2022年 47卷 第12期
泥石流是一种世界范围内各个历史时期均普遍发生的地质灾害现象,尤其频发于地震多发的山地地区,每年均给人民的生命财产造成重大损失.为了应对这种暴发突然,来势凶猛,破坏力强的泥石流灾害,一系列防治措施应运而生.系统总结泥石流的防治措施.泥石流的防治措施可分为结构化措施和非结构化措施.其中结构化措施包括拦挡坝、拦挡网、导流渠、沉淀池和植被防护措施等,其设计依据可通过泥石流冲击力模型获取.泥石流冲击力模型可分为静力模型、动力模型.非结构化措施即建立泥石流预警和预报系统体系.
地震作用下山体边坡的动力响应规律与地震波入射角度显著相关,本文基于间接边界元方法研究SH波倾斜入射下边坡的动力响应特征.基于间接边界元理论研发了用于边坡岩体动力响应分析的边界元程序,通过计算平直裂隙对弹性波的反射及散射波波场对程序进行验证,并详细探讨了不同类型的边坡在各种入射角度的应力波作用下的响应特性.SH波铅直向入射时,半圆形凹陷地形的谷肩位置地震动振幅最小,而半圆形凸起地形的最高点位置振幅最大,单面坡的坡肩位置地震动最大,楔形凸起地形的坡顶地震动最强烈;当SH波入射角增大,各类边坡的最大地震动力响应位置也有所偏移,地震放大系数亦随之变化;以樟木镇边坡为实例揭示了复杂形态边坡岩体中的局部凸起对地震动的放大作用.研究结果表明,边坡微地形特征对地震动力响应影响非常大,凸起山体坡顶的动力放大效应最为显著;同一边坡在不同入射角地震波作用下产生的动力放大系数以及发生的位置不同.本文的研究结果对评价坡体稳定性和边坡工程抗震防设等具有重要的指导意义.
为了解抗滑桩—预应力锚索框架组合结构在地震作用下的受力机制,基于四川省东北部某滑坡治理工程,采用MIDAS/GTS有限元程序建立抗滑桩—预应力锚索框架数值模型,利用位移时程曲线法对加固边坡进行稳定安全系数计算,而后输入不同峰值地震加速度(peak ground accelerations,PGA)的Wolong地震波,分析了加固边坡的加速度响应、桩锚结构内力变化以及荷载分担规律.研究结果表明,加固边坡的稳定安全系数满足规范要求,在地震作用下其上部存在潜在浅层滑面,中部和下部存在潜在深层滑面,与静力条件下加固边坡的潜在滑面分布不同,这是加速度高程放大效应所致;随着输入地震波PGA增大,加速度高程放大效应明显加强,且抗滑桩桩身弯矩和剪力增大,但其最大值出现位置不变,桩身正、负弯矩最大值分别位于距桩顶约0.7L和0.4L处,最大正、负剪力分别位于距桩顶约0.9L和0.7L处,实际工程中需注意防范抗滑桩在滑面附近发生破坏;同时随着输入地震波PGA增大,桩锚承担的荷载逐渐增大,但抗滑桩分担的下滑力比例增大,而锚索分担的下滑力比例减小,故实际工程设计中不应固定桩锚荷载分担比例.
以鲁甸地震诱发的红石岩崩塌滑坡为研究对象,通过大型振动台模型试验和3DEC数值模拟,研究了含软弱岩层的反倾岩质边坡的动力响应和破坏失稳模式.研究结果表明:水平加载下,随频率增大PGA放大系数先减小后增大,在接近坡体自振频率8Hz的波形加载下,坡体动力响应最为剧烈,软弱岩层对不同频率的横波具有放大和吸收作用,对5~10Hz的横波放大效应明显,对15~20Hz的横波则明显吸收;竖向加载下,随加载正弦波频率的增加,PGA放大系数先增大,25Hz时PGA放大系数减小,随后又继续增大,在频率为30Hz时PGA放大系数达到最大,在5~30Hz范围内软弱岩层对纵波均具有一定的放大效果;双向加载下,坡体水平和竖向PGA放大系数分布与单向加载一致,但双向加载下坡体部分位置动力响应加剧,部分位置动力响应则受到抑制.含软弱岩层的反倾岩质边坡破坏过程可以分为6个阶段:坡体内部轻微损伤-软岩挤出、软硬岩交界上方硬岩拉裂-硬岩裂纹向上延展-软弱岩层挤压滑动-层面和纵向节理贯通形成滑面-边坡破坏.在软弱岩层的反倾岩质边坡中,软弱岩层具有对地震波的放大吸收、折射反射作用,影响着边坡的动力响应特征,软弱岩层的挤出破坏导致上部岩体岩结构面松动开裂,是该类岩质边坡破坏发展的主要原因,对该类边坡需应注意对软弱岩层进行加固防护,减小边坡的动力破坏.
强震作用下土石坝极易出现失稳破坏,从而造成人员伤亡和较大的社会经济损失.由于地震的不确定性,强震作用下土石坝失稳分析通常采用失稳概率表示,目前常用方法是地震易损性分析方法,主要有云图法和增量动力分析(incremental dynamic analysis,IDA)两种方法.IDA方法计算结果准确,但计算效率低,云图法计算效率虽高,但计算精度无法得到有效保证.基于上述问题,提出了一种基于云图法和IDA方法的地震易损性快速精准分析方法(CIHA,cloud-IDA hybrid approach).CIHA方法可兼顾计算效率和计算精度,该方法基于云图法的对数线性回归假设,通过非线性时程分析,并对地震波进行一次放缩来计算相应损伤指标下的地震动强度值,利用地震动强度值得到的均值和方差生成土石坝在各个损伤等级下的易损性曲线.通过对Lower San Fernando土石坝的地震易损性分析,将所提CIHA方法与IDA方法的计算结果进行了对比.结果表明,在计算精度方面,CIHA方法可以获得与IDA方法相近的结果,在计算效率方面,CIHA方法相比IDA方法计算效率有显著提高.
应用概率地震危险性评价模型进行地震滑坡危险性区划,是解决潜在地震诱发滑坡危险性评价中震源不确定性与诱发滑坡时空不确定性的有效方法.通过理论分析,结合鲁甸地震区的实际情况,对基于力学原理的Newmark滑块位移模型与概率地震滑坡危险性分析方法中的参数的不确定性问题进行了分析,将斜坡岩土体地震作用下的强度衰减效应、地震加速度地形放大效应、断层破碎带效应融合到了斜坡累积位移计算模型中,进行了模型计算参数的优化.改进后的分析模型,更好地反映了高陡斜坡地形与断层破碎带对地震滑坡灾害发育的控制作用,在鲁甸地震区域滑坡应用中,优化模型中的滑坡失稳极高风险区与实际地震滑坡分布表现出了较好的一致性,在超越概率2%的滑坡失稳概率分布中,鲁甸地区包谷垴—小河断裂、鲁甸—昭通断裂带及牛栏江河谷地带地震滑坡高—极高风险区分布面积增幅十分显著.因此,在Newmark滑块位移模型中考虑地震动参数与岩土参数动态响应规律与变量间的定量关系,对于提高区域斜坡稳定性分析的可靠性具有重要意义.
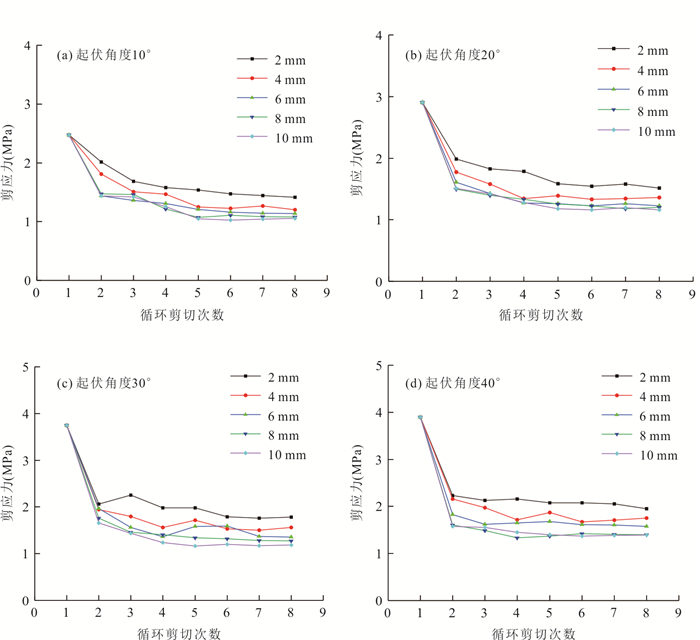
地震是高位危岩体失稳崩塌主要诱因之一,而结构面强度与变形特性对高位危岩体稳定性起关键控制性作用.为研究地震作用下高位危岩体动力失稳机制,基于数值试验研究结构面震动劣化效应,并利用极限平衡法对高位危岩体动力稳定性进行研究.研究结果表明,结构面的峰值抗剪强度随着循环剪切次数的增加而减小,且减小幅度愈来愈小,最终趋于稳定值;随着起伏角度增大而增大,且增大幅度随着循环剪切次数的增加而减小;并在同一起伏角度下,随着循环剪切幅值的增大而减小.最后,基于回归分析法建立结构面震动劣化数学模型,并提出一种考虑结构面震动劣化的高位危岩体动力稳定性分析方法.其研究成果有助于丰富高位危岩体动力稳定性方面的基础理论研究,具有重要的理论意义和工程参考价值.
设计和制作了三段式锁固型岩质边坡模型,并进行了大型振动台试验,对三段式锁固型岩质边坡在地震作用下的动力响应和变形破坏模式进行了分析.研究结果表明:三段式锁固型边坡模型的自振频率随振动次数的增加而逐渐降低,阻尼比则随振动次数的增加而逐渐增大;边坡模型水平加速度放大系数表现出明显的高程放大效应和趋表效应;在不同类型输入波的作用下,边坡加速度响应存在着明显的差异;加速度放大系数随着输入波频率的增加表现出先增加后减小的变化规律,且在频率为15 Hz时峰值加速度放大系数达到最大值;随着输入波振幅的增加,坡体加速度放大系数总体上表现为先增加后减小的变化趋势;在地震波的作用下,位于坡体顶部裂缝和底部软弱夹层之间的锁固段出现多条裂缝,并不断发展呈X型贯通,最终在坡体内部形成3级滑面,并在持续的振动作用下,边坡沿着3级滑面发生滑动破坏.
黄土因其遇水产生湿陷变形而对工程构筑物的安全性造成严重威胁.强震区黄土遭遇先期地震后其内部结构将发生变化,结构演变与黄土初始含水量密切相关.先期地震对黄土的结构性破坏引起宏观力学特征变化,为揭示强震区黄土结构演变与力学响应的内在机制,基于动三轴对黄土试样预先施加不同PGA(peak ground acceleration)条件下动荷载进行预震处理,模拟强震区先期地震对黄土的扰动,后进行固结不排水试验,分析抗剪强度指标与地震荷载及初始含水量的关联性.试验结果表明,初始含水率为2%时,预先施加地震动荷载的黄土试样与未预先施加动荷载的试样相比,其峰值强度出现了明显降低,且随着预先施加动荷载PGA的增加,峰值强度降幅增加.孔隙水压力随应变的不断增加趋于平缓,有效轴向应力和有效围压随应变的不断增加而持续减小,最终趋于平缓;初始含水量增加至12%,预震处理后的黄土试样强度增大.通过绘制应力路径关系曲线,确定了强震区黄土失稳的临界失稳线,对于同一黄土试样,PGA增加后引起黄土失稳线不断下移,表明黄土中的应力状态随地震动荷载的增加而发生变化.初始含水量为12%时,预震后的黄土试样剪切强度增大,表明含水量增加后,前期地震荷载开始破坏黄土初始结构性,导致试样密度增大,产生强度增加效应.
锚固岩质边坡具有良好的抗震效果,为深入了解其地震动响应机制,系统梳理了地震荷载下锚固岩质边坡动力响应的国内外研究文献,论述了地震作用下岩质边坡-锚固结构体系动力特性、锚固岩质边坡动力稳定性及其动力响应影响因素.基于现有研究成果,未来可进一步分析强震或频发微震等不同地震荷载形式下的锚固岩质边坡动力演化模式;借助基于演化模式的锚固岩质边坡地质力学模型,明晰地震荷载传递规律、锚固结构力学演化特征与锚固岩质边坡动力响应特性,综合揭示岩质边坡-锚固结构体系地震动耦联作用机理;开展具有大塑性变形能力的新型抗震锚固结构设计关键技术的创新、集成与标准化,并建立新型抗震锚固结构关键技术应用示范区.
开发一种改进损伤框架的粒子流算法,被称为核断裂的光滑粒子流法(kernel⁃broken smoothed particle hydrodynamics,KBSPH),用于模拟地震条件下岩质边坡的裂纹扩展和变形破坏过程.在KBSPH中,提出一种改进的损伤框架,通过引入断裂标志来改进损伤粒子的核函数,使损伤粒子的虚拟应力键直接断裂,裂纹在断裂的应力键间生成,从而模拟岩石的裂纹扩展过程.在地震边界上采用了双层边界,将动力输入边界与黏滞边界分离.首先通过薄板振动实验验证KBSPH的动力特性.其次以单裂隙岩体单轴压缩试验验证KBSPH的断裂力学特性.最后模拟地震条件下多节理岩质边坡中裂纹扩展过程和动力响应.薄板振动实验验证了KBSPH的动力特性的准确性.单裂隙岩体单轴压缩试验,证明了KBSPH可以正确模拟预制裂隙尖端的翼型裂纹.通过对比以往数值模拟方法和现场案例,表明KBSPH正确揭示了加速度放大效应以及地震条件下岩质边坡的裂纹扩展过程.KBSPH避免了传统算法的网格畸变,损伤粒子应力分量重新分配的问题,降低了编程难度,提高了运行速率,可为SPH在地震条件下岩石力学中的应用和理解岩石断裂机理提供一定的参考.
工程岩体开挖会遇到各种复杂应力条件,岩体在荷载作用下随时间会产生流变现象,这种“累进性破坏”导致工程岩体常出现滑坡、塌方、大变形和支护困难等问题.为解释天然岩体结构面的流变现象,以天然红砂岩结构面为研究对象,基于结构面三维形貌扫描试验、结构面分级加载剪切蠕变试验,对天然岩体结构面的剪切蠕变特性进行系统研究.研究发现,岩体结构面蠕变变形量与蠕变应力和结构面三维形貌特征指标正相关;岩体结构面蠕变曲线可分为3个阶段,即过渡蠕变、稳态蠕变和加速蠕变阶段,当法向应力一定时,结构面三维形貌特征指标越大,发生的蠕变破坏越剧烈;基于结构面剪切蠕变曲线与剪切蠕变速率曲线特征,建立了参数物理意义明确的岩体结构面剪切蠕变经验模型.
大型振动台试验方法可真实有效地模拟地震作用,是近年来研究边坡地震动响应特性的常用方法,被学者们广泛用于模拟研究各类支护结构加固的边坡工程中.通过综述学者们有关边坡大型振动台模型试验的相关文献,对其研究方法、研究对象及主要结论进行了分类评述.最后,通过分析目前岩质边坡大型振动台物理模拟试验研究中存在的问题,指明了今后的研究方向,为深入认识地震作用下岩质边坡的动力响应特性、变形破坏规律及支护结构与岩土体动力耦合作用机理奠定了基础,具有重要的理论意义和工程价值.
加固结构所的抗滑力常被简化为恒定值,不能反映其随时间的变化.为了更准确评估地震下桩-锚组合结构加固边坡的稳定性,引入非线性的模型,实现了抗滑力的实时更新.推导了安全系数和位移计算公式,讨论了结构系数对评估结果的影响.结果表明:(1)引入指数非线性模型后,抗滑桩和锚索力均表现出明显的时间效应.屈服加速度随结构的变形而增大.(2)地震初期抗滑桩无加固作用.随着边坡滑动,抗滑桩的力快速增长,最终起主导作用.(3)将结构的抗滑力等效为固定值虽然简化了计算,但是忽略了达到设计值所需的位移,这可能导致边坡的危险性被低估.在加固设计时,应该考虑抗滑力的变化.
板块缝合带作为特殊类型的“断层”,其地质灾害效应是工程地质与灾害地质研究的重要内容,对工程建设具有重大现实意义.受特提斯洋复杂而漫长的构造演化制约,川藏交通廊道穿越了7条板块缝合带,但对其地质灾害效应的研究却鲜有涉及.为此,在搜集整理已有研究成果的基础上,结合野外地质调查和室内研究,简要分析了川藏交通廊道沿线板块缝合带的地质灾害效应,并探讨其内在机理.结果表明:板块缝合带地质灾害效应主要表现在塑造地貌、创造地形条件,劣化岩体、提供物质来源,控制地质灾害的分布和诱发地质灾害(链)等4方面.构造混杂岩因其复杂的地质演化过程和特殊的岩石类型与组合特征,使其天然具有易灾性,而板块缝合带就位过程中的构造运动是地质灾害效应的内生动力.板块缝合带的地质灾害效是贯穿于川藏交通廊道沿线板块缝合带构造演化过程中的内、外动力地质作用耦合的外在表现形式.板块缝合带地质灾害效应研究目前处于起步阶段,建议在加强基础地质与灾害地质精细化调查的基础上深化其认识;川藏交通建设工程应加强板块缝合带工程效应研究,加大地质灾害监测预警系统研发,以确保其安全施工与后期平稳运行.
爆破强震扰动影响下受软弱结构面控制型边坡易出现滑移破坏,其破坏机制研究是滑坡灾害防护的重要内容.利用波函数解析方法建立了应力波入射岩-结构面-岩模型,分析了爆破P波透反射规律与软弱结构面应力响应,结合自主研发的爆破应力波扰动结构面剪切强度仪得到了抗剪强度劣化规律,构建结构面动应力与扰动后抗剪强度量化关系,提出结构面内部剪切强度失效模型.研究表明:计算模型的P波在两个界面产生的透射系数均随着入射角增加而降低;振动台加载后软弱结构面的剪切强度存在明显的劣化,加载振幅为0.2 mm时,内聚力由68.75 kPa降低至9.69 kPa.结合建立的剪切强度失效模型与试验得到的剪切强度劣化规律,确定振幅在0.15 mm内时软弱结构面的安全性可以得到保证.
为获取被动柔性防护网在不同崩塌滚石运动特征下的动态响应规律,以鲁甸803地震震后崩塌滚石造成防护网损坏现场为例,通过无人机倾斜摄影技术实现地质调查,采用Rockyfor3D获取研究区落石的运动特征,并通过被动柔性防护网有限元模型,对不同落石冲击形式下防护网的动态响应规律进行研究.研究显示区内落石弹跳高度普遍在1~2 m,优势路径上的落石会形成稍高速低弹跳的范围冲击.在范围落石冲击下,防护网绳索最大拉力增加可达123.7%;在低弹跳落石冲击下,绳索最大拉力增加可达181.2%.范围落石冲击会导致防护网网面耗能的降低,并导致上拉锚绳拉力的增大.防护网下一级支撑绳对不同落石弹跳高度的响应较为敏感,部分高弹跳落石会对上拉锚绳和上一级支撑绳产生影响.
锚杆能够显著增强顺层岩质边坡的稳定性.基于顺层边坡结构效应,应用锚杆加固顺层边坡的力学模型,根据结构力学理论和变形协调关系,建立拉剪作用下全长粘结型锚杆加固顺层边坡抗剪计算的理论分析方法.与相关试验数据进行了比较验证,结果表明顺层边坡锚固抗力模型计算结果与试验结果比较一致,验证了理论模型的合理性.讨论了锚杆倾角、锚杆直径、灌浆体强度、结构面内摩擦角、剪胀角等对加锚顺层岩体抗剪性能的影响.分析表明:锚杆锚固抗力模型能够较好地反映锚杆轴力及横向剪切力对顺层岩质边坡的抗剪作用.锚杆倾角越大,锚杆总的抗力呈减小趋势,而锚杆抗力随剪胀角增大而增加;当锚杆倾角等于内摩擦角时,锚杆抗力达到最大;锚杆抗力随锚杆直径增加而增大;当锚杆直径不变时,锚杆抗力随灌浆体抗压强度增大而有所减小.
切向恢复系数是滚石碰撞回弹的重要控制参数,目前的理论公式不能完全反映其作用机制,这是滚石动力学研究的一个难点问题.为此,根据滚石不同的回弹状态,提出基于入射角度变化的切向力模型;进一步,以切向接触理论和动能定理为基础,考虑碰撞过程中切向的摩擦耗能与变形耗能,推导了切向恢复系数的理论公式;最后研究入射速度、入射角、被撞击物体的变形模量对切向恢复系数的影响.结果表明:滚动回弹的切向恢复系数主要受切向变形量的影响;滑动回弹时,入射速度对切向恢复系数的影响参数为
,切向恢复系数随着其增加而缓慢减少;入射角度对切向恢复系数的影响参数为
,切向恢复系数随其增加而增大;被撞击物体的变形模量对切向恢复系数的影响参数为
,切向恢复系数随其增加而增加.基于摩擦与变形耗能的切向恢复系数计算公式为滚石的碰撞回弹过程提供了新的计算模型.
我国是世界上滑坡地质灾害最严重的国家,重大滑坡防治是国家防灾减灾重大而迫切的战略需求.自然界经历了漫长的演化过程,演化是滑坡的基本属性,是滑坡工程地质研究的重要基础.滑坡演化机理、演化特征的正确认识及其定量表征,是滑坡预测预报和防控研究的关键组成部分.在归纳自然界演化共有特征的基础上,系统阐述了滑坡动力来源、演化形式、孕育模式、演化阶段和演化状态等基本属性;提出多场关联监测是揭示滑坡演化特征的有效手段,介绍了近期取得重要技术突破——滑坡柔性大变形监测技术;提出了演化在重大滑坡预测预报和防治中的应用途径,指出了重大滑坡演化进一步研究的方向.
提高降雨型滑坡危险性预警精度和空间辨识度具有重要意义.以江西宁都县1980—2001年156个降雨型滑坡为例,首先基于传统的EE-D(early effective rainfall-rainfall duration)阈值法计算不同降雨诱发滑坡的时间概率级别;然后以各级别临界降雨阈值曲线对应的时间概率为因变量,并以对应的前期有效降雨量(early effective rainfall,EE)和降雨历时(D)为自变量,采用逻辑回归拟合出上述因变量与自变量之间的非线性关系,得到降雨诱发滑坡的连续概率值;之后对比C5.0决策树和多层感知器的滑坡易发性预测性能;最后利用降雨诱发滑坡的连续概率值与易发性图相耦合以实现连续概率滑坡危险性预警.结果显示:(1)宁都降雨型滑坡连续概率值的逻辑回归方程为1/P=1+e4.062+0.747 4×D-0.079 44×EE,其拟合优度为0.983;(2)2002—2003年的20处用于连续概率阈值测试的降雨型滑坡大都落在连续概率值大于0.7的区域,只有4处落在小于0.7的区域;(3)C5.0决策树预测滑坡易发性的精度显著高于多层感知器;(4)近5年的4次降雨型滑坡的连续概率危险性值都在0.8以上,且高和极高预警区的面积较传统滑坡危险性分区更小.可见连续概率滑坡危险性预警法相较于传统危险性分区法具有更高的预警精度和空间辨识度,且通过叠加滑坡易发性图及其临界降雨阈值可开展实时滑坡危险性预警制图.
地球演化、地下水系统、岩体工程和地质灾害涉及不同尺度的岩体结构,由于地下岩体结构数据匮乏,实现区域岩体结构精细化分析是科学难题.本文基于岩体结构跨尺度调查研究进展,归纳岩体结构精细化分析存在的问题,提出应用地球系统科学理论解决问题的设想和技术方案.岩体结构与演化历程、温压环境(PTt)密切相关,需要从系统科学角度探究不同尺度结构面的协同演化机理和跨尺度岩体结构精细分析理论;将地球系统科学与岩体结构现代探测、测试和模拟技术相结合,提出了区域岩体结构跨尺度研究的技术方案、分析理论和实现算法,以期突破区域岩体结构精细化分析的瓶颈问题.
随着全球气候变暖,青藏高原冰崩灾害日益加剧.通过大量遥感解译及数据分析,系统查明青藏高原冰崩隐患数量、类型、发育规律及危险性:(1)40 269条冰川共发育冰崩隐患581处.按失稳方式分为滑移式和崩落式;按成灾模式分为冰崩直接灾害、冰崩-堵江溃决和冰崩-冰湖溃决灾害.(2)冰崩敏感坡度40°~50°,集中分布高程为4 500~5 500 m,坡向具有“亲北性”.(3)区域分布差异大.西藏和新疆区域分布共占89.5%,雅鲁藏布江和塔里木河流域分布共占80.4%,念青唐古拉山脉和横断山脉分布共占49.4%.(4)空间分异明显.冰崩前缘高程以喜马拉雅东构造结为界,以西呈自西向东增大的趋势,以东呈先减小后增大的“V”型趋势,40.1%的冰崩前缘高程4 500~5 000 m、位于雪线附近,受山脉控制具有气候带交界“群聚性”特点.(5)高危险的冰崩隐患点36处、中等危险215处、低危险330处.
滑坡运动路径具有普遍的复杂性,体现为侧散、转向、分叉、交织、聚合与并联等复杂行为.滑坡运动路径复杂性增大了滑坡危险性.因而,滑坡危险性评估对滑坡运动路径复杂度的量化和概率分布研究提出了需求.系统地梳理和总结了滑坡运动路径复杂度的研究现状,指出了相关研究所面临的关键问题,并进行了未来研究展望.总体上,当前关于滑坡运动路径复杂行为的研究,主要面临量化研究稀缺、概率分布研究欠缺的问题.具体表现在:现有滑坡运动路径的剖面线概化方法难以处理多路径复杂行为;现有零星的指标不能满足滑坡运动路径复杂度的系统性科学量化;滑坡运动路径复杂度概率分布的分布函数不明、主控因素不清.进一步,针对待解决的关键问题,本文在研究展望中提出:主要通过分段单路径化方案,实现滑坡运动多路径复杂行为的剖面线概化;构建基于剖面线的滑坡运动路径复杂度的量化指标体系,突破量化难题;基于大量滑坡实例数据,确定滑坡运动路径复杂度概率分布的分布函数、查清其主控因素;最终,实现滑坡运动路径复杂度概率分布的预测建模,支撑滑坡危险性及风险定量评估.
位于四川省丹巴县聂呷乡甲居村的甲居古滑坡主要由甲居滑坡(H01)、聂呷坪滑坡(H02)、小巴旺村滑坡(H03)、聂拉村滑坡(H04)和山顶滑坡(H05)等5个次级滑体组成.受区域构造、强降雨、河流侵蚀、地层岩性等因素影响,甲居古滑坡次级滑体持续发生蠕滑变形,对位于滑体上的村庄、道路和前缘大金河等具有较大危害,2020年遭受50年一遇的强降雨后,古滑坡变形速率有进一步增大的趋势.采用SBAS-InSAR技术,结合遥感解译和现场调查,获取了甲居古滑坡2018年6月至2021年8月的地表变形特征,通过二维形变速率转换获取了甲居古滑坡沿斜坡向(slope)和垂直向(vertical)的形变速率.研究认为,甲居古滑坡沿雷达视线方向(VLOS)形变速率最大达-179 mm/a,沿斜坡方向的形变速率(Vs)最大为-211 mm/a,沿垂直方向的变形速率(Vv)最大为-67 mm/a.甲居滑坡的北侧区域、聂拉村滑坡的南侧区域和山顶滑坡后缘变形较大,总体上位于强变形-极强变形区.甲居古滑坡的变形机制具有一定差异,其中甲居滑坡以牵引式变形为主,聂拉村滑坡以推挤式变形为主.由于古滑坡地质构造复杂、新构造活动强烈,在强降雨和河流侵蚀作用下极易导致滑坡蠕滑速率加快并进一步失稳,形成堵江溃坝等灾害.建议加强次级滑体的地表变形监测,为流域性地质安全风险防灾减灾提供技术支撑和科学依据.
利用黄泛区地铁工程废弃土制备不同配比的高流动土,并对其工程特性及应用进行研究,提高工程废弃土的利用率,为实现工程低碳排放具有重要意义.取用郑州地区地铁工程废弃粉黏土、粉砂土作为原料,掺入一定比例的水泥和水,配制了24组不同土类、不同配合比、不同预拌时间等影响的流动土试样.利用流动性试验、泌水试验测试时间对流动土流动特性的影响,推荐了粉黏流动土流动性随时间变化经验公式.通过图像三轴仪,测试了粉黏流动土固化后的无侧限强度及变形特征,分析了不同破坏模式.试验结果表明,粉砂土流动土的流动性强于粉黏流动土,泡沫能增加流动土的流动性.大部分流动土在2小时内流动性能满足工程的要求,当需要增加预拌时间时,需要综合考虑强度和流动性需求.粉黏流动土试样剪切后有剪切破坏、压缩破坏、劈裂破坏等3种破坏模式,其受水泥掺量不同而改变.通过流动损失率、强度、变形等分析了该地区高流动土的工程应用控制指标和对策,对于指导该地区地铁废弃渣土的工程应用提供试验依据.
石窟寺是宝贵的石质文物,但在复杂的赋存环境、长期的侵蚀风化以及人类活动的影响下产生了多种变形破坏问题.详细的破坏分类体系是石窟寺病害表征、解释、分级和预测的基础,而目前尚未有针对石窟变形破坏的综合分类方法.分析了川渝、陇东地区代表性石窟的工程地质条件和变形破坏特性,将石窟的变形破坏类型分为工程地质成因型和工程地质力学型,建立了2大类、6亚类、24种破坏现象的综合分类体系.采用工程地质类比法对比了石窟变形破坏及诱发机制的南北差异.陇东石窟因卸荷产生的变形破坏更多,而微环境扰动带来的变形破坏在川渝石窟更突出.在微环境扰动下,川渝石窟的破坏响应以鳞片状剥落破坏为主,而陇东石窟以渔网状剥蚀破坏为主.
碳酸盐胶结物中氧碳同位素组成研究是分析成岩过程中流体-岩石相互作用的重要技术方法.综合运用岩石学、矿物学和地球化学方法,对辽河盆地西部凹陷沙河街组砂岩中碳酸盐胶结物的化学组成和碳酸盐胶结物及成岩流体同位素组成特征进行系统分析.研究表明,研究区碳酸盐岩主要为方解石和白云石,胶结物主要类型为嵌晶式胶结、孔隙式胶结、斑块状胶结和星点状胶结.碳、氧稳定同位素组成能有效地反映成岩-成矿流体及其他物质的来源,碳酸盐胶结物与现今浅层地下水氧同位素组成差异巨大而与变质水同位素组成具有相似性,反映了盆地演化过程中活动热流体对成岩作用的影响.包裹体的氢、氧同位素组成可表征成矿溶液的演化特征,砂岩碳酸盐胶结物包裹体更富集氢的轻同位素和氧的重同位素,表明发生了明显的“氧-18漂移”.碳酸盐胶结的成矿溶液表现出“受热雨水”的同位素组成特征,反映了深源活动热流体对成岩作用的影响.




登录
注册
高级检索
邮件订阅
RSS
摘要
HTML全文