2019年 44卷 第11期
显示方式:
2019, 44(11): 3583-3597.
doi: 10.3799/dqkx.2019.142
摘要:
岩心观察鄂西黄陵背斜南翼下寒武统牛蹄塘组二段黑色页岩中发育构造挤压成因的高角度裂缝和顺层裂缝.选取不同产状的典型裂缝脉体样品,薄片镜下观察发现高角度裂缝中充填方解石脉,顺层裂缝中充填方解石-白云石复合脉.通过阴极发光、流体包裹体分析以及微区原位元素测定,开展了裂缝脉体成岩环境演化研究,分析了不同产状裂缝对页岩气层局部封闭性的影响.阴极发光结果表明,高角度方解石脉和顺层方解石-白云石复合脉均为2期流体活动形成.根据流体包裹体分析,高角度方解石脉早期成脉流体主要为变质较深的地层卤水,晚期成脉流体混入了低矿化度流体,而顺层方解石-白云石复合脉2期成脉流体均未受低矿化度流体的改造.利用不同阴极发光的裂缝脉体碳酸盐矿物的微区原位微量元素测定结果,对铁锰含量、稀土元素(REE)和氧化还原判别参数分析显示,高角度方解石脉成岩环境经历了由还原环境向氧化环境转化,而顺层方解石-白云石复合脉的成岩环境长期保持了较为还原的环境.因此认为,高角度裂缝对页岩气层的局部封闭条件可能产生破坏作用,从而造成页岩气一定程度的散失,而顺层裂缝对局部封闭条件的破坏作用相对有限,裂缝发育特征及其经历的成岩演化过程研究可为页岩气层自封闭和页岩气微观保存条件的评价提供依据.
岩心观察鄂西黄陵背斜南翼下寒武统牛蹄塘组二段黑色页岩中发育构造挤压成因的高角度裂缝和顺层裂缝.选取不同产状的典型裂缝脉体样品,薄片镜下观察发现高角度裂缝中充填方解石脉,顺层裂缝中充填方解石-白云石复合脉.通过阴极发光、流体包裹体分析以及微区原位元素测定,开展了裂缝脉体成岩环境演化研究,分析了不同产状裂缝对页岩气层局部封闭性的影响.阴极发光结果表明,高角度方解石脉和顺层方解石-白云石复合脉均为2期流体活动形成.根据流体包裹体分析,高角度方解石脉早期成脉流体主要为变质较深的地层卤水,晚期成脉流体混入了低矿化度流体,而顺层方解石-白云石复合脉2期成脉流体均未受低矿化度流体的改造.利用不同阴极发光的裂缝脉体碳酸盐矿物的微区原位微量元素测定结果,对铁锰含量、稀土元素(REE)和氧化还原判别参数分析显示,高角度方解石脉成岩环境经历了由还原环境向氧化环境转化,而顺层方解石-白云石复合脉的成岩环境长期保持了较为还原的环境.因此认为,高角度裂缝对页岩气层的局部封闭条件可能产生破坏作用,从而造成页岩气一定程度的散失,而顺层裂缝对局部封闭条件的破坏作用相对有限,裂缝发育特征及其经历的成岩演化过程研究可为页岩气层自封闭和页岩气微观保存条件的评价提供依据.
2019, 44(11): 3598-3615.
doi: 10.3799/dqkx.2019.179
摘要:
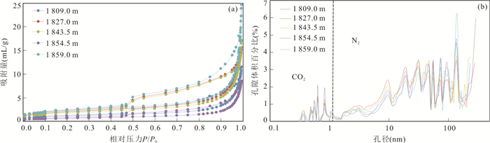
鄂西宜昌下寒武统水井沱组页岩具有良好的气体显示,页岩气成藏条件研究薄弱.利用最新钻探的井下资料、周边露头地质调查资料及大量样品的分析测试结果,从富有机质页岩区域展布、地球化学特征、岩石储集特征、含气性、保存条件等方面研究鄂西宜昌地区下寒武统水井沱组页岩气聚集条件.研究区水井沱组形成于陆棚-斜坡相带,厚度为50~140 m.有机碳含量高(TOC值为0.43%~10.45%,平均值达2.65%),TOC大于2%的优质页岩有效厚度为28~41 m,有机质热成熟度为2.4%~3.2%,处于高演化阶段.页岩脆性矿物含量高,石英含量平均值为29.33%,碳酸盐含量平均值为25.94%,黏土矿物含量平均值为35.06%,且以伊/蒙间层为主.水井沱组富有机质页岩孔隙度为0.96%~3.32%,平均值为2.08%,页岩渗透率为0.01×10-3~3.05×10-3 μm2.氩离子抛光电镜与吸附测试表明,页岩孔隙发育具有成因类型多、孔径尺度小的特点,有机孔孔径主要集中在10~50 nm范围内.水井沱组页岩气层顶、底板条件良好,区域构造稳定、断裂不发育,页岩气保存条件优越.钻井过程中水井沱组气显频繁,解析含气量为0.31~5.48 m3/t,连续含气量大于2 m3/t的累计厚度达44.05 m.水井沱组水平井压裂获工业气流,页岩气组分中CH4含量为87.17%~92.75%,C2H6为0.83%~0.94%,N2为5.86%~9.37%,CO2为0.05%~2.25%.总体上宜昌地区下寒武统水井沱组页岩气成藏条件较好,是四川盆地外页岩气新的勘探区.
鄂西宜昌下寒武统水井沱组页岩具有良好的气体显示,页岩气成藏条件研究薄弱.利用最新钻探的井下资料、周边露头地质调查资料及大量样品的分析测试结果,从富有机质页岩区域展布、地球化学特征、岩石储集特征、含气性、保存条件等方面研究鄂西宜昌地区下寒武统水井沱组页岩气聚集条件.研究区水井沱组形成于陆棚-斜坡相带,厚度为50~140 m.有机碳含量高(TOC值为0.43%~10.45%,平均值达2.65%),TOC大于2%的优质页岩有效厚度为28~41 m,有机质热成熟度为2.4%~3.2%,处于高演化阶段.页岩脆性矿物含量高,石英含量平均值为29.33%,碳酸盐含量平均值为25.94%,黏土矿物含量平均值为35.06%,且以伊/蒙间层为主.水井沱组富有机质页岩孔隙度为0.96%~3.32%,平均值为2.08%,页岩渗透率为0.01×10-3~3.05×10-3 μm2.氩离子抛光电镜与吸附测试表明,页岩孔隙发育具有成因类型多、孔径尺度小的特点,有机孔孔径主要集中在10~50 nm范围内.水井沱组页岩气层顶、底板条件良好,区域构造稳定、断裂不发育,页岩气保存条件优越.钻井过程中水井沱组气显频繁,解析含气量为0.31~5.48 m3/t,连续含气量大于2 m3/t的累计厚度达44.05 m.水井沱组水平井压裂获工业气流,页岩气组分中CH4含量为87.17%~92.75%,C2H6为0.83%~0.94%,N2为5.86%~9.37%,CO2为0.05%~2.25%.总体上宜昌地区下寒武统水井沱组页岩气成藏条件较好,是四川盆地外页岩气新的勘探区.
2019, 44(11): 3616-3627.
doi: 10.3799/dqkx.2019.127
摘要:
为了获得鄂西地区下寒武统牛蹄塘组页岩气成藏特征,通过对XD1井储层裂缝统计,方解石脉流体包裹体测试以及寒武纪碎屑锆石U-Pb同位素年代学研究.XD1井裂缝发育,以高角度剪切缝为主,裂缝大部分被方解石充填.液相包裹体成分以H2O和CH4为主,气相包裹体成分含有CO2、H2S、CH4、N2和H2.流体包裹体的均一温度显示出较大差异性,从168~293℃均有分布,且大致划分为3个区间:168~175℃低温区、185~227℃中温区和244~293℃高温区,反映出页岩气成藏具有多期次成藏的特点,大部分晚期次生包裹体处于中温区,且CH4含量较高,因此页岩气主要成藏期为晚期次生聚集成藏.获得有效碎屑锆石年龄数据178组,年龄值变化范围在2 638~330 Ma区间内,主要集中在2 638~2 010 Ma、1 997~1 516 Ma、1 450~904 Ma、890~722 Ma和699~330 Ma的5个时间段,说明XD1井经历多期构造改造.XD1井页岩气具有生烃的物质基础,但由于多期的构造运动产生大量裂缝和破裂带,导致页岩气保存条件的破坏,造成了页岩气的散失,因此,鄂西地区优选页岩气有利勘探区重点是寻找构造稳定区.
为了获得鄂西地区下寒武统牛蹄塘组页岩气成藏特征,通过对XD1井储层裂缝统计,方解石脉流体包裹体测试以及寒武纪碎屑锆石U-Pb同位素年代学研究.XD1井裂缝发育,以高角度剪切缝为主,裂缝大部分被方解石充填.液相包裹体成分以H2O和CH4为主,气相包裹体成分含有CO2、H2S、CH4、N2和H2.流体包裹体的均一温度显示出较大差异性,从168~293℃均有分布,且大致划分为3个区间:168~175℃低温区、185~227℃中温区和244~293℃高温区,反映出页岩气成藏具有多期次成藏的特点,大部分晚期次生包裹体处于中温区,且CH4含量较高,因此页岩气主要成藏期为晚期次生聚集成藏.获得有效碎屑锆石年龄数据178组,年龄值变化范围在2 638~330 Ma区间内,主要集中在2 638~2 010 Ma、1 997~1 516 Ma、1 450~904 Ma、890~722 Ma和699~330 Ma的5个时间段,说明XD1井经历多期构造改造.XD1井页岩气具有生烃的物质基础,但由于多期的构造运动产生大量裂缝和破裂带,导致页岩气保存条件的破坏,造成了页岩气的散失,因此,鄂西地区优选页岩气有利勘探区重点是寻找构造稳定区.
2019, 44(11): 3628-3638.
doi: 10.3799/dqkx.2019.183
摘要:
川西南地区筇竹寺组发育多套富有机质页岩,但上部优质页岩的含气性明显好于下部优质页岩.应用热解实验、物性测试、全岩矿物X衍射、低温氮气吸附、氩离子抛光-扫描电镜等方法对筇竹寺组页岩地化、储层、封盖条件等开展分析,揭示筇竹寺组页岩气纵向差异富集的主控因素.研究表明,页岩气差异富集的主要控制因素为:(1)页岩有机质富集程度:筇竹寺组上部页岩段TOC含量相对较高、分布集中,下部优质页岩段TOC含量较低且分布不均、分散,从而导致页岩纵向生烃物质条件、有机质孔隙发育及微孔(比表面)的差异.(2)页岩岩矿组成及储层特征:上部优质页岩段粘土含量高且以伊蒙混层为主,有利于吸附气富集,该页岩段以有机质孔隙为主,微孔相对比较发育但孔隙度较高,下部优质页岩以粘土矿物孔、脆性矿物粒间孔及微裂缝为主,介孔相对比较发育但孔隙度较低.(3)保存条件:上页岩段顶底板发育完整且岩性致密,对页岩气层具有较好的保护作用;下页优质岩段底部存在碳酸盐岩古风化壳,底板对页岩气的保存能力薄弱.因此,TOC含量高、粘土矿物含量高、有机质孔隙发育、顶底板条件好是决定上部优质页岩段含气性优于下部页岩段的主要因素.
川西南地区筇竹寺组发育多套富有机质页岩,但上部优质页岩的含气性明显好于下部优质页岩.应用热解实验、物性测试、全岩矿物X衍射、低温氮气吸附、氩离子抛光-扫描电镜等方法对筇竹寺组页岩地化、储层、封盖条件等开展分析,揭示筇竹寺组页岩气纵向差异富集的主控因素.研究表明,页岩气差异富集的主要控制因素为:(1)页岩有机质富集程度:筇竹寺组上部页岩段TOC含量相对较高、分布集中,下部优质页岩段TOC含量较低且分布不均、分散,从而导致页岩纵向生烃物质条件、有机质孔隙发育及微孔(比表面)的差异.(2)页岩岩矿组成及储层特征:上部优质页岩段粘土含量高且以伊蒙混层为主,有利于吸附气富集,该页岩段以有机质孔隙为主,微孔相对比较发育但孔隙度较高,下部优质页岩以粘土矿物孔、脆性矿物粒间孔及微裂缝为主,介孔相对比较发育但孔隙度较低.(3)保存条件:上页岩段顶底板发育完整且岩性致密,对页岩气层具有较好的保护作用;下页优质岩段底部存在碳酸盐岩古风化壳,底板对页岩气的保存能力薄弱.因此,TOC含量高、粘土矿物含量高、有机质孔隙发育、顶底板条件好是决定上部优质页岩段含气性优于下部页岩段的主要因素.
2019, 44(11): 3639-3652.
doi: 10.3799/dqkx.2019.197
摘要:
明确不同沉积环境下页岩气生成机理的差异性对于页岩气成因机理及页岩气地球化学特征研究具有重要意义.选择低演化阶段的海相(中元古界洪水庄组)和陆相(三叠统延长组长7段)泥页岩进行了半封闭热模拟实验,对其气体产物进行了组分和碳同位素分析.结果表明,洪水庄组页岩产气量要远远低于同温度条件下长7段泥岩的产气量.同时,长7段泥岩气体产物二次裂解程度比较高.洪水庄组页岩有机质母源以生油性为主,长7段泥岩沉积过程受到陆源混入,有机质母源以相对偏生气性为主.热模拟实验条件下黄铁矿转化成磁黄铁矿的过程也可能促进长7段泥岩烃类气的生成.热模拟实验中所用样品的状态,即柱状样或颗粒样,也可能会对气体的裂解行为产生影响.在这种情况下,南方地区页岩气高的甲烷产率以及碳同位素倒转可能与厚层页岩高的油气滞留率有关.
明确不同沉积环境下页岩气生成机理的差异性对于页岩气成因机理及页岩气地球化学特征研究具有重要意义.选择低演化阶段的海相(中元古界洪水庄组)和陆相(三叠统延长组长7段)泥页岩进行了半封闭热模拟实验,对其气体产物进行了组分和碳同位素分析.结果表明,洪水庄组页岩产气量要远远低于同温度条件下长7段泥岩的产气量.同时,长7段泥岩气体产物二次裂解程度比较高.洪水庄组页岩有机质母源以生油性为主,长7段泥岩沉积过程受到陆源混入,有机质母源以相对偏生气性为主.热模拟实验条件下黄铁矿转化成磁黄铁矿的过程也可能促进长7段泥岩烃类气的生成.热模拟实验中所用样品的状态,即柱状样或颗粒样,也可能会对气体的裂解行为产生影响.在这种情况下,南方地区页岩气高的甲烷产率以及碳同位素倒转可能与厚层页岩高的油气滞留率有关.
2019, 44(11): 3653-3661.
doi: 10.3799/dqkx.2019.212
摘要:
为研究上部气层(⑥~⑨小层)与下部气层(①~⑤小层)气井开发效果存在明显差异的原因,结合压裂数据、现场生产动态、可采储量预测和地质分析等手段,评价上部气层和下部气层在页岩岩性、地化特征和储层物性等方面存在的差异.结合气井生产特征分析,认为上部气层可能存在烃源岩内的一次运移,导致上部气层构造高部位天然气富集程度高,这是造成上部气层评价井开发效果差异以及上部气层、下部气层页岩气井差异的主要原因.焦石坝背斜高部位为上部气层开发有利区,但受技术工艺水平和气价控制,其有效开发范围需要根据页岩气井的可采储量、经济性来圈定,结合上部气层页岩气井稳产能力及可采储量评价,认为上部气层开发应从构造高部位开始,逐步向低部位扩展.
为研究上部气层(⑥~⑨小层)与下部气层(①~⑤小层)气井开发效果存在明显差异的原因,结合压裂数据、现场生产动态、可采储量预测和地质分析等手段,评价上部气层和下部气层在页岩岩性、地化特征和储层物性等方面存在的差异.结合气井生产特征分析,认为上部气层可能存在烃源岩内的一次运移,导致上部气层构造高部位天然气富集程度高,这是造成上部气层评价井开发效果差异以及上部气层、下部气层页岩气井差异的主要原因.焦石坝背斜高部位为上部气层开发有利区,但受技术工艺水平和气价控制,其有效开发范围需要根据页岩气井的可采储量、经济性来圈定,结合上部气层页岩气井稳产能力及可采储量评价,认为上部气层开发应从构造高部位开始,逐步向低部位扩展.
2019, 44(11): 3662-3677.
doi: 10.3799/dqkx.2019.167
摘要:
雪峰隆起周缘是四川盆地外围页岩气勘探的重要区域,下寒武统牛蹄塘组为该区主要的页岩气层位,为深入研究页岩含气性特征,以隆起西缘湘张地1井钻井资料为基础,借助现场含气测试数据,对页岩纵向含气性进行精细描述,并以此探讨牛蹄塘组页岩气分布规律与控制因素.湘张地1井牛蹄塘组页岩气整体呈上低下高、局部富集的分布规律,受有机质含量、矿物组分、孔隙与裂缝、物性、滑脱构造等因素共同控制.下部页岩有机质和脆性矿物含量高、裂缝与孔隙较发育,气体吸附的比表面积主要由有机质孔隙提供,脆性矿物有利于孔缝的形成与保存,裂缝与孔隙的发育有效改善了储层物性,为游离气提供大量储集空间,配合存在的滑脱构造带,使下部总含气量较高,且以游离气为主,占比58%~82%,尤其底部滑脱带内吸附气含量极低,孔缝发育程度对总含气量的影响大于有机质含量,同时,孔缝分布的不均也导致气体在局部较为富集;上部页岩孔缝欠发育,有机质与脆性矿物含量均低于下部,整体含气性较差,吸附气占比略大,主要受有机质含量控制,可作为下部含气段直接有效的盖层.此外,下部页岩岩石力学脆性强、成岩作用晚、热演化程度高、抗压强度与主应力差低,具备较强的可压裂性,有利于后期改造.
雪峰隆起周缘是四川盆地外围页岩气勘探的重要区域,下寒武统牛蹄塘组为该区主要的页岩气层位,为深入研究页岩含气性特征,以隆起西缘湘张地1井钻井资料为基础,借助现场含气测试数据,对页岩纵向含气性进行精细描述,并以此探讨牛蹄塘组页岩气分布规律与控制因素.湘张地1井牛蹄塘组页岩气整体呈上低下高、局部富集的分布规律,受有机质含量、矿物组分、孔隙与裂缝、物性、滑脱构造等因素共同控制.下部页岩有机质和脆性矿物含量高、裂缝与孔隙较发育,气体吸附的比表面积主要由有机质孔隙提供,脆性矿物有利于孔缝的形成与保存,裂缝与孔隙的发育有效改善了储层物性,为游离气提供大量储集空间,配合存在的滑脱构造带,使下部总含气量较高,且以游离气为主,占比58%~82%,尤其底部滑脱带内吸附气含量极低,孔缝发育程度对总含气量的影响大于有机质含量,同时,孔缝分布的不均也导致气体在局部较为富集;上部页岩孔缝欠发育,有机质与脆性矿物含量均低于下部,整体含气性较差,吸附气占比略大,主要受有机质含量控制,可作为下部含气段直接有效的盖层.此外,下部页岩岩石力学脆性强、成岩作用晚、热演化程度高、抗压强度与主应力差低,具备较强的可压裂性,有利于后期改造.
2019, 44(11): 3678-3691.
doi: 10.3799/dqkx.2019.208
摘要:
雪峰山志留系前陆盆地分布在湘中-湘西北-四川盆地,是上扬子板块主要的盆地类型,目前针对该前陆盆地沉积特征和页岩气勘探潜力的研究少见.根据野外资料、测井资料和分析测试资料分析了湘西北和湘中地区前陆盆地沉积建造过程和页岩气勘探潜力.结果表明湘中前陆盆地前渊带以浊积扇和浅海陆棚相沉积为主,而湘西北隆后盆地沉积相类型丰富,包括潮坪相、浅海陆棚相、滨岸相、三角洲相和碳酸盐岩台地相等.虽然前渊带和隆后盆地沉积相类型和沉积厚度差异较大,但沉积旋回的划分却是一致的,因此前渊带和隆后盆地相互连通,雪峰山对其两侧盆地的遮挡作用有限.地球化学测试分析表明研究区隆后盆地页岩的有机碳含量、有机质类型均较四川盆地的焦石坝差.湖南地区志留系页岩各项地化指标较差的主要原因是其缺少龙马溪组第一旋回的黑色碳质页岩.
雪峰山志留系前陆盆地分布在湘中-湘西北-四川盆地,是上扬子板块主要的盆地类型,目前针对该前陆盆地沉积特征和页岩气勘探潜力的研究少见.根据野外资料、测井资料和分析测试资料分析了湘西北和湘中地区前陆盆地沉积建造过程和页岩气勘探潜力.结果表明湘中前陆盆地前渊带以浊积扇和浅海陆棚相沉积为主,而湘西北隆后盆地沉积相类型丰富,包括潮坪相、浅海陆棚相、滨岸相、三角洲相和碳酸盐岩台地相等.虽然前渊带和隆后盆地沉积相类型和沉积厚度差异较大,但沉积旋回的划分却是一致的,因此前渊带和隆后盆地相互连通,雪峰山对其两侧盆地的遮挡作用有限.地球化学测试分析表明研究区隆后盆地页岩的有机碳含量、有机质类型均较四川盆地的焦石坝差.湖南地区志留系页岩各项地化指标较差的主要原因是其缺少龙马溪组第一旋回的黑色碳质页岩.
2019, 44(11): 3692-3704.
doi: 10.3799/dqkx.2019.203
摘要:
页岩矿物组成控制着页岩的储层类型和岩石力学性质,并影响着页岩气的富集和开发.为了分析不同类型石英矿物的纵向变化特征及其对页岩气富集开采的控制作用,以四川盆地及其周缘五峰组-龙马溪组WF2-LM4和LM5-LM8两个笔石带页岩为主要研究对象,利用普通薄片观察、扫描电镜、矿物成岩世代关系、能谱分析等手段,识别出陆源碎屑石英、生物成因石英和黏土矿物转化过程中形成的3种石英类型.结果表明不同的页岩层段,3种成因的石英含量不同.生物成因石英在WF2-LM4笔石带页岩最为富集,向上到LM5-LM8笔石带页岩逐渐减少.在WF2-LM4笔石带页岩,生物成因石英与有机碳含量呈明显的正相关性,有利于页岩优质储层的形成,对页岩储层的压裂改造具有积极作用,实现了页岩赋气和改造的有机统一.研究认为四川盆地及其周缘地区五峰组-龙马溪组一段下部黑色页岩(WF2-LM4笔石带页岩)具有生物成因石英含量高,页岩生烃、储集能力和可压裂性最优的特点,是页岩气富集开采的有利层段.
页岩矿物组成控制着页岩的储层类型和岩石力学性质,并影响着页岩气的富集和开发.为了分析不同类型石英矿物的纵向变化特征及其对页岩气富集开采的控制作用,以四川盆地及其周缘五峰组-龙马溪组WF2-LM4和LM5-LM8两个笔石带页岩为主要研究对象,利用普通薄片观察、扫描电镜、矿物成岩世代关系、能谱分析等手段,识别出陆源碎屑石英、生物成因石英和黏土矿物转化过程中形成的3种石英类型.结果表明不同的页岩层段,3种成因的石英含量不同.生物成因石英在WF2-LM4笔石带页岩最为富集,向上到LM5-LM8笔石带页岩逐渐减少.在WF2-LM4笔石带页岩,生物成因石英与有机碳含量呈明显的正相关性,有利于页岩优质储层的形成,对页岩储层的压裂改造具有积极作用,实现了页岩赋气和改造的有机统一.研究认为四川盆地及其周缘地区五峰组-龙马溪组一段下部黑色页岩(WF2-LM4笔石带页岩)具有生物成因石英含量高,页岩生烃、储集能力和可压裂性最优的特点,是页岩气富集开采的有利层段.
2019, 44(11): 3705-3716.
doi: 10.3799/dqkx.2019.143
摘要:
为了合理评价我国南方下古生界页岩有机质热演化程度,研究其与页岩含气性关系;采用气相色谱-质谱联用仪对中扬子地区6口调查井、3个露头剖面的20件页岩样品的芳烃馏分进行了分析,并对代表不同区域的6件样品进行显微激光拉曼测试.分析结果显示拉曼D、G峰参数可以很好地计算过成熟至球粒石墨阶段高演化样品的有机质成熟度;拉曼D峰的子峰包含有芳烃含量的重要信息,随着有机质热演化程度的增加,与芳烃含量有关的D4子峰强度不断降低.芳烃中菲系列化合物和二苯并噻吩系列化合物在RmcRo=2.73%~4.67%范围内的演化具有明显规律性;虽然甲基菲成熟度公式在该阶段已经不适用,但表征3-MP+2-MP相对含量的参数F1仍是很好的有机质成熟度指标;在有机质过成熟演化阶段,F1先随成熟度增加逐渐增加至0.74附近(Ro=3%附近),之后随成熟度增加逐渐减小.二苯并噻吩化合物参数2,4-/1,4-DMDBT和4,6-/1,4-DMDBT在过成熟阶段随成熟度增加而增大,两值分别增至2和4.5时对应页岩等效镜质体反射率为4%.页岩芳烃系列化合物在过成熟阶段随有机质热演化程度增加而发生的异构化作用和脱甲基作用与有机质的比表面积变化有较好的耦合作用,与页岩气调查井的气显情况也有较好的相关性;页岩芳烃特征对过成熟阶段页岩气的生成具有重要的指示意义,可以作为我国南方下古生界有机质过成熟地区页岩气勘探的有效指标.
为了合理评价我国南方下古生界页岩有机质热演化程度,研究其与页岩含气性关系;采用气相色谱-质谱联用仪对中扬子地区6口调查井、3个露头剖面的20件页岩样品的芳烃馏分进行了分析,并对代表不同区域的6件样品进行显微激光拉曼测试.分析结果显示拉曼D、G峰参数可以很好地计算过成熟至球粒石墨阶段高演化样品的有机质成熟度;拉曼D峰的子峰包含有芳烃含量的重要信息,随着有机质热演化程度的增加,与芳烃含量有关的D4子峰强度不断降低.芳烃中菲系列化合物和二苯并噻吩系列化合物在RmcRo=2.73%~4.67%范围内的演化具有明显规律性;虽然甲基菲成熟度公式在该阶段已经不适用,但表征3-MP+2-MP相对含量的参数F1仍是很好的有机质成熟度指标;在有机质过成熟演化阶段,F1先随成熟度增加逐渐增加至0.74附近(Ro=3%附近),之后随成熟度增加逐渐减小.二苯并噻吩化合物参数2,4-/1,4-DMDBT和4,6-/1,4-DMDBT在过成熟阶段随成熟度增加而增大,两值分别增至2和4.5时对应页岩等效镜质体反射率为4%.页岩芳烃系列化合物在过成熟阶段随有机质热演化程度增加而发生的异构化作用和脱甲基作用与有机质的比表面积变化有较好的耦合作用,与页岩气调查井的气显情况也有较好的相关性;页岩芳烃特征对过成熟阶段页岩气的生成具有重要的指示意义,可以作为我国南方下古生界有机质过成熟地区页岩气勘探的有效指标.
2019, 44(11): 3717-3724.
doi: 10.3799/dqkx.2019.181
摘要:
为明确适用于南方下古生界海相页岩成熟度评价的沥青反射率与镜质体反射率等效换算关系,利用初始成熟度接近的洪水庄组海相页岩及龙潭组煤样在350~525℃温度范围开展了系列共置热压模拟实验,通过测定各温度下页岩中的沥青与煤中的镜质体反射率的演化规律,建立了两者之间的等效换算关系,并利用模拟样品和实际剖面样品开展了方法验证.结果表明两者满足以下关系:VRo(等效镜质体反射率)=0.879 8Rb(沥青反射率)+0.114 5(适用范围:VRo 0.61%~3.04%),本次建立的沥青反射率回归公式可以为准确评价缺乏镜质体的高演化海相页岩地层的成熟度判定提供重要参考.
为明确适用于南方下古生界海相页岩成熟度评价的沥青反射率与镜质体反射率等效换算关系,利用初始成熟度接近的洪水庄组海相页岩及龙潭组煤样在350~525℃温度范围开展了系列共置热压模拟实验,通过测定各温度下页岩中的沥青与煤中的镜质体反射率的演化规律,建立了两者之间的等效换算关系,并利用模拟样品和实际剖面样品开展了方法验证.结果表明两者满足以下关系:VRo(等效镜质体反射率)=0.879 8Rb(沥青反射率)+0.114 5(适用范围:VRo 0.61%~3.04%),本次建立的沥青反射率回归公式可以为准确评价缺乏镜质体的高演化海相页岩地层的成熟度判定提供重要参考.
2019, 44(11): 3725-3735.
doi: 10.3799/dqkx.2019.098
摘要:
五峰组-龙马溪组含笔石富有机质页岩是中国目前最成功和最重要的页岩气勘探目标.由于缺乏镜质体,该地层的成熟度一直存在争议.以雪峰山西侧北缘富含笔石的五峰组-龙马溪组页岩为例,采用笔石表皮体反射率来表征其成熟度特征.该套页岩笔石含量丰富,以非粒状笔石表皮体为主,其具有二轴晶光性特征,最大反射率(GRmax)和双反射率之间表现出正相关关系,成熟度越高的笔石表皮体表现出更强的各向异性.同时,该套地层中也含有丰富的沥青颗粒,其随机反射率与笔石表皮体的最大和随机反射率也呈现了正相关性,其各向异性更弱,但其成因复杂,且颗粒细小,测定较困难,因此,相对而言,作为热成熟指标,笔石表皮体反射率更占优势.雪峰山西侧北缘五峰组-龙马溪组含笔石页岩的成熟度较高,EqVRo值均为3.10%以上,达到了过成熟阶段,是页岩气勘探的有利区.
五峰组-龙马溪组含笔石富有机质页岩是中国目前最成功和最重要的页岩气勘探目标.由于缺乏镜质体,该地层的成熟度一直存在争议.以雪峰山西侧北缘富含笔石的五峰组-龙马溪组页岩为例,采用笔石表皮体反射率来表征其成熟度特征.该套页岩笔石含量丰富,以非粒状笔石表皮体为主,其具有二轴晶光性特征,最大反射率(GRmax)和双反射率之间表现出正相关关系,成熟度越高的笔石表皮体表现出更强的各向异性.同时,该套地层中也含有丰富的沥青颗粒,其随机反射率与笔石表皮体的最大和随机反射率也呈现了正相关性,其各向异性更弱,但其成因复杂,且颗粒细小,测定较困难,因此,相对而言,作为热成熟指标,笔石表皮体反射率更占优势.雪峰山西侧北缘五峰组-龙马溪组含笔石页岩的成熟度较高,EqVRo值均为3.10%以上,达到了过成熟阶段,是页岩气勘探的有利区.
2019, 44(11): 3736-3748.
doi: 10.3799/dqkx.2019.218
摘要:
为研究过熟页岩孔隙结构的演化规律及控制因素,选用上扬子寒武系牛蹄塘组和志留系龙马溪组2套过熟页岩开展热模拟实验,结合X-衍射、氮气和二氧化碳吸附以及扫描电镜研究其孔隙结构的演化特征.龙马溪组样品孔体积在500℃时得到最大提高,为原样的1.35倍; 牛蹄塘组样品孔体积在450℃时上升为最高,较原样提高到1.13倍.利用吸附数据计算出牛蹄塘组样品微孔体积是龙马溪组样品的1.72倍,龙马溪组中孔体积是牛蹄塘组样品的1.44倍.结果表明:(1)牛蹄塘组页岩有机质生烃潜力弱且原始微孔体积高,生烃量少又不易排出,孔隙结构改善较差; (2)龙马溪组页岩石英含量较高抗压能力较强,利于中-大孔隙的发育与保存,也有利于烃类生成后排出,孔体积得到较大提高.
为研究过熟页岩孔隙结构的演化规律及控制因素,选用上扬子寒武系牛蹄塘组和志留系龙马溪组2套过熟页岩开展热模拟实验,结合X-衍射、氮气和二氧化碳吸附以及扫描电镜研究其孔隙结构的演化特征.龙马溪组样品孔体积在500℃时得到最大提高,为原样的1.35倍; 牛蹄塘组样品孔体积在450℃时上升为最高,较原样提高到1.13倍.利用吸附数据计算出牛蹄塘组样品微孔体积是龙马溪组样品的1.72倍,龙马溪组中孔体积是牛蹄塘组样品的1.44倍.结果表明:(1)牛蹄塘组页岩有机质生烃潜力弱且原始微孔体积高,生烃量少又不易排出,孔隙结构改善较差; (2)龙马溪组页岩石英含量较高抗压能力较强,利于中-大孔隙的发育与保存,也有利于烃类生成后排出,孔体积得到较大提高.
2019, 44(11): 3749-3756.
doi: 10.3799/dqkx.2019.221
摘要:
高效开发页岩气有利于满足日益增长的能源需求,但页岩储层的开发极为困难,超临界二氧化碳作为一种新型页岩气钻采流体,可以有效保护页岩储层,置换吸附提高页岩气采收率,并同时实现二氧化碳的埋存.研发了一套超临界二氧化碳喷射开发页岩气装置,并开展了超临界二氧化碳喷射破碎页岩室内试验.发现超临界二氧化碳射流喷射后岩石强度降低,且射流压力和温度越高,降低幅度越大;本实验条件下超临界二氧化碳射流破岩体积是水射流的1.73~6.51倍,破岩优势显著,井底环境温度对超临界二氧化碳射流的破岩性能有较大影响.表明超临界二氧化碳可显著提高页岩气钻井速度,有望形成一种高效的页岩气开发方法,应用潜力广阔.
高效开发页岩气有利于满足日益增长的能源需求,但页岩储层的开发极为困难,超临界二氧化碳作为一种新型页岩气钻采流体,可以有效保护页岩储层,置换吸附提高页岩气采收率,并同时实现二氧化碳的埋存.研发了一套超临界二氧化碳喷射开发页岩气装置,并开展了超临界二氧化碳喷射破碎页岩室内试验.发现超临界二氧化碳射流喷射后岩石强度降低,且射流压力和温度越高,降低幅度越大;本实验条件下超临界二氧化碳射流破岩体积是水射流的1.73~6.51倍,破岩优势显著,井底环境温度对超临界二氧化碳射流的破岩性能有较大影响.表明超临界二氧化碳可显著提高页岩气钻井速度,有望形成一种高效的页岩气开发方法,应用潜力广阔.
2019, 44(11): 3757-3772.
doi: 10.3799/dqkx.2019.084
摘要:
以湘中坳陷涟源凹陷上二叠统龙潭组和大隆组海陆过渡相泥页岩为研究对象,重点选取12块典型泥页岩钻井岩心样品开展有机碳含量、岩石热解、X射线衍射、密度法孔隙度、高压压汞、二氧化碳和氮气吸附等测试分析,利用氩离子抛光-场发射扫描电镜(FE-SEM)观察了泥页岩孔隙特征,通过定性描述和定量测定相结合的方法研究了海陆过渡相泥页岩纳-微米级孔隙结构特征及孔隙发育影响因素.研究结果表明:龙潭组和大隆组泥页岩有机碳含量均较高,热演化程度处在凝析油和湿气生成阶段早期,对应Ro为1.22%~1.43%;泥页岩孔隙类型主要为粒间孔、粒内孔、有机孔和微纳米缝.龙潭组与大隆组样品在孔隙形态、孔隙大小和影响因素上均有差异:龙潭组样品氮气吸附滞回环开口宽,有机孔形态多为圆形和椭圆形,孔径较大;大隆组样品氮气吸附滞回环开口窄,有机孔形态多为不规则状,孔径较小;龙潭组泥岩和大隆组泥页岩样品有机碳含量与黏土矿物含量呈正相关关系,2套样品的微孔孔隙积体与有机碳和黏土矿物含量均呈正相关性;龙潭组样品介孔+宏孔的孔隙体积与有机碳和黏土矿物含量呈正相关性,与石英+长石含量呈负相关性;大隆组样品中的碳酸盐矿物对其孔隙性有明显影响,大隆组样品介孔+宏孔孔隙体积与有机碳、黏土矿物和石英+长石含量相关性不明显.
以湘中坳陷涟源凹陷上二叠统龙潭组和大隆组海陆过渡相泥页岩为研究对象,重点选取12块典型泥页岩钻井岩心样品开展有机碳含量、岩石热解、X射线衍射、密度法孔隙度、高压压汞、二氧化碳和氮气吸附等测试分析,利用氩离子抛光-场发射扫描电镜(FE-SEM)观察了泥页岩孔隙特征,通过定性描述和定量测定相结合的方法研究了海陆过渡相泥页岩纳-微米级孔隙结构特征及孔隙发育影响因素.研究结果表明:龙潭组和大隆组泥页岩有机碳含量均较高,热演化程度处在凝析油和湿气生成阶段早期,对应Ro为1.22%~1.43%;泥页岩孔隙类型主要为粒间孔、粒内孔、有机孔和微纳米缝.龙潭组与大隆组样品在孔隙形态、孔隙大小和影响因素上均有差异:龙潭组样品氮气吸附滞回环开口宽,有机孔形态多为圆形和椭圆形,孔径较大;大隆组样品氮气吸附滞回环开口窄,有机孔形态多为不规则状,孔径较小;龙潭组泥岩和大隆组泥页岩样品有机碳含量与黏土矿物含量呈正相关关系,2套样品的微孔孔隙积体与有机碳和黏土矿物含量均呈正相关性;龙潭组样品介孔+宏孔的孔隙体积与有机碳和黏土矿物含量呈正相关性,与石英+长石含量呈负相关性;大隆组样品中的碳酸盐矿物对其孔隙性有明显影响,大隆组样品介孔+宏孔孔隙体积与有机碳、黏土矿物和石英+长石含量相关性不明显.
2019, 44(11): 3773-3782.
doi: 10.3799/dqkx.2019.107
摘要:
为了解高压条件下二氧化碳(CO2)对页岩微观孔隙结构改造及吸附行为,以四川盆地焦页6井页岩为研究对象,通过低温N2吸附和重量法等温吸附实验,研究了不同温压条件下CO2处理前后的页岩微观结构特征及CO2在页岩中的吸附行为.研究表明随处理温度升高,CO2作用后的页岩比表面积呈下降趋势,平均孔径和孔体积呈上升趋势,微孔、中孔比例减少,宏孔比例增大.CO2会改变页岩孔隙结构,改变程度与温度呈正相关关系.研究同时表明页岩对CO2的过剩吸附量随压力增大而增加直至达到最大值,后随压力增大而减小;绝对吸附量随压力增大而增加,在40 MPa之后,吸附量趋于稳定.页岩对CO2的吸附行为与温度压力有关,在高压条件下,Langmuir模型依然能较好地拟合CO2在页岩中的吸附.
为了解高压条件下二氧化碳(CO2)对页岩微观孔隙结构改造及吸附行为,以四川盆地焦页6井页岩为研究对象,通过低温N2吸附和重量法等温吸附实验,研究了不同温压条件下CO2处理前后的页岩微观结构特征及CO2在页岩中的吸附行为.研究表明随处理温度升高,CO2作用后的页岩比表面积呈下降趋势,平均孔径和孔体积呈上升趋势,微孔、中孔比例减少,宏孔比例增大.CO2会改变页岩孔隙结构,改变程度与温度呈正相关关系.研究同时表明页岩对CO2的过剩吸附量随压力增大而增加直至达到最大值,后随压力增大而减小;绝对吸附量随压力增大而增加,在40 MPa之后,吸附量趋于稳定.页岩对CO2的吸附行为与温度压力有关,在高压条件下,Langmuir模型依然能较好地拟合CO2在页岩中的吸附.
2019, 44(11): 3783-3793.
doi: 10.3799/dqkx.2019.189
摘要:
龙一1亚段页岩是川南页岩气开发的主要目的层,实践表明水平井单井产气量对井轨迹所在小层较为敏感.龙一1亚段页岩各层脆性矿物组分、弹性模量变化幅度小,采用常规页岩脆性评价方法和模型不能有效评价川南龙一1亚段各小层页岩的可压性,借鉴地震学地震成核原因研究思路,提出利用稳态-非稳态破坏特征来表征各小层可压性.优化设计一种页岩剪切摩擦、稳态-非稳态特性实验方法,利用川南页岩地面露头进行线切割制样开展相关实验测试,分析研究页岩摩擦系数受层理性构造、矿物组分、法向应力大小的影响,表征量化不同矿物组分下的页岩稳态-非稳态特征,确定了速度弱化向速度强化转换的粘土矿物含量临界值.以川南昭通YS108井区龙一1亚段页岩储层为例,对各小层可压性进行整体评价,得到:龙一11~2层较易开启剪切滑移,且易形成网状裂纹,储层整体可压性好;龙一13层较难开启剪切滑移,但裂纹为单一裂纹、网状裂纹过渡状态,储层整体可压性较差;龙一14层较易开启剪切滑移,但裂纹则呈现单一状态,储层整体可压性较差.
龙一1亚段页岩是川南页岩气开发的主要目的层,实践表明水平井单井产气量对井轨迹所在小层较为敏感.龙一1亚段页岩各层脆性矿物组分、弹性模量变化幅度小,采用常规页岩脆性评价方法和模型不能有效评价川南龙一1亚段各小层页岩的可压性,借鉴地震学地震成核原因研究思路,提出利用稳态-非稳态破坏特征来表征各小层可压性.优化设计一种页岩剪切摩擦、稳态-非稳态特性实验方法,利用川南页岩地面露头进行线切割制样开展相关实验测试,分析研究页岩摩擦系数受层理性构造、矿物组分、法向应力大小的影响,表征量化不同矿物组分下的页岩稳态-非稳态特征,确定了速度弱化向速度强化转换的粘土矿物含量临界值.以川南昭通YS108井区龙一1亚段页岩储层为例,对各小层可压性进行整体评价,得到:龙一11~2层较易开启剪切滑移,且易形成网状裂纹,储层整体可压性好;龙一13层较难开启剪切滑移,但裂纹为单一裂纹、网状裂纹过渡状态,储层整体可压性较差;龙一14层较易开启剪切滑移,但裂纹则呈现单一状态,储层整体可压性较差.
2019, 44(11): 3794-3811.
doi: 10.3799/dqkx.2019.156
摘要:
上泥盆统佘田桥组是湘中地区页岩气勘探的重要层系之一.为了探讨湘中地区涟源凹陷上泥盆统佘田桥组黑色泥页岩有机质富集机理,系统采集了区内湘新地3井佘田桥组20个泥页岩岩心样品,开展有机碳含量、主量元素、微量元素以及稀土元素等地球化学特征测试,分析佘田桥组页岩的古盐度、古气候、古氧化还原条件和古生产力等古沉积环境.结果表明:佘田桥组底部层段有机碳含量较高(1.28%~2.68%),平均值为1.69%.页岩主要成分为SiO2(50.27%)、Al2O3(13.66%)、CaO(11.55%).微量元素Rb、Sr和Zr富集而Co、Mo、Sc和Hf亏损.Sr/Ba、化学蚀变指数(CIA)、Th/U、V/Sc、V/Cr、δU比值表明佘田桥组富有机质页岩段沉积环境为淡水-半咸水、干旱的贫氧-次富氧环境,贫有机质页岩段为咸水、干旱-半干旱的富氧环境.结合区域层序地层特征,综合对比佘田桥组有机碳含量(TOC)与古氧化还原条件、古生产力条件的相关性,揭示出涟源凹陷佘田桥组富有机质页岩段有机质富集的主控因素为古氧化还原环境,而贫有机质页岩段有机质主要来源于陆源供给.
上泥盆统佘田桥组是湘中地区页岩气勘探的重要层系之一.为了探讨湘中地区涟源凹陷上泥盆统佘田桥组黑色泥页岩有机质富集机理,系统采集了区内湘新地3井佘田桥组20个泥页岩岩心样品,开展有机碳含量、主量元素、微量元素以及稀土元素等地球化学特征测试,分析佘田桥组页岩的古盐度、古气候、古氧化还原条件和古生产力等古沉积环境.结果表明:佘田桥组底部层段有机碳含量较高(1.28%~2.68%),平均值为1.69%.页岩主要成分为SiO2(50.27%)、Al2O3(13.66%)、CaO(11.55%).微量元素Rb、Sr和Zr富集而Co、Mo、Sc和Hf亏损.Sr/Ba、化学蚀变指数(CIA)、Th/U、V/Sc、V/Cr、δU比值表明佘田桥组富有机质页岩段沉积环境为淡水-半咸水、干旱的贫氧-次富氧环境,贫有机质页岩段为咸水、干旱-半干旱的富氧环境.结合区域层序地层特征,综合对比佘田桥组有机碳含量(TOC)与古氧化还原条件、古生产力条件的相关性,揭示出涟源凹陷佘田桥组富有机质页岩段有机质富集的主控因素为古氧化还原环境,而贫有机质页岩段有机质主要来源于陆源供给.
2019, 44(11): 3812-3828.
doi: 10.3799/dqkx.2018.279
摘要:
玉苏普阿勒克塔格岩体是南阿尔金出露面积较大的花岗岩体之一.为了查明该岩体的成因与形成的构造环境,探讨南阿尔金地区的岩浆演化过程,对该岩体进行了岩石学、地球化学及锆石U-Pb年代学方面的研究.研究结果表明玉苏普阿勒克塔格岩体主要由中粗粒似斑状黑云二长花岗岩及中细粒含斑黑云二长花岗岩组成.本次研究获得中粗粒似斑状黑云二长花岗岩的锆石U-Pb年龄为442~448 Ma,中细粒含斑黑云二长花岗岩的锆石U-Pb年龄为423~430 Ma.岩石地球化学显示,早期花岗岩具有准铝质特征(A/CNK=0.97),晚期花岗岩具有弱过铝质特征(A/CNK=1.04).两期花岗岩均属于高钾钙碱性Ⅰ型花岗岩,轻稀土富集重稀土亏损,具有Eu的弱负异常.两期花岗岩都富集Rb、Th、K等元素,亏损Ba、P、Sr、Ti等元素.根据两期花岗岩的形成时代,结合区域地质背景认为玉苏普阿勒克塔格岩体形成于活动大陆边缘环境,是早古生代南阿尔金洋向北俯冲碰撞,在构造体制转换阶段幔源岩浆上涌新生地壳发生部分熔融形成.
玉苏普阿勒克塔格岩体是南阿尔金出露面积较大的花岗岩体之一.为了查明该岩体的成因与形成的构造环境,探讨南阿尔金地区的岩浆演化过程,对该岩体进行了岩石学、地球化学及锆石U-Pb年代学方面的研究.研究结果表明玉苏普阿勒克塔格岩体主要由中粗粒似斑状黑云二长花岗岩及中细粒含斑黑云二长花岗岩组成.本次研究获得中粗粒似斑状黑云二长花岗岩的锆石U-Pb年龄为442~448 Ma,中细粒含斑黑云二长花岗岩的锆石U-Pb年龄为423~430 Ma.岩石地球化学显示,早期花岗岩具有准铝质特征(A/CNK=0.97),晚期花岗岩具有弱过铝质特征(A/CNK=1.04).两期花岗岩均属于高钾钙碱性Ⅰ型花岗岩,轻稀土富集重稀土亏损,具有Eu的弱负异常.两期花岗岩都富集Rb、Th、K等元素,亏损Ba、P、Sr、Ti等元素.根据两期花岗岩的形成时代,结合区域地质背景认为玉苏普阿勒克塔格岩体形成于活动大陆边缘环境,是早古生代南阿尔金洋向北俯冲碰撞,在构造体制转换阶段幔源岩浆上涌新生地壳发生部分熔融形成.
2019, 44(11): 3829-3844.
doi: 10.3799/dqkx.2018.558
摘要:
商城岩体位于大别造山带北淮阳火山岩带中段,被早白垩世金刚台组火山岩不整合覆盖,厘定其侵位时间和成因对于揭示大别造山带晚中生代构造演化具有重要意义.对岩体进行SHRIMP锆石U-Pb测年和岩石地球化学研究,岩体中心相肆顾墩单元巨斑状二长花岗岩15个锆石测点中有13个测点的206Pb/238U年龄加权平均值为130.2±1.7 Ma,代表商城岩体最终就位的时间.商城岩体具有高含量的Al2O3、Sr,高Sr/Y值和低含量的Y、Yb,轻重稀土分馏显著,无Eu异常(δEu=0.90~1.05),发育Nb、Ta负异常,具有埃达克质岩石的地球化学特征.商城岩体3个岩相单元从早到晚长英质矿物结晶压力降低,侵位深度显著变浅,为挤压作用下主动侵位的结果.商城岩体是大别造山带早白垩世岩浆爆发的产物,岩浆起源于加厚下地壳的部分熔融,从商城岩体开始侵位至金刚台组火山岩喷发,该区地壳经历快速的隆升和剥蚀,而这一过程正是两者地球化学属性所反映的加厚下地壳减薄的浅表响应,130 Ma是大别造山带晚中生代构造体制转换的时间.
商城岩体位于大别造山带北淮阳火山岩带中段,被早白垩世金刚台组火山岩不整合覆盖,厘定其侵位时间和成因对于揭示大别造山带晚中生代构造演化具有重要意义.对岩体进行SHRIMP锆石U-Pb测年和岩石地球化学研究,岩体中心相肆顾墩单元巨斑状二长花岗岩15个锆石测点中有13个测点的206Pb/238U年龄加权平均值为130.2±1.7 Ma,代表商城岩体最终就位的时间.商城岩体具有高含量的Al2O3、Sr,高Sr/Y值和低含量的Y、Yb,轻重稀土分馏显著,无Eu异常(δEu=0.90~1.05),发育Nb、Ta负异常,具有埃达克质岩石的地球化学特征.商城岩体3个岩相单元从早到晚长英质矿物结晶压力降低,侵位深度显著变浅,为挤压作用下主动侵位的结果.商城岩体是大别造山带早白垩世岩浆爆发的产物,岩浆起源于加厚下地壳的部分熔融,从商城岩体开始侵位至金刚台组火山岩喷发,该区地壳经历快速的隆升和剥蚀,而这一过程正是两者地球化学属性所反映的加厚下地壳减薄的浅表响应,130 Ma是大别造山带晚中生代构造体制转换的时间.
2019, 44(11): 3845-3870.
doi: 10.3799/dqkx.2017.502
摘要:
埃迪卡拉纪-寒武纪重要地质历史转折时期全球多陆块广泛沉积硅质岩.塔里木盆地西北缘下寒武统玉尔吐斯组底部所发育的薄层状硅质岩,以富含残余颗粒、磷质结核和重晶石结核而显得非常特殊和罕见,明显有别于国内外报道的常规硅质岩.为了揭示该套硅质岩的成因及沉积模式,通过剖面测量(库勒剖面)、薄片鉴定、SEM观察、能谱探针、主微量元素特征、氧硅同位素分布等岩石学-地球化学分析方法,认为玉尔吐斯组硅质岩垂向上共分5小段,其主要矿物是石英、白云石,自生矿物主要有重晶石、方沸石、黄铁矿等,不同硅质岩段微观结构显示出十分明显的组构变化,包含残余颗粒结构、残余晶粒结构、隐晶质结构和微晶结构.所测剖面硅质岩沉积于靠近大陆/古隆起的高盐度浅海陆架(高Al2O3/(Al2O3+Fe2O3)比值,高MgO/Al2O3比值),其陆源碎屑主要来自大陆地壳或基底花岗岩的风化产物,并且受到SiO2的稀释作用影响(Th/Ti与Al/Ti关系).氧化还原敏感元素(如Ba、V、Ni、Cu、Zn、U等)不同程度的富集及氧化还原指标(V/Cr介于0.81~8.34)特征表明硅质岩段沉积早期处于氧化环境,水体能量较强,显微镜下见圆度较好的内碎屑颗粒、微生物席碎片;中晚期经历了水体循环不畅的有氧/缺氧分层环境(Ce/Ce*负异常),显微镜下微生物球粒、粪球粒、浮游藻(粘结)团块发育,有机质含量较高(TOC可达2%以上).稀土元素特征(低∑REE、中等Ce负异常、显著的Y正异常和Eu正异常)以及δ30Si和δ18O值分布范围暗示硅质岩地球化学特征主要继承自热液流体和海水,受陆源碎屑影响较弱.自近台内裂陷中心上升的富含多金属的富硅热液以及陆源碎屑提供大量营养,为微生物大繁盛和硅质的富集成矿奠定物质基础.水体中硅的溶解度降低(温度降低、pH降低和水体盐度升高)促使硅质胶体颗粒化学沉淀,而微生物(特别是嗜热微生物)的新陈代谢活动往往加速了这一过程.
埃迪卡拉纪-寒武纪重要地质历史转折时期全球多陆块广泛沉积硅质岩.塔里木盆地西北缘下寒武统玉尔吐斯组底部所发育的薄层状硅质岩,以富含残余颗粒、磷质结核和重晶石结核而显得非常特殊和罕见,明显有别于国内外报道的常规硅质岩.为了揭示该套硅质岩的成因及沉积模式,通过剖面测量(库勒剖面)、薄片鉴定、SEM观察、能谱探针、主微量元素特征、氧硅同位素分布等岩石学-地球化学分析方法,认为玉尔吐斯组硅质岩垂向上共分5小段,其主要矿物是石英、白云石,自生矿物主要有重晶石、方沸石、黄铁矿等,不同硅质岩段微观结构显示出十分明显的组构变化,包含残余颗粒结构、残余晶粒结构、隐晶质结构和微晶结构.所测剖面硅质岩沉积于靠近大陆/古隆起的高盐度浅海陆架(高Al2O3/(Al2O3+Fe2O3)比值,高MgO/Al2O3比值),其陆源碎屑主要来自大陆地壳或基底花岗岩的风化产物,并且受到SiO2的稀释作用影响(Th/Ti与Al/Ti关系).氧化还原敏感元素(如Ba、V、Ni、Cu、Zn、U等)不同程度的富集及氧化还原指标(V/Cr介于0.81~8.34)特征表明硅质岩段沉积早期处于氧化环境,水体能量较强,显微镜下见圆度较好的内碎屑颗粒、微生物席碎片;中晚期经历了水体循环不畅的有氧/缺氧分层环境(Ce/Ce*负异常),显微镜下微生物球粒、粪球粒、浮游藻(粘结)团块发育,有机质含量较高(TOC可达2%以上).稀土元素特征(低∑REE、中等Ce负异常、显著的Y正异常和Eu正异常)以及δ30Si和δ18O值分布范围暗示硅质岩地球化学特征主要继承自热液流体和海水,受陆源碎屑影响较弱.自近台内裂陷中心上升的富含多金属的富硅热液以及陆源碎屑提供大量营养,为微生物大繁盛和硅质的富集成矿奠定物质基础.水体中硅的溶解度降低(温度降低、pH降低和水体盐度升高)促使硅质胶体颗粒化学沉淀,而微生物(特别是嗜热微生物)的新陈代谢活动往往加速了这一过程.
2019, 44(11): 3871-3881.
doi: 10.3799/dqkx.2018.371
摘要:
臼齿构造主要发育于中新元古代地层中,目前所报道的臼齿构造均由纯净的、基本等粒的微晶方解石(或白云石)构成.野外地质考察中,在北京南口长城系高于庄组第3段泥晶灰岩中发现了形态多样的臼齿状构造,野外观察和室内显微镜下分析,发现臼齿状构造与宿主岩石边界多呈圆弧状或港湾状,界线清晰.扫描电镜(SEM)和能谱分析(EDX)表明,"臼齿"成分主要以硅质为主,矿物成分为玉髓和自生石英.从臼齿状构造的形态和充填序列分析,发现南口臼齿状构造形成经历了裂缝形成、裂缝充填和后期破坏再充填等过程.认为臼齿状构造可能是多成因的结果,其中在半固结的条件下由地质事件引起的微裂隙系统可能是臼齿状构造形成的重要因素之一.
臼齿构造主要发育于中新元古代地层中,目前所报道的臼齿构造均由纯净的、基本等粒的微晶方解石(或白云石)构成.野外地质考察中,在北京南口长城系高于庄组第3段泥晶灰岩中发现了形态多样的臼齿状构造,野外观察和室内显微镜下分析,发现臼齿状构造与宿主岩石边界多呈圆弧状或港湾状,界线清晰.扫描电镜(SEM)和能谱分析(EDX)表明,"臼齿"成分主要以硅质为主,矿物成分为玉髓和自生石英.从臼齿状构造的形态和充填序列分析,发现南口臼齿状构造形成经历了裂缝形成、裂缝充填和后期破坏再充填等过程.认为臼齿状构造可能是多成因的结果,其中在半固结的条件下由地质事件引起的微裂隙系统可能是臼齿状构造形成的重要因素之一.
2019, 44(11): 3882-3893.
doi: 10.3799/dqkx.2017.574
摘要:
通过对断裂带内部结构及其特征研究发现,断层岩是断层构成的重要部分,断层垂向封闭能力的强弱关键取决于油气运移方向断层岩与下伏储层岩石的排替压力差.若断层岩排替压力大于等于储层岩石,断层垂向封闭,其封闭能力的大小取决于二者排替压力差值的大小,差值越大,断层垂向封闭能力越强;反之断层垂向开启.断层岩的排替压力大小受泥质含量、压实成岩程度、岩石结构方向性等因素的影响,其泥质含量越高、压实成岩程度越大、断面方向与铅直方向夹角越小,断层岩排替压力越大.基于断层垂向封闭机理及影响因素,综合实验室不同角度泥岩样品排替压力测试结果与岩石力学分解关系,在确定与目标点断层岩具有相同压实成岩程度围岩地层的基础上,建立了一套定量评价断层垂向封闭能力的方法,并将其应用于渤海湾盆地南堡凹陷1号构造内典型断层垂向封闭能力评价中,结果表明:f1断层在不同测线处的断-储排替压力差为-0.114~1.035 MPa,除L7~L11测线处其他测线内断层岩排替压力均大于储层岩石,断层垂向封闭,与油气分布吻合关系较好.通过与未考虑岩石结构方向性方法的比较,证实该方法具有更好的可行性和更高的可信度.
通过对断裂带内部结构及其特征研究发现,断层岩是断层构成的重要部分,断层垂向封闭能力的强弱关键取决于油气运移方向断层岩与下伏储层岩石的排替压力差.若断层岩排替压力大于等于储层岩石,断层垂向封闭,其封闭能力的大小取决于二者排替压力差值的大小,差值越大,断层垂向封闭能力越强;反之断层垂向开启.断层岩的排替压力大小受泥质含量、压实成岩程度、岩石结构方向性等因素的影响,其泥质含量越高、压实成岩程度越大、断面方向与铅直方向夹角越小,断层岩排替压力越大.基于断层垂向封闭机理及影响因素,综合实验室不同角度泥岩样品排替压力测试结果与岩石力学分解关系,在确定与目标点断层岩具有相同压实成岩程度围岩地层的基础上,建立了一套定量评价断层垂向封闭能力的方法,并将其应用于渤海湾盆地南堡凹陷1号构造内典型断层垂向封闭能力评价中,结果表明:f1断层在不同测线处的断-储排替压力差为-0.114~1.035 MPa,除L7~L11测线处其他测线内断层岩排替压力均大于储层岩石,断层垂向封闭,与油气分布吻合关系较好.通过与未考虑岩石结构方向性方法的比较,证实该方法具有更好的可行性和更高的可信度.
2019, 44(11): 3894-3909.
doi: 10.3799/dqkx.2018.250
摘要:
皮山北新1井(PBX1)位于塔里木盆地西南部的麦盖提斜坡,在该井6 884~7 150 m的角砾岩中发现油迹显示并测试获油流,但目前对于角砾岩其赋存地质年代、形成原因等背景问题仍存在较大争议,制约了该区勘探部署、潜力分析.岩心观察、统计,结合X粉晶衍射分析,表明角砾岩磨圆和分选均较差,成分主要为白色亮晶砂屑(鲕粒)灰岩、浅灰色粉晶云岩、灰色粉晶云岩、深灰色粉晶云岩及少量石英和硬石膏,基质主要为细小的碳酸盐岩角砾胶结而成.角砾岩地层下部发现较多时代以晚白垩世为主的孢粉微体古生物化石;放射年代学结果表明,角砾岩地层碎屑锆石年龄分布范围为2 529~127 Ma,其接受陆相沉积物源时间及地层形成年代不早于127 Ma.综合岩石地层、古生物地层、同位素测年,认为皮山北新1井角砾岩地层为晚白垩世依格孜牙组或与之相当的层位.角砾岩平面分布局限,上超于二叠系地层之上,赋存受控于下覆热底劈作用形成环形凹陷区域.受前期破火山口和后期侵入杂岩构造影响,晚白垩世台地相碳酸盐岩破碎,近源堆积在皮山北负向构造区域内.皮山北新1井油藏油气来源于寒武系,岩浆侵入刺穿古生界巨厚碳酸盐岩、碎屑岩地层,形成"直立的不整合面",沟通寒武系烃源岩,火山活动产生的高角度断裂使得油气运移至中新生界储盖组合中,形成底水构造-地层油气藏.塔西南白垩纪有望成为油气勘探新的突破领域,破火山口边缘带断块圈闭及与中央穹窿火成岩相关的岩墙遮挡等特殊圈闭,是下步油气勘探的有利目标.
皮山北新1井(PBX1)位于塔里木盆地西南部的麦盖提斜坡,在该井6 884~7 150 m的角砾岩中发现油迹显示并测试获油流,但目前对于角砾岩其赋存地质年代、形成原因等背景问题仍存在较大争议,制约了该区勘探部署、潜力分析.岩心观察、统计,结合X粉晶衍射分析,表明角砾岩磨圆和分选均较差,成分主要为白色亮晶砂屑(鲕粒)灰岩、浅灰色粉晶云岩、灰色粉晶云岩、深灰色粉晶云岩及少量石英和硬石膏,基质主要为细小的碳酸盐岩角砾胶结而成.角砾岩地层下部发现较多时代以晚白垩世为主的孢粉微体古生物化石;放射年代学结果表明,角砾岩地层碎屑锆石年龄分布范围为2 529~127 Ma,其接受陆相沉积物源时间及地层形成年代不早于127 Ma.综合岩石地层、古生物地层、同位素测年,认为皮山北新1井角砾岩地层为晚白垩世依格孜牙组或与之相当的层位.角砾岩平面分布局限,上超于二叠系地层之上,赋存受控于下覆热底劈作用形成环形凹陷区域.受前期破火山口和后期侵入杂岩构造影响,晚白垩世台地相碳酸盐岩破碎,近源堆积在皮山北负向构造区域内.皮山北新1井油藏油气来源于寒武系,岩浆侵入刺穿古生界巨厚碳酸盐岩、碎屑岩地层,形成"直立的不整合面",沟通寒武系烃源岩,火山活动产生的高角度断裂使得油气运移至中新生界储盖组合中,形成底水构造-地层油气藏.塔西南白垩纪有望成为油气勘探新的突破领域,破火山口边缘带断块圈闭及与中央穹窿火成岩相关的岩墙遮挡等特殊圈闭,是下步油气勘探的有利目标.
2019, 44(11): 3910-3925.
doi: 10.3799/dqkx.2018.331
摘要:
通过实测磷灰石裂变径迹方法,并结合前人研究结果,分析了准东构造隆升特征,探讨了其与地层沉积、构造响应及对砂岩型铀成矿的制约.研究表明,210~180 Ma,准东缘卡拉麦里地区持续隆升遭受剥蚀,而卡拉麦里山北部奥克什山地区隆升-剥蚀时间相对较晚,于160~80 Ma快速隆升,该期快速隆升控制了五彩湾-老君庙-将军庙与卡姆斯特地区沉积地层发育、古水流方向、区域不整合与构造掀斜等,从而控制着2个地区的砂岩型铀矿成矿条件.五彩湾-老君庙-将军庙地区下侏罗统物源充足、砂体与氧化发育,是该地区主要找矿目的层,而卡姆斯特地区随着晚侏罗世-晚白垩世,盆地东北部奥克什山乃至青格里底山的隆升,增加了物源供给,下侏罗统沉积地层在该地区表现出了更好的成矿潜力.
通过实测磷灰石裂变径迹方法,并结合前人研究结果,分析了准东构造隆升特征,探讨了其与地层沉积、构造响应及对砂岩型铀成矿的制约.研究表明,210~180 Ma,准东缘卡拉麦里地区持续隆升遭受剥蚀,而卡拉麦里山北部奥克什山地区隆升-剥蚀时间相对较晚,于160~80 Ma快速隆升,该期快速隆升控制了五彩湾-老君庙-将军庙与卡姆斯特地区沉积地层发育、古水流方向、区域不整合与构造掀斜等,从而控制着2个地区的砂岩型铀矿成矿条件.五彩湾-老君庙-将军庙地区下侏罗统物源充足、砂体与氧化发育,是该地区主要找矿目的层,而卡姆斯特地区随着晚侏罗世-晚白垩世,盆地东北部奥克什山乃至青格里底山的隆升,增加了物源供给,下侏罗统沉积地层在该地区表现出了更好的成矿潜力.
2019, 44(11): 3926-3938.
doi: 10.3799/dqkx.2019.166
摘要:
以贵州抗旱打井找水项目2007-2015年采集的3 699件浅层地下水化学样品分析数据为依据,在分析区域地质背景和水文地质条件的基础上,对研究区地下水化学数据进行聚类分析及水文地质单元划分,运用箱型图和迭代标准差法剔除异常值,并判断各水文地质区水化学数据的分布类型,最后取剔除异常值后数据的95百分位数作为环境背景值上限阀值.研究结果表明:贵州岩溶区浅层地下水属中偏碱性,水中阳离子以Ca2+、Mg2+为主,阴离子以HCO3-和SO42-为主,地下水类型主要为HCO3-Ca·Mg和HCO3-Ca型,区内地下水中离子的主要来源为岩石矿物的风化水解;地下水SO42-和Cl-分布类型以正态分布为主,对数正态分布次之,偏态分布最少,三叠系中统关岭组膏岩层及二叠系含煤地层中地下水的SO42-环境背景值阀值为68.71~164.32 mg/L,其他区域背景值阀值为19.42~39.05 mg/L;Cl-背景值阀值为3.45~6.65 mg/L,区域变化较小.
以贵州抗旱打井找水项目2007-2015年采集的3 699件浅层地下水化学样品分析数据为依据,在分析区域地质背景和水文地质条件的基础上,对研究区地下水化学数据进行聚类分析及水文地质单元划分,运用箱型图和迭代标准差法剔除异常值,并判断各水文地质区水化学数据的分布类型,最后取剔除异常值后数据的95百分位数作为环境背景值上限阀值.研究结果表明:贵州岩溶区浅层地下水属中偏碱性,水中阳离子以Ca2+、Mg2+为主,阴离子以HCO3-和SO42-为主,地下水类型主要为HCO3-Ca·Mg和HCO3-Ca型,区内地下水中离子的主要来源为岩石矿物的风化水解;地下水SO42-和Cl-分布类型以正态分布为主,对数正态分布次之,偏态分布最少,三叠系中统关岭组膏岩层及二叠系含煤地层中地下水的SO42-环境背景值阀值为68.71~164.32 mg/L,其他区域背景值阀值为19.42~39.05 mg/L;Cl-背景值阀值为3.45~6.65 mg/L,区域变化较小.
2019, 44(11): 3939-3949.
doi: 10.3799/dqkx.2017.589
摘要:
高速远程滑坡往往引发灾难性事故,开展运动堆积过程定量研究,对于探究滑坡发生机理及预测致灾范围具有重要意义.基于室内物理模型试验,通过PIV技术分析高速摄像机在试验过程中拍摄的照片,获取了运动过程中滑体颗粒的水平速度、竖直速度与位移等运动参数.从滑体颗粒群和不同位置处单体颗粒角度,分析高速远程滑坡的运动演化规律.结果显示:(1)滑体颗粒前端出现高速区,该高速区随着滑坡停止具有一定的保持性.颗粒间存在明显的碰撞现象;(2)从不同位置单体颗粒来看,前部颗粒位移量最大,速度波动频繁,碰撞频次最高,能量多次补充;中部颗粒位移量其次,速度有波动过程,但不及前部频繁;后部颗粒位移量最小,速度基本呈递降趋势,能量逐渐减小.结合重庆鸡尾山滑坡以及Black Rapids Glacier滑坡实例分析,揭示了高速远程滑坡运动堆积过程中滑体颗粒间存在碰撞及能量传递现象,从而进一步探究高速远程滑坡形成机制,在监测预防、灾害治理等方面具有现实指导意义.
高速远程滑坡往往引发灾难性事故,开展运动堆积过程定量研究,对于探究滑坡发生机理及预测致灾范围具有重要意义.基于室内物理模型试验,通过PIV技术分析高速摄像机在试验过程中拍摄的照片,获取了运动过程中滑体颗粒的水平速度、竖直速度与位移等运动参数.从滑体颗粒群和不同位置处单体颗粒角度,分析高速远程滑坡的运动演化规律.结果显示:(1)滑体颗粒前端出现高速区,该高速区随着滑坡停止具有一定的保持性.颗粒间存在明显的碰撞现象;(2)从不同位置单体颗粒来看,前部颗粒位移量最大,速度波动频繁,碰撞频次最高,能量多次补充;中部颗粒位移量其次,速度有波动过程,但不及前部频繁;后部颗粒位移量最小,速度基本呈递降趋势,能量逐渐减小.结合重庆鸡尾山滑坡以及Black Rapids Glacier滑坡实例分析,揭示了高速远程滑坡运动堆积过程中滑体颗粒间存在碰撞及能量传递现象,从而进一步探究高速远程滑坡形成机制,在监测预防、灾害治理等方面具有现实指导意义.
2019, 44(11): 3950-3960.
doi: 10.3799/dqkx.2019.110
摘要:
岩石/结构面劣化导致巴东组软硬互层岩体强度劣化的作用机制是揭示三峡库区库岸消落带巴东组软硬互层岩体强度渐进劣化机理和评价库岸边坡稳定性的关键问题.以三峡库区典型"易滑岩组"巴东组第二段红色系列的砂岩与粉砂质泥岩互层岩组为研究对象,考虑干湿循环条件下岩石/结构面参数劣化,开展了软硬互层岩体单轴压缩数值试验,分析了软岩/硬岩/层面劣化对巴东组软硬互层岩体单轴压缩强度劣化的贡献度及其与岩层倾角的关系.研究结果表明,不同岩层倾角条件下,软岩/硬岩/层面劣化对巴东组软硬互层岩体单轴压缩强度劣化的影响有明显区别,以软岩/硬岩/层面劣化对巴东组软硬互层岩体单轴压缩强度劣化的贡献度为依据,将岩层倾角全范围划分为软岩控制区、软岩-硬岩-层面共同控制区、沿层面滑移失稳破坏区和硬岩控制区,揭示了岩石/结构面劣化导致巴东组软硬互层岩体强度劣化的作用机制及其受岩层倾角的影响,为进一步研究库岸消落带巴东组软硬互层岩体强度渐进劣化机理奠定了基础.
岩石/结构面劣化导致巴东组软硬互层岩体强度劣化的作用机制是揭示三峡库区库岸消落带巴东组软硬互层岩体强度渐进劣化机理和评价库岸边坡稳定性的关键问题.以三峡库区典型"易滑岩组"巴东组第二段红色系列的砂岩与粉砂质泥岩互层岩组为研究对象,考虑干湿循环条件下岩石/结构面参数劣化,开展了软硬互层岩体单轴压缩数值试验,分析了软岩/硬岩/层面劣化对巴东组软硬互层岩体单轴压缩强度劣化的贡献度及其与岩层倾角的关系.研究结果表明,不同岩层倾角条件下,软岩/硬岩/层面劣化对巴东组软硬互层岩体单轴压缩强度劣化的影响有明显区别,以软岩/硬岩/层面劣化对巴东组软硬互层岩体单轴压缩强度劣化的贡献度为依据,将岩层倾角全范围划分为软岩控制区、软岩-硬岩-层面共同控制区、沿层面滑移失稳破坏区和硬岩控制区,揭示了岩石/结构面劣化导致巴东组软硬互层岩体强度劣化的作用机制及其受岩层倾角的影响,为进一步研究库岸消落带巴东组软硬互层岩体强度渐进劣化机理奠定了基础.




登录
注册
高级检索
邮件订阅
RSS
摘要
HTML全文