个集中区.西天山地质构造演化和成矿作用一直是地质学家关注和研究的热点,近年来的地质找矿和基础研究工作也取得一系列重大进展,但同时也存在一些急待解决的问题.本文通过对区域地质背景、沉积建造、岩浆演化、成矿地质特征与物质来源、控矿因素等方面资料的综合研究,认为西天山造山带从前寒武纪到晚古生代经历了古陆边缘裂解、洋‒陆俯冲增生、陆‒陆碰撞及后造山伸展等地质过程;与此相应形成了多个成矿区带,主要包括:(1)哈尔达坂前寒武纪古陆边缘裂陷盆地环境的铅锌成矿带,(2)与博罗科努古生代洋‒陆俯冲、碰撞‒碰撞后伸展环境有关的金铜铅锌多金属成矿带,(3)与阿吾拉勒晚古生代岛弧‒弧后盆地有关的铁多金属成矿带,(4)那拉提古生代岛弧金铜多金属成矿带.在此基础上建立了西天山主要成矿区带的成矿模式,厘定了与西天山沉积建造‒构造活动‒岩浆活动有关的成矿序列,总结了西天山铁铜铅锌金等优势矿产时空结构模型.
			   
			        
			        
			        
				  
				西天山位于中亚增生型造山带的西南缘,夹于准噶尔地块和塔里木克拉通之间.西天山造山带的构造演化与天山洋的俯冲‒关闭过程密切相关.西天山地质构造复杂,成矿作用独特,既可形成与活动陆缘有关的斑岩铜金矿和火山‒沉积岩型铁锰矿,也可发育与伸展构造有关的海底热水沉积型铅锌矿和浅成低温热液型金矿等多个集中区.西天山地质构造演化和成矿作用一直是地质学家关注和研究的热点,近年来的地质找矿和基础研究工作也取得一系列重大进展,但同时也存在一些急待解决的问题.本文通过对区域地质背景、沉积建造、岩浆演化、成矿地质特征与物质来源、控矿因素等方面资料的综合研究,认为西天山造山带从前寒武纪到晚古生代经历了古陆边缘裂解、洋‒陆俯冲增生、陆‒陆碰撞及后造山伸展等地质过程;与此相应形成了多个成矿区带,主要包括:(1)哈尔达坂前寒武纪古陆边缘裂陷盆地环境的铅锌成矿带,(2)与博罗科努古生代洋‒陆俯冲、碰撞‒碰撞后伸展环境有关的金铜铅锌多金属成矿带,(3)与阿吾拉勒晚古生代岛弧‒弧后盆地有关的铁多金属成矿带,(4)那拉提古生代岛弧金铜多金属成矿带.在此基础上建立了西天山主要成矿区带的成矿模式,厘定了与西天山沉积建造‒构造活动‒岩浆活动有关的成矿序列,总结了西天山铁铜铅锌金等优势矿产时空结构模型.
			            2022, 47(9): 3147-3173.
			             
		            	doi: 10.3799/dqkx.2021.118 
    					
					
						摘要: 
VMS矿床是中亚造山带的重要矿床类型,在新疆中亚造山带(即新疆北部)主要分布于阿尔泰和东天山的阿舍勒、克兰、麦兹和卡拉塔格矿集区.含矿层位主要有下‒中志留统红柳峡组、上志留统‒下泥盆统康布铁堡组下亚组和上亚组、下‒中泥盆统阿舍勒组和下石炭统小热泉子组海相火山沉积岩系.矿区发育喷流岩,如含铁碧玉岩、重晶石、硅质岩、铁锰质大理岩、黄铁矿层、绿泥石岩.VMS成矿系统中发育多种矿化类型,“双层结构”(层状或透镜状矿体和补给通道相脉状矿体)是其中之一,还有与火山热液有关的脉状矿化、与次火山热液有关的脉状和浸染状矿化.VMS矿床形成于3个成矿期,即早‒中志留世(428~438 Ma)、早‒中泥盆世(379~413 Ma)和早石炭世(332~359 Ma).硫来自下伏火山岩、海水硫酸盐无机还原作用和硫酸盐细菌还原作用.成矿流体以中低温(300~120 ℃)低盐度(2%~10% NaCleq)为特色,成矿流体为深循环海水混合不同比例的岩浆水.VMS成矿系统中由于受火山机构、岩相、矿化类型、矿化部位、成矿流体来源、物理化学条件等因素影响,造成了成矿元素组合复杂.
			   
			        
			        
			        
				  
				VMS矿床是中亚造山带的重要矿床类型,在新疆中亚造山带(即新疆北部)主要分布于阿尔泰和东天山的阿舍勒、克兰、麦兹和卡拉塔格矿集区.含矿层位主要有下‒中志留统红柳峡组、上志留统‒下泥盆统康布铁堡组下亚组和上亚组、下‒中泥盆统阿舍勒组和下石炭统小热泉子组海相火山沉积岩系.矿区发育喷流岩,如含铁碧玉岩、重晶石、硅质岩、铁锰质大理岩、黄铁矿层、绿泥石岩.VMS成矿系统中发育多种矿化类型,“双层结构”(层状或透镜状矿体和补给通道相脉状矿体)是其中之一,还有与火山热液有关的脉状矿化、与次火山热液有关的脉状和浸染状矿化.VMS矿床形成于3个成矿期,即早‒中志留世(428~438 Ma)、早‒中泥盆世(379~413 Ma)和早石炭世(332~359 Ma).硫来自下伏火山岩、海水硫酸盐无机还原作用和硫酸盐细菌还原作用.成矿流体以中低温(300~120 ℃)低盐度(2%~10% NaCleq)为特色,成矿流体为深循环海水混合不同比例的岩浆水.VMS成矿系统中由于受火山机构、岩相、矿化类型、矿化部位、成矿流体来源、物理化学条件等因素影响,造成了成矿元素组合复杂.
			            2022, 47(9): 3174-3191.
			             
		            	doi: 10.3799/dqkx.2022.100 
    					
					
						摘要: 
库车坳陷周缘的铀矿化非常活跃,蕴藏于上新统库车组下段的砂岩型铀矿的控矿要素、成矿机理、成矿规律,特别是远景选区是近年来铀矿地质学家关注的重点.笔者充分依据区域地质资料、野外地质调查和勘查钻孔资料,通过综合分析,试图在构造‒沉积‒地形地貌的盆山耦合机制中,遵循砂岩型铀矿的普遍成矿机理、按照由源到汇的研究思路,剖析砂岩型铀矿形成发育的关键控矿要素、时空配置关系,从铀成矿系统分析的角度揭示库车组关键控矿要素的协同控矿机理,以期为铀矿勘查提供战略服务.主要认识有:新生代南天山造山带的大规模陆内逆冲推覆作用既控制了库车组含铀岩系的充填演化过程,也制约了库车组下段铀成矿的基本格局和成矿作用过程,盆山耦合机制是驱动砂岩型铀矿形成发育的原始驱动力.南天山造山带岩浆岩分布规模虽然有限,但在托木尔峰一带存在富铀花岗岩.充分发育的地表水流域系统,一方面能够携带造山带的碎屑物堆积于库车坳陷,从而分阶段形成系列的大型物源‒沉积朵体,造就了潜在的含铀岩系和优质的铀储层.另一方面,穿越造山带富铀花岗岩的流域系统,不仅通过物理搬运为铀储层提供了原始微量铀的积累,而且通过衍生的地下含矿流体系统促进了区域层间氧化带的发育以及成矿所需的溶解铀质.在库车坳陷,近东西向展布的构造行迹限定了含矿流场和层间氧化带的发育空间(拜城凹陷),铀矿化集中发育于区域层间氧化带前锋线附近(特别是南部“阻水面”一侧).在拜城凹陷南部边缘,随着具有同沉积生长性质的秋里塔格构造带的不断隆升,区域的含矿流场和层间氧化带被迫向北迁移并发生“左旋”,从而造就了包括日达里克铀矿床在内的“新”“老”两个铀成矿系统.
			   
			        
			        
			        
				  
				库车坳陷周缘的铀矿化非常活跃,蕴藏于上新统库车组下段的砂岩型铀矿的控矿要素、成矿机理、成矿规律,特别是远景选区是近年来铀矿地质学家关注的重点.笔者充分依据区域地质资料、野外地质调查和勘查钻孔资料,通过综合分析,试图在构造‒沉积‒地形地貌的盆山耦合机制中,遵循砂岩型铀矿的普遍成矿机理、按照由源到汇的研究思路,剖析砂岩型铀矿形成发育的关键控矿要素、时空配置关系,从铀成矿系统分析的角度揭示库车组关键控矿要素的协同控矿机理,以期为铀矿勘查提供战略服务.主要认识有:新生代南天山造山带的大规模陆内逆冲推覆作用既控制了库车组含铀岩系的充填演化过程,也制约了库车组下段铀成矿的基本格局和成矿作用过程,盆山耦合机制是驱动砂岩型铀矿形成发育的原始驱动力.南天山造山带岩浆岩分布规模虽然有限,但在托木尔峰一带存在富铀花岗岩.充分发育的地表水流域系统,一方面能够携带造山带的碎屑物堆积于库车坳陷,从而分阶段形成系列的大型物源‒沉积朵体,造就了潜在的含铀岩系和优质的铀储层.另一方面,穿越造山带富铀花岗岩的流域系统,不仅通过物理搬运为铀储层提供了原始微量铀的积累,而且通过衍生的地下含矿流体系统促进了区域层间氧化带的发育以及成矿所需的溶解铀质.在库车坳陷,近东西向展布的构造行迹限定了含矿流场和层间氧化带的发育空间(拜城凹陷),铀矿化集中发育于区域层间氧化带前锋线附近(特别是南部“阻水面”一侧).在拜城凹陷南部边缘,随着具有同沉积生长性质的秋里塔格构造带的不断隆升,区域的含矿流场和层间氧化带被迫向北迁移并发生“左旋”,从而造就了包括日达里克铀矿床在内的“新”“老”两个铀成矿系统.
			            2022, 47(9): 3192-3209.
			             
		            	doi: 10.3799/dqkx.2022.128 
    					
					
						摘要: 
新疆北部是中亚造山带的重要组成部分,具有众多含铜‒镍硫化物的镁铁质‒超镁铁质侵入体,是中国第二大铜镍成矿区.库拉比也铜镍矿床位于新疆阿勒泰富蕴县,是继新疆北部最大的铜镍矿(喀拉通克)发现以来,在东准噶尔北缘铜镍矿找矿的新突破.尽管前人对该矿床的地质、地球物理特征进行了总结,提出了矿床成因及找矿标志,但含矿岩体的成因及构造意义等一些关键问题尚未解决.本文对库拉比也含矿岩体进行了岩石学、年代学、岩石地球化学和Sr-Nd-Hf同位素研究.结果表明,库拉比也铜镍矿床含矿岩体主要为辉长岩,表现出轻稀土富集、重稀土亏损的右倾模式,富集大离子亲石元素Ba、U、K,亏损高场强元素Nb、Ta、Ti、Lu.辉长岩的(87Sr/86Sr)i为0.703 948~0.704 109,εNd(t)在5.28~5.74之间,其锆石的176Hf/177Hf和εHf(t)变化较大,分别为0.282 851~0.283 034和+8.6~+15.1,εHf(t)平均值为12.9.主微量元素及Sr-Nd-Hf同位素特征显示源区有壳源物质的加入.库拉比也含矿岩体的形成年龄(约278 Ma)与区域性铜镍矿床的矿化年龄一致(约300~270 Ma),很可能形成于后碰撞伸展环境,其初始岩浆可能与软流圈岩浆上涌并导致被交代的地幔楔的部分熔融与岩浆混合有关.库拉比也成岩成矿时代揭示了早二叠世与铜镍成矿相关的岩浆活动在东准噶尔地区广泛发生,东准噶尔北缘具有很好的铜镍找矿潜力.
			   
			        
			        
			        
				  
				新疆北部是中亚造山带的重要组成部分,具有众多含铜‒镍硫化物的镁铁质‒超镁铁质侵入体,是中国第二大铜镍成矿区.库拉比也铜镍矿床位于新疆阿勒泰富蕴县,是继新疆北部最大的铜镍矿(喀拉通克)发现以来,在东准噶尔北缘铜镍矿找矿的新突破.尽管前人对该矿床的地质、地球物理特征进行了总结,提出了矿床成因及找矿标志,但含矿岩体的成因及构造意义等一些关键问题尚未解决.本文对库拉比也含矿岩体进行了岩石学、年代学、岩石地球化学和Sr-Nd-Hf同位素研究.结果表明,库拉比也铜镍矿床含矿岩体主要为辉长岩,表现出轻稀土富集、重稀土亏损的右倾模式,富集大离子亲石元素Ba、U、K,亏损高场强元素Nb、Ta、Ti、Lu.辉长岩的(87Sr/86Sr)i为0.703 948~0.704 109,εNd(t)在5.28~5.74之间,其锆石的176Hf/177Hf和εHf(t)变化较大,分别为0.282 851~0.283 034和+8.6~+15.1,εHf(t)平均值为12.9.主微量元素及Sr-Nd-Hf同位素特征显示源区有壳源物质的加入.库拉比也含矿岩体的形成年龄(约278 Ma)与区域性铜镍矿床的矿化年龄一致(约300~270 Ma),很可能形成于后碰撞伸展环境,其初始岩浆可能与软流圈岩浆上涌并导致被交代的地幔楔的部分熔融与岩浆混合有关.库拉比也成岩成矿时代揭示了早二叠世与铜镍成矿相关的岩浆活动在东准噶尔地区广泛发生,东准噶尔北缘具有很好的铜镍找矿潜力.
			            2022, 47(9): 3210-3228.
			             
		            	doi: 10.3799/dqkx.2021.213 
    					
					
						摘要: 
为深入了解东天山晚古生代时期的构造演化,对东天山卡拉塔格地区平台山岩体开展了系统的野外调查,并进行了锆石U-Pb年代学和地球化学研究.平台山岩体是由辉长岩、辉绿岩、角闪辉长岩和石英闪长岩组成的复式岩体.其中辉长岩和石英闪长岩的LA-ICP-MS锆石U-Pb年龄分别为284.7±2.8 Ma和270.0±3.4 Ma.辉长岩、辉绿岩和角闪辉长岩的SiO2为44.17%~50.14%,Fe2O3T为7.63%~12.75%,MgO介于2.79%~16.80%,全碱含量低且变化大(K2O+Na2O=1.79%~6.36%),Mg#值变化大(41~73),富集Rb、Ba、Sr、U和Pb,亏损Nb、Ta、Zr、Hf和Ti等高场强元素,与岛弧岩浆岩特征一致.石英闪长岩具有髙硅(SiO2=61.15%~64.62%)、富碱(K2O+Na2O=8.50%~9.34%),富集Rb、Ba和Zr、Hf、Y,具有Eu、Sr和Ti负异常,并有高的(Ga/Al)×104比值(3.55~3.68)和Y/Nb比值(14.31~16.28),与A2型花岗岩特征相似.辉长岩、辉绿岩和角闪辉长岩属于阿拉斯加型岩体,母岩浆来源于亏损地幔与被流体交代岩石圈地幔的混合物,石英闪长岩母岩浆来源于亏损地幔与下地壳熔体的混合物.结合区域资料,本文认为早二叠世康古尔洋尚未闭合,平台山复式岩体是康古尔洋洋脊斜向俯冲的产物.
			   
			        
			        
			        
				  
				为深入了解东天山晚古生代时期的构造演化,对东天山卡拉塔格地区平台山岩体开展了系统的野外调查,并进行了锆石U-Pb年代学和地球化学研究.平台山岩体是由辉长岩、辉绿岩、角闪辉长岩和石英闪长岩组成的复式岩体.其中辉长岩和石英闪长岩的LA-ICP-MS锆石U-Pb年龄分别为284.7±2.8 Ma和270.0±3.4 Ma.辉长岩、辉绿岩和角闪辉长岩的SiO2为44.17%~50.14%,Fe2O3T为7.63%~12.75%,MgO介于2.79%~16.80%,全碱含量低且变化大(K2O+Na2O=1.79%~6.36%),Mg#值变化大(41~73),富集Rb、Ba、Sr、U和Pb,亏损Nb、Ta、Zr、Hf和Ti等高场强元素,与岛弧岩浆岩特征一致.石英闪长岩具有髙硅(SiO2=61.15%~64.62%)、富碱(K2O+Na2O=8.50%~9.34%),富集Rb、Ba和Zr、Hf、Y,具有Eu、Sr和Ti负异常,并有高的(Ga/Al)×104比值(3.55~3.68)和Y/Nb比值(14.31~16.28),与A2型花岗岩特征相似.辉长岩、辉绿岩和角闪辉长岩属于阿拉斯加型岩体,母岩浆来源于亏损地幔与被流体交代岩石圈地幔的混合物,石英闪长岩母岩浆来源于亏损地幔与下地壳熔体的混合物.结合区域资料,本文认为早二叠世康古尔洋尚未闭合,平台山复式岩体是康古尔洋洋脊斜向俯冲的产物.
			            2022, 47(9): 3229-3243.
			             
		            	doi: 10.3799/dqkx.2022.121 
    					
					
						摘要: 
阿奇山-雅满苏构造带是东天山造山带的重要组成部分,其大地构造属性至今仍存在争议.小东山火山岩出露于阿奇山-雅满苏构造带的西段,包括基性到酸性系列火山岩,是认识阿奇山-雅满苏构造带属性和演化的有效“岩石探针”.本次工作对其开展了系统的岩石学、锆石U-Pb年代学、元素和同位素地球化学研究.研究结果表明,小东山火山岩主要由花岗斑岩、英安斑岩、安山岩、玄武岩以及橄榄玄武岩组成,元素协变关系指示该套火山岩系列属于同源岩浆的演化产物.锆石LA-ICP-MS U-Pb测年结果显示,小东山火山岩年龄为318~308 Ma,形成于晚石炭世.该套火山岩SiO2含量变化范围较大(48.10%~76.82%),Al2O3含量整体较低且变化范围较小.从基性岩到酸性岩,稀土总量逐渐增加,Eu/Eu*值逐渐降低.中酸性火山岩大离子亲石元素Rb、K、Pb、Sr等相对富集,高场强元素Nb、Ta、Ti、P、Th等强烈亏损.而基性火山岩主要表现为Nb、Ta、Zr、Hf、Ti负异常,K、Pb、P正异常.所有火山岩均以低(87Sr/86Sr)i(0.704 50~0.707 14)、高εNd(t)(+3.16~+5.71)以及高εHf值(+5.45~+12.18)为特征.上述元素和同位素地球化学特征指示了小东山火山岩形成于岛弧构造环境,起源于交代地幔楔的部分熔融并经过了结晶分异作用.结合前人对区域构造-岩浆活动的认识,本文认为小东山火山岩所在的阿奇山-雅满苏岛弧带是在石炭纪古天山洋向南俯冲过程中形成.
			   
			        
			        
			        
				  
				阿奇山-雅满苏构造带是东天山造山带的重要组成部分,其大地构造属性至今仍存在争议.小东山火山岩出露于阿奇山-雅满苏构造带的西段,包括基性到酸性系列火山岩,是认识阿奇山-雅满苏构造带属性和演化的有效“岩石探针”.本次工作对其开展了系统的岩石学、锆石U-Pb年代学、元素和同位素地球化学研究.研究结果表明,小东山火山岩主要由花岗斑岩、英安斑岩、安山岩、玄武岩以及橄榄玄武岩组成,元素协变关系指示该套火山岩系列属于同源岩浆的演化产物.锆石LA-ICP-MS U-Pb测年结果显示,小东山火山岩年龄为318~308 Ma,形成于晚石炭世.该套火山岩SiO2含量变化范围较大(48.10%~76.82%),Al2O3含量整体较低且变化范围较小.从基性岩到酸性岩,稀土总量逐渐增加,Eu/Eu*值逐渐降低.中酸性火山岩大离子亲石元素Rb、K、Pb、Sr等相对富集,高场强元素Nb、Ta、Ti、P、Th等强烈亏损.而基性火山岩主要表现为Nb、Ta、Zr、Hf、Ti负异常,K、Pb、P正异常.所有火山岩均以低(87Sr/86Sr)i(0.704 50~0.707 14)、高εNd(t)(+3.16~+5.71)以及高εHf值(+5.45~+12.18)为特征.上述元素和同位素地球化学特征指示了小东山火山岩形成于岛弧构造环境,起源于交代地幔楔的部分熔融并经过了结晶分异作用.结合前人对区域构造-岩浆活动的认识,本文认为小东山火山岩所在的阿奇山-雅满苏岛弧带是在石炭纪古天山洋向南俯冲过程中形成.
			            2022, 47(9): 3244-3257.
			             
		            	doi: 10.3799/dqkx.2022.136 
    					
					
						摘要: 
东天山黄山东和黄山西镁铁-超镁铁岩是区域早二叠世大规模幔源岩浆作用的产物,赋存有两个大型岩浆铜镍硫化物矿床.黄山东和黄山西矿床的主要矿体均赋存于超镁铁岩中,其含矿超镁铁岩的成因机制研究对揭示区域铜镍硫化物成矿作用机制具有重要意义.本文对黄山东和黄山西含矿超镁铁岩进行了详细的电子背散射图像研究,发现其斜长石斑晶存在显著的不平衡结构,并系统进行了电子探针成分剖面分析.结果显示斜长石具有剧烈变化的成分环带,其中黄山东超镁铁岩斜长石An值介于48.6~75.6,黄山西含矿超镁铁岩斜长石An值介于44.9~79.2,表明两个矿床含矿超镁铁岩的母岩浆在侵位过程中发生过显著的成分变化.结合黄山东和黄山西镁铁-超镁铁杂岩体地质特征,本文认为高分异镁铁质岩浆的加入导致了低分异超镁铁质岩浆成分发生显著变化,致使岩浆硫化物熔离,以及黄山东和黄山西大型铜镍硫化物矿床的形成.
			   
			        
			        
			        
				  
				东天山黄山东和黄山西镁铁-超镁铁岩是区域早二叠世大规模幔源岩浆作用的产物,赋存有两个大型岩浆铜镍硫化物矿床.黄山东和黄山西矿床的主要矿体均赋存于超镁铁岩中,其含矿超镁铁岩的成因机制研究对揭示区域铜镍硫化物成矿作用机制具有重要意义.本文对黄山东和黄山西含矿超镁铁岩进行了详细的电子背散射图像研究,发现其斜长石斑晶存在显著的不平衡结构,并系统进行了电子探针成分剖面分析.结果显示斜长石具有剧烈变化的成分环带,其中黄山东超镁铁岩斜长石An值介于48.6~75.6,黄山西含矿超镁铁岩斜长石An值介于44.9~79.2,表明两个矿床含矿超镁铁岩的母岩浆在侵位过程中发生过显著的成分变化.结合黄山东和黄山西镁铁-超镁铁杂岩体地质特征,本文认为高分异镁铁质岩浆的加入导致了低分异超镁铁质岩浆成分发生显著变化,致使岩浆硫化物熔离,以及黄山东和黄山西大型铜镍硫化物矿床的形成.
			            2022, 47(9): 3258-3269.
			             
		            	doi: 10.3799/dqkx.2021.203 
    					
					
						摘要: 
在北山造山带北部百合山蛇绿混杂岩带南清河沟-红柳峡地区新识别出一套辉长岩.通过LA-ICP-MS锆石U-Pb定年,全岩主微量及Sr-Nd同位素工作,显示辉长岩侵位于278.2±1.3 Ma,具有高镁(Mg#=55~66)、低钾拉斑-钙碱性的地球化学特征,富集Rb、Ba、Sr等大离子亲石元素,亏损Nb、Ta、Ti等高场强元素.辉长岩εNd(t)介于5.64~6.77,具有较高的Sm/Yb比值,暗示岩浆起源于亏损地幔的部分熔融.较高的Mg#及Cr、Ni含量及Zr、Hf负异常,表明母岩浆经历了有限的分离结晶与地壳混染.结合区域地质资料,认为北山造山带北部增生造山作用结束时限为早-中二叠世,北山造山带古亚洲洋最终闭合可能在中二叠世之后.
			   
			        
			        
			        
				  
				在北山造山带北部百合山蛇绿混杂岩带南清河沟-红柳峡地区新识别出一套辉长岩.通过LA-ICP-MS锆石U-Pb定年,全岩主微量及Sr-Nd同位素工作,显示辉长岩侵位于278.2±1.3 Ma,具有高镁(Mg#=55~66)、低钾拉斑-钙碱性的地球化学特征,富集Rb、Ba、Sr等大离子亲石元素,亏损Nb、Ta、Ti等高场强元素.辉长岩εNd(t)介于5.64~6.77,具有较高的Sm/Yb比值,暗示岩浆起源于亏损地幔的部分熔融.较高的Mg#及Cr、Ni含量及Zr、Hf负异常,表明母岩浆经历了有限的分离结晶与地壳混染.结合区域地质资料,认为北山造山带北部增生造山作用结束时限为早-中二叠世,北山造山带古亚洲洋最终闭合可能在中二叠世之后.
			            2022, 47(9): 3270-3284.
			             
		            	doi: 10.3799/dqkx.2021.191 
    					
					
						摘要: 
北山造山带位于中亚造山带南部,是中亚造山带的重要组成部分.为了进一步深入认识北山造山带晚古生代的构造‒岩浆演化过程,选择北山造山带南部石板墩‒白墩子地区的晚古生代花岗岩‒闪长岩开展了岩石学、锆石U-Pb定年、Hf同位素、微量元素及岩石地球化学研究.LA-ICP-MS锆石U-Pb年代学研究限定了石板墩花岗岩形成于~304~ 302 Ma,石板墩闪长岩形成于~291 Ma,白墩子石英闪长岩形成于~270 Ma.它们的锆石Hf同位素均呈现较亏损的特征(εHf(t)=-2.0~+15.7),且由老到新,亏损程度依次增加.岩石学和地球化学特征暗示了亏损地幔来源岩浆在北山造山带晚古生代岩浆活动中的主导作用,亏损地幔来源岩浆与古老地壳部分熔融形成的岩浆以不同比例混合,形成了复杂的岩石组合.因此,晚石炭世‒早二叠世花岗岩‒闪长岩可能形成于后撤式增生造山作用导致的弧后伸展构造环境.
			   
			        
			        
			        
				  
				北山造山带位于中亚造山带南部,是中亚造山带的重要组成部分.为了进一步深入认识北山造山带晚古生代的构造‒岩浆演化过程,选择北山造山带南部石板墩‒白墩子地区的晚古生代花岗岩‒闪长岩开展了岩石学、锆石U-Pb定年、Hf同位素、微量元素及岩石地球化学研究.LA-ICP-MS锆石U-Pb年代学研究限定了石板墩花岗岩形成于~304~ 302 Ma,石板墩闪长岩形成于~291 Ma,白墩子石英闪长岩形成于~270 Ma.它们的锆石Hf同位素均呈现较亏损的特征(εHf(t)=-2.0~+15.7),且由老到新,亏损程度依次增加.岩石学和地球化学特征暗示了亏损地幔来源岩浆在北山造山带晚古生代岩浆活动中的主导作用,亏损地幔来源岩浆与古老地壳部分熔融形成的岩浆以不同比例混合,形成了复杂的岩石组合.因此,晚石炭世‒早二叠世花岗岩‒闪长岩可能形成于后撤式增生造山作用导致的弧后伸展构造环境.
			            2022, 47(9): 3285-3300.
			             
		            	doi: 10.3799/dqkx.2021.155 
    					
					
						摘要: 
为揭示中亚造山带南段洋‒陆构造演化时限及动力学背景,对中亚造山带南缘北山地区花牛山晚古生代闪长玢岩进行年代学、主微量及Sr-Nd-Pb同位素研究.闪长玢岩LA-ICP-MS锆石U-Pb年龄为287.6±7.5 Ma,SiO2为53.92%~54.84%,K2O+Na2O为6.34%~6.82%,高Al2O3(14.66%~15.23%)低MgO(3.20%~3.99%),Mg#值为40.26~46.50;轻稀土元素富集((La/Yb)N=20.07~21.33),弱负Eu异常(δEu=0.79~0.82);明显富集Cs、Rb、Ba、K、Th及Pb,弱富集Zr和Hf,亏损Nb、Ta、Ti、P和Sr;(87Sr/86Sr)i值在0.707 009~0.708 799之间,(143Nd/144Nd)i值介于0.512 248~0.512 272,εNd(t)值为-0.39~+0.09.这些特征指示闪长玢岩源于地幔物质熔融,岩浆演化过程中发生地壳同化混染.结合区域地质背景,花牛山闪长玢岩的形成与北山南部辉铜山‒帐房山洋盆北向俯冲闭合后的板内伸展构造背景相关,指示中亚造山带南缘北山南部于早二叠世时已经进入陆内构造阶段.
			   
			        
			        
			        
				  
				为揭示中亚造山带南段洋‒陆构造演化时限及动力学背景,对中亚造山带南缘北山地区花牛山晚古生代闪长玢岩进行年代学、主微量及Sr-Nd-Pb同位素研究.闪长玢岩LA-ICP-MS锆石U-Pb年龄为287.6±7.5 Ma,SiO2为53.92%~54.84%,K2O+Na2O为6.34%~6.82%,高Al2O3(14.66%~15.23%)低MgO(3.20%~3.99%),Mg#值为40.26~46.50;轻稀土元素富集((La/Yb)N=20.07~21.33),弱负Eu异常(δEu=0.79~0.82);明显富集Cs、Rb、Ba、K、Th及Pb,弱富集Zr和Hf,亏损Nb、Ta、Ti、P和Sr;(87Sr/86Sr)i值在0.707 009~0.708 799之间,(143Nd/144Nd)i值介于0.512 248~0.512 272,εNd(t)值为-0.39~+0.09.这些特征指示闪长玢岩源于地幔物质熔融,岩浆演化过程中发生地壳同化混染.结合区域地质背景,花牛山闪长玢岩的形成与北山南部辉铜山‒帐房山洋盆北向俯冲闭合后的板内伸展构造背景相关,指示中亚造山带南缘北山南部于早二叠世时已经进入陆内构造阶段.
			            2022, 47(9): 3301-3315.
			             
		            	doi: 10.3799/dqkx.2021.199 
    					
					
						摘要: 
中亚造山带东南缘三叠纪花岗岩类型多样且成因复杂,为研究其物源及形成背景,本文选取解放营子岩体不同位置的二长花岗岩、片麻状似斑状花岗岩和闪长玢岩,并对其进行全岩地球化学、锆石年代学及全岩Sr-Nd-Li同位素分析.锆石U-Pb年代学结果显示解放营子岩体不同类型的岩石均形成于晚三叠世(234~226 Ma).地球化学特征表明岩体为经历不同程度结晶分异作用的I型花岗岩.略负到正的ɛNd(t)值(-3.9~+1.5)指示它们主要来源于新生地壳,且源区有不同程度古老地壳物质的加入.为了进一步示踪再循环物质对岩浆源区的贡献,本文首次报到了该地区岩体的全岩Li同位素特征,δ7Li值变化范围为+1.1~+6.6‰,平均值为+3.37‰,接近上地幔平均值,表明有显著幔源组分的贡献.结合区域地质特征,晚三叠世解放营子岩体为未明显受再循环物质作用的幔源组分在造山后伸展背景下发生部分熔融形成,且岩浆源区有古老陆壳组分的加入.
			   
			        
			        
			        
				  
				中亚造山带东南缘三叠纪花岗岩类型多样且成因复杂,为研究其物源及形成背景,本文选取解放营子岩体不同位置的二长花岗岩、片麻状似斑状花岗岩和闪长玢岩,并对其进行全岩地球化学、锆石年代学及全岩Sr-Nd-Li同位素分析.锆石U-Pb年代学结果显示解放营子岩体不同类型的岩石均形成于晚三叠世(234~226 Ma).地球化学特征表明岩体为经历不同程度结晶分异作用的I型花岗岩.略负到正的ɛNd(t)值(-3.9~+1.5)指示它们主要来源于新生地壳,且源区有不同程度古老地壳物质的加入.为了进一步示踪再循环物质对岩浆源区的贡献,本文首次报到了该地区岩体的全岩Li同位素特征,δ7Li值变化范围为+1.1~+6.6‰,平均值为+3.37‰,接近上地幔平均值,表明有显著幔源组分的贡献.结合区域地质特征,晚三叠世解放营子岩体为未明显受再循环物质作用的幔源组分在造山后伸展背景下发生部分熔融形成,且岩浆源区有古老陆壳组分的加入.
			            2022, 47(9): 3316-3333.
			             
		            	doi: 10.3799/dqkx.2022.065 
    					
					
						摘要: 
额尔古纳地块东缘韩家园子‒富林地区紧邻蒙古‒鄂霍茨克缝合带,其广泛出露的早侏罗世‒早白垩世火成岩对于完善蒙古‒鄂霍茨克洋俯冲‒闭合历史具有重要意义.本文对韩家园子‒富林地区的中生代火成岩进行岩相学、锆石U-Pb年代学、全岩主‒微量元素地球化学研究.LA-ICP-MS锆石U-Pb结果显示韩家园子钾长花岗岩锆石U-Pb年龄为196±2 Ma,代表其侵位时代为早侏罗世;富林地区光华组粗安岩锆石U-Pb年龄为122±2 Ma,暗示其结晶时代为早白垩世.早侏罗世钾长花岗岩为准铝质的Ⅰ型花岗岩,Mg#值较低(36),Nb/Ta比值(16.55~17.05)接近于原始地幔,暗示岩浆应来源于新生下地壳的部分熔融.同时,钾长花岗岩富集大离子亲石元素Rb、Ba、K,亏损高场强元素Nb、Ta、Ti,与典型弧型火成岩的地球化学特征相一致,结合区域上发育同时代准铝质或弱过铝质Ⅰ型花岗岩的事实,表明其可能与蒙古‒鄂霍茨克洋南向俯冲至额尔古纳地块有关.相比较下,早白垩世粗安岩具有较低的SiO2含量(59.67%~59.93%)和较高的Mg#值(42~43),同时富集大离子亲石元素Rb、Ba、K,亏损高场强元素Nb、Ta、Ti,富集Sr,亏损Th,暗示其可能是富集岩石圈地幔重熔的产物.鉴于区域上其他来源于富集岩石圈地幔的早白垩世钙碱性火山岩呈面状分布的特征,以及早白垩世A型花岗岩和变质核杂岩的存在,暗示粗安岩为蒙古‒鄂霍茨克洋闭合后伸展环境下的产物.结合区域最新火成岩和沉积岩资料,认为蒙古‒鄂霍茨克洋在早侏罗世‒早白垩世发生俯冲‒碰撞‒后碰撞作用,其在大兴安岭北部闭合时间应介于晚侏罗世末期和早白垩世早期(约150~140 Ma).
			   
			        
			        
			        
				  
				额尔古纳地块东缘韩家园子‒富林地区紧邻蒙古‒鄂霍茨克缝合带,其广泛出露的早侏罗世‒早白垩世火成岩对于完善蒙古‒鄂霍茨克洋俯冲‒闭合历史具有重要意义.本文对韩家园子‒富林地区的中生代火成岩进行岩相学、锆石U-Pb年代学、全岩主‒微量元素地球化学研究.LA-ICP-MS锆石U-Pb结果显示韩家园子钾长花岗岩锆石U-Pb年龄为196±2 Ma,代表其侵位时代为早侏罗世;富林地区光华组粗安岩锆石U-Pb年龄为122±2 Ma,暗示其结晶时代为早白垩世.早侏罗世钾长花岗岩为准铝质的Ⅰ型花岗岩,Mg#值较低(36),Nb/Ta比值(16.55~17.05)接近于原始地幔,暗示岩浆应来源于新生下地壳的部分熔融.同时,钾长花岗岩富集大离子亲石元素Rb、Ba、K,亏损高场强元素Nb、Ta、Ti,与典型弧型火成岩的地球化学特征相一致,结合区域上发育同时代准铝质或弱过铝质Ⅰ型花岗岩的事实,表明其可能与蒙古‒鄂霍茨克洋南向俯冲至额尔古纳地块有关.相比较下,早白垩世粗安岩具有较低的SiO2含量(59.67%~59.93%)和较高的Mg#值(42~43),同时富集大离子亲石元素Rb、Ba、K,亏损高场强元素Nb、Ta、Ti,富集Sr,亏损Th,暗示其可能是富集岩石圈地幔重熔的产物.鉴于区域上其他来源于富集岩石圈地幔的早白垩世钙碱性火山岩呈面状分布的特征,以及早白垩世A型花岗岩和变质核杂岩的存在,暗示粗安岩为蒙古‒鄂霍茨克洋闭合后伸展环境下的产物.结合区域最新火成岩和沉积岩资料,认为蒙古‒鄂霍茨克洋在早侏罗世‒早白垩世发生俯冲‒碰撞‒后碰撞作用,其在大兴安岭北部闭合时间应介于晚侏罗世末期和早白垩世早期(约150~140 Ma).
			            2022, 47(9): 3334-3353.
			             
		            	doi: 10.3799/dqkx.2021.159 
    					
					
						摘要: 
漠河盆地位于蒙古‒鄂霍茨克缝合带(MOSB)东段南缘,是研究蒙古‒鄂霍茨克洋东段演化的绝佳窗口.本文对漠河盆地东缘出露的绣峰组砂岩进行详细的岩相学、U-Pb锆石定年和主微量元素地球化学分析,综合前人研究成果,限定了蒙古‒鄂霍茨克洋乃至中亚造山带东段演化历史.结果表明,绣峰组砂岩碎屑物磨圆度较低、分选差,表现出近源剥蚀的特点;U-Pb锆石定年共获得217个谐和年龄,可划分为3个年龄组,其峰值均与盆地南缘额尔古纳地块的岩浆事件相吻合,其中最年轻的碎屑锆石206Pb/238U年龄加权平均值为158±2 Ma(N=5);样品相对富集大离子亲石元素(LILEs)和轻稀土元素(LREEs),亏损高场强元素(HFSEs)和重稀土元素(HREEs),具有明显的Eu负异常.样品源岩为上地壳长英质岩石,形成于大陆岛弧的构造环境,源区可能为漠河盆地南侧的大陆岛弧、额尔古纳地块以及盆地的古老基底.综上所述,绣峰组的最大沉积年龄为晚侏罗世,物源区构造背景为活动大陆边缘的大陆岛弧环境,形成于晚侏罗世蒙古‒鄂霍茨克洋向南俯冲、闭合造山的构造背景下,指示在绣峰组沉积时期(约158 Ma),蒙古‒鄂霍茨克洋仍处于俯冲阶段,尚未完全闭合.综合前人研究成果,推断蒙古‒鄂霍茨克洋最终闭合的时间可能在晚侏罗世至早白垩世之间.
			   
			        
			        
			        
				  
				漠河盆地位于蒙古‒鄂霍茨克缝合带(MOSB)东段南缘,是研究蒙古‒鄂霍茨克洋东段演化的绝佳窗口.本文对漠河盆地东缘出露的绣峰组砂岩进行详细的岩相学、U-Pb锆石定年和主微量元素地球化学分析,综合前人研究成果,限定了蒙古‒鄂霍茨克洋乃至中亚造山带东段演化历史.结果表明,绣峰组砂岩碎屑物磨圆度较低、分选差,表现出近源剥蚀的特点;U-Pb锆石定年共获得217个谐和年龄,可划分为3个年龄组,其峰值均与盆地南缘额尔古纳地块的岩浆事件相吻合,其中最年轻的碎屑锆石206Pb/238U年龄加权平均值为158±2 Ma(N=5);样品相对富集大离子亲石元素(LILEs)和轻稀土元素(LREEs),亏损高场强元素(HFSEs)和重稀土元素(HREEs),具有明显的Eu负异常.样品源岩为上地壳长英质岩石,形成于大陆岛弧的构造环境,源区可能为漠河盆地南侧的大陆岛弧、额尔古纳地块以及盆地的古老基底.综上所述,绣峰组的最大沉积年龄为晚侏罗世,物源区构造背景为活动大陆边缘的大陆岛弧环境,形成于晚侏罗世蒙古‒鄂霍茨克洋向南俯冲、闭合造山的构造背景下,指示在绣峰组沉积时期(约158 Ma),蒙古‒鄂霍茨克洋仍处于俯冲阶段,尚未完全闭合.综合前人研究成果,推断蒙古‒鄂霍茨克洋最终闭合的时间可能在晚侏罗世至早白垩世之间.
			            2022, 47(9): 3354-3370.
			             
		            	doi: 10.3799/dqkx.2021.189 
    					
					
						摘要: 
大兴安岭扎兰屯南部位于中亚造山带东段,兴安地块(XB)与松嫩地块(SB)之间,是探究兴安地块与松嫩地块构造演化过程,乃至中亚造山带东段微地块聚合过程的关键地区. 对该地区出露的花岗质糜棱岩进行地质学、地球化学、锆石U-Pb测年分析,以期查明板块俯冲过程中的岩浆作用特征,并尝试限定兴安地块与松嫩地块碰撞拼合时间.LA-ICP-MS锆石U-Pb测年结果表明,花岗质糜棱岩分为两期:Ⅰ期为早泥盆世(~398.8 Ma),Ⅱ期为晚泥盆世末‒早石炭世(351.6~365.7 Ma). 两期岩石均具有高SiO2(68.20%~77.90%),富碱(K2O+Na2O=6.32%~9.67%),贫镁(MgO=0.22%~0.97%),偏铝质,高钾钙碱性系列的特征. 稀土元素分布模式均为右倾[(La/Yb)N=4.33~10.77],Eu负异常(δEu=0.03~0.13),富集LILE,亏损HFSE,具有Ⅰ型花岗岩的特征. 两期花岗质糜棱岩可能为俯冲背景下岛弧岩浆活动形成的Ⅰ型‒分异Ⅰ型花岗岩. 结合区域构造演化和岩石地球化学研究,大兴安岭北段晚古生代早期花岗质岩浆作用与兴安地块与松嫩地块的碰撞拼合作用有关,扎兰屯地区早泥盆世‒早石炭世处于古亚洲洋向兴安地块和松嫩地块俯冲的构造背景下,两个地块的最终碰撞拼合时限可能为晚石炭世.
			   
			        
			        
			        
				  
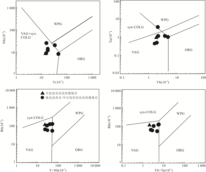
				大兴安岭扎兰屯南部位于中亚造山带东段,兴安地块(XB)与松嫩地块(SB)之间,是探究兴安地块与松嫩地块构造演化过程,乃至中亚造山带东段微地块聚合过程的关键地区. 对该地区出露的花岗质糜棱岩进行地质学、地球化学、锆石U-Pb测年分析,以期查明板块俯冲过程中的岩浆作用特征,并尝试限定兴安地块与松嫩地块碰撞拼合时间.LA-ICP-MS锆石U-Pb测年结果表明,花岗质糜棱岩分为两期:Ⅰ期为早泥盆世(~398.8 Ma),Ⅱ期为晚泥盆世末‒早石炭世(351.6~365.7 Ma). 两期岩石均具有高SiO2(68.20%~77.90%),富碱(K2O+Na2O=6.32%~9.67%),贫镁(MgO=0.22%~0.97%),偏铝质,高钾钙碱性系列的特征. 稀土元素分布模式均为右倾[(La/Yb)N=4.33~10.77],Eu负异常(δEu=0.03~0.13),富集LILE,亏损HFSE,具有Ⅰ型花岗岩的特征. 两期花岗质糜棱岩可能为俯冲背景下岛弧岩浆活动形成的Ⅰ型‒分异Ⅰ型花岗岩. 结合区域构造演化和岩石地球化学研究,大兴安岭北段晚古生代早期花岗质岩浆作用与兴安地块与松嫩地块的碰撞拼合作用有关,扎兰屯地区早泥盆世‒早石炭世处于古亚洲洋向兴安地块和松嫩地块俯冲的构造背景下,两个地块的最终碰撞拼合时限可能为晚石炭世.
			            2022, 47(9): 3371-3388.
			             
		            	doi: 10.3799/dqkx.2021.235 
    					
					
						摘要: 
近年来,人们在大兴安岭南部发现了多处与白垩纪花岗岩相关的锡多金属矿床,但并非所有该时期的花岗岩都与锡矿伴生.为了解花岗岩伴生锡矿的形成条件,本文对内蒙古北大山岩体中的含锡石(磨盘山)与不含锡石(窟窿山)花岗岩开展了锡石U-Pb年龄、锆石U-Pb年龄、全岩地球化学及矿物地球化学分析测试,并进行岩石学、年代学和岩浆演化物理化学条件的对比.结果表明,窟窿山石英正长斑岩和磨盘山黑云母花岗岩的锆石U-Pb加权平均年龄分别为140.2±0.7 Ma和139.9±0.7 Ma,磨盘山黑云母花岗岩锡石U-Pb加权平均年龄为134.9±1.4 Ma,时代均属于早白垩世.全岩地球化学分析结果表明,这些岩石具有高硅(SiO2=64.96%~76.71%),富碱(Na2O+K2O=8.28%~9.03%),过铝质(Al2O3=12.42%~15.88%)的特点.相对富集Th、Pb、Hf等元素,亏损Nb、Ta、Ti、Sr、P等元素.轻稀土相对重稀土明显富集,Eu异常明显.窟窿山石英正长斑岩与磨盘山黑云母花岗岩在哈克图解上,随着SiO2含量增加,TiO2、FeOT、Al2O3、CaO、Na2O、P2O5含量逐渐降低,呈现较好的负相关关系,暗示二者具有同源性.但窟窿山样品的DI值为89,Sn含量为2×10‒6;磨盘山样品具有较高的DI值(96~98),Sn含量高(15×10‒6~36×10‒6).从矿物学特征反演的物理化学条件推测,窟窿山岩体经历了温度降低、氧逸度升高的过程,而磨盘山岩体在降温过程中氧逸度进一步降低.另外,在流体卤素含量上,黑云母的Ⅳ(F)、Ⅳ(Cl)指示磨盘山花岗岩(Ⅳ(F)=0.95~1.15,Ⅳ(Cl)=-3.66~-3.54)相较于窟窿山石英正长斑岩(Ⅳ(F)=1.24~1.28,Ⅳ(Cl)=-2.96~-2.52)具有更高富集程度的Cl和F含量.综上,低氧逸度、高演化程度和高的F、Cl丰度是影响北大山地区花岗岩是否含锡的重要原因.
			   
			        
			        
			        
				  
				近年来,人们在大兴安岭南部发现了多处与白垩纪花岗岩相关的锡多金属矿床,但并非所有该时期的花岗岩都与锡矿伴生.为了解花岗岩伴生锡矿的形成条件,本文对内蒙古北大山岩体中的含锡石(磨盘山)与不含锡石(窟窿山)花岗岩开展了锡石U-Pb年龄、锆石U-Pb年龄、全岩地球化学及矿物地球化学分析测试,并进行岩石学、年代学和岩浆演化物理化学条件的对比.结果表明,窟窿山石英正长斑岩和磨盘山黑云母花岗岩的锆石U-Pb加权平均年龄分别为140.2±0.7 Ma和139.9±0.7 Ma,磨盘山黑云母花岗岩锡石U-Pb加权平均年龄为134.9±1.4 Ma,时代均属于早白垩世.全岩地球化学分析结果表明,这些岩石具有高硅(SiO2=64.96%~76.71%),富碱(Na2O+K2O=8.28%~9.03%),过铝质(Al2O3=12.42%~15.88%)的特点.相对富集Th、Pb、Hf等元素,亏损Nb、Ta、Ti、Sr、P等元素.轻稀土相对重稀土明显富集,Eu异常明显.窟窿山石英正长斑岩与磨盘山黑云母花岗岩在哈克图解上,随着SiO2含量增加,TiO2、FeOT、Al2O3、CaO、Na2O、P2O5含量逐渐降低,呈现较好的负相关关系,暗示二者具有同源性.但窟窿山样品的DI值为89,Sn含量为2×10‒6;磨盘山样品具有较高的DI值(96~98),Sn含量高(15×10‒6~36×10‒6).从矿物学特征反演的物理化学条件推测,窟窿山岩体经历了温度降低、氧逸度升高的过程,而磨盘山岩体在降温过程中氧逸度进一步降低.另外,在流体卤素含量上,黑云母的Ⅳ(F)、Ⅳ(Cl)指示磨盘山花岗岩(Ⅳ(F)=0.95~1.15,Ⅳ(Cl)=-3.66~-3.54)相较于窟窿山石英正长斑岩(Ⅳ(F)=1.24~1.28,Ⅳ(Cl)=-2.96~-2.52)具有更高富集程度的Cl和F含量.综上,低氧逸度、高演化程度和高的F、Cl丰度是影响北大山地区花岗岩是否含锡的重要原因.
			            2022, 47(9): 3389-3400.
			             
		            	doi: 10.3799/dqkx.2022.032 
    					
					
						摘要: 
走滑断裂带对中国西部压扭性叠合盆地大中型油气田形成与分布具有重要的控制作用,也是研究难点之一.基于高密度三维地震资料,本文采用多种地震构造解析技术,瞄准噶尔盆地腹部侏罗系开展了精细走滑断裂带解释和变形样式分析.在燕山Ⅱ幕构造活动期,侏罗系发育了NWW向左行压扭性和NE向左行张扭性两类走滑断裂带.它们都是由4组剪切断层复合而成,共同遵从左行简单剪切模式,但几何学特征和构造属性差异很大.NWW和NE向走滑断裂带不存在共轭剪切关系,而是在钝夹角区(135°左右)普遍具有弧形联合与归并趋势.在构造变形中,两类同期左行走滑断裂带弧形联合控制了变形区域旋扭形变和剪切破裂,构成了一个大尺度“面”状旋扭构造体系.旋扭构造变形样式对中亚陆内造山带研究具有一定借鉴意义,也为压扭盆地的油气勘探实践提供了新思路.
			   
			        
			        
			        
				  
				走滑断裂带对中国西部压扭性叠合盆地大中型油气田形成与分布具有重要的控制作用,也是研究难点之一.基于高密度三维地震资料,本文采用多种地震构造解析技术,瞄准噶尔盆地腹部侏罗系开展了精细走滑断裂带解释和变形样式分析.在燕山Ⅱ幕构造活动期,侏罗系发育了NWW向左行压扭性和NE向左行张扭性两类走滑断裂带.它们都是由4组剪切断层复合而成,共同遵从左行简单剪切模式,但几何学特征和构造属性差异很大.NWW和NE向走滑断裂带不存在共轭剪切关系,而是在钝夹角区(135°左右)普遍具有弧形联合与归并趋势.在构造变形中,两类同期左行走滑断裂带弧形联合控制了变形区域旋扭形变和剪切破裂,构成了一个大尺度“面”状旋扭构造体系.旋扭构造变形样式对中亚陆内造山带研究具有一定借鉴意义,也为压扭盆地的油气勘探实践提供了新思路.
			            2022, 47(9): 3401-3416.
			             
		            	doi: 10.3799/dqkx.2022.131 
    					
					
						摘要: 
高精度航磁数据分析与挖掘是揭示区域性断裂带空间展布与岩石圈热结构的重要手段之一.为了揭示辽宁及其邻区航磁异常与区域性断裂带关系,估算其居里面深度与岩石圈厚度,本文在对航磁数据进行化极的基础上,利用功率谱法反演了研究区居里面深度;采用一维稳态热传导方程,计算了辽东‒渤海湾地区岩石圈厚度.研究表明:(1)辽东、辽西与渤海湾地区存在多条北东向/北北东向航磁异常带,它们是晚中生代以来太平洋板片俯冲作用背景下,活动大陆边缘长期伸展与短暂挤压状态交替演变的产物;而辽北地区被北东向磁异常带错断的近东西/北西西向航磁异常带,则是古亚洲洋闭合后碰撞造山晚期伸展抬升至中地壳层次的构造形迹.(2)辽宁及其邻区居里面深度在16~40 km之间,平均深度为28 km,阜新与盘锦等居里面隆起区对应的大地热流值相对偏高;而沈阳与辽源居里面坳陷区对应的大地热流值偏低.(3)辽宁及其邻区岩石圈厚度具有空间非均匀性,变化范围为70~150 km,平均值为100 km;郯庐断裂带附近的营口‒鞍山地区下方岩石圈厚度最薄,为60~80 km;辽东与渤海湾地区岩石圈厚度空间非均匀性可能是晚中生代以来太平洋板片俯冲诱导的上升流与克拉通岩石圈内部先存的构造薄弱带共同作用的结果.
			   
			        
			        
			        
				  
				高精度航磁数据分析与挖掘是揭示区域性断裂带空间展布与岩石圈热结构的重要手段之一.为了揭示辽宁及其邻区航磁异常与区域性断裂带关系,估算其居里面深度与岩石圈厚度,本文在对航磁数据进行化极的基础上,利用功率谱法反演了研究区居里面深度;采用一维稳态热传导方程,计算了辽东‒渤海湾地区岩石圈厚度.研究表明:(1)辽东、辽西与渤海湾地区存在多条北东向/北北东向航磁异常带,它们是晚中生代以来太平洋板片俯冲作用背景下,活动大陆边缘长期伸展与短暂挤压状态交替演变的产物;而辽北地区被北东向磁异常带错断的近东西/北西西向航磁异常带,则是古亚洲洋闭合后碰撞造山晚期伸展抬升至中地壳层次的构造形迹.(2)辽宁及其邻区居里面深度在16~40 km之间,平均深度为28 km,阜新与盘锦等居里面隆起区对应的大地热流值相对偏高;而沈阳与辽源居里面坳陷区对应的大地热流值偏低.(3)辽宁及其邻区岩石圈厚度具有空间非均匀性,变化范围为70~150 km,平均值为100 km;郯庐断裂带附近的营口‒鞍山地区下方岩石圈厚度最薄,为60~80 km;辽东与渤海湾地区岩石圈厚度空间非均匀性可能是晚中生代以来太平洋板片俯冲诱导的上升流与克拉通岩石圈内部先存的构造薄弱带共同作用的结果.
			            2022, 47(9): 3417-3430.
			             
		            	doi: 10.3799/dqkx.2022.152 
    					
					
						摘要: 
天山造山带中新生代快速剥露对于了解天山构造演化过程意义重大.然而,人们对于中新生代精确的冷却时间还一直存在争议.本文报道了塔里木盆地北缘库车河剖面中生界砂岩中碎屑磷灰石裂变径迹数据和早二叠世流纹岩热史演化模拟结果. 热年代学年龄趋势显示碎屑磷灰石裂变径迹的主要年龄组分为143.0~148.9 Ma和35.7~38.1 Ma,其中较年轻的组分已经完全重置,揭示了库车坳陷的剥露信息. 热史模拟结果显示了160~140 Ma的快速冷却事件. 结合库车河剖面前人的碎屑锆石U-Pb和重矿物数据,笔者认为欧亚南缘拉萨地体的拼贴是通过刚性的塔里木将挤压应力传递至天山,导致其在晚侏罗世‒早白垩世强烈隆升剥蚀,大量碎屑被搬运沉积在塔里木盆地北缘,造成库车坳陷中广泛发育的早白垩世亚格列木组砾岩及其与晚侏罗世地层之间的角度不整合. 在欧亚板块南缘多块体持续拼贴的远程效应下,天山经历始新世快速隆升变形,变形持续向南扩展,导致库车坳陷在晚始新世遭受变形和抬升.
			   
			        
			        
			        
				  
				天山造山带中新生代快速剥露对于了解天山构造演化过程意义重大.然而,人们对于中新生代精确的冷却时间还一直存在争议.本文报道了塔里木盆地北缘库车河剖面中生界砂岩中碎屑磷灰石裂变径迹数据和早二叠世流纹岩热史演化模拟结果. 热年代学年龄趋势显示碎屑磷灰石裂变径迹的主要年龄组分为143.0~148.9 Ma和35.7~38.1 Ma,其中较年轻的组分已经完全重置,揭示了库车坳陷的剥露信息. 热史模拟结果显示了160~140 Ma的快速冷却事件. 结合库车河剖面前人的碎屑锆石U-Pb和重矿物数据,笔者认为欧亚南缘拉萨地体的拼贴是通过刚性的塔里木将挤压应力传递至天山,导致其在晚侏罗世‒早白垩世强烈隆升剥蚀,大量碎屑被搬运沉积在塔里木盆地北缘,造成库车坳陷中广泛发育的早白垩世亚格列木组砾岩及其与晚侏罗世地层之间的角度不整合. 在欧亚板块南缘多块体持续拼贴的远程效应下,天山经历始新世快速隆升变形,变形持续向南扩展,导致库车坳陷在晚始新世遭受变形和抬升.
			            2022, 47(9): 3431-3446.
			             
		            	doi: 10.3799/dqkx.2021.261 
    					
					
						摘要: 
荆山岩群是胶北地体最重要的古元古代变沉积岩系之一,经历了高角闪岩相‒麻粒岩相变质与韧性变形,准确限定其沉积时代与物质来源对探究胶‒辽‒吉带古元古代构造演化过程具有重要意义.本文利用LA-ICP-MS(激光剥蚀电感耦合等离子质谱仪)对旌旗山地区荆山岩群禄格庄岩组中长石石英岩进行了锆石U-Pb测年和稀土元素分析.根据碎屑锆石内部结构和年龄结果,认为在最年轻一组碎屑锆石中谐和的207Pb/206Pb加权平均年龄2 120 Ma,可以大致限定其原岩的最大沉积时代,两件样品获得的变质年龄分别为1 886±12 Ma与1 969±23 Ma,结合区内禄格庄岩组被2 103~2 085 Ma二长花岗质片麻岩侵入的地质关系,初步限定旌旗山地区禄格庄岩组的沉积时代约为2 100 Ma.长石石英岩中有效碎屑锆石年龄谱图呈现2 105 Ma主峰值年龄和2 185 Ma次峰值年龄,指示旌旗山地区禄格庄岩组的主要物源为古元古代(2 200~ 2 100 Ma)中‒酸性岩浆岩或再循环的产物,同时接受了少量太古宙的碎屑物质.综合胶‒辽‒吉带已发表的其他相关数据,认为以荆山岩群禄格庄岩组为代表的胶‒辽‒吉带南侧底部变沉积岩沉积时可能位于弧后盆地靠近岛弧一侧,以粉子山岩群小宋岩组为代表的胶‒辽‒吉带北侧底部变沉积岩则可能位于弧后盆地靠近太古宙大陆一侧.
			   
			        
			        
			        
				  
				荆山岩群是胶北地体最重要的古元古代变沉积岩系之一,经历了高角闪岩相‒麻粒岩相变质与韧性变形,准确限定其沉积时代与物质来源对探究胶‒辽‒吉带古元古代构造演化过程具有重要意义.本文利用LA-ICP-MS(激光剥蚀电感耦合等离子质谱仪)对旌旗山地区荆山岩群禄格庄岩组中长石石英岩进行了锆石U-Pb测年和稀土元素分析.根据碎屑锆石内部结构和年龄结果,认为在最年轻一组碎屑锆石中谐和的207Pb/206Pb加权平均年龄2 120 Ma,可以大致限定其原岩的最大沉积时代,两件样品获得的变质年龄分别为1 886±12 Ma与1 969±23 Ma,结合区内禄格庄岩组被2 103~2 085 Ma二长花岗质片麻岩侵入的地质关系,初步限定旌旗山地区禄格庄岩组的沉积时代约为2 100 Ma.长石石英岩中有效碎屑锆石年龄谱图呈现2 105 Ma主峰值年龄和2 185 Ma次峰值年龄,指示旌旗山地区禄格庄岩组的主要物源为古元古代(2 200~ 2 100 Ma)中‒酸性岩浆岩或再循环的产物,同时接受了少量太古宙的碎屑物质.综合胶‒辽‒吉带已发表的其他相关数据,认为以荆山岩群禄格庄岩组为代表的胶‒辽‒吉带南侧底部变沉积岩沉积时可能位于弧后盆地靠近岛弧一侧,以粉子山岩群小宋岩组为代表的胶‒辽‒吉带北侧底部变沉积岩则可能位于弧后盆地靠近太古宙大陆一侧.
			            2022, 47(9): 3463-3476.
			             
		            	doi: 10.3799/dqkx.2022.099 
    					
					
						摘要: 
快速准确地识别岩体裂隙的三维分布特征是西南山区铁路防灾减灾的关键.本研究提出了一套岩体裂隙可视化新方法,基于测窗调查的裂隙数据,依托球坐标及极射赤平投影进行数字化处理及降维,利用K-Means++聚类算法、Fisher分布模型和蒙特卡洛模拟,完成裂隙产状数据的自动分组和模拟,最后运用Python及圆盘模型实现岩体裂隙三维可视化.本研究采用坐标变换和三角网格曲面的方式,更有利于与其他三维建模软件嵌套分析.水电站工程的先行应用研究表明产状数据服从Fisher分布,本文的模型相对于传统玫瑰花图和施密特图有着一定的优势.因此,本文建立的岩体裂隙模型具有直观快速反映区域裂隙网络三维分布特征的优点,研究成果可以直接服务于西南山区铁路施工阶段隧道掌子面及洞壁的节理裂隙三维识别以及防灾减灾研究.
			   
			        
			        
			        
				  
				快速准确地识别岩体裂隙的三维分布特征是西南山区铁路防灾减灾的关键.本研究提出了一套岩体裂隙可视化新方法,基于测窗调查的裂隙数据,依托球坐标及极射赤平投影进行数字化处理及降维,利用K-Means++聚类算法、Fisher分布模型和蒙特卡洛模拟,完成裂隙产状数据的自动分组和模拟,最后运用Python及圆盘模型实现岩体裂隙三维可视化.本研究采用坐标变换和三角网格曲面的方式,更有利于与其他三维建模软件嵌套分析.水电站工程的先行应用研究表明产状数据服从Fisher分布,本文的模型相对于传统玫瑰花图和施密特图有着一定的优势.因此,本文建立的岩体裂隙模型具有直观快速反映区域裂隙网络三维分布特征的优点,研究成果可以直接服务于西南山区铁路施工阶段隧道掌子面及洞壁的节理裂隙三维识别以及防灾减灾研究.
		            
		        



 
 登录
 注册
高级检索
邮件订阅
RSS
		
	            						
					
	            						
					
摘要
HTML全文