2018年 43卷 第5期
显示方式:
2018, 43(5): 1367-1383.
doi: 10.3799/dqkx.2018.400
摘要:
纳米地球科学是纳米科技与地球科学的结合,是一门高度综合的交叉学科,很难划分出经典意义上的单科性研究.纳米地球科学的研究对象主要分为纳米物质与纳米孔隙,二者成因多样、尺度效应明显、广泛分布,对于前者,主要通过各类图像表征手段观察其形态、大小、聚集方式,通过各类谱学方法研究其晶体结构、分子结构等;对于后者,则主要通过图像表征手段、流体注入方法与数值模拟的结合来表征孔隙形态、孔径分布、连通性等特征.纳米地球科学的学科内涵主要体现于:在各传统地球科学学科研究的基础和框架上,针对地球不同圈层中纳米尺度微粒形成、运移、聚集和存在形式以及孔隙形成与演化等亟待解决的科学问题开展系统研究,从而加深对矿物、岩石、构造、地化以及资源、灾害、环境等分支学科纳米尺度特性的认知.纳米地球科学的产生与发展使人类在认识和改造自然方面进入了一个新层次,是地球与行星科学发展的必然途径,为矿床勘探、资源开发、新能源利用、环境污染和地质灾害的预防与治理等问题提供了新的理论依据,有着不可估量的科学意义和应用价值.
纳米地球科学是纳米科技与地球科学的结合,是一门高度综合的交叉学科,很难划分出经典意义上的单科性研究.纳米地球科学的研究对象主要分为纳米物质与纳米孔隙,二者成因多样、尺度效应明显、广泛分布,对于前者,主要通过各类图像表征手段观察其形态、大小、聚集方式,通过各类谱学方法研究其晶体结构、分子结构等;对于后者,则主要通过图像表征手段、流体注入方法与数值模拟的结合来表征孔隙形态、孔径分布、连通性等特征.纳米地球科学的学科内涵主要体现于:在各传统地球科学学科研究的基础和框架上,针对地球不同圈层中纳米尺度微粒形成、运移、聚集和存在形式以及孔隙形成与演化等亟待解决的科学问题开展系统研究,从而加深对矿物、岩石、构造、地化以及资源、灾害、环境等分支学科纳米尺度特性的认知.纳米地球科学的产生与发展使人类在认识和改造自然方面进入了一个新层次,是地球与行星科学发展的必然途径,为矿床勘探、资源开发、新能源利用、环境污染和地质灾害的预防与治理等问题提供了新的理论依据,有着不可估量的科学意义和应用价值.
2018, 43(5): 1384-1407.
doi: 10.3799/dqkx.2018.533
摘要:
纳米矿物是纳米地球科学(Nanogeoscience)的核心研究对象之一.鉴于"纳米矿物"的概念在实际运用时较宽泛,有时与经典定义不符,建议用"纳米结构矿物"代替"纳米矿物",并简析了纳米结构矿物(Nanostructured Minerals)的概念.以管状纳米结构矿物(埃洛石和伊毛缟石)、球状纳米结构矿物(水铝英石)、层间纳米结构矿物(蒙脱石和伊/蒙混层矿物)和多孔纳米结构矿物(硅藻质蛋白石)为例,分析了纳米结构矿物的结构、表面基团的特殊性及其所衍生的特殊界面反应性,讨论了它们对矿物资源利用和油气生成等地球物质循环过程的重要意义.
纳米矿物是纳米地球科学(Nanogeoscience)的核心研究对象之一.鉴于"纳米矿物"的概念在实际运用时较宽泛,有时与经典定义不符,建议用"纳米结构矿物"代替"纳米矿物",并简析了纳米结构矿物(Nanostructured Minerals)的概念.以管状纳米结构矿物(埃洛石和伊毛缟石)、球状纳米结构矿物(水铝英石)、层间纳米结构矿物(蒙脱石和伊/蒙混层矿物)和多孔纳米结构矿物(硅藻质蛋白石)为例,分析了纳米结构矿物的结构、表面基团的特殊性及其所衍生的特殊界面反应性,讨论了它们对矿物资源利用和油气生成等地球物质循环过程的重要意义.
2018, 43(5): 1408-1424.
doi: 10.3799/dqkx.2018.401
摘要:
在地球环境中普遍存在的纳米矿物-水溶液界面对许多基本的地球化学过程都至关重要,因而是纳米地球化学的前沿核心研究领域.简要介绍了纳米矿物-水溶液界面领域的基本概念和近期研究进展.举例描述了纳米矿物团聚、吸附、溶解和化学反应等几个相互关联的主要过程,具体阐述了纳米矿物自身特征(如组成、结构、尺寸、形貌、表面保护剂等)以及环境介质条件(如pH、离子强度、化学反应物质、天然有机质浓度和组成、微生物、光辐射等)对纳米矿物-水溶液界面过程的影响规律和微观机制.针对本领域发展面临的机遇和挑战,为未来的研究方向提出了一些设想和建议.
在地球环境中普遍存在的纳米矿物-水溶液界面对许多基本的地球化学过程都至关重要,因而是纳米地球化学的前沿核心研究领域.简要介绍了纳米矿物-水溶液界面领域的基本概念和近期研究进展.举例描述了纳米矿物团聚、吸附、溶解和化学反应等几个相互关联的主要过程,具体阐述了纳米矿物自身特征(如组成、结构、尺寸、形貌、表面保护剂等)以及环境介质条件(如pH、离子强度、化学反应物质、天然有机质浓度和组成、微生物、光辐射等)对纳米矿物-水溶液界面过程的影响规律和微观机制.针对本领域发展面临的机遇和挑战,为未来的研究方向提出了一些设想和建议.
2018, 43(5): 1425-1438.
doi: 10.3799/dqkx.2018.402
摘要:
纳米地质学的兴起和发展,促使地质工作者从纳米尺度重新认识固体地球物质,将对地球科学的各个领域产生广泛而深刻的影响.作为纳米地质学的重要分支,纳米矿物学也将走出传统矿物学只把矿物看成理想晶体点阵的局限,从纳米尺度深入探究矿物包括生物矿物在内的矿物结构与性质,突破口之一是介晶.介晶是一种特殊的结晶纳米结构,近年来得到了物理学家和化学家尤其是材料化学家越来越多的关注.介晶是非经典结晶过程产物,以纳米颗粒为基本构筑单元,具备纳米颗粒的性质和宏观尺寸.现已发现,许多生物矿物如脊椎动物骨骼和牙齿、贝壳珍珠层、蛋壳、海胆骨针、有孔虫和珊瑚等都具有介晶结构.因此,从纳米尺度和介晶角度重新理解生物矿化,有助于揭示生物矿物中纳米多级结构的成因机制,拓展纳米矿物学的科学内涵.首先介绍生物矿化和生物矿物的基本概念,之后对介晶的概念和结构特征进行阐述,最后介绍生物矿物中的介晶结构及介晶形成的典型机制,涉及有机基质辅助、物理场驱动、矿物桥或有机桥连接、空间限域、取向附集和晶面选择性分子作用等多种物理化学过程,有望进一步推动纳米矿物学的发展.
纳米地质学的兴起和发展,促使地质工作者从纳米尺度重新认识固体地球物质,将对地球科学的各个领域产生广泛而深刻的影响.作为纳米地质学的重要分支,纳米矿物学也将走出传统矿物学只把矿物看成理想晶体点阵的局限,从纳米尺度深入探究矿物包括生物矿物在内的矿物结构与性质,突破口之一是介晶.介晶是一种特殊的结晶纳米结构,近年来得到了物理学家和化学家尤其是材料化学家越来越多的关注.介晶是非经典结晶过程产物,以纳米颗粒为基本构筑单元,具备纳米颗粒的性质和宏观尺寸.现已发现,许多生物矿物如脊椎动物骨骼和牙齿、贝壳珍珠层、蛋壳、海胆骨针、有孔虫和珊瑚等都具有介晶结构.因此,从纳米尺度和介晶角度重新理解生物矿化,有助于揭示生物矿物中纳米多级结构的成因机制,拓展纳米矿物学的科学内涵.首先介绍生物矿化和生物矿物的基本概念,之后对介晶的概念和结构特征进行阐述,最后介绍生物矿物中的介晶结构及介晶形成的典型机制,涉及有机基质辅助、物理场驱动、矿物桥或有机桥连接、空间限域、取向附集和晶面选择性分子作用等多种物理化学过程,有望进一步推动纳米矿物学的发展.
2018, 43(5): 1439-1449.
doi: 10.3799/dqkx.2018.403
摘要:
为促进对纳米矿物及纳米矿物资源的认识、深入研究及开发应用,阐述了矿物纳米颗粒、纳米矿物狭义和广义概念、纳米矿物形貌分类和主要类型,并从晶体结构和晶体化学理论讨论纳米矿物形成和稳定的本质,即纳米矿物和矿物纳米颗粒形成分别受内因和外因控制.阐明了纳米矿物学研究内容及其在关键带研究的重要性,提出了纳米矿物资源的概念、属性及其开发利用的方向.
为促进对纳米矿物及纳米矿物资源的认识、深入研究及开发应用,阐述了矿物纳米颗粒、纳米矿物狭义和广义概念、纳米矿物形貌分类和主要类型,并从晶体结构和晶体化学理论讨论纳米矿物形成和稳定的本质,即纳米矿物和矿物纳米颗粒形成分别受内因和外因控制.阐明了纳米矿物学研究内容及其在关键带研究的重要性,提出了纳米矿物资源的概念、属性及其开发利用的方向.
2018, 43(5): 1450-1463.
doi: 10.3799/dqkx.2018.404
摘要:
纳米矿物作为连接原子/分子和块体矿物材料的桥梁,在建立矿物微观反应机制和宏观现象的研究中具有重要的意义.随着纳米地质学的迅速发展,纳米矿物在地表环境中的分布、存在形式及其反应活性引起了越来越多关注.综述了天然环境中常见的纳米矿物的成因、存在方式、特殊的尺寸效应、团聚行为、生物/非生物界面反应的分子机制,及其对地表环境和元素生物地球化学循环的影响;着重介绍了具有重要环境意义的纳米矿物与其对应的大尺寸矿物颗粒在吸附行为、溶解速率、团聚状态、催化活性、界面电子传递效率等方面的差异.对于纳米矿物与其对应的宏观矿物晶体之间差异的研究,有助于全面认识矿物对各种地质过程的作用,对于推动地球科学向更加微观和深入的方向发展具有极其重要的意义.
纳米矿物作为连接原子/分子和块体矿物材料的桥梁,在建立矿物微观反应机制和宏观现象的研究中具有重要的意义.随着纳米地质学的迅速发展,纳米矿物在地表环境中的分布、存在形式及其反应活性引起了越来越多关注.综述了天然环境中常见的纳米矿物的成因、存在方式、特殊的尺寸效应、团聚行为、生物/非生物界面反应的分子机制,及其对地表环境和元素生物地球化学循环的影响;着重介绍了具有重要环境意义的纳米矿物与其对应的大尺寸矿物颗粒在吸附行为、溶解速率、团聚状态、催化活性、界面电子传递效率等方面的差异.对于纳米矿物与其对应的宏观矿物晶体之间差异的研究,有助于全面认识矿物对各种地质过程的作用,对于推动地球科学向更加微观和深入的方向发展具有极其重要的意义.
2018, 43(5): 1464-1473.
doi: 10.3799/dqkx.2018.405
摘要:
阿尔巴尼亚布尔其泽纯橄岩壳非常新鲜,主要由橄榄石、尖晶石和单斜辉石等矿物组成.其中橄榄石存在单斜辉石和铬尖晶石(磁铁矿)共生包裹体现象,包裹体矿物粒度在1~10 μm,有些甚至为纳米级200~500 nm.纯橄岩橄榄石的Fo值为94.7~96.0,铬尖晶石的Cr#为76.5~82.4,远高于蛇绿岩地幔橄榄岩中常见纯橄岩的铬值(Cr#>60).基于前人研究结果,提出这种现象是由于亏损方辉橄榄岩与含钛、铬、铁熔体发生交代作用,从而形成橄榄石的固溶体并存在Ti4+、Al3+、Ca2+、Fe3+,而部分Cr3+进入铬尖晶石结晶.后期由于岩体在抬升过程中降温,橄榄石中混溶的组分析出包裹体形成磁铁矿和铬尖晶石.并且依据铬尖晶石-橄榄石的矿物化学成分,识别出岩体内方辉橄榄岩相对较低的部分熔融程度约为30%~40%,纯橄岩部分熔融程度约为40%,表明不同岩相间其形成背景存在明显差异.因此,认为布尔奇泽蛇绿岩具有多阶段的过程,首先是在洋中脊环境下经历部分熔融作用形成了方辉橄榄岩,后受到俯冲环境(SSZ)的岩石-熔体反应生成更富Mg、Si和Cr等的熔体,致使地幔橄榄岩高度部分熔融,形成此类纯橄岩.
阿尔巴尼亚布尔其泽纯橄岩壳非常新鲜,主要由橄榄石、尖晶石和单斜辉石等矿物组成.其中橄榄石存在单斜辉石和铬尖晶石(磁铁矿)共生包裹体现象,包裹体矿物粒度在1~10 μm,有些甚至为纳米级200~500 nm.纯橄岩橄榄石的Fo值为94.7~96.0,铬尖晶石的Cr#为76.5~82.4,远高于蛇绿岩地幔橄榄岩中常见纯橄岩的铬值(Cr#>60).基于前人研究结果,提出这种现象是由于亏损方辉橄榄岩与含钛、铬、铁熔体发生交代作用,从而形成橄榄石的固溶体并存在Ti4+、Al3+、Ca2+、Fe3+,而部分Cr3+进入铬尖晶石结晶.后期由于岩体在抬升过程中降温,橄榄石中混溶的组分析出包裹体形成磁铁矿和铬尖晶石.并且依据铬尖晶石-橄榄石的矿物化学成分,识别出岩体内方辉橄榄岩相对较低的部分熔融程度约为30%~40%,纯橄岩部分熔融程度约为40%,表明不同岩相间其形成背景存在明显差异.因此,认为布尔奇泽蛇绿岩具有多阶段的过程,首先是在洋中脊环境下经历部分熔融作用形成了方辉橄榄岩,后受到俯冲环境(SSZ)的岩石-熔体反应生成更富Mg、Si和Cr等的熔体,致使地幔橄榄岩高度部分熔融,形成此类纯橄岩.
2018, 43(5): 1474-1480.
doi: 10.3799/dqkx.2018.406
摘要:
从微观尺度研究结构水的分布状态可以为超高压变质岩的形成环境、构造演化动力学过程提供重要的依据.为探讨大别山地区超高压变质岩中"名义上无水矿物"(nominal anhydrous minerals,NAMs)结构水的分布特征、赋存状态与超微结构缺陷的关系,对大别山石马地区榴辉岩中的柯石英进行了傅立叶变换红外光谱(FTIR)分析和第一性原理计算.FTIR研究表明柯石英主要吸收峰为(Ⅰ)3 561~3 580 cm-1、(Ⅱ)3 433~3 462 cm-1和(Ⅲ)3 412~3 425 cm-1;柯石英颗粒结构水含量为15×10-6~52×10-6,平均值是32×10-6.第一性原理理论计算得到了柯石英(4H)Si和(AlH)Si复合缺陷超晶胞模型(2×1×1)的形成能分别是-4.92 eV和-3.10 eV;含氢缺陷模型计算结果得到3 526 cm-1和3 198 cm-1的拉曼峰与柯石英的合成实验结果基本符合.FTIR分析表明石马地区柯石英结构水含量具有不均一性;模拟计算得到(4H)Si复合缺陷模型比(AlH)Si有更低的复合缺陷形成能,有更加稳定的结构,柯石英结构水中(OH)4\begin{document}$ \Leftrightarrow $\end{document} Si氢结合机制是优先模式,为实验研究提供理论依据.
从微观尺度研究结构水的分布状态可以为超高压变质岩的形成环境、构造演化动力学过程提供重要的依据.为探讨大别山地区超高压变质岩中"名义上无水矿物"(nominal anhydrous minerals,NAMs)结构水的分布特征、赋存状态与超微结构缺陷的关系,对大别山石马地区榴辉岩中的柯石英进行了傅立叶变换红外光谱(FTIR)分析和第一性原理计算.FTIR研究表明柯石英主要吸收峰为(Ⅰ)3 561~3 580 cm-1、(Ⅱ)3 433~3 462 cm-1和(Ⅲ)3 412~3 425 cm-1;柯石英颗粒结构水含量为15×10-6~52×10-6,平均值是32×10-6.第一性原理理论计算得到了柯石英(4H)Si和(AlH)Si复合缺陷超晶胞模型(2×1×1)的形成能分别是-4.92 eV和-3.10 eV;含氢缺陷模型计算结果得到3 526 cm-1和3 198 cm-1的拉曼峰与柯石英的合成实验结果基本符合.FTIR分析表明石马地区柯石英结构水含量具有不均一性;模拟计算得到(4H)Si复合缺陷模型比(AlH)Si有更低的复合缺陷形成能,有更加稳定的结构,柯石英结构水中(OH)4
2018, 43(5): 1481-1488.
doi: 10.3799/dqkx.2018.407
摘要:
为深度揭示微晶石墨氧化和膨胀过程中结构的变化规律,分别采用SEM-EDS、XRD、Raman和FTIR等测试分析手段对其产物结构进行表征研究.结果表明:微晶石墨经氧化后,层间域被撑大,结构层上接入大量的羟基、羧基和环氧基等亲水性含氧官能团.随氧化剂(KMnO4)用量增加,产物层间距、结构缺陷和无序度逐渐增大.高温膨胀后,氧化微晶石墨被还原,结构中的部分吸附水和含氧官能团被除去,结构缺陷与无序度减小,部分sp2区域得到了恢复.膨胀微晶石墨颗粒含有丰富的网络型孔隙结构,孔径集中在2~5 nm.
为深度揭示微晶石墨氧化和膨胀过程中结构的变化规律,分别采用SEM-EDS、XRD、Raman和FTIR等测试分析手段对其产物结构进行表征研究.结果表明:微晶石墨经氧化后,层间域被撑大,结构层上接入大量的羟基、羧基和环氧基等亲水性含氧官能团.随氧化剂(KMnO4)用量增加,产物层间距、结构缺陷和无序度逐渐增大.高温膨胀后,氧化微晶石墨被还原,结构中的部分吸附水和含氧官能团被除去,结构缺陷与无序度减小,部分sp2区域得到了恢复.膨胀微晶石墨颗粒含有丰富的网络型孔隙结构,孔径集中在2~5 nm.
2018, 43(5): 1489-1502.
doi: 10.3799/dqkx.2018.408
摘要:
至少一维尺度上小于100 nm的颗粒物均称为纳米颗粒物,在人工纳米颗粒物产生的几十亿年前,地球已经通过其特有的生物地球化学过程合成各类天然纳米颗粒物.这些纳米颗粒物及其次生产物具有独特的理化特性,并参与各种地球化学过程,体现其非凡的地球化学意义.从地球化学的角度,解析了环境纳米颗粒物的定义和分类,重点阐述了风化壳与水体中天然和次生纳米颗粒物的形成,并在天然纳米颗粒物中区分了纳米矿物和矿物纳米颗粒物;同时,也讨论了大气纳米颗粒物的来源、成因与环境影响.该综述列举了目前环境中纳米颗粒物表征与鉴别的技术和方法,重点剖析了纳米颗粒物的地球化学功能和环境意义,并对该领域的研究前沿问题进行了概述.
至少一维尺度上小于100 nm的颗粒物均称为纳米颗粒物,在人工纳米颗粒物产生的几十亿年前,地球已经通过其特有的生物地球化学过程合成各类天然纳米颗粒物.这些纳米颗粒物及其次生产物具有独特的理化特性,并参与各种地球化学过程,体现其非凡的地球化学意义.从地球化学的角度,解析了环境纳米颗粒物的定义和分类,重点阐述了风化壳与水体中天然和次生纳米颗粒物的形成,并在天然纳米颗粒物中区分了纳米矿物和矿物纳米颗粒物;同时,也讨论了大气纳米颗粒物的来源、成因与环境影响.该综述列举了目前环境中纳米颗粒物表征与鉴别的技术和方法,重点剖析了纳米颗粒物的地球化学功能和环境意义,并对该领域的研究前沿问题进行了概述.
2018, 43(5): 1503-1517.
doi: 10.3799/dqkx.2018.409
摘要:
纳米地球化学为人类从微观探索和认识地壳发生的地质地球化学过程提供新的理论与方法,开展该领域研究将对资源、环境等领域的研究和应用产生重大影响.纳米地球化学在矿产勘查领域已取得了重要进展.通过总结、归纳前人研究并结合团队最新成果,从自然界纳米金属微粒形成过程、迁移方式、在表生介质中的赋存状态及纳米金属微粒的捕获等几个方面开展了梳理总结,并进一步阐述了纳米金属微粒对隐伏矿勘查的理论与实际应用意义.纳米微粒的迁移机制可总结为:成矿过程中成矿元素可形成纳米金属颗粒,在矿石风化过程中部分纳米金属微粒发生解离而具备活动性,活动性纳米金属颗粒因其巨大的表面能,可吸附于气体分子表面,并通过地气流的垂向运动,穿透矿体上方覆盖层而到达地表;另外,纳米物质所具备的易分散性质可以使纳米金属微粒自身发生垂向迁移而到达地表.到达地表后部分纳米金属微粒仍然滞留在壤中气,部分被土壤中粘土矿物或氧化物膜吸附,此外也可被地表生物所捕获.该迁移机制已通过表生气固介质中大量纳米金属微粒原位观测结果获得证实.在矿产勘查中,通过分离土壤中的纳米金属微粒可实现指示土壤覆盖层和深部矿体的目的,目前已取得一些成功案例.
纳米地球化学为人类从微观探索和认识地壳发生的地质地球化学过程提供新的理论与方法,开展该领域研究将对资源、环境等领域的研究和应用产生重大影响.纳米地球化学在矿产勘查领域已取得了重要进展.通过总结、归纳前人研究并结合团队最新成果,从自然界纳米金属微粒形成过程、迁移方式、在表生介质中的赋存状态及纳米金属微粒的捕获等几个方面开展了梳理总结,并进一步阐述了纳米金属微粒对隐伏矿勘查的理论与实际应用意义.纳米微粒的迁移机制可总结为:成矿过程中成矿元素可形成纳米金属颗粒,在矿石风化过程中部分纳米金属微粒发生解离而具备活动性,活动性纳米金属颗粒因其巨大的表面能,可吸附于气体分子表面,并通过地气流的垂向运动,穿透矿体上方覆盖层而到达地表;另外,纳米物质所具备的易分散性质可以使纳米金属微粒自身发生垂向迁移而到达地表.到达地表后部分纳米金属微粒仍然滞留在壤中气,部分被土壤中粘土矿物或氧化物膜吸附,此外也可被地表生物所捕获.该迁移机制已通过表生气固介质中大量纳米金属微粒原位观测结果获得证实.在矿产勘查中,通过分离土壤中的纳米金属微粒可实现指示土壤覆盖层和深部矿体的目的,目前已取得一些成功案例.
2018, 43(5): 1518-1523.
doi: 10.3799/dqkx.2018.410
摘要:
通常认为岩石是被剪破或张裂的,那么,为何我们能寻觅到位于同压力垂直方向的破裂构造呢?H Odé剪切变形理论给出一个精辟的回答:在塑性或粘-弹性变形中,由于介质的分异作用,存在一个从屈服条件中获得的速度不连续性,这样,其介质就能沿着等速的特征面剪切滑移.该理论亦称为塑性剪切作用准则,之前是从宏观-直观力学表象予以验证,如构造挤压带的破裂面、正压力下Griffith裂隙端点裂开和垂直压力下的碎裂流动等.进而,我们对花岗岩标本实施高温/高压实验,并取其位于轴压垂直方向裂隙的薄壳表层做扫描电镜观测.然后把从其表层观察的具有H Odé力学表象的微纳米现象,同一般剪切作用的屈服效应结构,从3个方面相比较鉴别.(1)粘-弹性变形:高温-高压的实验样品更容易产生塑性压缩容积流动,不仅具粘性也具弹性变形,随之,样品可展现纳米涂层作用和纳米分层作用.(2)纳米尺度结构:纳米尺度颗粒能成为单一纳米粒-纳米线-纳米层结构,且复体的纳米粒可细分成粒状的、线状的和片粒状的结构等.(3)有序组构:尽管H Odé破裂的粒化流动和纹理流动的优选方位,同普通剪切作用相比,处于弱势范畴,然而综合分析观之,这两者的屈服特征是完全一致的.反之,我们应用H Odé剪切理论去研究一些非常规的变形现象,必能拓展纳米地质学的研讨范畴和认知能力.
通常认为岩石是被剪破或张裂的,那么,为何我们能寻觅到位于同压力垂直方向的破裂构造呢?H Odé剪切变形理论给出一个精辟的回答:在塑性或粘-弹性变形中,由于介质的分异作用,存在一个从屈服条件中获得的速度不连续性,这样,其介质就能沿着等速的特征面剪切滑移.该理论亦称为塑性剪切作用准则,之前是从宏观-直观力学表象予以验证,如构造挤压带的破裂面、正压力下Griffith裂隙端点裂开和垂直压力下的碎裂流动等.进而,我们对花岗岩标本实施高温/高压实验,并取其位于轴压垂直方向裂隙的薄壳表层做扫描电镜观测.然后把从其表层观察的具有H Odé力学表象的微纳米现象,同一般剪切作用的屈服效应结构,从3个方面相比较鉴别.(1)粘-弹性变形:高温-高压的实验样品更容易产生塑性压缩容积流动,不仅具粘性也具弹性变形,随之,样品可展现纳米涂层作用和纳米分层作用.(2)纳米尺度结构:纳米尺度颗粒能成为单一纳米粒-纳米线-纳米层结构,且复体的纳米粒可细分成粒状的、线状的和片粒状的结构等.(3)有序组构:尽管H Odé破裂的粒化流动和纹理流动的优选方位,同普通剪切作用相比,处于弱势范畴,然而综合分析观之,这两者的屈服特征是完全一致的.反之,我们应用H Odé剪切理论去研究一些非常规的变形现象,必能拓展纳米地质学的研讨范畴和认知能力.
2018, 43(5): 1524-1531.
doi: 10.3799/dqkx.2018.411
摘要:
纳米颗粒被发现广泛发育于韧性剪切带内,其发育特征与断层的剪切活动密切相关.为了解红河断裂韧性剪切带内纳米颗粒的发育特征,探讨其形成规律及与红河断裂活动性的关系,我们在不同的区段3次穿越红河韧性剪切带,采集了韧性剪切带内糜棱岩、片麻岩和片岩等近百块样品进行扫描电镜(SEM)的观察,通过对纳米颗粒的统计和分析,在样品中发现了具球粒状形貌特征的纳米单体,这些单体呈分散状分布于岩石表面,同时还发现了多达12种纳米颗粒聚集体,不同的聚集体在形貌特征以及发育阶段上都有着明显的差异,反映了红河断裂带剪切活动过程中不同位置经历不同的构造应力、温度和压力条件.
纳米颗粒被发现广泛发育于韧性剪切带内,其发育特征与断层的剪切活动密切相关.为了解红河断裂韧性剪切带内纳米颗粒的发育特征,探讨其形成规律及与红河断裂活动性的关系,我们在不同的区段3次穿越红河韧性剪切带,采集了韧性剪切带内糜棱岩、片麻岩和片岩等近百块样品进行扫描电镜(SEM)的观察,通过对纳米颗粒的统计和分析,在样品中发现了具球粒状形貌特征的纳米单体,这些单体呈分散状分布于岩石表面,同时还发现了多达12种纳米颗粒聚集体,不同的聚集体在形貌特征以及发育阶段上都有着明显的差异,反映了红河断裂带剪切活动过程中不同位置经历不同的构造应力、温度和压力条件.
2018, 43(5): 1532-1541.
doi: 10.3799/dqkx.2017.540
摘要:
为了探讨韧性剪切带中纳米颗粒的发育过程和形成机制,进而厘定纳米颗粒对韧性剪切带形成过程和应力机制的指示作用,选取了在小妹韧性剪切带里发育的3种岩石样品(花岗岩、花岗质片麻岩和石英片岩),在扫描电镜下观察其中的纳米颗粒结构及纳米颗粒的聚集形态.观察结果表明:存在2种基本形态——球形的粒状和长条形的柱状,粒状纳米粒子(纳米粒)在3种岩石中都广泛发育,而柱状纳米颗粒(纳米棒)则在花岗质片麻岩中最发育.对纳米颗粒聚集形态研究,可将发育阶段分为:粒化阶段-异化阶段-成层堆积阶段.再次活动时,首先是经过活化阶段,形成复体颗粒,然后再重复上述阶段.结合纳米颗粒形态变化过程,其形成机制可能为脆-韧性变形.
为了探讨韧性剪切带中纳米颗粒的发育过程和形成机制,进而厘定纳米颗粒对韧性剪切带形成过程和应力机制的指示作用,选取了在小妹韧性剪切带里发育的3种岩石样品(花岗岩、花岗质片麻岩和石英片岩),在扫描电镜下观察其中的纳米颗粒结构及纳米颗粒的聚集形态.观察结果表明:存在2种基本形态——球形的粒状和长条形的柱状,粒状纳米粒子(纳米粒)在3种岩石中都广泛发育,而柱状纳米颗粒(纳米棒)则在花岗质片麻岩中最发育.对纳米颗粒聚集形态研究,可将发育阶段分为:粒化阶段-异化阶段-成层堆积阶段.再次活动时,首先是经过活化阶段,形成复体颗粒,然后再重复上述阶段.结合纳米颗粒形态变化过程,其形成机制可能为脆-韧性变形.
2018, 43(5): 1542-1548.
doi: 10.3799/dqkx.2018.412
摘要:
天然气水合物是一类潜在的储量巨大的清洁能源.近年来,水合物的研究已经逐渐拓展至纳米、介观层面.纳米科学贯穿了水合物研究的全过程,包括上游天然气水合物成藏、开采和下游的储运、分离等水合物应用技术,其核心在于研究水合物在纳米材料表面、内部、间隙中生长和分解的传质传热过程.将以第九届国际水合物大会(ICGH9)为切入点,从水合物成藏、开采和下游技术应用几个方面综述近年来水合物研究中的纳米研究进展.目前对水合物的研究尺度并未做到全覆盖,水合物在纳米材料间隙中的传质传热过程研究较少,纳米材料的累积放大效应研究也存在空白.这正是水合物成藏、开采研究中的瓶颈问题.未来的研究应该着眼于水合物在纳米材料中生成和分解的传质传热作用,以此为主线将水合物技术和水合物成藏、开采研究中的核心问题进行统一协同研究.
天然气水合物是一类潜在的储量巨大的清洁能源.近年来,水合物的研究已经逐渐拓展至纳米、介观层面.纳米科学贯穿了水合物研究的全过程,包括上游天然气水合物成藏、开采和下游的储运、分离等水合物应用技术,其核心在于研究水合物在纳米材料表面、内部、间隙中生长和分解的传质传热过程.将以第九届国际水合物大会(ICGH9)为切入点,从水合物成藏、开采和下游技术应用几个方面综述近年来水合物研究中的纳米研究进展.目前对水合物的研究尺度并未做到全覆盖,水合物在纳米材料间隙中的传质传热过程研究较少,纳米材料的累积放大效应研究也存在空白.这正是水合物成藏、开采研究中的瓶颈问题.未来的研究应该着眼于水合物在纳米材料中生成和分解的传质传热作用,以此为主线将水合物技术和水合物成藏、开采研究中的核心问题进行统一协同研究.
2018, 43(5): 1549-1561.
doi: 10.3799/dqkx.2018.413
摘要:
台湾东北部的龟山岛浅海热液体系产生大量的热液自然硫.为了理解微量元素在自然硫中的富集规律和机制,采用激光剥蚀等离子体质谱仪(LA-ICPMS)对龟山岛自然硫进行了元素含量分析.结果显示,硫磺基底仅含有As、Se和Te等岩浆脱气产生的挥发性亲铜元素.Fe、Mn、Co、Ni等亲铁元素主要来自于安山岩基岩,富集于富铁或含硅包体中.Al、Zn、Ba、Pb、La、Ce、Au、Ag等元素显著富集于含硅包体中,表明这些元素受硅酸盐矿物控制.富铜包体具有最高的Hg、Pb、Zn等亲铜元素的单位富集程度.首次对龟山岛热液自然硫中的微量元素分布进行了原位微区分析,有助于理解微量元素在热液活动中的来源、分布和分配等地球化学行为.
台湾东北部的龟山岛浅海热液体系产生大量的热液自然硫.为了理解微量元素在自然硫中的富集规律和机制,采用激光剥蚀等离子体质谱仪(LA-ICPMS)对龟山岛自然硫进行了元素含量分析.结果显示,硫磺基底仅含有As、Se和Te等岩浆脱气产生的挥发性亲铜元素.Fe、Mn、Co、Ni等亲铁元素主要来自于安山岩基岩,富集于富铁或含硅包体中.Al、Zn、Ba、Pb、La、Ce、Au、Ag等元素显著富集于含硅包体中,表明这些元素受硅酸盐矿物控制.富铜包体具有最高的Hg、Pb、Zn等亲铜元素的单位富集程度.首次对龟山岛热液自然硫中的微量元素分布进行了原位微区分析,有助于理解微量元素在热液活动中的来源、分布和分配等地球化学行为.
2018, 43(5): 1562-1573.
doi: 10.3799/dqkx.2018.414
摘要:
北大西洋Logatchev热液区产出的黄铁矿形貌丰富、成分各异,极具特殊性和代表性.运用扫描电镜和电子探针系统观测黄铁矿矿物学特征,发现粒状黄铁矿粒径不一,具高Fe、S,低微量元素的特点;草莓状黄铁矿见有松散莓体、球形-次球形莓体和自形结构莓体,其Cu含量总体较高,不同晶体特征的莓体成分存在差异;胶状黄铁矿见有多层环带,内核到环带由纳微米晶体聚合生成,由内到外成分具有S/Fe比、Zn含量减小,As含量增大的趋势.分析认为早期粒状黄铁矿是在较高温度下的热液体系中直接形成,随热液作用衰减,生成的粒状黄铁矿多呈纳-微米晶产出;草莓状黄铁矿是由松散纳-微米晶逐步聚集形成,受溶液过饱和度影响,莓体粒度和聚集程度存在差异;胶状黄铁矿多晶聚集环带生长方向是由内向外的,聚集程度差异指示沉积环境的反复交替.研究区多形貌黄铁矿具有由分散的微晶→多晶聚合体→自形单晶的完整演化系列特征,对于解读现代海底热液活动的方式和特点,揭示纳米晶体-宏观晶体的演化过程有积极意义.
北大西洋Logatchev热液区产出的黄铁矿形貌丰富、成分各异,极具特殊性和代表性.运用扫描电镜和电子探针系统观测黄铁矿矿物学特征,发现粒状黄铁矿粒径不一,具高Fe、S,低微量元素的特点;草莓状黄铁矿见有松散莓体、球形-次球形莓体和自形结构莓体,其Cu含量总体较高,不同晶体特征的莓体成分存在差异;胶状黄铁矿见有多层环带,内核到环带由纳微米晶体聚合生成,由内到外成分具有S/Fe比、Zn含量减小,As含量增大的趋势.分析认为早期粒状黄铁矿是在较高温度下的热液体系中直接形成,随热液作用衰减,生成的粒状黄铁矿多呈纳-微米晶产出;草莓状黄铁矿是由松散纳-微米晶逐步聚集形成,受溶液过饱和度影响,莓体粒度和聚集程度存在差异;胶状黄铁矿多晶聚集环带生长方向是由内向外的,聚集程度差异指示沉积环境的反复交替.研究区多形貌黄铁矿具有由分散的微晶→多晶聚合体→自形单晶的完整演化系列特征,对于解读现代海底热液活动的方式和特点,揭示纳米晶体-宏观晶体的演化过程有积极意义.
2018, 43(5): 1574-1586.
doi: 10.3799/dqkx.2017.593
摘要:
松辽盆地徐家围子断陷在沙河子组致密砂砾岩纳米-微米级的孔隙中获得了工业气流,研究纳米-微米级孔隙形成与天然气充注的关系,为勘探选区和"甜点"预测奠定基础.在分析储层岩石学、储集空间和成岩作用特征的基础上,通过储层分类和计算各成岩事件对储层物性的影响,确定了砂砾岩储层的致密成因、微米-纳米级孔隙形成机制.研究认为,断陷早期的快速沉降大量减少储层原始孔隙,在强烈的机械压实作用下,富含粘土和塑性岩屑的"超致密砂砾岩"首先致密,相对富含刚性组分的"致密砂砾岩"受中成岩B期碳酸盐胶结物的充填达到致密,晚期碳酸盐岩胶结开始形成时期对应砂砾岩大规模致密化的时期,这期间原始较大孔隙也逐渐向微米-纳米级转化.结合砂砾岩中方解石胶结物内气液烃包裹体的均一温度和地层埋藏史、热史,推断砂砾岩致密化深度为2 500 m,致密化时期为距今100 Ma.砂砾岩孔隙演化史、源岩生烃史和油气充注史综合研究表明,天然气在储层致密前、后均有充注:初次充注发生在储层致密以前,天然气的生成速率和充注强度低,形成"先成藏、后致密"型构造气藏,斜坡带上倾方向发育微构造形态的部位是"甜点"发育的有利区;成藏高峰发生在砂砾岩致密化之后,天然气"连续"充注,形成不受构造控制的、大面积分布的致密气藏,斜坡带下倾方向邻近生烃中心的河道砂砾岩体是"甜点"发育的有利区.沙河子组砂砾岩储层致密与天然气充注关系综合分析认为,沙河子组主体为"先致密、后成藏",局部为"先成藏、后致密".
松辽盆地徐家围子断陷在沙河子组致密砂砾岩纳米-微米级的孔隙中获得了工业气流,研究纳米-微米级孔隙形成与天然气充注的关系,为勘探选区和"甜点"预测奠定基础.在分析储层岩石学、储集空间和成岩作用特征的基础上,通过储层分类和计算各成岩事件对储层物性的影响,确定了砂砾岩储层的致密成因、微米-纳米级孔隙形成机制.研究认为,断陷早期的快速沉降大量减少储层原始孔隙,在强烈的机械压实作用下,富含粘土和塑性岩屑的"超致密砂砾岩"首先致密,相对富含刚性组分的"致密砂砾岩"受中成岩B期碳酸盐胶结物的充填达到致密,晚期碳酸盐岩胶结开始形成时期对应砂砾岩大规模致密化的时期,这期间原始较大孔隙也逐渐向微米-纳米级转化.结合砂砾岩中方解石胶结物内气液烃包裹体的均一温度和地层埋藏史、热史,推断砂砾岩致密化深度为2 500 m,致密化时期为距今100 Ma.砂砾岩孔隙演化史、源岩生烃史和油气充注史综合研究表明,天然气在储层致密前、后均有充注:初次充注发生在储层致密以前,天然气的生成速率和充注强度低,形成"先成藏、后致密"型构造气藏,斜坡带上倾方向发育微构造形态的部位是"甜点"发育的有利区;成藏高峰发生在砂砾岩致密化之后,天然气"连续"充注,形成不受构造控制的、大面积分布的致密气藏,斜坡带下倾方向邻近生烃中心的河道砂砾岩体是"甜点"发育的有利区.沙河子组砂砾岩储层致密与天然气充注关系综合分析认为,沙河子组主体为"先致密、后成藏",局部为"先成藏、后致密".
2018, 43(5): 1587-1593.
doi: 10.3799/dqkx.2017.560
摘要:
致密油分子尺寸及流动性的研究对致密油藏评价及开发具有重要意义.为明确吉木萨尔凹陷芦草沟组致密油的分子尺寸及其对原油流动的影响,综合核磁共振、红外光谱、元素分析和相对分子质量测定等结果,计算了典型井致密油不同馏分段的分子结构参数,采用Chemoffice软件模拟了相应的分子结构.结果显示致密油组分主要集中在350~500℃馏分段,平均分子中含有多环环烷烃和多环芳烃结构,平均分子尺度为1.232~4.026 nm,表明原油分子在纳米孔喉中占有率较高,影响孔喉流动下限.
致密油分子尺寸及流动性的研究对致密油藏评价及开发具有重要意义.为明确吉木萨尔凹陷芦草沟组致密油的分子尺寸及其对原油流动的影响,综合核磁共振、红外光谱、元素分析和相对分子质量测定等结果,计算了典型井致密油不同馏分段的分子结构参数,采用Chemoffice软件模拟了相应的分子结构.结果显示致密油组分主要集中在350~500℃馏分段,平均分子中含有多环环烷烃和多环芳烃结构,平均分子尺度为1.232~4.026 nm,表明原油分子在纳米孔喉中占有率较高,影响孔喉流动下限.
2018, 43(5): 1594-1601.
doi: 10.3799/dqkx.2018.415
摘要:
纳米技术在非常规油气致密储层微观孔隙结构表征、油气赋存等研究中发挥着重要的作用.以准噶尔盆地东部吉木萨尔凹陷二叠系芦草沟组致密油储层为例,综合运用高压压汞分析、场发射扫描电镜及纳米CT扫描等纳米分析技术,对吉木萨尔凹陷芦草沟组致密油储层微纳米孔隙特征与结构进行研究,并结合宏微观特征分析了原油在孔隙中的赋存状态.结果表明:吉木萨尔凹陷二叠系芦草沟组储层为中低孔、特低渗储层,孔隙以微纳米级为主,类型多样,主要有粒间孔(隙)、粒间溶孔、晶间孔及微裂隙等,纳米孔隙是吉木萨尔凹陷二叠系芦草沟组致密油储层主要储集空间之一,纳米孔隙中普遍含油,且多以吸附状态存在,赋存在纳米孔隙中的油气,改变了微米级孔隙是油气储层唯一微观孔隙的传统认识,是未来石油工业的发展方向.
纳米技术在非常规油气致密储层微观孔隙结构表征、油气赋存等研究中发挥着重要的作用.以准噶尔盆地东部吉木萨尔凹陷二叠系芦草沟组致密油储层为例,综合运用高压压汞分析、场发射扫描电镜及纳米CT扫描等纳米分析技术,对吉木萨尔凹陷芦草沟组致密油储层微纳米孔隙特征与结构进行研究,并结合宏微观特征分析了原油在孔隙中的赋存状态.结果表明:吉木萨尔凹陷二叠系芦草沟组储层为中低孔、特低渗储层,孔隙以微纳米级为主,类型多样,主要有粒间孔(隙)、粒间溶孔、晶间孔及微裂隙等,纳米孔隙是吉木萨尔凹陷二叠系芦草沟组致密油储层主要储集空间之一,纳米孔隙中普遍含油,且多以吸附状态存在,赋存在纳米孔隙中的油气,改变了微米级孔隙是油气储层唯一微观孔隙的传统认识,是未来石油工业的发展方向.
2018, 43(5): 1602-1610.
doi: 10.3799/dqkx.2017.525
摘要:
页岩孔隙特征是页岩储层研究的重要内容.基于沁水盆地S-1井太原组、山西组页岩样品,利用氩离子抛光扫描电镜(argon ion polishing scanning electron microscope,Ar-SEM)对孔隙形态特征进行分析,并运用孔裂隙特征分析系统软件(pores and cracks analysis system,PCAS)对Ar-SEM照片中孔隙进行定量表征.结果显示样品孔隙以有机质孔、粒间孔、粒内孔为主,孔径多集中在 < 100 nm,占比72.70%~82.13%,其中介孔占比39.76%~45.48%.随深度的增加孔隙结构越来越复杂,且越深的层位,随孔隙面积的增大其结构复杂程度增加的越缓慢.孔隙结构复杂程度在Ro,max=2附近存在拐点,高成熟阶段,随成熟度的增加孔隙结构复杂程度越来越低,且孔隙面积越大其结构复杂程度越低;过成熟阶段,随成熟度的增加孔隙结构复杂程度越来越高,且孔隙面积越大其结构复杂程度越高.
页岩孔隙特征是页岩储层研究的重要内容.基于沁水盆地S-1井太原组、山西组页岩样品,利用氩离子抛光扫描电镜(argon ion polishing scanning electron microscope,Ar-SEM)对孔隙形态特征进行分析,并运用孔裂隙特征分析系统软件(pores and cracks analysis system,PCAS)对Ar-SEM照片中孔隙进行定量表征.结果显示样品孔隙以有机质孔、粒间孔、粒内孔为主,孔径多集中在 < 100 nm,占比72.70%~82.13%,其中介孔占比39.76%~45.48%.随深度的增加孔隙结构越来越复杂,且越深的层位,随孔隙面积的增大其结构复杂程度增加的越缓慢.孔隙结构复杂程度在Ro,max=2附近存在拐点,高成熟阶段,随成熟度的增加孔隙结构复杂程度越来越低,且孔隙面积越大其结构复杂程度越低;过成熟阶段,随成熟度的增加孔隙结构复杂程度越来越高,且孔隙面积越大其结构复杂程度越高.
2018, 43(5): 1611-1622.
doi: 10.3799/dqkx.2017.566
摘要:
构造煤纳米孔非均质性研究对于揭示煤层气赋存状态和传输特性具有重要意义.选取低-中煤级典型序列构造煤样品,基于高压压汞和低温液氮相结合的方法计算了构造煤基质压缩系数,并分析了Menger、热力学、Sierpinski和FHH分形模型对构造煤的适用性,进一步揭示了孔隙分形特征,糜棱煤的Menger分形曲线呈现三段式分布,而对于原生煤、碎裂煤、片状煤、鳞片煤和揉皱煤而言,Sierpinski模型、Menger模型、热力学模型以及FHH模型分段点分别为100 nm、72 nm、72 596 nm和8 nm.Menger模型分形维数大于3且拟合偏差较大,不适合表征构造煤的孔隙非均质性.Sierpinski模型适合于描述构造煤的纳米孔分形特征;FHH模型适合于表征原生煤及构造煤8~100 nm的孔隙非均质性.Sierpinski模型微米孔(>100 nm)的分形维数(Ds1)随着构造变形的增强先升高,而后降低,在片状煤中达到最高;Sierpinski模型纳米孔(< 100 nm,Ds2c)和FHH模型 < 8 nm的孔隙的非均质性随构造变形的增强逐渐升高.原生煤和脆性变形煤中,Ds1 > Ds2c,表明为微米孔非均质性强于纳米孔;鳞片煤中,Ds1接近于Ds2c;揉皱煤中,Ds1 < Ds2c,表明纳米孔的非均质性强于微米孔.
构造煤纳米孔非均质性研究对于揭示煤层气赋存状态和传输特性具有重要意义.选取低-中煤级典型序列构造煤样品,基于高压压汞和低温液氮相结合的方法计算了构造煤基质压缩系数,并分析了Menger、热力学、Sierpinski和FHH分形模型对构造煤的适用性,进一步揭示了孔隙分形特征,糜棱煤的Menger分形曲线呈现三段式分布,而对于原生煤、碎裂煤、片状煤、鳞片煤和揉皱煤而言,Sierpinski模型、Menger模型、热力学模型以及FHH模型分段点分别为100 nm、72 nm、72 596 nm和8 nm.Menger模型分形维数大于3且拟合偏差较大,不适合表征构造煤的孔隙非均质性.Sierpinski模型适合于描述构造煤的纳米孔分形特征;FHH模型适合于表征原生煤及构造煤8~100 nm的孔隙非均质性.Sierpinski模型微米孔(>100 nm)的分形维数(Ds1)随着构造变形的增强先升高,而后降低,在片状煤中达到最高;Sierpinski模型纳米孔(< 100 nm,Ds2c)和FHH模型 < 8 nm的孔隙的非均质性随构造变形的增强逐渐升高.原生煤和脆性变形煤中,Ds1 > Ds2c,表明为微米孔非均质性强于纳米孔;鳞片煤中,Ds1接近于Ds2c;揉皱煤中,Ds1 < Ds2c,表明纳米孔的非均质性强于微米孔.
2018, 43(5): 1623-1634.
doi: 10.3799/dqkx.2018.416
摘要:
水钠锰矿为自然界中常见的锰氧化物矿物,其离子交换作用及结构转变理解尚不深刻,矿物表征手段较为局限.为探究水钠锰矿的离子交换特性以及结构转变在拉曼光谱上的反映,利用MnSO4和NaOH合成了三斜晶系的Na型水钠锰矿,进行了NH4+、K+、Mg2+、Ca2+、Ba2+、Co2+、Zn2+的离子交换实验,使用ICP-OES、XRD、拉曼光谱等手段对离子交换水钠锰矿进行表征.拉曼光谱分析表明,570~585 cm-1与640~655 cm-1两个锰氧八面体伸缩振动模式的相对强度及570~585 cm-1附近拉曼峰峰位指示水钠锰矿的结构对称型;570~585 cm-1拉曼峰强度大、振动频率高指示三斜对称型.280 cm-1与500 cm-1附近的拉曼峰是层间离子种类的识别标志.水钠锰矿层间若为Na+、K+、Mg2+、Ca2+、Ba2+等碱金属、碱土金属离子,则在280 cm-1附近存在1个峰值,500 cm-1存在2个分立的峰值;其他种类的层间离子仅500 cm-1处有1个孤峰,指示层间离子排列无序.
水钠锰矿为自然界中常见的锰氧化物矿物,其离子交换作用及结构转变理解尚不深刻,矿物表征手段较为局限.为探究水钠锰矿的离子交换特性以及结构转变在拉曼光谱上的反映,利用MnSO4和NaOH合成了三斜晶系的Na型水钠锰矿,进行了NH4+、K+、Mg2+、Ca2+、Ba2+、Co2+、Zn2+的离子交换实验,使用ICP-OES、XRD、拉曼光谱等手段对离子交换水钠锰矿进行表征.拉曼光谱分析表明,570~585 cm-1与640~655 cm-1两个锰氧八面体伸缩振动模式的相对强度及570~585 cm-1附近拉曼峰峰位指示水钠锰矿的结构对称型;570~585 cm-1拉曼峰强度大、振动频率高指示三斜对称型.280 cm-1与500 cm-1附近的拉曼峰是层间离子种类的识别标志.水钠锰矿层间若为Na+、K+、Mg2+、Ca2+、Ba2+等碱金属、碱土金属离子,则在280 cm-1附近存在1个峰值,500 cm-1存在2个分立的峰值;其他种类的层间离子仅500 cm-1处有1个孤峰,指示层间离子排列无序.
2018, 43(5): 1635-1649.
doi: 10.3799/dqkx.2018.417
摘要:
钛磁铁矿内部尖晶石出溶体的成分组成和形成机制对估算磁铁矿固溶体的成分以计算铁钛氧化物的氧逸度-温度具有重要意义.为了探究攀枝花钒钛磁铁矿中尖晶石的成因及形成机制,运用岩相观察和各种微区原位观测手段,系统研究了各类尖晶石的矿物学特征.尖晶石的粒度在纳微米之间,有3种类型:第1种为钛磁铁矿晶界处不规则的大颗粒尖晶石,Mg#为60~70;第2种为钛磁铁矿颗粒内部的粒状尖晶石,Mg#为71~77;第3种为沿钛磁铁矿(100)方向定向分布的尖晶石片晶,Mg#为75~77.3类尖晶石分别与磁铁矿主晶具有相同的取向关系:{111}Mag//{111}Spl,{110}Mag//{110}Spl和{100}Mag//{100}Spl.3类尖晶石均是磁铁矿主晶的出溶体,钛磁铁矿晶界处及其内部的粒状尖晶石的形成与某些晶体缺陷关系密切,是在降温过程中较早出溶的产物,尖晶石片晶在两者之后以旋节分解出溶形成.
钛磁铁矿内部尖晶石出溶体的成分组成和形成机制对估算磁铁矿固溶体的成分以计算铁钛氧化物的氧逸度-温度具有重要意义.为了探究攀枝花钒钛磁铁矿中尖晶石的成因及形成机制,运用岩相观察和各种微区原位观测手段,系统研究了各类尖晶石的矿物学特征.尖晶石的粒度在纳微米之间,有3种类型:第1种为钛磁铁矿晶界处不规则的大颗粒尖晶石,Mg#为60~70;第2种为钛磁铁矿颗粒内部的粒状尖晶石,Mg#为71~77;第3种为沿钛磁铁矿(100)方向定向分布的尖晶石片晶,Mg#为75~77.3类尖晶石分别与磁铁矿主晶具有相同的取向关系:{111}Mag//{111}Spl,{110}Mag//{110}Spl和{100}Mag//{100}Spl.3类尖晶石均是磁铁矿主晶的出溶体,钛磁铁矿晶界处及其内部的粒状尖晶石的形成与某些晶体缺陷关系密切,是在降温过程中较早出溶的产物,尖晶石片晶在两者之后以旋节分解出溶形成.
2018, 43(5): 1650-1662.
doi: 10.3799/dqkx.2018.418
摘要:
采集内蒙古卡休他他矿区附近的地下水微粒进行相关分析,同时也采集远离矿区的井水微粒作为对照,利用高分辨率透射电镜对这些微粒进行单颗粒纳米微粒分析,研究表明:卡休他他矿床地下水中的异常金属微粒主要为含Fe、Cu、Zn微粒,含Zn、Cu微粒原子百分含量分别可达80.3%、22.7%,而背景区井水样品中无Ag、Cu微粒,且矿区地下水中与成矿相关的金属元素含量大大高于井水;含金属微粒与深部矿体成分(磁铁矿、黄铁矿、闪锌矿、黄铜矿等)具有很好的对应性,表明了矿区地下水含金属微粒来自于深部矿体,能携带深部矿体的信息,这为深部隐伏矿体的勘探提供了思路,也能为今后同类型的矿床勘探提供一定的参考.此外,本次研究还表明矿区附近的地下水可能受到了成矿微粒的影响,这可能也会影响到地下饮用水的品质,地下水含金属微粒研究方法也可用于检测地下饮用水的污染.关键字:卡休他他矿床;地下水;含金属微粒;单微粒分析;饮用水污染;环境地质.
采集内蒙古卡休他他矿区附近的地下水微粒进行相关分析,同时也采集远离矿区的井水微粒作为对照,利用高分辨率透射电镜对这些微粒进行单颗粒纳米微粒分析,研究表明:卡休他他矿床地下水中的异常金属微粒主要为含Fe、Cu、Zn微粒,含Zn、Cu微粒原子百分含量分别可达80.3%、22.7%,而背景区井水样品中无Ag、Cu微粒,且矿区地下水中与成矿相关的金属元素含量大大高于井水;含金属微粒与深部矿体成分(磁铁矿、黄铁矿、闪锌矿、黄铜矿等)具有很好的对应性,表明了矿区地下水含金属微粒来自于深部矿体,能携带深部矿体的信息,这为深部隐伏矿体的勘探提供了思路,也能为今后同类型的矿床勘探提供一定的参考.此外,本次研究还表明矿区附近的地下水可能受到了成矿微粒的影响,这可能也会影响到地下饮用水的品质,地下水含金属微粒研究方法也可用于检测地下饮用水的污染.关键字:卡休他他矿床;地下水;含金属微粒;单微粒分析;饮用水污染;环境地质.
2018, 43(5): 1663-1669.
doi: 10.3799/dqkx.2018.419
摘要:
煤系石墨形成于煤层的接触变质带,通常被当作煤开采利用而造成严重的资源浪费.为了了解煤系石墨在成矿过程中分子结构的变化,利用X射线衍射(XRD)、透射电子显微镜(TEM)、拉曼光谱(Raman)等技术,对我国陕西凤县、湖南新化和湖南郴州鲁塘地区处于不同变质程度煤系石墨进行测试分析.结果表明:凤县样品石墨化度最低,仍处于超无烟煤阶段;新化石墨处于半石墨阶段,鲁塘样品石墨化程度最高,其结构比较完美,接近于三维有序理想石墨结构,但仍存在少量的无序化畴.XRD分析显示随着样品石墨化程度的升高,堆砌层数与堆砌延展度均增大;拉曼光谱中D峰减弱,G峰逐渐增强并尖锐,D峰与G峰的强度比和面积比均减小,显示碳原子sp2平面域增大.透射电子显微镜晶格像显示,由无烟煤向石墨结构转变过程中,煤的芳香片层首先形成类石墨结构的微柱体,然后这些微柱体之间相互联结,最后形成横向无限延展的石墨晶层.
煤系石墨形成于煤层的接触变质带,通常被当作煤开采利用而造成严重的资源浪费.为了了解煤系石墨在成矿过程中分子结构的变化,利用X射线衍射(XRD)、透射电子显微镜(TEM)、拉曼光谱(Raman)等技术,对我国陕西凤县、湖南新化和湖南郴州鲁塘地区处于不同变质程度煤系石墨进行测试分析.结果表明:凤县样品石墨化度最低,仍处于超无烟煤阶段;新化石墨处于半石墨阶段,鲁塘样品石墨化程度最高,其结构比较完美,接近于三维有序理想石墨结构,但仍存在少量的无序化畴.XRD分析显示随着样品石墨化程度的升高,堆砌层数与堆砌延展度均增大;拉曼光谱中D峰减弱,G峰逐渐增强并尖锐,D峰与G峰的强度比和面积比均减小,显示碳原子sp2平面域增大.透射电子显微镜晶格像显示,由无烟煤向石墨结构转变过程中,煤的芳香片层首先形成类石墨结构的微柱体,然后这些微柱体之间相互联结,最后形成横向无限延展的石墨晶层.
2018, 43(5): 1670-1679.
doi: 10.3799/dqkx.2018.420
摘要:
通过热处理低品位菱锰矿矿石制备高活性纳米材料,并探究其催化去除NOx、吸附重金属性能.利用X射线荧光光谱仪、透射电子显微镜等研究菱锰矿矿石组成;利用X射线粉末衍射仪、扫描电子显微镜、比表面积分析仪、烟气分析仪、原子吸收分光光度计等研究菱锰矿矿石空气中热处理后结构变化及其NH3-SCR脱硝、重金属吸附效果.菱锰矿矿石主要组分为菱锰矿,含有少量黄铁矿、石英、白云石及硫酸盐.在空气中550℃煅烧1 h后,菱锰矿分解完全,产物以黑锰矿为主晶相,同时含有其他低结晶态锰氧化物;样品表面出现大量3~7 nm气孔,比表面积达到最大(31.5 m2/g).脱硝实验显示R550在170℃时脱硝效率可达到90%;吸附实验表明R550对Cd2+、Pb2+、Cu2+均有较好的吸附作用,表明低品位菱锰矿矿石在空气中550℃煅烧可获得高比表面积、高活性的纳米结构化材料,在环境污染物去除方面有潜在的利用价值.
通过热处理低品位菱锰矿矿石制备高活性纳米材料,并探究其催化去除NOx、吸附重金属性能.利用X射线荧光光谱仪、透射电子显微镜等研究菱锰矿矿石组成;利用X射线粉末衍射仪、扫描电子显微镜、比表面积分析仪、烟气分析仪、原子吸收分光光度计等研究菱锰矿矿石空气中热处理后结构变化及其NH3-SCR脱硝、重金属吸附效果.菱锰矿矿石主要组分为菱锰矿,含有少量黄铁矿、石英、白云石及硫酸盐.在空气中550℃煅烧1 h后,菱锰矿分解完全,产物以黑锰矿为主晶相,同时含有其他低结晶态锰氧化物;样品表面出现大量3~7 nm气孔,比表面积达到最大(31.5 m2/g).脱硝实验显示R550在170℃时脱硝效率可达到90%;吸附实验表明R550对Cd2+、Pb2+、Cu2+均有较好的吸附作用,表明低品位菱锰矿矿石在空气中550℃煅烧可获得高比表面积、高活性的纳米结构化材料,在环境污染物去除方面有潜在的利用价值.
2018, 43(5): 1680-1690.
doi: 10.3799/dqkx.2018.421
摘要:
纳米颗粒物(Nanoparticles,NPs)因较同质量细颗粒物和粗颗粒物而言对人体健康危害大得多,日益受到国内外研究者的重视.结合研究结果,对国内外共87篇NPs相关文献进行调研,选取含有效数据文章进行统计分析.从NPs来源和形成机理、粒径分布和归宿、数浓度水平和化学组成及健康效应和研究手段等方面进行综述.针对我国NPs研究现状提出建议及研究重点:(1)开展NPs常规化监测及环境空气和排放源NPs理化性质研究;(2)系统研究NPs形成机理;(3)发展NPs离线及在线一体化源解析技术;(4)系统建立NPs采样及分析技术;(5)加强NPs毒理学、流行病学和防护研究.由于在采取措施降低TSP和PM2.5过程中有可能导致NPs浓度大幅增加,对人体健康会产生较大危害,政府应同时加大对NPs来源和污染控制研究的投入力度.
纳米颗粒物(Nanoparticles,NPs)因较同质量细颗粒物和粗颗粒物而言对人体健康危害大得多,日益受到国内外研究者的重视.结合研究结果,对国内外共87篇NPs相关文献进行调研,选取含有效数据文章进行统计分析.从NPs来源和形成机理、粒径分布和归宿、数浓度水平和化学组成及健康效应和研究手段等方面进行综述.针对我国NPs研究现状提出建议及研究重点:(1)开展NPs常规化监测及环境空气和排放源NPs理化性质研究;(2)系统研究NPs形成机理;(3)发展NPs离线及在线一体化源解析技术;(4)系统建立NPs采样及分析技术;(5)加强NPs毒理学、流行病学和防护研究.由于在采取措施降低TSP和PM2.5过程中有可能导致NPs浓度大幅增加,对人体健康会产生较大危害,政府应同时加大对NPs来源和污染控制研究的投入力度.
2018, 43(5): 1691-1708.
doi: 10.3799/dqkx.2018.422
摘要:
大气颗粒物,尤其是细颗粒物PM2.5,是有毒和有害物质的载体,对人体健康具有重要的影响,同时大气颗粒物具有吸湿性、光学吸收和散射能力以及云凝结核活性等,对环境和气候变化具有重要的作用,大气颗粒物进一步的长距离输送还会对区域和全球地球化学循环产生重要影响.总结了当前大气颗粒物的物理化学特征研究进展,分析了离线和在线分析技术在大气颗粒物主要组分检测中的应用,阐述了大气颗粒物源解析技术的应用现状,以及由于大气颗粒物污染对环境、气候、人体健康和地球化学循环等产生的影响,最后展望未来大气颗粒物研究的重点问题.
大气颗粒物,尤其是细颗粒物PM2.5,是有毒和有害物质的载体,对人体健康具有重要的影响,同时大气颗粒物具有吸湿性、光学吸收和散射能力以及云凝结核活性等,对环境和气候变化具有重要的作用,大气颗粒物进一步的长距离输送还会对区域和全球地球化学循环产生重要影响.总结了当前大气颗粒物的物理化学特征研究进展,分析了离线和在线分析技术在大气颗粒物主要组分检测中的应用,阐述了大气颗粒物源解析技术的应用现状,以及由于大气颗粒物污染对环境、气候、人体健康和地球化学循环等产生的影响,最后展望未来大气颗粒物研究的重点问题.
2018, 43(5): 1709-1724.
doi: 10.3799/dqkx.2018.423
摘要:
综述了大气气溶胶颗粒物的特征、颗粒物的界面反应与矿物协同演化意义;重点介绍了大气颗粒物粒径分布和矿物成分,以及常见有毒有害气体的界面反应产物特征与关键化学过程;总结了矿物颗粒在大气气溶胶形成过程中汇聚、调控、催化的作用,以及颗粒物与大气中SO2、NOx的协同反应机制;分析了微纳米颗粒对二次有机气溶胶形成的影响,以及大气矿物相颗粒界面反应产物组合及协同演化作用.可为进一步研究大气颗粒物与大气中痕量污染气体反应形成二次气溶胶进而影响大气化学组成的过程提供指导,对深入探讨大气矿物颗粒表面特性在复合污染物中多介质反应的微界面化学过程,矿物尘-污染物气溶胶体系在雾-霾形成、转换、新生粒子和阻断行为的复合作用具有重要的环境学意义.
综述了大气气溶胶颗粒物的特征、颗粒物的界面反应与矿物协同演化意义;重点介绍了大气颗粒物粒径分布和矿物成分,以及常见有毒有害气体的界面反应产物特征与关键化学过程;总结了矿物颗粒在大气气溶胶形成过程中汇聚、调控、催化的作用,以及颗粒物与大气中SO2、NOx的协同反应机制;分析了微纳米颗粒对二次有机气溶胶形成的影响,以及大气矿物相颗粒界面反应产物组合及协同演化作用.可为进一步研究大气颗粒物与大气中痕量污染气体反应形成二次气溶胶进而影响大气化学组成的过程提供指导,对深入探讨大气矿物颗粒表面特性在复合污染物中多介质反应的微界面化学过程,矿物尘-污染物气溶胶体系在雾-霾形成、转换、新生粒子和阻断行为的复合作用具有重要的环境学意义.
2018, 43(5): 1725-1736.
doi: 10.3799/dqkx.2018.424
摘要:
全氟化合物(Perfluorinated Compounds,PFCs)是一类含有强极性碳氟键的阴离子表面活性剂.由于PFCs的高稳定性、高生物累积性和潜在毒性,其在水环境中的广泛存在已经对人类的生命健康造成了极大的威胁.近年来,研究者不断寻找有效的材料和处理技术去除水体中的PFCs.纳米材料因其特殊的结构和效应,比一般材料有更高的反应活性.总结了如碳纳米管、改性粘土矿物、纳米二氧化钛、氧化铟、氧化镓等新型纳米材料在物理吸附、光化学及电化学法去除PFCs中的应用,并比较了上述各材料去除PFCs的优缺点及各自的去除机制,分析了目前纳米材料去除水体中PFCs存在的主要问题并展望了今后的发展趋势.
全氟化合物(Perfluorinated Compounds,PFCs)是一类含有强极性碳氟键的阴离子表面活性剂.由于PFCs的高稳定性、高生物累积性和潜在毒性,其在水环境中的广泛存在已经对人类的生命健康造成了极大的威胁.近年来,研究者不断寻找有效的材料和处理技术去除水体中的PFCs.纳米材料因其特殊的结构和效应,比一般材料有更高的反应活性.总结了如碳纳米管、改性粘土矿物、纳米二氧化钛、氧化铟、氧化镓等新型纳米材料在物理吸附、光化学及电化学法去除PFCs中的应用,并比较了上述各材料去除PFCs的优缺点及各自的去除机制,分析了目前纳米材料去除水体中PFCs存在的主要问题并展望了今后的发展趋势.
2018, 43(5): 1737-1745.
doi: 10.3799/dqkx.2018.425
摘要:
重金属污染土壤的修复一直是国内外环境研究者关注的重点环境问题之一.近年来,纳米材料在土壤重金属污染修复中的应用也受到了越来越多的关注.综述了主要纳米材料及其改性材料修复土壤重金属的应用、纳米材料的组合技术应用以及影响纳米材料修复土壤重金属效果的主要因素,提出了今后该领域应重点加强研发新的纳米材料,同时提高其在土壤中的扩散能力,研究从室内实验到田间实验的应用;进一步深入探讨了纳米材料在土壤中的环境行为及相关机理等,以期充分理解并进一步推动纳米材料在土壤重金属污染修复中的应用.
重金属污染土壤的修复一直是国内外环境研究者关注的重点环境问题之一.近年来,纳米材料在土壤重金属污染修复中的应用也受到了越来越多的关注.综述了主要纳米材料及其改性材料修复土壤重金属的应用、纳米材料的组合技术应用以及影响纳米材料修复土壤重金属效果的主要因素,提出了今后该领域应重点加强研发新的纳米材料,同时提高其在土壤中的扩散能力,研究从室内实验到田间实验的应用;进一步深入探讨了纳米材料在土壤中的环境行为及相关机理等,以期充分理解并进一步推动纳米材料在土壤重金属污染修复中的应用.
2018, 43(5): 1746-1754.
doi: 10.3799/dqkx.2018.426
摘要:
断层泥是发震断裂最显著的物质标志之一,它保留着许多断层活动的信息.在野外宏观调查和显微视域观察基础上,利用SEM技术,从纳微米尺度,研究发震断裂带内黏土矿物的组合形态和变形样式,并对一些问题进行深入分析和讨论.黏土矿物在断层粘滑滑移过程中,出现定向排列,在正交偏光显微镜下表现为平行排列的消光带.在SEM视域下,可以观察到片状黏土矿物的定向排列,同时可以清晰地识别多次断层粘滑滑移事件.在断层泥中发现的蠕变滑移现象,带有普遍性.在显微视域下,黏土矿物表现为波状消光带.在SEM视域下,可以观察到片状黏土矿物的褶皱变形、流动变形、绕砾滑动、撕裂变形等.鉴于在同一个视域内,可以同时观察到粘滑滑移标志和蠕变滑移标志,通过分析其先后关系,发现蠕变滑移发生于粘滑滑移之前,对应于断层的亚失稳阶段的运动.
断层泥是发震断裂最显著的物质标志之一,它保留着许多断层活动的信息.在野外宏观调查和显微视域观察基础上,利用SEM技术,从纳微米尺度,研究发震断裂带内黏土矿物的组合形态和变形样式,并对一些问题进行深入分析和讨论.黏土矿物在断层粘滑滑移过程中,出现定向排列,在正交偏光显微镜下表现为平行排列的消光带.在SEM视域下,可以观察到片状黏土矿物的定向排列,同时可以清晰地识别多次断层粘滑滑移事件.在断层泥中发现的蠕变滑移现象,带有普遍性.在显微视域下,黏土矿物表现为波状消光带.在SEM视域下,可以观察到片状黏土矿物的褶皱变形、流动变形、绕砾滑动、撕裂变形等.鉴于在同一个视域内,可以同时观察到粘滑滑移标志和蠕变滑移标志,通过分析其先后关系,发现蠕变滑移发生于粘滑滑移之前,对应于断层的亚失稳阶段的运动.
2018, 43(5): 1755-1762.
doi: 10.3799/dqkx.2018.427
摘要:
研究煤复杂发育的孔隙结构对揭示煤层气体赋存机理及扩散运移规律有重要意义.为了研究煤的纳米孔隙结构,利用SEM、液氮吸附、小角X射线研究了不同煤阶煤的纳米孔隙在形式和分布上的非均匀性.实验煤样煤基质中的孔呈多峰分布,且孔径范围主要集中在2~10 nm.煤样低温液氮吸附实验测得煤样的吸附量为3.676 cm3/g,煤样的比表面积为1.416 m2/g.以最可几孔径作为研究对象,在实验压力范围内,吸附压力越大,最可几孔径变大的越多;瓦斯气体在纳米级孔隙结构中的扩散模式以过渡型扩散为主,微孔更发达的煤样中,扩散更接近Knudsen型扩散,中孔更发达的煤样中,扩散更接近Fick型扩散;Knudsen数与温度呈负相关关系,温度高于250 K后,Knudsen数趋于稳定,与压强呈正相关关系,压强越大,扩散越容易.
研究煤复杂发育的孔隙结构对揭示煤层气体赋存机理及扩散运移规律有重要意义.为了研究煤的纳米孔隙结构,利用SEM、液氮吸附、小角X射线研究了不同煤阶煤的纳米孔隙在形式和分布上的非均匀性.实验煤样煤基质中的孔呈多峰分布,且孔径范围主要集中在2~10 nm.煤样低温液氮吸附实验测得煤样的吸附量为3.676 cm3/g,煤样的比表面积为1.416 m2/g.以最可几孔径作为研究对象,在实验压力范围内,吸附压力越大,最可几孔径变大的越多;瓦斯气体在纳米级孔隙结构中的扩散模式以过渡型扩散为主,微孔更发达的煤样中,扩散更接近Knudsen型扩散,中孔更发达的煤样中,扩散更接近Fick型扩散;Knudsen数与温度呈负相关关系,温度高于250 K后,Knudsen数趋于稳定,与压强呈正相关关系,压强越大,扩散越容易.
2018, 43(5): 1763-1772.
doi: 10.3799/dqkx.2018.428
摘要:
为了解金属离子生长成为热液矿石矿物的过程和机理,使用氟钛酸钾稀溶液在100 MPa和200~400℃条件下开展了一系列等温不等时和等时变温实验.结果显示该热液条件下形成了不同形貌的锐钛矿.随着反应时间和温度的增加,锐钛矿由几十纳米生长至十几微米;10 h以内的晶体生长速度远高于10 h以后,相对高温下的晶体生长速度则高于低温,表明锐钛矿的热液生长与温度、过饱和程度密切相关.综合来看,粒子成核生长、定向附着和奥氏熟化先后控制了热液锐钛矿的生长,而金属在流体中的过饱和程度和溶解-沉淀过程则决定了其生长速度.因而锐钛矿的形态特征可用于指示其形成的温度、世代关系甚至含氟流体的演化历史.
为了解金属离子生长成为热液矿石矿物的过程和机理,使用氟钛酸钾稀溶液在100 MPa和200~400℃条件下开展了一系列等温不等时和等时变温实验.结果显示该热液条件下形成了不同形貌的锐钛矿.随着反应时间和温度的增加,锐钛矿由几十纳米生长至十几微米;10 h以内的晶体生长速度远高于10 h以后,相对高温下的晶体生长速度则高于低温,表明锐钛矿的热液生长与温度、过饱和程度密切相关.综合来看,粒子成核生长、定向附着和奥氏熟化先后控制了热液锐钛矿的生长,而金属在流体中的过饱和程度和溶解-沉淀过程则决定了其生长速度.因而锐钛矿的形态特征可用于指示其形成的温度、世代关系甚至含氟流体的演化历史.
2018, 43(5): 1773-1782.
doi: 10.3799/dqkx.2018.429
摘要:
复杂储层岩石矿物组成非均质性强,孔喉结构细小.储集空间有效性评价、岩石结构精细评价及流体赋存状态与运移规律评价是决定复杂储层油气勘探成效的关键.针对复杂储层的储集空间(孔喉、裂缝)、岩石结构(矿物、有机质)、流体特征3方面,建立了复杂储层多尺度数字岩石评价技术及工作流程.储集空间表征方面:二维大面积分析技术可建立跨越6~7个数量级的多尺度选取及非均质性评价;多尺度CT及FIB-SEM联用可精确刻画孔喉和裂缝的三维空间分布;电化学和显影剂技术可以有效地帮助分析微观孔隙连通性.固体组分分析方面:XRF及Qemscan联用可定量评价矿物组成与分布;三维FIB-SEM技术可以实现有机质形态和分布的定量分析.流体特性方面:荷电效应可用于微量残留有机流体的识别与表征;通过合成孔径、润湿性、表面微结构均可调控的纳米材料,开展地层条件下页岩油赋存及流动物理模拟研究,确定了单一因素对页岩油赋存及可动孔径下限的影响;利用分子模拟研究油气在无机、有机质纳米孔隙中的聚集机理与扩散潜力.复杂储层多尺度数字岩石评价技术体系和一系列具体应用可以有效地填补常规储层分析手段的不足,为页岩油气、致密砂岩油气储层以及深部油气储层等复杂储层有效性评价和含油气性定量评价提供技术支撑.
复杂储层岩石矿物组成非均质性强,孔喉结构细小.储集空间有效性评价、岩石结构精细评价及流体赋存状态与运移规律评价是决定复杂储层油气勘探成效的关键.针对复杂储层的储集空间(孔喉、裂缝)、岩石结构(矿物、有机质)、流体特征3方面,建立了复杂储层多尺度数字岩石评价技术及工作流程.储集空间表征方面:二维大面积分析技术可建立跨越6~7个数量级的多尺度选取及非均质性评价;多尺度CT及FIB-SEM联用可精确刻画孔喉和裂缝的三维空间分布;电化学和显影剂技术可以有效地帮助分析微观孔隙连通性.固体组分分析方面:XRF及Qemscan联用可定量评价矿物组成与分布;三维FIB-SEM技术可以实现有机质形态和分布的定量分析.流体特性方面:荷电效应可用于微量残留有机流体的识别与表征;通过合成孔径、润湿性、表面微结构均可调控的纳米材料,开展地层条件下页岩油赋存及流动物理模拟研究,确定了单一因素对页岩油赋存及可动孔径下限的影响;利用分子模拟研究油气在无机、有机质纳米孔隙中的聚集机理与扩散潜力.复杂储层多尺度数字岩石评价技术体系和一系列具体应用可以有效地填补常规储层分析手段的不足,为页岩油气、致密砂岩油气储层以及深部油气储层等复杂储层有效性评价和含油气性定量评价提供技术支撑.
2018, 43(5): 1783-1791.
doi: 10.3799/dqkx.2018.430
摘要:
揭示页岩气的吸附机理是阐明页岩气的吸附规律及转化条件、建立具有普适意义的定量评价模型的基础.采用GCMC(Grand Canonical Monte Carlo)分子模拟方法,对不同温压条件下CH4和CO2在不同孔径的伊利石狭缝形孔隙中的吸附行为进行模拟,结果表明,分子模拟与实验所得的吸附量归一化到单位表面积才具有相同的内涵和比较的意义.在此基础上进行的对比表明,分子模拟与实验结果相近,奠定了由分子模拟考察页岩气吸附行为和机理的基础:气体吸附于矿物表面的内因(机理)是气-固分子之间的范德华力和库仑力,伊利石表面对CO2的吸附能力比其对CH4的吸附能力强是其结合能更高的反映;CH4和CO2在伊利石表面的吸附虽然并非严格的单分子层吸附,但以一个强吸附层为主;孔径减小到微孔后吸附相密度将发生叠加,形成微孔填充,也是其结合能叠加的结果.
揭示页岩气的吸附机理是阐明页岩气的吸附规律及转化条件、建立具有普适意义的定量评价模型的基础.采用GCMC(Grand Canonical Monte Carlo)分子模拟方法,对不同温压条件下CH4和CO2在不同孔径的伊利石狭缝形孔隙中的吸附行为进行模拟,结果表明,分子模拟与实验所得的吸附量归一化到单位表面积才具有相同的内涵和比较的意义.在此基础上进行的对比表明,分子模拟与实验结果相近,奠定了由分子模拟考察页岩气吸附行为和机理的基础:气体吸附于矿物表面的内因(机理)是气-固分子之间的范德华力和库仑力,伊利石表面对CO2的吸附能力比其对CH4的吸附能力强是其结合能更高的反映;CH4和CO2在伊利石表面的吸附虽然并非严格的单分子层吸附,但以一个强吸附层为主;孔径减小到微孔后吸附相密度将发生叠加,形成微孔填充,也是其结合能叠加的结果.
2018, 43(5): 1792-1816.
doi: 10.3799/dqkx.2018.431
摘要:
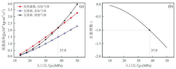
页岩气是未来中国能源结构中的重要组成部分,但中国页岩气埋藏深度大,不能直接照搬美国对浅层页岩气的开采经验,需要对其输运机理有更清晰的认识.介绍了跨尺度混合模拟算法,分析了基于孔隙尺度模拟来研究场尺度的气井衰减曲线分析等问题,揭示了高努森数效应与非理想气体效应之间的耦合机理;介绍了考虑多孔介质弹性形变对渗流影响时计算表观渗透率的特征压力模型,为页岩气勘探开发提供了相关理论支持.
页岩气是未来中国能源结构中的重要组成部分,但中国页岩气埋藏深度大,不能直接照搬美国对浅层页岩气的开采经验,需要对其输运机理有更清晰的认识.介绍了跨尺度混合模拟算法,分析了基于孔隙尺度模拟来研究场尺度的气井衰减曲线分析等问题,揭示了高努森数效应与非理想气体效应之间的耦合机理;介绍了考虑多孔介质弹性形变对渗流影响时计算表观渗透率的特征压力模型,为页岩气勘探开发提供了相关理论支持.




登录
注册
高级检索
邮件订阅
RSS
摘要
HTML全文