2022年 47卷 第5期
2022, 47(5): 1517-1533.
doi: 10.3799/dqkx.2022.160
摘要:
经过十余年理论技术持续攻关,中国陆上实现了致密砂岩气规模发展、页岩气快速发展、煤层气持续发展、致密油稳步发展和页岩油加快探索,源岩层系油气已成为中国非常规油气增储上产的主要组成部分.源岩层系油气包括源岩油气和致密油气2种资源类型,普遍具备有效配置的烃源岩、储集层和聚集保存3个方面基础地质形成条件,展现出源内或近源大面积连续分布标志特征,海相页岩气主要分布于深水陆棚区,致密砂岩气和煤层气一般分布于主要聚煤期煤系,页岩层系石油一般主要发育于长期持续沉降的富油湖盆.源岩层系油气开发追求“平面甜点区”“纵向甜点段”较好经济资源条件,页岩气需含气量高、孔隙度高、TOC含量高、热演化程度适中、气层埋藏适中、保存条件好、储层可压性好、储量规模大,致密砂岩气需全天候气源、中粗粒砂岩、含气层系多、大面积聚集、稳定斜坡区、中浅层埋藏,致密油甜点区段一般具有烃源性、储集性、含油性、流动性、成缝性和经济性“六特性”经济资源条件.中国非常规源岩层系油气资源丰富,源岩层系天然气是天然气上产的“主力”,源岩层系石油是石油稳产的“砝码”,实现地下原位“煤岩燃烧气化、页岩熟化气化”“2个革命性领域”突破是推进源岩层系油气领域“跨越式”发展的关键路径.
经过十余年理论技术持续攻关,中国陆上实现了致密砂岩气规模发展、页岩气快速发展、煤层气持续发展、致密油稳步发展和页岩油加快探索,源岩层系油气已成为中国非常规油气增储上产的主要组成部分.源岩层系油气包括源岩油气和致密油气2种资源类型,普遍具备有效配置的烃源岩、储集层和聚集保存3个方面基础地质形成条件,展现出源内或近源大面积连续分布标志特征,海相页岩气主要分布于深水陆棚区,致密砂岩气和煤层气一般分布于主要聚煤期煤系,页岩层系石油一般主要发育于长期持续沉降的富油湖盆.源岩层系油气开发追求“平面甜点区”“纵向甜点段”较好经济资源条件,页岩气需含气量高、孔隙度高、TOC含量高、热演化程度适中、气层埋藏适中、保存条件好、储层可压性好、储量规模大,致密砂岩气需全天候气源、中粗粒砂岩、含气层系多、大面积聚集、稳定斜坡区、中浅层埋藏,致密油甜点区段一般具有烃源性、储集性、含油性、流动性、成缝性和经济性“六特性”经济资源条件.中国非常规源岩层系油气资源丰富,源岩层系天然气是天然气上产的“主力”,源岩层系石油是石油稳产的“砝码”,实现地下原位“煤岩燃烧气化、页岩熟化气化”“2个革命性领域”突破是推进源岩层系油气领域“跨越式”发展的关键路径.
2022, 47(5): 1534-1548.
doi: 10.3799/dqkx.2021.249
摘要:
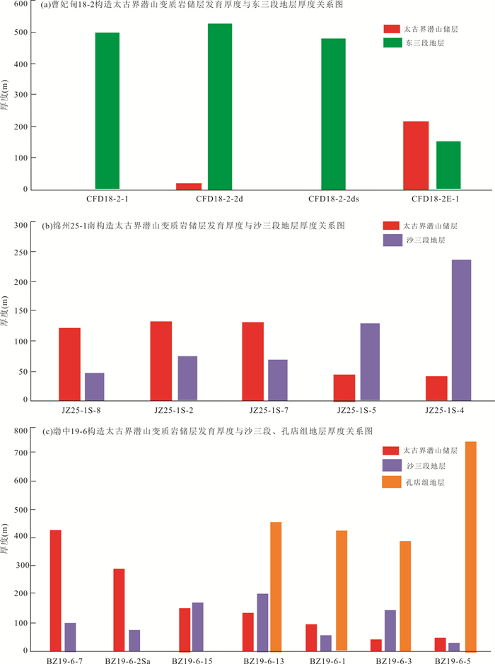
渤海海域近几年在太古界潜山领域获得了多个大型油气田发现,其中,渤中19-6构造天然气储量超过千亿方,展示了该领域巨大的勘探潜力.变质岩潜山储层规模是制约变质岩勘探的关键因素,落实规模性潜山储层形成条件具有重要的理论和实际意义.综合应用岩心、薄片、扫描电镜等实验资料以及地震资料分析了渤海海域太古界大型变质岩潜山储层形成条件.研究结果表明:富脆性长英质矿物是渤海海域太古界变质岩大型潜山储层发育的重要物质基础,长英质矿物含量控制了裂缝发育程度,也为风化淋滤和深部流体等的溶蚀作用提供了基础条件;多类型压性构造控制了大型裂缝型储层的形成;风化淋滤作用对太古界潜山储层纵向发育的明显控制作用,是影响太古界潜山储层纵向分带的主要因素;深部流体对太古界潜山储层具有重要改善作用,扩大了裂缝的规模.在上述形成条件指导下,建立了太古界大型潜山储层成因模式.
渤海海域近几年在太古界潜山领域获得了多个大型油气田发现,其中,渤中19-6构造天然气储量超过千亿方,展示了该领域巨大的勘探潜力.变质岩潜山储层规模是制约变质岩勘探的关键因素,落实规模性潜山储层形成条件具有重要的理论和实际意义.综合应用岩心、薄片、扫描电镜等实验资料以及地震资料分析了渤海海域太古界大型变质岩潜山储层形成条件.研究结果表明:富脆性长英质矿物是渤海海域太古界变质岩大型潜山储层发育的重要物质基础,长英质矿物含量控制了裂缝发育程度,也为风化淋滤和深部流体等的溶蚀作用提供了基础条件;多类型压性构造控制了大型裂缝型储层的形成;风化淋滤作用对太古界潜山储层纵向发育的明显控制作用,是影响太古界潜山储层纵向分带的主要因素;深部流体对太古界潜山储层具有重要改善作用,扩大了裂缝的规模.在上述形成条件指导下,建立了太古界大型潜山储层成因模式.
2022, 47(5): 1549-1568.
doi: 10.3799/dqkx.2021.119
摘要:
二十多年来,南海天然气水合物勘查评价均主要集中在南海北部大陆边缘陆坡深水区,且先后在珠江口盆地神狐、珠江口盆地东部海域调查区和琼东南盆地陵水-松南调查区取得了天然气水合物勘查试采的重大突破及进展,陆续发现了两个大规模的天然气水合物藏,初步评价预测南海天然气水合物资源规模达800亿吨油当量左右,取得了南海天然气水合物勘探的阶段性重大成果.然而,南海天然气水合物资源进一步深化和拓展勘探的有利领域在哪里?尤其是可持续滚动勘探的战略接替区及选区在何处?其与目前陆坡深水油气及水合物勘探紧密相邻的外陆坡-洋陆过渡带(OCT)乃至洋盆区是否具有天然气水合物形成的地质条件?根据海洋地质调查及初步的地质综合分析研究,认为外陆坡-洋陆过渡带乃至洋盆区具备天然气水合物成藏的基本地质条件,可作为南海未来天然气水合物勘查的战略接替区和可持续滚动勘探的战略选区及资源远景区.针对这些影响和决定将来天然气水合物勘探决策部署及走向等关键问题进行初步分析与探讨,抛砖引玉希望能够对未来南海天然气水合物资源勘查评价及战略接替区之选择有所裨益!
二十多年来,南海天然气水合物勘查评价均主要集中在南海北部大陆边缘陆坡深水区,且先后在珠江口盆地神狐、珠江口盆地东部海域调查区和琼东南盆地陵水-松南调查区取得了天然气水合物勘查试采的重大突破及进展,陆续发现了两个大规模的天然气水合物藏,初步评价预测南海天然气水合物资源规模达800亿吨油当量左右,取得了南海天然气水合物勘探的阶段性重大成果.然而,南海天然气水合物资源进一步深化和拓展勘探的有利领域在哪里?尤其是可持续滚动勘探的战略接替区及选区在何处?其与目前陆坡深水油气及水合物勘探紧密相邻的外陆坡-洋陆过渡带(OCT)乃至洋盆区是否具有天然气水合物形成的地质条件?根据海洋地质调查及初步的地质综合分析研究,认为外陆坡-洋陆过渡带乃至洋盆区具备天然气水合物成藏的基本地质条件,可作为南海未来天然气水合物勘查的战略接替区和可持续滚动勘探的战略选区及资源远景区.针对这些影响和决定将来天然气水合物勘探决策部署及走向等关键问题进行初步分析与探讨,抛砖引玉希望能够对未来南海天然气水合物资源勘查评价及战略接替区之选择有所裨益!
2022, 47(5): 1569-1585.
doi: 10.3799/dqkx.2021.190
摘要:
莺歌海盆地LD10区中深层黄流组‒梅山组重力流水道、海底扇储层已被证实具有重大的天然气资源潜力.但是前期测试结果显示气藏中混有高含量CO2气体.因此,精细厘定天然气充注期次,明确CH4、CO2等时空分布规律对规避高CO2风险至关重要.本研究在对不同产状流体包裹体岩相学特征精细观察的基础上,综合激光拉曼光谱分析和包裹体显微测温技术识别出3幕不同成分天然气充注,时间分别为:4.0~2.9 Ma、2.0~1.2 Ma和0.8~0.3 Ma.其中,第一幕充注以烃类气为主,伴有少量有机CO2和N2;第二幕和第三幕充注以大量无机CO2、烃类气为主,伴有少量N2.结合天然气及烃源岩地化特征、天然气组分分析及输导体系识别,总结了LD10区的成藏模式,以期为研究区下一步天然气勘探开发和规避高含量CO2风险提供依据.
莺歌海盆地LD10区中深层黄流组‒梅山组重力流水道、海底扇储层已被证实具有重大的天然气资源潜力.但是前期测试结果显示气藏中混有高含量CO2气体.因此,精细厘定天然气充注期次,明确CH4、CO2等时空分布规律对规避高CO2风险至关重要.本研究在对不同产状流体包裹体岩相学特征精细观察的基础上,综合激光拉曼光谱分析和包裹体显微测温技术识别出3幕不同成分天然气充注,时间分别为:4.0~2.9 Ma、2.0~1.2 Ma和0.8~0.3 Ma.其中,第一幕充注以烃类气为主,伴有少量有机CO2和N2;第二幕和第三幕充注以大量无机CO2、烃类气为主,伴有少量N2.结合天然气及烃源岩地化特征、天然气组分分析及输导体系识别,总结了LD10区的成藏模式,以期为研究区下一步天然气勘探开发和规避高含量CO2风险提供依据.
2022, 47(5): 1586-1603.
doi: 10.3799/dqkx.2021.214
摘要:
牛蹄塘组是湖北省重要的海相页岩气层系之一,对其深入研究有助于预测资源潜力并指明勘探方向.利用露头及探井资料对区内牛蹄塘组的储层特征、资源潜力等进行了研究.结果表明,牛蹄塘组依据岩性组合可以分为一段和二段,鄂西宜昌‒恩施、神农架西侧深水陆棚相以及鄂东南盆地边缘相富有机质页岩厚度大,TOC含量高,以硅质类页岩为主,页岩气成藏物质基础良好.气显较好的地区集中分布在鄂西黄陵背斜东南缘,分析认为较弱的变形、有效的顶底板和适中的热演化是牛蹄塘组页岩气富集成藏的关键.除宜昌局部地区具有勘探开发前景外,秭归、鹤峰等地区仍值得探索,鄂东南及鄂西北地区由于构造变形和岩浆活动强烈,保存条件极差,基本无页岩气勘探前景.
牛蹄塘组是湖北省重要的海相页岩气层系之一,对其深入研究有助于预测资源潜力并指明勘探方向.利用露头及探井资料对区内牛蹄塘组的储层特征、资源潜力等进行了研究.结果表明,牛蹄塘组依据岩性组合可以分为一段和二段,鄂西宜昌‒恩施、神农架西侧深水陆棚相以及鄂东南盆地边缘相富有机质页岩厚度大,TOC含量高,以硅质类页岩为主,页岩气成藏物质基础良好.气显较好的地区集中分布在鄂西黄陵背斜东南缘,分析认为较弱的变形、有效的顶底板和适中的热演化是牛蹄塘组页岩气富集成藏的关键.除宜昌局部地区具有勘探开发前景外,秭归、鹤峰等地区仍值得探索,鄂东南及鄂西北地区由于构造变形和岩浆活动强烈,保存条件极差,基本无页岩气勘探前景.
2022, 47(5): 1604-1618.
doi: 10.3799/dqkx.2022.007
摘要:
鄂尔多斯盆地杭锦旗地区盒一段富含天然气,但储层致密、非均质性强,从而制约了该地区天然气的增储上产.利用岩心、铸体薄片和场发射扫描电镜观察、孔渗测试、X射线衍射分析、高压压汞及恒速压汞分析等,分析致密砂岩储层的特征及其主控因素.以此将储层划分为优势储层和差储层两类,优势储层主要以心滩和河道内的粗粒岩屑石英砂岩,岩屑砂岩为主,泥质含量低,溶蚀孔隙发育,差储层主要以河道间的细粒岩屑砂岩为主,泥质含量高,孔隙不发育.物源的差异导致了西部石英含量高于东部.水动力条件的强弱是决定储层优劣的初始条件,早期泥质充填导致差储层的原始孔隙度较低.优势储层中泥质含量较少,更能抵抗上覆压力,孔隙流体更活跃,能形成更多的溶蚀孔.
鄂尔多斯盆地杭锦旗地区盒一段富含天然气,但储层致密、非均质性强,从而制约了该地区天然气的增储上产.利用岩心、铸体薄片和场发射扫描电镜观察、孔渗测试、X射线衍射分析、高压压汞及恒速压汞分析等,分析致密砂岩储层的特征及其主控因素.以此将储层划分为优势储层和差储层两类,优势储层主要以心滩和河道内的粗粒岩屑石英砂岩,岩屑砂岩为主,泥质含量低,溶蚀孔隙发育,差储层主要以河道间的细粒岩屑砂岩为主,泥质含量高,孔隙不发育.物源的差异导致了西部石英含量高于东部.水动力条件的强弱是决定储层优劣的初始条件,早期泥质充填导致差储层的原始孔隙度较低.优势储层中泥质含量较少,更能抵抗上覆压力,孔隙流体更活跃,能形成更多的溶蚀孔.
2022, 47(5): 1619-1634.
doi: 10.3799/dqkx.2022.094
摘要:
继我国在神狐海域两次天然气水合物试采成功之后,近几年来在琼东南盆地的勘探证实了天然气水合物的存在,而且钻探表明其与浅层气具有复杂的共生关系.为揭示琼东南盆地深水区天然气水合物与浅层气共生体系成藏特征,结合岩心、测井及三维地震数据,阐明了天然气水合物与浅层气的空间分布特征,研究结果表明,天然气水合物主要赋存在海底以下200 m范围内的沙质沉积物中,且其形成过程与浅层气的垂向运移有关.对天然气水合物与浅层气共生体系成藏特征的深入分析表明,深部热成因气和浅部生物成因气是其重要的气体来源,第四系未固结沙层是良好的储层,且天然气水合物和浅层气共生体系的分布主要受深部气烟囱和断层的控制.浅层气藏为天然气水合物提供稳定的气源条件;第四系块体流沉积与含天然气水合物地层能有效地封堵浅层气的纵向运移,进一步促进浅层气的成藏.因此,天然气水合物的形成与浅层气的发育具有正反馈的相互作用关系,有利于形成更大规模的天然气水合物矿体和浅层气藏,具有良好的商业开发潜力.
继我国在神狐海域两次天然气水合物试采成功之后,近几年来在琼东南盆地的勘探证实了天然气水合物的存在,而且钻探表明其与浅层气具有复杂的共生关系.为揭示琼东南盆地深水区天然气水合物与浅层气共生体系成藏特征,结合岩心、测井及三维地震数据,阐明了天然气水合物与浅层气的空间分布特征,研究结果表明,天然气水合物主要赋存在海底以下200 m范围内的沙质沉积物中,且其形成过程与浅层气的垂向运移有关.对天然气水合物与浅层气共生体系成藏特征的深入分析表明,深部热成因气和浅部生物成因气是其重要的气体来源,第四系未固结沙层是良好的储层,且天然气水合物和浅层气共生体系的分布主要受深部气烟囱和断层的控制.浅层气藏为天然气水合物提供稳定的气源条件;第四系块体流沉积与含天然气水合物地层能有效地封堵浅层气的纵向运移,进一步促进浅层气的成藏.因此,天然气水合物的形成与浅层气的发育具有正反馈的相互作用关系,有利于形成更大规模的天然气水合物矿体和浅层气藏,具有良好的商业开发潜力.
2022, 47(5): 1635-1651.
doi: 10.3799/dqkx.2021.244
摘要:
白云凹陷中深层未探明油气资源潜力巨大,储层总体为低孔低渗储层,为了识别海域中深层有利储层的特征,寻找能用于指导有利储层宏观分布预测的主控因素,并对有利储层空间分布进行预测,对白云凹陷5A构造开展了研究.通过储层岩石学、储层物性特征及建设性成岩作用分析等微观方面与储层相带识别、厚层砂体发育的前积复合体预测、砂体与孔隙度地震反演及裂缝分布识别等宏观方面研究,对中深层有利储层“甜点”特征、宏观可识别的主控因素及空间分布规律开展分析.认为,白云5A构造辫状河三角洲平原与前缘中的分流河道和水下分流河道厚层中‒粗砂岩发育次生溶孔和微裂缝,可作为储层“甜点”;反映沉积微相的砂体厚度及反映建设性成岩作用的裂缝是宏观可以识别的储层“甜点”主控因素,可通过地震外部形态的“上拱”、内幕结构的叠置及微地貌的低洼3个特征在地震上识别厚层砂体发育的前积复合体;综合厚层砂体识别、砂体及孔隙度预测、裂缝分布识别三方面成果,认为白云5A构造中深层C块东部为储层“甜点”发育区.
白云凹陷中深层未探明油气资源潜力巨大,储层总体为低孔低渗储层,为了识别海域中深层有利储层的特征,寻找能用于指导有利储层宏观分布预测的主控因素,并对有利储层空间分布进行预测,对白云凹陷5A构造开展了研究.通过储层岩石学、储层物性特征及建设性成岩作用分析等微观方面与储层相带识别、厚层砂体发育的前积复合体预测、砂体与孔隙度地震反演及裂缝分布识别等宏观方面研究,对中深层有利储层“甜点”特征、宏观可识别的主控因素及空间分布规律开展分析.认为,白云5A构造辫状河三角洲平原与前缘中的分流河道和水下分流河道厚层中‒粗砂岩发育次生溶孔和微裂缝,可作为储层“甜点”;反映沉积微相的砂体厚度及反映建设性成岩作用的裂缝是宏观可以识别的储层“甜点”主控因素,可通过地震外部形态的“上拱”、内幕结构的叠置及微地貌的低洼3个特征在地震上识别厚层砂体发育的前积复合体;综合厚层砂体识别、砂体及孔隙度预测、裂缝分布识别三方面成果,认为白云5A构造中深层C块东部为储层“甜点”发育区.
2022, 47(5): 1652-1668.
doi: 10.3799/dqkx.2021.152
摘要:
基于Advanced McKenzie地球动力学模型和Easy%RoDL化学动力学模型,建立了南黄海中-新生代(K13-Q)裂谷盆地的构造-热演化史,结合盆地深部壳幔结构、梳理周缘中-新生代板块汇聚与离散过程,讨论了该盆地低地热状态成因、成盆机制和烃源岩热演化.盆地地壳伸展系数约为1.22,岩石圈地幔伸展系数约为1.06;由裂陷期(K13-E2)至今,最高热流值仅由约76 mW/m2降低至约66 mW/m2,最高地温梯度仅由约37 ℃/km降低至约30 ℃/km,首次揭示低地热状态贯穿整个裂谷盆地发育阶段.低岩石圈地幔伸展系数、深部非镜像莫霍面分布、盆地发育阶段仅处于弧后远场拉张应力环境,均指示成盆过程中深部伸展上涌强度低,是导致其持续低地热状态的根本原因,深部热应力不是其主要成盆动力来源;依据高地壳伸展系数和控盆拆离断层演化,认为印支-燕山期先存逆冲断裂复活形成壳间拆离体系,并以简单剪切变形方式控制裂谷盆地发育,是其根本成盆机制;南、北部坳陷烃源岩主排烃期为三垛组二段沉积时期,自渐新世构造反转后热演化终止,古埋深和古地温场条件共同控制现今南、北部坳陷相同深度烃源岩热成熟度差异.
基于Advanced McKenzie地球动力学模型和Easy%RoDL化学动力学模型,建立了南黄海中-新生代(K13-Q)裂谷盆地的构造-热演化史,结合盆地深部壳幔结构、梳理周缘中-新生代板块汇聚与离散过程,讨论了该盆地低地热状态成因、成盆机制和烃源岩热演化.盆地地壳伸展系数约为1.22,岩石圈地幔伸展系数约为1.06;由裂陷期(K13-E2)至今,最高热流值仅由约76 mW/m2降低至约66 mW/m2,最高地温梯度仅由约37 ℃/km降低至约30 ℃/km,首次揭示低地热状态贯穿整个裂谷盆地发育阶段.低岩石圈地幔伸展系数、深部非镜像莫霍面分布、盆地发育阶段仅处于弧后远场拉张应力环境,均指示成盆过程中深部伸展上涌强度低,是导致其持续低地热状态的根本原因,深部热应力不是其主要成盆动力来源;依据高地壳伸展系数和控盆拆离断层演化,认为印支-燕山期先存逆冲断裂复活形成壳间拆离体系,并以简单剪切变形方式控制裂谷盆地发育,是其根本成盆机制;南、北部坳陷烃源岩主排烃期为三垛组二段沉积时期,自渐新世构造反转后热演化终止,古埋深和古地温场条件共同控制现今南、北部坳陷相同深度烃源岩热成熟度差异.
2022, 47(5): 1669-1683.
doi: 10.3799/dqkx.2022.036
摘要:
辽东湾坳陷新近系旅大5特稠油油藏存在储层高孔高渗,油水关系不统一,界面呈波状等特殊现象.通过油源对比、原油稠化分析、岩性相划分、孔喉类型分类等研究表明:旅大5油藏为次生油藏,原油为来自辽西南洼沙三段的低熟稠油,原油先期在东营组地层聚集成藏,受新构造运动破坏后再次运移至浅层,再次运移使低熟稠油进一步次生稠化,导致原油在浅层聚集前已稠化为次生稠油,为异常油水关系提供先决条件;研究区新近系发育辫状河相沉积,可识别出4种沉积微相、10种岩性相,沉积作用控制不同岩性相微观孔喉类型影响储层渗透性,进而决定稠油充注效能;油层间的砂砾岩储层主要为块状层理砾岩相和大型交错层理砂砾岩相沉积,喉道类型为中高排驱压力细喉道型,储层渗透率低形成物性封堵,限制次生稠油充注形成水层;次生稠油密度高、粘度大、流动性差,进入储层后难以及时和孔隙水置换形成水平油水界面,而是呈倾斜式由外部充注压力驱动“平推挤入”储层,充注过程中优先充注渗透率高的储层,充注停止后原油不再流动,此时低渗透储层未被充注,从而形成油水关系不统一、界面呈“波形”等现象.
辽东湾坳陷新近系旅大5特稠油油藏存在储层高孔高渗,油水关系不统一,界面呈波状等特殊现象.通过油源对比、原油稠化分析、岩性相划分、孔喉类型分类等研究表明:旅大5油藏为次生油藏,原油为来自辽西南洼沙三段的低熟稠油,原油先期在东营组地层聚集成藏,受新构造运动破坏后再次运移至浅层,再次运移使低熟稠油进一步次生稠化,导致原油在浅层聚集前已稠化为次生稠油,为异常油水关系提供先决条件;研究区新近系发育辫状河相沉积,可识别出4种沉积微相、10种岩性相,沉积作用控制不同岩性相微观孔喉类型影响储层渗透性,进而决定稠油充注效能;油层间的砂砾岩储层主要为块状层理砾岩相和大型交错层理砂砾岩相沉积,喉道类型为中高排驱压力细喉道型,储层渗透率低形成物性封堵,限制次生稠油充注形成水层;次生稠油密度高、粘度大、流动性差,进入储层后难以及时和孔隙水置换形成水平油水界面,而是呈倾斜式由外部充注压力驱动“平推挤入”储层,充注过程中优先充注渗透率高的储层,充注停止后原油不再流动,此时低渗透储层未被充注,从而形成油水关系不统一、界面呈“波形”等现象.
2022, 47(5): 1684-1693.
doi: 10.3799/dqkx.2022.021
摘要:
裂缝脉体中蕴藏着天然裂缝演化与古流体充注活动等重要信息,对于深层页岩气保存条件也有指示意义.针对泸州区块龙马溪组深层页岩裂缝脉体,综合运用光学薄片、阴极发光、流体包裹体及微区原位等分析手段,分析了裂缝脉体的发育特征,研究了成脉流体活动及其成岩环境演化,探讨了页岩气保存条件.研究发现,深层页岩裂缝脉体主要为石英与白云石或方解石组成的复合脉体,不同矿物之间表现出较复杂的切割关系,盐水包裹体与高密度甲烷包裹体大量发育,且裂缝脉体主要形成于还原性环境.整体看来,构造抬升背景下,深层页岩裂缝开始形成且处于不断开启或闭合过程,3期不同性质的古流体多次充注胶结,较封闭的成岩体系对深层页岩气的保存有利.
裂缝脉体中蕴藏着天然裂缝演化与古流体充注活动等重要信息,对于深层页岩气保存条件也有指示意义.针对泸州区块龙马溪组深层页岩裂缝脉体,综合运用光学薄片、阴极发光、流体包裹体及微区原位等分析手段,分析了裂缝脉体的发育特征,研究了成脉流体活动及其成岩环境演化,探讨了页岩气保存条件.研究发现,深层页岩裂缝脉体主要为石英与白云石或方解石组成的复合脉体,不同矿物之间表现出较复杂的切割关系,盐水包裹体与高密度甲烷包裹体大量发育,且裂缝脉体主要形成于还原性环境.整体看来,构造抬升背景下,深层页岩裂缝开始形成且处于不断开启或闭合过程,3期不同性质的古流体多次充注胶结,较封闭的成岩体系对深层页岩气的保存有利.
2022, 47(5): 1694-1710.
doi: 10.3799/dqkx.2021.188
摘要:
为明确克拉美丽气田滴西地区石炭系蚀变熔结凝灰岩储层经历的流体作用及成岩孔隙演化过程,利用铸体薄片观察、扫描电镜、电子探针、阴极发光、荧光、微量/稀土元素分析及U-Pb同位素定年等方法技术开展综合研究.结果表明,火山碎屑物质的溶解及成岩转化为自生矿物的形成提供了物质基础;成岩过程中因埋藏、生烃、热液充注等活动而产生的成岩环境改变是控制区内孔隙形成及演化的重要因素:伴随着有机质的成熟,有机酸溶蚀形成大量晶屑铸模孔并在孔隙中沉淀出高岭石及石英;随着酸性流体向碱性转变,在溶蚀孔隙中沉淀出钠长石以及方解石,其充填作用使孔隙急剧减少;燕山中期(135±27 Ma)的构造热事件对储层形成及演化起到关键作用:高温、含硅热液流体的充注使基质中的伊利石转变为钾长石,同时二次溶解形成的Ca2+与流体携带的P5+、Ti4+、F-等离子结合形成含氟磷灰石、榍石充填孔隙,多余的SiO2则在孔隙中沉淀出石英.随着成岩环境再次向碱性、还原环境转变,含砷黄铁矿进一步在孔隙中形成,高岭石则进一步向绿泥石转化.温度升高引起的脱玻化、黏土矿物/沸石矿物转化、重结晶作用以及溶解作用在一定程度上增加了岩石中的次生储集空间,有利于油气的储集.
为明确克拉美丽气田滴西地区石炭系蚀变熔结凝灰岩储层经历的流体作用及成岩孔隙演化过程,利用铸体薄片观察、扫描电镜、电子探针、阴极发光、荧光、微量/稀土元素分析及U-Pb同位素定年等方法技术开展综合研究.结果表明,火山碎屑物质的溶解及成岩转化为自生矿物的形成提供了物质基础;成岩过程中因埋藏、生烃、热液充注等活动而产生的成岩环境改变是控制区内孔隙形成及演化的重要因素:伴随着有机质的成熟,有机酸溶蚀形成大量晶屑铸模孔并在孔隙中沉淀出高岭石及石英;随着酸性流体向碱性转变,在溶蚀孔隙中沉淀出钠长石以及方解石,其充填作用使孔隙急剧减少;燕山中期(135±27 Ma)的构造热事件对储层形成及演化起到关键作用:高温、含硅热液流体的充注使基质中的伊利石转变为钾长石,同时二次溶解形成的Ca2+与流体携带的P5+、Ti4+、F-等离子结合形成含氟磷灰石、榍石充填孔隙,多余的SiO2则在孔隙中沉淀出石英.随着成岩环境再次向碱性、还原环境转变,含砷黄铁矿进一步在孔隙中形成,高岭石则进一步向绿泥石转化.温度升高引起的脱玻化、黏土矿物/沸石矿物转化、重结晶作用以及溶解作用在一定程度上增加了岩石中的次生储集空间,有利于油气的储集.
2022, 47(5): 1711-1727.
doi: 10.3799/dqkx.2021.207
摘要:
为了厘清琼东南盆地南部低凸起及其周缘区天然气水合物富集影响因素及成藏模式,利用天然气水合物钻探获取的钻井、测井及2D/3D地震资料,分析了研究区天然气水合物赋存的地质、地球物理特征,探讨了水合物富集控制成藏的影响因素,建立了水合物成藏模式.结果表明:琼东南盆地南部低凸起及其周缘区位于中央坳陷带南坡的深部流体输导优势方向上.多个站位水合物钻探显示,水合物具有分层、多类型储集层的特征.测井上含水合物层段总体具有高电阻率、低声波时差特征.地震剖面分析显示气烟囱顶部气体横向充注现象明显,气体垂向运移受限.研究区水合物的气源兼具微生物成因和热解气成因.断层、气烟囱以及孔‒缝渗漏体系为深层热解气的运移提供了良好的输导条件.浅层块体搬运沉积的快速堆积使得其内部孔隙流体难以迅速排出,从而其孔隙流体压力相比上覆和下伏地层要高,使得下伏流体的垂向输导受阻,形成封盖作用.超压封盖层是研究区多类型储集层水合物主要的控制因素.根据封盖能力的差异性及其对水合物富集程度的影响提出了封闭系统和开放系统两种类型的水合物成藏模式.
为了厘清琼东南盆地南部低凸起及其周缘区天然气水合物富集影响因素及成藏模式,利用天然气水合物钻探获取的钻井、测井及2D/3D地震资料,分析了研究区天然气水合物赋存的地质、地球物理特征,探讨了水合物富集控制成藏的影响因素,建立了水合物成藏模式.结果表明:琼东南盆地南部低凸起及其周缘区位于中央坳陷带南坡的深部流体输导优势方向上.多个站位水合物钻探显示,水合物具有分层、多类型储集层的特征.测井上含水合物层段总体具有高电阻率、低声波时差特征.地震剖面分析显示气烟囱顶部气体横向充注现象明显,气体垂向运移受限.研究区水合物的气源兼具微生物成因和热解气成因.断层、气烟囱以及孔‒缝渗漏体系为深层热解气的运移提供了良好的输导条件.浅层块体搬运沉积的快速堆积使得其内部孔隙流体难以迅速排出,从而其孔隙流体压力相比上覆和下伏地层要高,使得下伏流体的垂向输导受阻,形成封盖作用.超压封盖层是研究区多类型储集层水合物主要的控制因素.根据封盖能力的差异性及其对水合物富集程度的影响提出了封闭系统和开放系统两种类型的水合物成藏模式.
2022, 47(5): 1728-1747.
doi: 10.3799/dqkx.2022.015
摘要:
中国地质调查局实施部署的JLYY-1井在松辽盆地南部沙河子组钻遇51 m的富有机质混积页岩.经过取心观察和室内综合分析发现,这套51 m厚的页岩具有以下特征:第一,混积(来自盆内和盆外的硅质、钙质无机矿物物源以及不同类型的有机物源混合沉积);第二,页岩中夹多套薄层凝灰岩或凝灰质泥/页岩;第三,页岩的纹层和页理极为发育,现场岩心浸水实验观察到大量气泡顺页理面涌出.基于JLYY-1井的元素测井资料,结合地球化学测试、扫描电镜成像、光学显微成像和Roqscan矿物成分成像测试结果,将其归纳为火山活动期断陷湖盆的富有机质混积页岩形成模式,并得出其形成条件如下:(1)多种有机物源的输入提高了页岩中有机质的丰度,也使Ⅰ型、Ⅱ型和Ⅲ型干酪根均有发育;(2)火山活动后期营养元素迁移造成藻类勃发;(3)干热气候条件下封闭咸水环境的碳酸盐岩化作用促进有机质生烃;(4)水体氧化分层形成了该段页岩的4类纹层:硅质、黏土质、钙质和黄铁矿纹层.
中国地质调查局实施部署的JLYY-1井在松辽盆地南部沙河子组钻遇51 m的富有机质混积页岩.经过取心观察和室内综合分析发现,这套51 m厚的页岩具有以下特征:第一,混积(来自盆内和盆外的硅质、钙质无机矿物物源以及不同类型的有机物源混合沉积);第二,页岩中夹多套薄层凝灰岩或凝灰质泥/页岩;第三,页岩的纹层和页理极为发育,现场岩心浸水实验观察到大量气泡顺页理面涌出.基于JLYY-1井的元素测井资料,结合地球化学测试、扫描电镜成像、光学显微成像和Roqscan矿物成分成像测试结果,将其归纳为火山活动期断陷湖盆的富有机质混积页岩形成模式,并得出其形成条件如下:(1)多种有机物源的输入提高了页岩中有机质的丰度,也使Ⅰ型、Ⅱ型和Ⅲ型干酪根均有发育;(2)火山活动后期营养元素迁移造成藻类勃发;(3)干热气候条件下封闭咸水环境的碳酸盐岩化作用促进有机质生烃;(4)水体氧化分层形成了该段页岩的4类纹层:硅质、黏土质、钙质和黄铁矿纹层.
2022, 47(5): 1748-1761.
doi: 10.3799/dqkx.2021.160
摘要:
长岭断陷龙凤山地区火石岭组火山岩储层成因复杂,对该地区优质储层主控因素及成因机制的研究有助于提高油气勘探成效.通过岩心观察、薄片鉴定、孔渗分析和测井解释等手段,从储层特征的研究入手,分析了优质储层发育的主控因素及成因机制.结果表明:火石岭组火山岩主要的岩石类型为爆发相的安山质凝灰岩、安山质角砾岩以及喷溢相的安山岩.火山岩属于中孔‒中渗储层,储集空间以粒间溶孔、粒内溶孔、基质溶孔和微裂缝为主.岩性岩相和喷发旋回期次控制了优质储层的形成和分布,风化淋滤作用、酸性流体溶蚀和构造作用决定了火山岩能否成为优质储层.优质储层成因包括内幕型、风化壳型和断裂‒溶蚀型3种类型,断裂和生烃凹陷附近的构造高部位、熔岩流上部以及旋回期次界面处为优质储层分布区.
长岭断陷龙凤山地区火石岭组火山岩储层成因复杂,对该地区优质储层主控因素及成因机制的研究有助于提高油气勘探成效.通过岩心观察、薄片鉴定、孔渗分析和测井解释等手段,从储层特征的研究入手,分析了优质储层发育的主控因素及成因机制.结果表明:火石岭组火山岩主要的岩石类型为爆发相的安山质凝灰岩、安山质角砾岩以及喷溢相的安山岩.火山岩属于中孔‒中渗储层,储集空间以粒间溶孔、粒内溶孔、基质溶孔和微裂缝为主.岩性岩相和喷发旋回期次控制了优质储层的形成和分布,风化淋滤作用、酸性流体溶蚀和构造作用决定了火山岩能否成为优质储层.优质储层成因包括内幕型、风化壳型和断裂‒溶蚀型3种类型,断裂和生烃凹陷附近的构造高部位、熔岩流上部以及旋回期次界面处为优质储层分布区.
2022, 47(5): 1762-1776.
doi: 10.3799/dqkx.2022.101
摘要:
为了解决歧口凹陷歧北斜坡带古近系沙二段致密砂岩储层流体识别效果差、精度低等问题,在储层“四性”关系分析,测井系列优选,测井曲线标准化,岩电和核磁共振实验的基础上,建立储层参数及流体饱和度测井解释模型,采用定性‒半定量‒定量的方法对储层流体进行识别与评价.沙二段致密砂岩储层“四性”关系复杂,测井解释模型相关系数高,在0.75~0.95;重叠图法可以定性区分高阻油层与水层,Iwa-Φ及Ia-Iwa交会图版可以有效区分油层、油水层及水层,公式法可以定量划分油层、油水层、水层,计算出三者的含水饱和度区间分别为35.5%~91.4%、60.5%~96.5%、77.2%~90.9%,束缚水饱和度区间分别为30.3%~89.9%、58.2%~90.1%、62.1%~64.4%.本次流体识别及评价精度比原方法提高了25%,为研究区油气勘探开发提供了可靠的技术支持.
为了解决歧口凹陷歧北斜坡带古近系沙二段致密砂岩储层流体识别效果差、精度低等问题,在储层“四性”关系分析,测井系列优选,测井曲线标准化,岩电和核磁共振实验的基础上,建立储层参数及流体饱和度测井解释模型,采用定性‒半定量‒定量的方法对储层流体进行识别与评价.沙二段致密砂岩储层“四性”关系复杂,测井解释模型相关系数高,在0.75~0.95;重叠图法可以定性区分高阻油层与水层,Iwa-Φ及Ia-Iwa交会图版可以有效区分油层、油水层及水层,公式法可以定量划分油层、油水层、水层,计算出三者的含水饱和度区间分别为35.5%~91.4%、60.5%~96.5%、77.2%~90.9%,束缚水饱和度区间分别为30.3%~89.9%、58.2%~90.1%、62.1%~64.4%.本次流体识别及评价精度比原方法提高了25%,为研究区油气勘探开发提供了可靠的技术支持.
2022, 47(5): 1777-1790.
doi: 10.3799/dqkx.2021.112
摘要:
为厘清影响煤炭地下气化的地质因素,构建科学的地质指标评价体系,对影响煤炭地下气化的七大类地质条件、41个次级地质指标进行了系统分析和分级量化,建立了地质选区指标体系;根据对选区的重要程度,将各地质指标分为基本地质指标(A)和关键地质指标(B)两类,基于这两大类指标,提出了两种新的煤炭地下气化有利区定量评价方法,精细型(A+B)和通用型(B);利用专家打分法和层次分析法确定了这两种评价方法中所涉及到的地质指标权重;依据资源、开采技术、区域构造和环境四大类条件,厘定了评价结果的定性分级方案;综合定量评价和定性分级,提出了有利区优选的一般步骤,最终形成了一套完整的煤炭地下气化有利区评价技术体系.该评价技术体系的有效应用,可为煤炭地下气化科学选址和产业化进程推进提供重要理论支撑.
为厘清影响煤炭地下气化的地质因素,构建科学的地质指标评价体系,对影响煤炭地下气化的七大类地质条件、41个次级地质指标进行了系统分析和分级量化,建立了地质选区指标体系;根据对选区的重要程度,将各地质指标分为基本地质指标(A)和关键地质指标(B)两类,基于这两大类指标,提出了两种新的煤炭地下气化有利区定量评价方法,精细型(A+B)和通用型(B);利用专家打分法和层次分析法确定了这两种评价方法中所涉及到的地质指标权重;依据资源、开采技术、区域构造和环境四大类条件,厘定了评价结果的定性分级方案;综合定量评价和定性分级,提出了有利区优选的一般步骤,最终形成了一套完整的煤炭地下气化有利区评价技术体系.该评价技术体系的有效应用,可为煤炭地下气化科学选址和产业化进程推进提供重要理论支撑.
2022, 47(5): 1791-1804.
doi: 10.3799/dqkx.2022.098
摘要:
以鄂西地区为例,利用钻井、测井及测试资料,开展牛蹄塘组和陡山沱组页岩岩相类型与地质属性(总有机碳含量、孔隙度、横向渗透率、脆性及孔隙类型)关系的研究.研究结果表明:鄂西地区共发育11类岩相页岩,不同岩相页岩间存在明显的地质属性差异.结合有机质页岩特征,识别出3种优质页岩类型:硅质页岩、富泥硅质页岩和混合质页岩.优质页岩含气量明显高于非优质页岩含气量,这证实了准确的优质页岩识别结果.通过对页岩测井影响因素的分析,总结出优质页岩具有高自然伽马、高电阻率、高声波时差、高铀、低密度、低钍、低钾(四高三低)的测井响应特征,从而提出适用于在鄂西高热演化区寻找具有低热演化程度,较强生烃潜力及易开发的页岩储层测井识别方法.
以鄂西地区为例,利用钻井、测井及测试资料,开展牛蹄塘组和陡山沱组页岩岩相类型与地质属性(总有机碳含量、孔隙度、横向渗透率、脆性及孔隙类型)关系的研究.研究结果表明:鄂西地区共发育11类岩相页岩,不同岩相页岩间存在明显的地质属性差异.结合有机质页岩特征,识别出3种优质页岩类型:硅质页岩、富泥硅质页岩和混合质页岩.优质页岩含气量明显高于非优质页岩含气量,这证实了准确的优质页岩识别结果.通过对页岩测井影响因素的分析,总结出优质页岩具有高自然伽马、高电阻率、高声波时差、高铀、低密度、低钍、低钾(四高三低)的测井响应特征,从而提出适用于在鄂西高热演化区寻找具有低热演化程度,较强生烃潜力及易开发的页岩储层测井识别方法.
2022, 47(5): 1805-1818.
doi: 10.3799/dqkx.2021.113
摘要:
在油气勘探过程中,对于小位移断层分隔油水封闭能力的控制因素研究尚浅,野外也难以获得不同变形过程的断层带结构及其渗透性变化规律.因此,以高孔隙度纯净砂岩人造岩心为研究对象,采用自主研发的“高压~低速环形剪切装置”开展实验,实验后样品取心分别进行覆压孔渗测试、纳米CT扫描、铸体薄片分析等分析测试.以有效正应力和断层位移为实验变量开展了多组环剪实验,其研究结果表明:宏观上断层面上可观察到明显擦痕与粉末状碎裂岩,微观上确定了断层带内碎裂作用导致的颗粒粒度降低与颗粒的定向排列是孔渗降低的主要原因,断层带渗透率小于10 mD,较母岩降低2~3个数量级.随着断层有效正应力或断层滑动位移增加,断层带碎裂程度增大且粒径和孔径减小,断层带厚度增大,孔隙度和渗透率逐渐减小.这一结果可为小位移断层侧向封闭能力与油气勘探领域的研究奠定理论基础.
在油气勘探过程中,对于小位移断层分隔油水封闭能力的控制因素研究尚浅,野外也难以获得不同变形过程的断层带结构及其渗透性变化规律.因此,以高孔隙度纯净砂岩人造岩心为研究对象,采用自主研发的“高压~低速环形剪切装置”开展实验,实验后样品取心分别进行覆压孔渗测试、纳米CT扫描、铸体薄片分析等分析测试.以有效正应力和断层位移为实验变量开展了多组环剪实验,其研究结果表明:宏观上断层面上可观察到明显擦痕与粉末状碎裂岩,微观上确定了断层带内碎裂作用导致的颗粒粒度降低与颗粒的定向排列是孔渗降低的主要原因,断层带渗透率小于10 mD,较母岩降低2~3个数量级.随着断层有效正应力或断层滑动位移增加,断层带碎裂程度增大且粒径和孔径减小,断层带厚度增大,孔隙度和渗透率逐渐减小.这一结果可为小位移断层侧向封闭能力与油气勘探领域的研究奠定理论基础.
2022, 47(5): 1819-1833.
doi: 10.3799/dqkx.2022.011
摘要:
为了查明川东南盆缘常压页岩气区五峰组页岩裂缝脉体记录的古温度及古压力特征,揭示常压页岩气区储层压力降低的主要影响因素和页岩气散失机理.以松坎地区五峰组黑色碳质页岩裂缝脉体内的流体包裹体为主要研究对象,通过显微镜光学观察、阴极发光测试、包裹体测温和激光拉曼分析,结合埋藏-生烃-热史模拟,对裂缝脉体中的气-液两相盐水包裹体和高密度甲烷包裹体进行了系统研究.研究表明:松坎地区五峰组裂缝中主要存在着两期脉体充填,M1裂缝脉体形成时间距今约103~86 Ma,脉体较宽、阴极发光颜色为橘红色,其内甲烷包裹体捕获压力为82.6~91.5 MPa,反映燕山中期盆缘地区页岩气藏处在超压状态;M2裂缝脉体生长于M1裂缝脉体两侧,形成时间距今约90~72 Ma,脉体较窄、阴极发光颜色为暗红色,其内甲烷包裹体捕获压力为43.6~47.3 MPa.综合分析认为,川东南盆缘松坎地区五峰组在燕山期经历了由超压至常压的转变.燕山期以来的抬升剥蚀与褶皱变形导致地层内大量页岩气沿着滑脱层发生侧向运移和散失,地层压力快速下降.燕山晚期时,盆内稳定构造区页岩气藏仍处于超压状态,而盆缘地区已降至常压.
为了查明川东南盆缘常压页岩气区五峰组页岩裂缝脉体记录的古温度及古压力特征,揭示常压页岩气区储层压力降低的主要影响因素和页岩气散失机理.以松坎地区五峰组黑色碳质页岩裂缝脉体内的流体包裹体为主要研究对象,通过显微镜光学观察、阴极发光测试、包裹体测温和激光拉曼分析,结合埋藏-生烃-热史模拟,对裂缝脉体中的气-液两相盐水包裹体和高密度甲烷包裹体进行了系统研究.研究表明:松坎地区五峰组裂缝中主要存在着两期脉体充填,M1裂缝脉体形成时间距今约103~86 Ma,脉体较宽、阴极发光颜色为橘红色,其内甲烷包裹体捕获压力为82.6~91.5 MPa,反映燕山中期盆缘地区页岩气藏处在超压状态;M2裂缝脉体生长于M1裂缝脉体两侧,形成时间距今约90~72 Ma,脉体较窄、阴极发光颜色为暗红色,其内甲烷包裹体捕获压力为43.6~47.3 MPa.综合分析认为,川东南盆缘松坎地区五峰组在燕山期经历了由超压至常压的转变.燕山期以来的抬升剥蚀与褶皱变形导致地层内大量页岩气沿着滑脱层发生侧向运移和散失,地层压力快速下降.燕山晚期时,盆内稳定构造区页岩气藏仍处于超压状态,而盆缘地区已降至常压.
2022, 47(5): 1834-1848.
doi: 10.3799/dqkx.2022.008
摘要:
羌塘盆地是一个大型中生代海相沉积盆地,盆地内发育多套烃源岩,并发现多处古油藏和油气显示,确定古油藏油源对油气勘探至关重要.为明确古油藏油源,对古油藏和烃源岩样品进行地球化学分析.研究表明古油藏可分为2类:Ⅰ类古油藏整体处于成熟-高成熟阶段,C24四环萜烷丰度较高,三环萜烷丰度低,C29规则甾烷占有一定优势,C29藿烷含量较高,体现出以陆源有机质贡献为主的特征.Ⅱ类古油藏整体处于低成熟-成熟阶段,以C23三环萜烷为主峰,低丰度C24四环萜烷,C27规则甾烷占优势,表明母质来源以低等水生生物为主.油源对比表明,两类古油藏来源于不同的烃源岩,Ⅰ类油藏来自于上三叠统扎那组烃源岩,Ⅱ类油藏主要为下侏罗统曲色组烃源岩的贡献.
羌塘盆地是一个大型中生代海相沉积盆地,盆地内发育多套烃源岩,并发现多处古油藏和油气显示,确定古油藏油源对油气勘探至关重要.为明确古油藏油源,对古油藏和烃源岩样品进行地球化学分析.研究表明古油藏可分为2类:Ⅰ类古油藏整体处于成熟-高成熟阶段,C24四环萜烷丰度较高,三环萜烷丰度低,C29规则甾烷占有一定优势,C29藿烷含量较高,体现出以陆源有机质贡献为主的特征.Ⅱ类古油藏整体处于低成熟-成熟阶段,以C23三环萜烷为主峰,低丰度C24四环萜烷,C27规则甾烷占优势,表明母质来源以低等水生生物为主.油源对比表明,两类古油藏来源于不同的烃源岩,Ⅰ类油藏来自于上三叠统扎那组烃源岩,Ⅱ类油藏主要为下侏罗统曲色组烃源岩的贡献.
2022, 47(5): 1849-1864.
doi: 10.3799/dqkx.2021.241
摘要:
为揭示CO2注入煤岩力学响应特征及机理,回顾了CO2注入煤岩力学性质影响因素、CO2注入对煤岩大分子-孔隙-裂隙结构改造作用和煤岩力学参数的统计模型、理论模型与智能预测模型.结果表明:CO2注入煤岩力学性质受控于煤阶、CO2压力、水分、围压和时间等因素,CO2注入压力的增高、水的加入及时间的延长均会进一步降低煤岩力学性质,而围压对CO2注入力学性能弱化具有一定改善作用.CO2水溶液通过溶胀作用、萃取作用和塑化作用促使煤岩大分子结构重组,通过微晶结构改变、化学溶蚀和非均匀变形改造煤岩孔隙结构,通过化学溶蚀、膨胀应力和化学-应力耦合作用诱发煤岩结构损伤,均不同程度引起煤岩力学性能弱化.在CO2注入煤岩力学参数预测模型中,类Langmuir模型、广延指数模型和修正的粘聚力模型具有明确的物理意义,而智能预测模型具有更高的预测精度,预测准确度可达99%以上.本次研究为科学评价CO2-ECBM安全性和促进深部煤层CO2高效注入奠定了理论基础.
为揭示CO2注入煤岩力学响应特征及机理,回顾了CO2注入煤岩力学性质影响因素、CO2注入对煤岩大分子-孔隙-裂隙结构改造作用和煤岩力学参数的统计模型、理论模型与智能预测模型.结果表明:CO2注入煤岩力学性质受控于煤阶、CO2压力、水分、围压和时间等因素,CO2注入压力的增高、水的加入及时间的延长均会进一步降低煤岩力学性质,而围压对CO2注入力学性能弱化具有一定改善作用.CO2水溶液通过溶胀作用、萃取作用和塑化作用促使煤岩大分子结构重组,通过微晶结构改变、化学溶蚀和非均匀变形改造煤岩孔隙结构,通过化学溶蚀、膨胀应力和化学-应力耦合作用诱发煤岩结构损伤,均不同程度引起煤岩力学性能弱化.在CO2注入煤岩力学参数预测模型中,类Langmuir模型、广延指数模型和修正的粘聚力模型具有明确的物理意义,而智能预测模型具有更高的预测精度,预测准确度可达99%以上.本次研究为科学评价CO2-ECBM安全性和促进深部煤层CO2高效注入奠定了理论基础.
2022, 47(5): 1865-1875.
doi: 10.3799/dqkx.2022.014
摘要:
我国目前开发的中深层-深层页岩气藏储层压力高.低压下的吸附实验和理论难以满足勘探开发的需要.针对这一问题,对Uniform Langmuir模型进行了修正,发展了一个适用于中深层-深层页岩气的高压吸附模型,即修正的Uniform Langmuir(Unilan)模型.然后,利用文献发表的高压吸附实验数据对修正的Unilan模型进行了验证,并与其他高压吸附模型进行了对比,发现:相对于其他高压吸附模型,修正的Unilan模型具有拟合参数少和精度高的优点.最后,基于拟合得到的Unilan模型参数,结合页岩样品矿物组成,开展了模型参数分析,发现:有机质和黏土矿物对页岩气吸附均有贡献;吸附达到饱和时的吸附相体积大于微孔体积且小于总孔体积;吸附熵变主要与吸附态甲烷分子-页岩的相互作用强度有关.
我国目前开发的中深层-深层页岩气藏储层压力高.低压下的吸附实验和理论难以满足勘探开发的需要.针对这一问题,对Uniform Langmuir模型进行了修正,发展了一个适用于中深层-深层页岩气的高压吸附模型,即修正的Uniform Langmuir(Unilan)模型.然后,利用文献发表的高压吸附实验数据对修正的Unilan模型进行了验证,并与其他高压吸附模型进行了对比,发现:相对于其他高压吸附模型,修正的Unilan模型具有拟合参数少和精度高的优点.最后,基于拟合得到的Unilan模型参数,结合页岩样品矿物组成,开展了模型参数分析,发现:有机质和黏土矿物对页岩气吸附均有贡献;吸附达到饱和时的吸附相体积大于微孔体积且小于总孔体积;吸附熵变主要与吸附态甲烷分子-页岩的相互作用强度有关.
2022, 47(5): 1876-1889.
doi: 10.3799/dqkx.2021.195
摘要:
为了定量表征煤的孔隙结构,研究煤孔隙特征与吸附性能的内在联系,采用低温液氮吸附法(LP-N2GA)、CO2吸附法、扫描电镜(SEM)和孔隙-裂隙分析系统(PCAS)对6种不同变质程度煤样进行孔隙相关分析.煤样孔隙分布相似时,煤样对N2和CO2的吸附能力、孔隙率的近似概率密度和孔隙面积(中孔)与煤的挥发分呈负相关,煤样孔隙的分形维数与煤的挥发分呈正相关.煤样的孔隙分布差异较大时,煤样对N2和CO2的最大吸附容量与孔隙分布有关.建立了煤纳米孔结构的联合表征模式,该表征模式能够更有效地研究和分析煤中的孔隙,包括孔隙数目、孔隙面积、孔隙周长、平均形状因子、孔隙率、分形维数和孔径分布,将SEM-PCAS与气体吸附方法相结合对煤的孔隙结构进行定量联合表征的模式是可行的.
为了定量表征煤的孔隙结构,研究煤孔隙特征与吸附性能的内在联系,采用低温液氮吸附法(LP-N2GA)、CO2吸附法、扫描电镜(SEM)和孔隙-裂隙分析系统(PCAS)对6种不同变质程度煤样进行孔隙相关分析.煤样孔隙分布相似时,煤样对N2和CO2的吸附能力、孔隙率的近似概率密度和孔隙面积(中孔)与煤的挥发分呈负相关,煤样孔隙的分形维数与煤的挥发分呈正相关.煤样的孔隙分布差异较大时,煤样对N2和CO2的最大吸附容量与孔隙分布有关.建立了煤纳米孔结构的联合表征模式,该表征模式能够更有效地研究和分析煤中的孔隙,包括孔隙数目、孔隙面积、孔隙周长、平均形状因子、孔隙率、分形维数和孔径分布,将SEM-PCAS与气体吸附方法相结合对煤的孔隙结构进行定量联合表征的模式是可行的.
2022, 47(5): 1890-1900.
doi: 10.3799/dqkx.2022.089
摘要:
2017年神狐海域第一次试开采成功后,许多学者应用数值模拟对试采数据进行研究,但模拟结果与实际试采数据存在偏差.为了探求原因,本研究建立了二维柱坐标系下水合物降压开采数学模型,开发了相应的程序,能够模拟渗透率等储层参数非均匀分布条件下开采过程,同时能够模拟开采井压力等动态参数对开采过程的影响.通过数值实验,得出偏差原因:(1)泥质粉砂型储层存在水敏性,水合物分解产生的淡水引起粘土膨胀,使渗透率下降;(2)须将开采井压力作为动态输入参量.据此,修正了渗透率模型,考虑了开采井压力随时间的变化,得到的模拟产气量与试采数据十分接近,使降压开采数值模拟更逼近实际情况.
2017年神狐海域第一次试开采成功后,许多学者应用数值模拟对试采数据进行研究,但模拟结果与实际试采数据存在偏差.为了探求原因,本研究建立了二维柱坐标系下水合物降压开采数学模型,开发了相应的程序,能够模拟渗透率等储层参数非均匀分布条件下开采过程,同时能够模拟开采井压力等动态参数对开采过程的影响.通过数值实验,得出偏差原因:(1)泥质粉砂型储层存在水敏性,水合物分解产生的淡水引起粘土膨胀,使渗透率下降;(2)须将开采井压力作为动态输入参量.据此,修正了渗透率模型,考虑了开采井压力随时间的变化,得到的模拟产气量与试采数据十分接近,使降压开采数值模拟更逼近实际情况.




登录
注册
高级检索
邮件订阅
RSS
摘要
HTML全文