2023年 48卷 第5期
显示方式:
2023, 48(5): 1657-1674.
doi: 10.3799/dqkx.2022.419
摘要:
滑坡灾害易发频发、点多面广、隐蔽性强、危害严重.开展“天‒空‒地‒深”观测一体化的滑坡早期识别、易发性评价及预测预报,对于保障人民生命和财产安全,推进滑坡灾害防治能力现代化具有重要意义.目前,依靠人工解译的滑坡识别耗时耗力,采用启发式模型的滑坡易发性评价不能较好地探明环境因子之间的非线性关系,基于传统监测数据的滑坡预测预报精度较低.机器学习算法凭借其强大的非线性处理能力及鲁棒性等优势,逐渐广泛应用于滑坡智能防灾减灾中.基于此,本研究系统阐述了机器学习在滑坡灾害早期识别、易发性评价及预测预报等方面的具体应用,综述了多种机器学习算法在上述3个领域中运用的优劣,最终对机器学习在滑坡灾害中未来的发展趋势进行了展望.
2023, 48(5): 1675-1685.
doi: 10.3799/dqkx.2023.034
摘要:
甘肃省永靖县黑方台台塬周边区域由于黄河移民大规模农业灌溉诱发了众多黄土滑坡灾害,其稳定性分析与滑面预测可为防灾减灾提供重要支撑,显得尤为重要.黑方台黄土滑坡具有渐进后退式的失稳特征,已发生滑坡灾害与潜在滑坡灾害具有高度相似性,其反分析结果可为未来滑坡稳定性分析提供重要数据基础.选用有限差分强度折减法,通过设定3个目标优化函数(土体抗剪强度参数均值误差函数、滑面位置误差函数和稳定性系数误差函数),基于NSGA-II遗传算法开展稳定性反分析获取黄土的粘聚力和内摩擦角.以黑方台党川2#滑坡为例,通过第一次滑动时观测到的滑面信息,并假设其稳定性系数等于1,利用NGSA-II算法反分析得出当滑坡发生时,天然黄土层粘聚力为28.20 kPa,内摩擦角为25.16°,饱和黄土层有效粘聚力为16.59 kPa,有效内摩擦角为16.11°.基于该反分析结果,对党川2#滑坡后续3次失稳的稳定性系数和临界滑面进行了预测,并与实际观察结果对比验证.研究结果表明,通过多目标约束优化算法开展滑坡稳定性反分析可获得更加合理的黄土强度参数估计,为黑方台地区滑坡稳定性分析和风险定量评估提供了新的解决思路.
甘肃省永靖县黑方台台塬周边区域由于黄河移民大规模农业灌溉诱发了众多黄土滑坡灾害,其稳定性分析与滑面预测可为防灾减灾提供重要支撑,显得尤为重要.黑方台黄土滑坡具有渐进后退式的失稳特征,已发生滑坡灾害与潜在滑坡灾害具有高度相似性,其反分析结果可为未来滑坡稳定性分析提供重要数据基础.选用有限差分强度折减法,通过设定3个目标优化函数(土体抗剪强度参数均值误差函数、滑面位置误差函数和稳定性系数误差函数),基于NSGA-II遗传算法开展稳定性反分析获取黄土的粘聚力和内摩擦角.以黑方台党川2#滑坡为例,通过第一次滑动时观测到的滑面信息,并假设其稳定性系数等于1,利用NGSA-II算法反分析得出当滑坡发生时,天然黄土层粘聚力为28.20 kPa,内摩擦角为25.16°,饱和黄土层有效粘聚力为16.59 kPa,有效内摩擦角为16.11°.基于该反分析结果,对党川2#滑坡后续3次失稳的稳定性系数和临界滑面进行了预测,并与实际观察结果对比验证.研究结果表明,通过多目标约束优化算法开展滑坡稳定性反分析可获得更加合理的黄土强度参数估计,为黑方台地区滑坡稳定性分析和风险定量评估提供了新的解决思路.
2023, 48(5): 1686-1695.
doi: 10.3799/dqkx.2023.029
摘要:
岩石抗压强度是评估岩体工程稳定性的重要力学参数,传统统计回归方法对于岩石抗压强度预测存在一定的局限性.为此,提出了一种利用简单岩石力学参数实现岩石抗压强度智能预测的方法,首先收集了620组含不同类型岩石的三轴试验数据,然后分别采用随机森林(Random Forest,RF)、极限梯度提升树(XGBoost,XGB)和轻量梯度提升机(LightGBM,LGB)3种主流的集成学习算法建立了岩石抗压强度预测模型,使用贝叶斯优化算法在模型训练过程中进行超参数优化,最后利用决定系数(R2)、平均绝对百分比误差(MAPE)和均方根误差(RMSE)对优化后模型的泛化能力进行了综合评估和对比分析.此外,利用LGB模型对输入特征进行重要性分析,以评估不同输入特征对模型泛化性能的影响重要程度.研究结果表明:所建立的3种模型对岩石抗压强度均取得了较好的预测结果,其中LGB模型泛化性能优于另外两种模型(R2=0.978,RMSE=5.58,MAPE=9.70%),且运行耗时相对最少.弹性模量(E)、围压(σ3)和密度(ρ)对模型的泛化性能影响较大,泊松比(v)影响较小.提出的预测模型对于岩石抗压强度预测有良好的适用性,为机器学习与岩土工程的结合提供了新的思路.
岩石抗压强度是评估岩体工程稳定性的重要力学参数,传统统计回归方法对于岩石抗压强度预测存在一定的局限性.为此,提出了一种利用简单岩石力学参数实现岩石抗压强度智能预测的方法,首先收集了620组含不同类型岩石的三轴试验数据,然后分别采用随机森林(Random Forest,RF)、极限梯度提升树(XGBoost,XGB)和轻量梯度提升机(LightGBM,LGB)3种主流的集成学习算法建立了岩石抗压强度预测模型,使用贝叶斯优化算法在模型训练过程中进行超参数优化,最后利用决定系数(R2)、平均绝对百分比误差(MAPE)和均方根误差(RMSE)对优化后模型的泛化能力进行了综合评估和对比分析.此外,利用LGB模型对输入特征进行重要性分析,以评估不同输入特征对模型泛化性能的影响重要程度.研究结果表明:所建立的3种模型对岩石抗压强度均取得了较好的预测结果,其中LGB模型泛化性能优于另外两种模型(R2=0.978,RMSE=5.58,MAPE=9.70%),且运行耗时相对最少.弹性模量(E)、围压(σ3)和密度(ρ)对模型的泛化性能影响较大,泊松比(v)影响较小.提出的预测模型对于岩石抗压强度预测有良好的适用性,为机器学习与岩土工程的结合提供了新的思路.
2023, 48(5): 1696-1710.
doi: 10.3799/dqkx.2022.247
摘要:
针对滑坡易发性预测建模中滑坡-非滑坡样本可能存在误差、环境因子间非线性关系较复杂且机器学习可解释性未被关注等重要问题,拟提出一种基于自筛选的双向长短时记忆网络与条件随机场的滑坡易发性预测模型(Self-screening Bi-directional Long Short-Term Memory and Conditional Random Fields,SBiLSTM-CRF).SBiLSTM-CRF模型具有深度学习网络层数深、宽度广及可循环迭代建模的优势,能预测出环境因子间的非线性关系,并通过迭代自动筛选阈值区间外的错误滑坡样本.该模型可用于解释各环境因子之间耦合关系的内部作用机制.将SBiLSTM-CRF模型用于陕西延长县滑坡易发性预测,并与cpLSTM-CRF、随机森林、支持向量机、随机梯度下降和逻辑回归模型比较.结果表明,SBiLSTM-CRF克服了传统机器学习中存在的样本误差以及因子间复杂的非线性关系问题,具有更高的预测性能.通过该模型的可解释性能力揭示了坡度、高程和岩性等因子控制延长县的黄土滑坡发育的机制.
针对滑坡易发性预测建模中滑坡-非滑坡样本可能存在误差、环境因子间非线性关系较复杂且机器学习可解释性未被关注等重要问题,拟提出一种基于自筛选的双向长短时记忆网络与条件随机场的滑坡易发性预测模型(Self-screening Bi-directional Long Short-Term Memory and Conditional Random Fields,SBiLSTM-CRF).SBiLSTM-CRF模型具有深度学习网络层数深、宽度广及可循环迭代建模的优势,能预测出环境因子间的非线性关系,并通过迭代自动筛选阈值区间外的错误滑坡样本.该模型可用于解释各环境因子之间耦合关系的内部作用机制.将SBiLSTM-CRF模型用于陕西延长县滑坡易发性预测,并与cpLSTM-CRF、随机森林、支持向量机、随机梯度下降和逻辑回归模型比较.结果表明,SBiLSTM-CRF克服了传统机器学习中存在的样本误差以及因子间复杂的非线性关系问题,具有更高的预测性能.通过该模型的可解释性能力揭示了坡度、高程和岩性等因子控制延长县的黄土滑坡发育的机制.
2023, 48(5): 1711-1729.
doi: 10.3799/dqkx.2023.006
摘要:
黄土高原在地质环境与人类活动的复杂互馈作用下易导致黄土崩滑灾害频发,亟需选择适用性的影响因子和训练模型开展滑坡易发性评价研究.本研究以黄土高原为研究区,基于野外滑坡调查和资料收集,构建涵盖地形地貌、基础地质环境、气象水文、人类活动、土壤物理化学性质以及植被覆盖的评价体系,采用信息量模型(IV)分别联接到随机森林模型(RF)和卷积神经网络模型(CNN)构建耦合模型IV-RF和IV-CNN,开展滑坡易发性评价研究.结果表明,耦合模型(IV-RF、IV-CNN)的精度均高于独立模型(RF、CNN),4种模型的AUC值分别为0.916、0.938、0.878、0.853,IV-CNN具有更强的预测能力和精度.IV-CNN模型的极高、高、中、低、极低易发性区域面积占比分别为8.78%、7.47%、15.34%、19.82%、47.87%,主要分布在黄土高原南部和东部地质环境复杂和人类活动强烈的山地、黄土梁峁地区.坡度、侵蚀类型、地貌类型、粘粒含量、距道路距离在贡献率分析中排在前5位,是影响滑坡发育的主控因子.本研究旨在为黄土高原滑坡灾害的预测和防治工作提供可靠的科学依据,为滑坡易发性评价研究深化建模思路,优化独立模型评价结果不确定性问题.
黄土高原在地质环境与人类活动的复杂互馈作用下易导致黄土崩滑灾害频发,亟需选择适用性的影响因子和训练模型开展滑坡易发性评价研究.本研究以黄土高原为研究区,基于野外滑坡调查和资料收集,构建涵盖地形地貌、基础地质环境、气象水文、人类活动、土壤物理化学性质以及植被覆盖的评价体系,采用信息量模型(IV)分别联接到随机森林模型(RF)和卷积神经网络模型(CNN)构建耦合模型IV-RF和IV-CNN,开展滑坡易发性评价研究.结果表明,耦合模型(IV-RF、IV-CNN)的精度均高于独立模型(RF、CNN),4种模型的AUC值分别为0.916、0.938、0.878、0.853,IV-CNN具有更强的预测能力和精度.IV-CNN模型的极高、高、中、低、极低易发性区域面积占比分别为8.78%、7.47%、15.34%、19.82%、47.87%,主要分布在黄土高原南部和东部地质环境复杂和人类活动强烈的山地、黄土梁峁地区.坡度、侵蚀类型、地貌类型、粘粒含量、距道路距离在贡献率分析中排在前5位,是影响滑坡发育的主控因子.本研究旨在为黄土高原滑坡灾害的预测和防治工作提供可靠的科学依据,为滑坡易发性评价研究深化建模思路,优化独立模型评价结果不确定性问题.
2023, 48(5): 1730-1741.
doi: 10.3799/dqkx.2022.503
摘要:
基于静力触探试验数据划分土层依赖于经验图表和主观判断,划分的土层剖面不可避免地存在不确定性.提出了一种基于土体分类指数Ic的土层界面快速识别和不确定性量化方法.在分层贝叶斯学习框架下,所提方法采用全高斯概率模型表征土体空间变异性,通过引入正态‒逆威沙特共轭分布实现似然函数的快速计算,高效求解模型证据,识别最可能土层数目和厚度.所提方法基于Ic的统计特性自动划分土层,提高了识别结果的可靠性.
基于静力触探试验数据划分土层依赖于经验图表和主观判断,划分的土层剖面不可避免地存在不确定性.提出了一种基于土体分类指数Ic的土层界面快速识别和不确定性量化方法.在分层贝叶斯学习框架下,所提方法采用全高斯概率模型表征土体空间变异性,通过引入正态‒逆威沙特共轭分布实现似然函数的快速计算,高效求解模型证据,识别最可能土层数目和厚度.所提方法基于Ic的统计特性自动划分土层,提高了识别结果的可靠性.
2023, 48(5): 1742-1754.
doi: 10.3799/dqkx.2022.502
摘要:
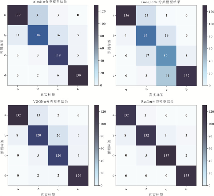
洪涝灾害对房屋等建筑物会造成巨大损害,灾后房屋破坏等级鉴定对保障人民生命安全至关重要,而传统的人工鉴定方法,消耗较多的人力、财力及时间等资源.为此,基于河南郑州“7·20”特大暴雨引发的农村房屋破坏数据,采用深度卷积神经网络(CNN)理论,得到灾后房屋危险等级智能分类模型.首先采用AlexNet、VGGNet、GoogleNet和ResNet四种经典的深度CNN架构,对数据集进行训练、验证和测试,得到4种灾后房屋危险等级智能分类模型,然后结合迁移学习方法训练CNN提高模型的泛化能力,并选择效果较优的ResNet-50为分类主模型,最后分析CNN架构中超参数的影响.结果表明:ResNet-50在学习率为0.000 5,epoch为50,batch_size为16时网络训练结果最优,其测试集的预测准确率达到了95.5%;此外,房屋危险等级特征的可视化分析明确了模型分类的机理及准确性.试验表明基于迁移学习的识别模型准确率较高,为农村房屋洪涝灾害后受损等级分类模型提供参考.
洪涝灾害对房屋等建筑物会造成巨大损害,灾后房屋破坏等级鉴定对保障人民生命安全至关重要,而传统的人工鉴定方法,消耗较多的人力、财力及时间等资源.为此,基于河南郑州“7·20”特大暴雨引发的农村房屋破坏数据,采用深度卷积神经网络(CNN)理论,得到灾后房屋危险等级智能分类模型.首先采用AlexNet、VGGNet、GoogleNet和ResNet四种经典的深度CNN架构,对数据集进行训练、验证和测试,得到4种灾后房屋危险等级智能分类模型,然后结合迁移学习方法训练CNN提高模型的泛化能力,并选择效果较优的ResNet-50为分类主模型,最后分析CNN架构中超参数的影响.结果表明:ResNet-50在学习率为0.000 5,epoch为50,batch_size为16时网络训练结果最优,其测试集的预测准确率达到了95.5%;此外,房屋危险等级特征的可视化分析明确了模型分类的机理及准确性.试验表明基于迁移学习的识别模型准确率较高,为农村房屋洪涝灾害后受损等级分类模型提供参考.
2023, 48(5): 1755-1768.
doi: 10.3799/dqkx.2022.491
摘要:
为判别影响岩爆的敏感性因素并构建不完整数据条件下的岩爆预测方法,在收集到429组国内外岩爆案例的基础上建立大样本数据库,归纳总结岩爆致因分布特征及规律,选取埋深、岩石单轴抗压强度、岩石单轴抗拉强度、围岩最大切向应力、弹性应变能量指数、岩体完整性系数6个评价指标,利用贝叶斯网络建立基于大样本不完整数据集的岩爆概率预测模型,并进行敏感性分析和工程应用.分析发现围岩最大切向应力与岩体完整性系数对岩爆的影响较大,所建模型对信息缺失率为20%的岩爆案例预测吻合率达83.3%,且预测效果优于常用岩爆经验判据.结果表明所选取的预测指标能够综合考虑岩爆的影响因素,所建立模型对于深部岩爆灾害的预测具有适用性和可靠性.
为判别影响岩爆的敏感性因素并构建不完整数据条件下的岩爆预测方法,在收集到429组国内外岩爆案例的基础上建立大样本数据库,归纳总结岩爆致因分布特征及规律,选取埋深、岩石单轴抗压强度、岩石单轴抗拉强度、围岩最大切向应力、弹性应变能量指数、岩体完整性系数6个评价指标,利用贝叶斯网络建立基于大样本不完整数据集的岩爆概率预测模型,并进行敏感性分析和工程应用.分析发现围岩最大切向应力与岩体完整性系数对岩爆的影响较大,所建模型对信息缺失率为20%的岩爆案例预测吻合率达83.3%,且预测效果优于常用岩爆经验判据.结果表明所选取的预测指标能够综合考虑岩爆的影响因素,所建立模型对于深部岩爆灾害的预测具有适用性和可靠性.
2023, 48(5): 1769-1779.
doi: 10.3799/dqkx.2022.481
摘要:
由于现有的震害预测方法不能对砖砌体结构做出高效的预测,基于机器学习模型,提出了一种综合考虑地震动特性与结构特性的砖砌体结构震害快速预测方法.该方法利用机器学习模型,从时域、频域、反应谱和持时4个方面初步选取了能够代表地震动特性的12个参数,从承载力、刚度等方面初步选取了与砖砌体结构破坏相关性较强的7个结构参数;将地震动参数与结构参数相结合作为输入变量,分别给出了基于支持向量机(SVM)、随机森林(RF)、人工神经网络(ANN)三种机器学习模型的砖砌体结构的震害快速预测方法,并进行了性能比较;采用相关性分析对输入参数进行进一步优化,给出了优化输入参数后的最优预测模型.结果表明,当采用19个输入参数时,ANN模型的预测准确率最高,达到91.56%.当采用优化后的12个参数作为输入时,基于RF模型的预测性能更加稳定,预测的准确率也更高,可达到90.01%.优化输入参数后的基于RF模型的预测方法可以实现对砖砌体结构震害的快速预测;与只考虑结构参数或只考虑地震动参数作为输入的方法相比,同时考虑结构和地震动参数作为输入的方法极大地提高了预测的准确性.
由于现有的震害预测方法不能对砖砌体结构做出高效的预测,基于机器学习模型,提出了一种综合考虑地震动特性与结构特性的砖砌体结构震害快速预测方法.该方法利用机器学习模型,从时域、频域、反应谱和持时4个方面初步选取了能够代表地震动特性的12个参数,从承载力、刚度等方面初步选取了与砖砌体结构破坏相关性较强的7个结构参数;将地震动参数与结构参数相结合作为输入变量,分别给出了基于支持向量机(SVM)、随机森林(RF)、人工神经网络(ANN)三种机器学习模型的砖砌体结构的震害快速预测方法,并进行了性能比较;采用相关性分析对输入参数进行进一步优化,给出了优化输入参数后的最优预测模型.结果表明,当采用19个输入参数时,ANN模型的预测准确率最高,达到91.56%.当采用优化后的12个参数作为输入时,基于RF模型的预测性能更加稳定,预测的准确率也更高,可达到90.01%.优化输入参数后的基于RF模型的预测方法可以实现对砖砌体结构震害的快速预测;与只考虑结构参数或只考虑地震动参数作为输入的方法相比,同时考虑结构和地震动参数作为输入的方法极大地提高了预测的准确性.
2023, 48(5): 1780-1792.
doi: 10.3799/dqkx.2022.450
摘要:
准确评估土体的先期固结压力(PS)是岩土工程实践中的一个重要问题.采用集成学习算法(XGBoost、RF)来捕捉各个土体参数之间的关系,建立先期固结压力预测模型.使用贝叶斯优化方法来确定模型的最优参数,并通过与SVR、KNN和MLP三种非集成算法进行对比,统计分析了不同模型在相关系数R2、均方根误差RMSE和绝对平均误差MAPE三种误差指标下的表现;最后在5折交叉验证下,评估各个模型的预测精度及泛化性.结果表明基于XGBoost的预测精度最高,其RMSE及MAPE分别为20.80 kPa和18.29%;其次是RF,分别为24.532 kPa和19.15%.同时在PS作为回归变量的情况下,其特征重要性为:USS > VES > w > LL > PL.因此,在小规模数据集情况下,集成学习算法在预测精度及泛化性上要优于其他算法,且可作为岩土参数敏感性分析的有效方法.
准确评估土体的先期固结压力(PS)是岩土工程实践中的一个重要问题.采用集成学习算法(XGBoost、RF)来捕捉各个土体参数之间的关系,建立先期固结压力预测模型.使用贝叶斯优化方法来确定模型的最优参数,并通过与SVR、KNN和MLP三种非集成算法进行对比,统计分析了不同模型在相关系数R2、均方根误差RMSE和绝对平均误差MAPE三种误差指标下的表现;最后在5折交叉验证下,评估各个模型的预测精度及泛化性.结果表明基于XGBoost的预测精度最高,其RMSE及MAPE分别为20.80 kPa和18.29%;其次是RF,分别为24.532 kPa和19.15%.同时在PS作为回归变量的情况下,其特征重要性为:USS > VES > w > LL > PL.因此,在小规模数据集情况下,集成学习算法在预测精度及泛化性上要优于其他算法,且可作为岩土参数敏感性分析的有效方法.
2023, 48(5): 1793-1806.
doi: 10.3799/dqkx.2022.439
摘要:
三峡库区的动水驱动型滑坡具有阶梯式变形特征,在监测数据不足的情况下,难以准确、合理地完成滑坡分析与预测预报等相关研究.针对监测数据不足的情况,设计了一种状态仿射迁移学习方法(State affine transfer learning method,SATLM),通过学习相似滑坡的知识完成对数据量不足的滑坡状态分析.为验证SATLM对滑坡状态分析的有效性,设计了一种状态相似分析方法,完成对库区多个滑坡的知识学习后实现对另一个数据量不足的滑坡地表位移预测.结果表明,完成状态仿射迁移后,本方法与BPNN和SVM相比,万州塘角1号滑坡地表位移预测的平均绝对误差和均方根误差都实现了较大降低.白家包滑坡、白水河滑坡、八字门滑坡知识的成功迁移,证明了SATLM在相似动水驱动型滑坡的知识迁移上具有较好效果.
三峡库区的动水驱动型滑坡具有阶梯式变形特征,在监测数据不足的情况下,难以准确、合理地完成滑坡分析与预测预报等相关研究.针对监测数据不足的情况,设计了一种状态仿射迁移学习方法(State affine transfer learning method,SATLM),通过学习相似滑坡的知识完成对数据量不足的滑坡状态分析.为验证SATLM对滑坡状态分析的有效性,设计了一种状态相似分析方法,完成对库区多个滑坡的知识学习后实现对另一个数据量不足的滑坡地表位移预测.结果表明,完成状态仿射迁移后,本方法与BPNN和SVM相比,万州塘角1号滑坡地表位移预测的平均绝对误差和均方根误差都实现了较大降低.白家包滑坡、白水河滑坡、八字门滑坡知识的成功迁移,证明了SATLM在相似动水驱动型滑坡的知识迁移上具有较好效果.
2023, 48(5): 1807-1824.
doi: 10.3799/dqkx.2022.429
摘要:
针对目前建筑物易损性定量评价中缺乏滑坡致灾强度预测研究,创新性地提出了一种基于InSAR技术的致灾强度经验曲线与ABAQUS二次开发的空间化位移预测相结合的建筑物易损性定量评价方法.以三峡库区石龙门滑坡为例,利用PS-InSAR解译的2017-2020年间滑坡年平均位移,通过函数反演获取了滑坡累积位移‒致灾强度经验曲线;使用ABAQUS编写荷载和孔隙水压力子程序模拟了极端工况下(库水位下降+强降雨)的滑坡累积位移,用于建筑物易损性预测计算.建筑物抗灾能力由PSO-Fuzzy AHP模型加权赋值8个指标构成,与滑坡致灾强度两部分相结合即可定量评价建筑物易损性.研究结果表明:(1)本文提出的抗灾能力评价体系能够很好表征三峡库区农村建筑物的结构特征,具备较高的评价精度;(2)基于PS-InSAR得到的上限致灾强度曲线为Ipu = 0.065 × Dtot0.236,具备更高的预测精度,有效减少了假阴性误报;(3)通过ABAQUS模拟的极端工况致灾强度随着降雨量增加而增加,预测的房屋易损性等级随之提高,并且成功预警了前期调查有明显变形的房屋.可见提出的致灾强度预测方法和易损性评价模型具有很高的空间辨识度和预警精度,通过滑坡强度信息能够开展实时建筑物易损性制图.
针对目前建筑物易损性定量评价中缺乏滑坡致灾强度预测研究,创新性地提出了一种基于InSAR技术的致灾强度经验曲线与ABAQUS二次开发的空间化位移预测相结合的建筑物易损性定量评价方法.以三峡库区石龙门滑坡为例,利用PS-InSAR解译的2017-2020年间滑坡年平均位移,通过函数反演获取了滑坡累积位移‒致灾强度经验曲线;使用ABAQUS编写荷载和孔隙水压力子程序模拟了极端工况下(库水位下降+强降雨)的滑坡累积位移,用于建筑物易损性预测计算.建筑物抗灾能力由PSO-Fuzzy AHP模型加权赋值8个指标构成,与滑坡致灾强度两部分相结合即可定量评价建筑物易损性.研究结果表明:(1)本文提出的抗灾能力评价体系能够很好表征三峡库区农村建筑物的结构特征,具备较高的评价精度;(2)基于PS-InSAR得到的上限致灾强度曲线为Ipu = 0.065 × Dtot0.236,具备更高的预测精度,有效减少了假阴性误报;(3)通过ABAQUS模拟的极端工况致灾强度随着降雨量增加而增加,预测的房屋易损性等级随之提高,并且成功预警了前期调查有明显变形的房屋.可见提出的致灾强度预测方法和易损性评价模型具有很高的空间辨识度和预警精度,通过滑坡强度信息能够开展实时建筑物易损性制图.
2023, 48(5): 1825-1835.
doi: 10.3799/dqkx.2022.392
摘要:
阿富汗东北部是典型的高原寒旱地区,滑坡灾害发育,除受地形地貌、地质构造、人类活动等因素影响外,还由积雪覆盖、冰雪消融等方面控制;为研究高原寒旱地区滑坡危险性,在遥感解译基础数据上,考虑高原寒旱地区积雪覆盖和冰川活动对滑坡发育的影响,引入积雪覆盖度和消融水当量两个评价指标,基于证据权‒全连接神经网络模型建立滑坡易发性评价模型,以度日模型、SCS-CN模型建立滑坡危险性评价体系,并根据混淆矩阵对评价模型进行检验;危险性评价结果表明极高危险性区域占全区10.46%,分布灾害面积占比82.71%,主要分布在努尔斯坦省东部库纳尔‒奇特拉尔河段、巴达赫尚省除瓦罕走廊段的中东部高山区和帕尔万省赫尔曼德河段;高危险性区域占全区14.83%,分布灾害面积占比12.11%,主要分布在巴达赫尚省东部区域、努尔斯坦省和帕尔万省西部.检验结果及统计结果均表明结合证据权法取负样本对神经网络精度提升显著;研究成果为阿富汗滑坡灾害早期预警与工程防治提供科学依据.
阿富汗东北部是典型的高原寒旱地区,滑坡灾害发育,除受地形地貌、地质构造、人类活动等因素影响外,还由积雪覆盖、冰雪消融等方面控制;为研究高原寒旱地区滑坡危险性,在遥感解译基础数据上,考虑高原寒旱地区积雪覆盖和冰川活动对滑坡发育的影响,引入积雪覆盖度和消融水当量两个评价指标,基于证据权‒全连接神经网络模型建立滑坡易发性评价模型,以度日模型、SCS-CN模型建立滑坡危险性评价体系,并根据混淆矩阵对评价模型进行检验;危险性评价结果表明极高危险性区域占全区10.46%,分布灾害面积占比82.71%,主要分布在努尔斯坦省东部库纳尔‒奇特拉尔河段、巴达赫尚省除瓦罕走廊段的中东部高山区和帕尔万省赫尔曼德河段;高危险性区域占全区14.83%,分布灾害面积占比12.11%,主要分布在巴达赫尚省东部区域、努尔斯坦省和帕尔万省西部.检验结果及统计结果均表明结合证据权法取负样本对神经网络精度提升显著;研究成果为阿富汗滑坡灾害早期预警与工程防治提供科学依据.
2023, 48(5): 1836-1852.
doi: 10.3799/dqkx.2022.372
摘要:
为揭示土体参数旋转各向异性空间变异性对边坡大变形特征的影响规律,将土体不排水抗剪强度参数模拟为旋转各向异性随机场,提出采用多重响应面法对随机场样本进行边坡稳定性安全系数高效求解和升序排列,进而使用随机物质点法按序模拟随机场样本的边坡大变形过程.以一饱和不排水粘土边坡为例,研究了旋转各向异性随机场的旋转角度β和弱主方向自相关长度θ2对边坡大变形特征和破坏模式的影响.结果表明:提出的基于多重响应面的随机物质点方法可以高效开展边坡大变形概率分析;β和θ2对边坡大变形特征和破坏模式均有显著影响;边坡大变形破坏的影响距离、滑动距离和滑动体积的平均值与标准差均随θ2的增加而增加;边坡大变形过程中可能产生4种破坏模式,其中深层滑动和渐进式滑动为该边坡模型的主要概率失稳模式.因此,提出的方法为边坡大变形概率分析提供了一条有效途径,考虑参数旋转各向异性空间变异性的边坡大变形概率分析对准确评估边坡失稳风险具有一定的理论参考意义.
为揭示土体参数旋转各向异性空间变异性对边坡大变形特征的影响规律,将土体不排水抗剪强度参数模拟为旋转各向异性随机场,提出采用多重响应面法对随机场样本进行边坡稳定性安全系数高效求解和升序排列,进而使用随机物质点法按序模拟随机场样本的边坡大变形过程.以一饱和不排水粘土边坡为例,研究了旋转各向异性随机场的旋转角度β和弱主方向自相关长度θ2对边坡大变形特征和破坏模式的影响.结果表明:提出的基于多重响应面的随机物质点方法可以高效开展边坡大变形概率分析;β和θ2对边坡大变形特征和破坏模式均有显著影响;边坡大变形破坏的影响距离、滑动距离和滑动体积的平均值与标准差均随θ2的增加而增加;边坡大变形过程中可能产生4种破坏模式,其中深层滑动和渐进式滑动为该边坡模型的主要概率失稳模式.因此,提出的方法为边坡大变形概率分析提供了一条有效途径,考虑参数旋转各向异性空间变异性的边坡大变形概率分析对准确评估边坡失稳风险具有一定的理论参考意义.
2023, 48(5): 1853-1864.
doi: 10.3799/dqkx.2022.338
摘要:
实时烈度预测可在破坏性地震波到达前,根据P波估计地震可能造成的最大影响.预警对象可以采取措施,降低可能造成的损失.P波位移幅值是一种有效估计地震动峰值的参数,然而单个或多个参数难以全面表征地震动中的信息.同时,参数的计算需要确定时间窗大小,无法实现连续预测.为了解决上述问题,提出了一种基于长短期记忆网络的实时地震烈度预测模型.基于2010-2021年K-NET数据构建模型,并选取2022年3月MJMA7.3地震事件作为案例验证模型.结果表明,P波到达后可以在记录的每个时间步预测烈度,P波到达3 s时在测试集中准确率为96.47%.提出的LSTM模型改善了烈度预测的准确性和连续性,可为地震预警、应急响应等提供科学依据.
实时烈度预测可在破坏性地震波到达前,根据P波估计地震可能造成的最大影响.预警对象可以采取措施,降低可能造成的损失.P波位移幅值是一种有效估计地震动峰值的参数,然而单个或多个参数难以全面表征地震动中的信息.同时,参数的计算需要确定时间窗大小,无法实现连续预测.为了解决上述问题,提出了一种基于长短期记忆网络的实时地震烈度预测模型.基于2010-2021年K-NET数据构建模型,并选取2022年3月MJMA7.3地震事件作为案例验证模型.结果表明,P波到达后可以在记录的每个时间步预测烈度,P波到达3 s时在测试集中准确率为96.47%.提出的LSTM模型改善了烈度预测的准确性和连续性,可为地震预警、应急响应等提供科学依据.
2023, 48(5): 1865-1874.
doi: 10.3799/dqkx.2022.327
摘要:
降雨诱发斜坡失稳机理及可靠度分析通常忽略了现场观测信息的影响,包括斜坡在天然条件下保持稳定或经历历史降雨后保持稳定等观测信息.以无限长斜坡模型为例,采用贝叶斯更新方法基于“斜坡经历某次历史降雨后仍保持稳定”这一现场观测信息概率反分析空间变异水力和抗剪强度参数,基于蒙特卡洛模拟方法计算不同降雨历时下斜坡失效概率,对比分析忽略观测信息对斜坡失效概率估计所造成的影响.结果表明:概率反分析通过融合历史降雨下斜坡稳定性观测信息,可有效排除因抗剪强度参数空间变异性导致斜坡沿软弱层发生失稳的可能性,为客观评价降雨诱发的空间变异斜坡失效概率奠定了基础.如果忽略“斜坡经历某次历史降雨后仍保持稳定”这一观测信息会明显高估斜坡失效概率,尤其在降雨初期.本研究成果为揭示降雨诱发斜坡失稳机制提供新的视角.
降雨诱发斜坡失稳机理及可靠度分析通常忽略了现场观测信息的影响,包括斜坡在天然条件下保持稳定或经历历史降雨后保持稳定等观测信息.以无限长斜坡模型为例,采用贝叶斯更新方法基于“斜坡经历某次历史降雨后仍保持稳定”这一现场观测信息概率反分析空间变异水力和抗剪强度参数,基于蒙特卡洛模拟方法计算不同降雨历时下斜坡失效概率,对比分析忽略观测信息对斜坡失效概率估计所造成的影响.结果表明:概率反分析通过融合历史降雨下斜坡稳定性观测信息,可有效排除因抗剪强度参数空间变异性导致斜坡沿软弱层发生失稳的可能性,为客观评价降雨诱发的空间变异斜坡失效概率奠定了基础.如果忽略“斜坡经历某次历史降雨后仍保持稳定”这一观测信息会明显高估斜坡失效概率,尤其在降雨初期.本研究成果为揭示降雨诱发斜坡失稳机制提供新的视角.
2023, 48(5): 1875-1891.
doi: 10.3799/dqkx.2022.313
摘要:
知识图谱是形式化描述实体及其相互关系的知识系统,其在应急救灾、时空预测决策等方面发挥着重要的作用.灾害应急领域面临数据骤增而应急关键知识匮乏问题,由此从灾害链角度分析地质灾害发展过程中关联的诸多要素,提出了一种自顶向下和自底向上结合的地质灾害链知识图谱构建方法.首先,基于灾害链角度对地质灾害间复杂形成机理及成链规律进行分析,在已有地质灾害知识基础上,基于自顶向下方法建立了统一的用于信息抽取的地质灾害链本体语义表达框架,包括描述地质灾害知识体系的地质灾害事件本体、承载地质灾害发生的地质环境本体、受地质灾害作用下的地理对象本体及地质灾害在灾前、灾中和灾后时空过程中对应的应急处置方法本体;其次,结合自底向上方法构建数据层,通过知识融合、知识存储对概念、实例与属性等要素及其关联关系进行识别;最后以汶川地震为例并对知识图谱进行可视化表达.结果表明,本方法能有效地对四类要素及其关系进行识别,实现了数据-信息-知识的转换,为地质灾害领域的知识图谱构建提供技术参考.
知识图谱是形式化描述实体及其相互关系的知识系统,其在应急救灾、时空预测决策等方面发挥着重要的作用.灾害应急领域面临数据骤增而应急关键知识匮乏问题,由此从灾害链角度分析地质灾害发展过程中关联的诸多要素,提出了一种自顶向下和自底向上结合的地质灾害链知识图谱构建方法.首先,基于灾害链角度对地质灾害间复杂形成机理及成链规律进行分析,在已有地质灾害知识基础上,基于自顶向下方法建立了统一的用于信息抽取的地质灾害链本体语义表达框架,包括描述地质灾害知识体系的地质灾害事件本体、承载地质灾害发生的地质环境本体、受地质灾害作用下的地理对象本体及地质灾害在灾前、灾中和灾后时空过程中对应的应急处置方法本体;其次,结合自底向上方法构建数据层,通过知识融合、知识存储对概念、实例与属性等要素及其关联关系进行识别;最后以汶川地震为例并对知识图谱进行可视化表达.结果表明,本方法能有效地对四类要素及其关系进行识别,实现了数据-信息-知识的转换,为地质灾害领域的知识图谱构建提供技术参考.
2023, 48(5): 1892-1907.
doi: 10.3799/dqkx.2022.271
摘要:
天山地区未来将成为国家重要战略交通、油气资源管道、城镇居民点建设的部署区域,对该区域泥石流灾害易发性评估使重大潜在泥石流灾害点的监测点布置以及防治更具针对性.集成学习算法可避免灾害易发性评估中算法选择困难的问题且可显著提高建模精度,但其在泥石流易发性评估中的应用仍然缺乏,可靠性有待检验.本研究基于流域单元采用堆叠集成算法评估天山地区的泥石流灾害易发性,选择干旱度、陡度指数等14个特征变量进行天山地区的泥石流易发性评估建模,比较了堆叠集成算法与独立异质算法建模的预测性能,最后探讨了天山地区泥石流灾害的控制因素.结果表明:(1)天山地区泥石流灾害高、极高易发性区域占比分别为17.06%和19.75%,集中分布在北天山北坡和南天山南坡.(2)堆叠集成算法预测率曲线AUC值为0.87,显著高于独立机器学习算法(0.79~0.81),比独立机器学习算法有更好的预测性能.(3)除去常规地形和降雨对天山地区泥石流的发育有显著控制作用外,干旱和隆升也对天山地区泥石流的发育有重要影响.结果不仅有助于天山地区泥石流灾害风险管理,还对各类机器学习模型评估干旱山区泥石流易发性的建模特征有启示意义.
天山地区未来将成为国家重要战略交通、油气资源管道、城镇居民点建设的部署区域,对该区域泥石流灾害易发性评估使重大潜在泥石流灾害点的监测点布置以及防治更具针对性.集成学习算法可避免灾害易发性评估中算法选择困难的问题且可显著提高建模精度,但其在泥石流易发性评估中的应用仍然缺乏,可靠性有待检验.本研究基于流域单元采用堆叠集成算法评估天山地区的泥石流灾害易发性,选择干旱度、陡度指数等14个特征变量进行天山地区的泥石流易发性评估建模,比较了堆叠集成算法与独立异质算法建模的预测性能,最后探讨了天山地区泥石流灾害的控制因素.结果表明:(1)天山地区泥石流灾害高、极高易发性区域占比分别为17.06%和19.75%,集中分布在北天山北坡和南天山南坡.(2)堆叠集成算法预测率曲线AUC值为0.87,显著高于独立机器学习算法(0.79~0.81),比独立机器学习算法有更好的预测性能.(3)除去常规地形和降雨对天山地区泥石流的发育有显著控制作用外,干旱和隆升也对天山地区泥石流的发育有重要影响.结果不仅有助于天山地区泥石流灾害风险管理,还对各类机器学习模型评估干旱山区泥石流易发性的建模特征有启示意义.
2023, 48(5): 1908-1922.
doi: 10.3799/dqkx.2022.281
摘要:
基于TBM施工数据进行围岩感知对保障TBM施工安全、提高施工效率至关重要,其中TBM掘进参数预测的准确率是检验围岩感知效果的重要依据.为此,以吉林引松工程TBM四标段为研究对象,选取TBM上升段破岩数据为输入特征X1,选择两个施工控制参数(刀盘转速和推进速度)为输入特征X2,构建卷积神经网络机器学习模型,对TBM掘进响应参数Y(刀盘扭矩和总推力)进行预测.按照学习对象的不同,分别构建了只学习稳定段掘进响应行为的点预测模型和同时学习上升段和稳定段掘进响应行为的线预测模型,结果表明:点预测模型无法描述控制参数对掘进响应参数的影响;线预测模型虽然可以描述控制参数对掘进响应参数的影响,但是对稳定段的掘进响应预测数值偏低.考虑到上述局限性的原因是稳定段行为样本数量只占总样本数量的9%,提出了一种通过调节损失函数的方法来提高稳定段行为样本的权重,显著提高了线预测模型的预测精度.改进后的结果表明:在TBM掘进参数预测中,应对整个掘进段的行为进行学习,并提高稳定段行为的权重,以便获得高精度的掘进响应参数预测模型.获得的模型能够为进一步的围岩感知和控制参数优化提供基础.
基于TBM施工数据进行围岩感知对保障TBM施工安全、提高施工效率至关重要,其中TBM掘进参数预测的准确率是检验围岩感知效果的重要依据.为此,以吉林引松工程TBM四标段为研究对象,选取TBM上升段破岩数据为输入特征X1,选择两个施工控制参数(刀盘转速和推进速度)为输入特征X2,构建卷积神经网络机器学习模型,对TBM掘进响应参数Y(刀盘扭矩和总推力)进行预测.按照学习对象的不同,分别构建了只学习稳定段掘进响应行为的点预测模型和同时学习上升段和稳定段掘进响应行为的线预测模型,结果表明:点预测模型无法描述控制参数对掘进响应参数的影响;线预测模型虽然可以描述控制参数对掘进响应参数的影响,但是对稳定段的掘进响应预测数值偏低.考虑到上述局限性的原因是稳定段行为样本数量只占总样本数量的9%,提出了一种通过调节损失函数的方法来提高稳定段行为样本的权重,显著提高了线预测模型的预测精度.改进后的结果表明:在TBM掘进参数预测中,应对整个掘进段的行为进行学习,并提高稳定段行为的权重,以便获得高精度的掘进响应参数预测模型.获得的模型能够为进一步的围岩感知和控制参数优化提供基础.
2023, 48(5): 1923-1934.
doi: 10.3799/dqkx.2022.274
摘要:
我国西南山区的铁路和公路隧道在遭遇高地应力、软岩和断层破碎带等不良地质条件时常发生挤压大变形灾害,带来巨大的经济损失.从隧道工程勘察设计期的实际需求出发,考虑该阶段预测指标的易获取性,以隧道埋深、围岩级别、等效洞径和岩石强度作为预测指标;搜集建立了以我国西南地区隧道工程为主的包含151组大变形案例的数据库.采用贝叶斯网络模型建立了不完整数据条件下隧道挤压大变形灾害概率分级预测模型,通过十折交叉验证确定模型准确率为76.52%.基于该模型研发了一款大变形分级预测软件平台,并在九绵高速公路白马隧道开展应用,预测准确率达71.11%.本研究成果可为我国西南地区类似地质环境条件下隧道勘察设计期大变形灾害预测提供技术支撑.
我国西南山区的铁路和公路隧道在遭遇高地应力、软岩和断层破碎带等不良地质条件时常发生挤压大变形灾害,带来巨大的经济损失.从隧道工程勘察设计期的实际需求出发,考虑该阶段预测指标的易获取性,以隧道埋深、围岩级别、等效洞径和岩石强度作为预测指标;搜集建立了以我国西南地区隧道工程为主的包含151组大变形案例的数据库.采用贝叶斯网络模型建立了不完整数据条件下隧道挤压大变形灾害概率分级预测模型,通过十折交叉验证确定模型准确率为76.52%.基于该模型研发了一款大变形分级预测软件平台,并在九绵高速公路白马隧道开展应用,预测准确率达71.11%.本研究成果可为我国西南地区类似地质环境条件下隧道勘察设计期大变形灾害预测提供技术支撑.
2023, 48(5): 1935-1947.
doi: 10.3799/dqkx.2023.013
摘要:
为了解决震区不同时期易发性评价中滑坡编录样本不足问题,以汶川地震震区汶川-映秀区域为研究区,基于TrAdaBoost迁移学习算法,利用2011-2013年滑坡数据集辅助训练2013-2015年滑坡数据集的滑坡易发性模型,分别建立了以决策树(DT)和随机森林(RF)为单体学习器的TrAdaBoost-DT和TrAdaBoost-RF滑坡易发性模型.通过所建立的模型对研究区的滑坡易发性进行预测,并将预测结果与仅用2013-2015年滑坡数据集所建立的DT和RF模型的预测结果进行对比.以受试者工作曲线下方面积(AUC)为评价指标,TrAdaBoost模型使得DT和RF模型的AUC分别提高了0.03和0.01.为了进一步验证所提方法有效性,以2013-2015年滑坡数据集辅助训练2015-2018年滑坡数据集中的易发性模型.结果表明,基于TrAdaBoost模型优化DT和RF模型的AUC均提高了0.13;TrAdaBoost模型能够有效提高传统基于机器学习滑坡易发性模型的预测性能,且对小数据集下的滑坡易发性模型的预测性能提升更为显著.
为了解决震区不同时期易发性评价中滑坡编录样本不足问题,以汶川地震震区汶川-映秀区域为研究区,基于TrAdaBoost迁移学习算法,利用2011-2013年滑坡数据集辅助训练2013-2015年滑坡数据集的滑坡易发性模型,分别建立了以决策树(DT)和随机森林(RF)为单体学习器的TrAdaBoost-DT和TrAdaBoost-RF滑坡易发性模型.通过所建立的模型对研究区的滑坡易发性进行预测,并将预测结果与仅用2013-2015年滑坡数据集所建立的DT和RF模型的预测结果进行对比.以受试者工作曲线下方面积(AUC)为评价指标,TrAdaBoost模型使得DT和RF模型的AUC分别提高了0.03和0.01.为了进一步验证所提方法有效性,以2013-2015年滑坡数据集辅助训练2015-2018年滑坡数据集中的易发性模型.结果表明,基于TrAdaBoost模型优化DT和RF模型的AUC均提高了0.13;TrAdaBoost模型能够有效提高传统基于机器学习滑坡易发性模型的预测性能,且对小数据集下的滑坡易发性模型的预测性能提升更为显著.
2023, 48(5): 1948-1959.
doi: 10.3799/dqkx.2022.255
摘要:
针对常用的一次可靠度方法(FORM)计算基桩承载力可靠度指标的精度不高,将支持向量机(SVM)与FORM相结合计算缺陷桩承载力可靠度指标.以缩径缺陷桩为例,开展了1根完整桩及5根缩径桩的竖向加载试验.采用随机加权法对缺陷桩承载力折减系数的均值进行估计.算例表明缩径处被土体填充,致使此处桩的侧摩阻力转化为土体界面摩擦力,削弱了桩的承载能力.缩径长度越大,缩径处被土体填充的面积就越大,桩承载力折减系数和可靠度指标越小.缩径位置距离桩顶越近,缩径限制侧摩阻力发挥的程度越大.桩端阻力弥补了部分损失的侧摩阻力,使得缩径位于桩身浅部和中部时,桩承载力折减系数及可靠度指标大致相同;位于深部时,承载力损失最小,可靠度指标最大.
针对常用的一次可靠度方法(FORM)计算基桩承载力可靠度指标的精度不高,将支持向量机(SVM)与FORM相结合计算缺陷桩承载力可靠度指标.以缩径缺陷桩为例,开展了1根完整桩及5根缩径桩的竖向加载试验.采用随机加权法对缺陷桩承载力折减系数的均值进行估计.算例表明缩径处被土体填充,致使此处桩的侧摩阻力转化为土体界面摩擦力,削弱了桩的承载能力.缩径长度越大,缩径处被土体填充的面积就越大,桩承载力折减系数和可靠度指标越小.缩径位置距离桩顶越近,缩径限制侧摩阻力发挥的程度越大.桩端阻力弥补了部分损失的侧摩阻力,使得缩径位于桩身浅部和中部时,桩承载力折减系数及可靠度指标大致相同;位于深部时,承载力损失最小,可靠度指标最大.
2023, 48(5): 1960-1976.
doi: 10.3799/dqkx.2022.224
摘要:
强震山区地形陡峭,植被茂盛,使同震滑坡“点多面广”,难以探测,为灾害防控带来困难.滑坡易发性评估能够预测灾害空间分布.但传统评估方法存在数据源有限、数据量化标准不一等问题,难以获取准确的易发性评价结果及难以掌握复杂孕灾环境下滑坡发育特征.鉴于此,通过多源监测数据、空间分析和深度学习方法,分析同震滑坡的发育规律,探究滑坡的地震响应机制,并进行滑坡易发性区划.结果表明:地震通过影响地形地貌的应力场及岩土体结构对地震波的地震响应的作用,使同震滑坡表现不同形式的发灾效应(如锁固段效应、微地形效应和地层倾向效应等);采用基于卷积神经网络(CNN)和深度神经网络(DNN)的深度学习模型取得了良好的易发性评价结果(AUC值分别为0.901和0.865),CNN模型的预测性能优于DNN模型.两模型精度都较高,均能较为准确识别潜在的滑坡区域;极高和高滑坡易发性区域广泛分布于丹祖沟等13条沟道中,这些沟道在暴雨下更容易发生泥石流.
强震山区地形陡峭,植被茂盛,使同震滑坡“点多面广”,难以探测,为灾害防控带来困难.滑坡易发性评估能够预测灾害空间分布.但传统评估方法存在数据源有限、数据量化标准不一等问题,难以获取准确的易发性评价结果及难以掌握复杂孕灾环境下滑坡发育特征.鉴于此,通过多源监测数据、空间分析和深度学习方法,分析同震滑坡的发育规律,探究滑坡的地震响应机制,并进行滑坡易发性区划.结果表明:地震通过影响地形地貌的应力场及岩土体结构对地震波的地震响应的作用,使同震滑坡表现不同形式的发灾效应(如锁固段效应、微地形效应和地层倾向效应等);采用基于卷积神经网络(CNN)和深度神经网络(DNN)的深度学习模型取得了良好的易发性评价结果(AUC值分别为0.901和0.865),CNN模型的预测性能优于DNN模型.两模型精度都较高,均能较为准确识别潜在的滑坡区域;极高和高滑坡易发性区域广泛分布于丹祖沟等13条沟道中,这些沟道在暴雨下更容易发生泥石流.
2023, 48(5): 1977-1988.
doi: 10.3799/dqkx.2022.216
摘要:
为了解决现有边坡勘察试验钻孔布置的优化方法概念复杂、计算量大,需要预先定量估计边坡失稳损失,在实际应用中不方便的问题,利用边坡响应面机器学习模型提出了一种边坡勘察方案的信息价值量化指标,进而给出了边坡钻孔布置方案优化方法.利用边坡部分特征响应面模型建立了安全系数与勘察数据之间的关系.利用随机模拟样本即可实现对边坡勘察钻孔方案的信息价值量化指标计算,分析不同勘察方案时不需要额外重复计算安全系数,大幅提高了分析效率.基于提出的方法,对不排水边坡案例进行了分析,分析结果与文献中相似,算法复杂度和计算量大幅降低.本方法可以快速评价和对比边坡勘察方案的信息价值,进而实现钻孔布置方案优化,具有概念清晰、算法简单、计算方便的特点,计算量也相比传统方法大幅降低,易于工程勘察设计人员接受和采用.
为了解决现有边坡勘察试验钻孔布置的优化方法概念复杂、计算量大,需要预先定量估计边坡失稳损失,在实际应用中不方便的问题,利用边坡响应面机器学习模型提出了一种边坡勘察方案的信息价值量化指标,进而给出了边坡钻孔布置方案优化方法.利用边坡部分特征响应面模型建立了安全系数与勘察数据之间的关系.利用随机模拟样本即可实现对边坡勘察钻孔方案的信息价值量化指标计算,分析不同勘察方案时不需要额外重复计算安全系数,大幅提高了分析效率.基于提出的方法,对不排水边坡案例进行了分析,分析结果与文献中相似,算法复杂度和计算量大幅降低.本方法可以快速评价和对比边坡勘察方案的信息价值,进而实现钻孔布置方案优化,具有概念清晰、算法简单、计算方便的特点,计算量也相比传统方法大幅降低,易于工程勘察设计人员接受和采用.
2023, 48(5): 1989-1999.
doi: 10.3799/dqkx.2023.036
摘要:
滑坡稳定性含有非线性特征,机器学习算法相对于传统算法在滑坡稳定性预测中准确性更高.因此,为了更加准确地分析顺层岩质边坡在循环地震荷载作用下的稳定性,结合室内物理模型试验和离散元数值模拟软件PFC3D相互对比的研究手段,得到了滑带土的应变软化过程;并利用滑坡变形的非线性特点,和数值模拟得到的滑坡稳定性系数数据,经过模式识别、拟合检验等提出了基于机器学习算法(Box-Jenkins随机模型)的滑坡稳定性预测模型.结果表明:(1)剪切应力的逐渐减小促进了滑带土应变的软化过程,滑带土的围压虽然能抑制滑带土裂缝的增加,但对应变软化的抑制作用有限;(2)本研究所建立的标准BIC值为8.160的ARIMA(1,1,0)(0,1,1)模型,可以对边坡稳定系数时间序列数据进行精准预测.基于边坡稳定系数和应力场的现场观测,进一步描述了两种可能的滑坡触发机制,同时时间序列的机器学习能准确预测循环荷载作用下边坡稳定系数的变化规律.
滑坡稳定性含有非线性特征,机器学习算法相对于传统算法在滑坡稳定性预测中准确性更高.因此,为了更加准确地分析顺层岩质边坡在循环地震荷载作用下的稳定性,结合室内物理模型试验和离散元数值模拟软件PFC3D相互对比的研究手段,得到了滑带土的应变软化过程;并利用滑坡变形的非线性特点,和数值模拟得到的滑坡稳定性系数数据,经过模式识别、拟合检验等提出了基于机器学习算法(Box-Jenkins随机模型)的滑坡稳定性预测模型.结果表明:(1)剪切应力的逐渐减小促进了滑带土应变的软化过程,滑带土的围压虽然能抑制滑带土裂缝的增加,但对应变软化的抑制作用有限;(2)本研究所建立的标准BIC值为8.160的ARIMA(1,1,0)(0,1,1)模型,可以对边坡稳定系数时间序列数据进行精准预测.基于边坡稳定系数和应力场的现场观测,进一步描述了两种可能的滑坡触发机制,同时时间序列的机器学习能准确预测循环荷载作用下边坡稳定系数的变化规律.
2023, 48(5): 2000-2010.
doi: 10.3799/dqkx.2022.144
摘要:
针对目前露天矿爆破质点峰值振速预测研究存在模型可解释性不足、不适用于数码电子雷管逐孔起爆条件等问题,通过现场试验记录每孔爆破参数与测取爆破振动信号,结合轻型梯度提升机(LightGBM)算法与SHAP模型可解释性框架,建立了露天矿数码电子雷管逐孔起爆条件下的三轴质点峰值振速预测模型.从测试集均方根误差RMSE和拟合优度R2而言,LightGBM总体RMSE相比于支持向量机与神经网络分别降低了25.9%和28.9%,总体R2分别提高了12.7%和9.9%.LightGBM与萨道夫斯基经验公式相比,RMSE在径向X、切向Y和垂向Z上分别降低了63.4%、39.5%和68.3%,R2分别提高了18.9%、27.7%和42.4%.除方向轴变量外,监测点距离、总药量、最小排距、平均装药长度、孔径与最大孔距为对质点峰值振速影响程度最大的6个变量,其中监测点距离与质点峰值振速为负相关关系,总药量、最小排距、平均装药高度与最大孔距则与质点峰值振速呈正相关关系.
针对目前露天矿爆破质点峰值振速预测研究存在模型可解释性不足、不适用于数码电子雷管逐孔起爆条件等问题,通过现场试验记录每孔爆破参数与测取爆破振动信号,结合轻型梯度提升机(LightGBM)算法与SHAP模型可解释性框架,建立了露天矿数码电子雷管逐孔起爆条件下的三轴质点峰值振速预测模型.从测试集均方根误差RMSE和拟合优度R2而言,LightGBM总体RMSE相比于支持向量机与神经网络分别降低了25.9%和28.9%,总体R2分别提高了12.7%和9.9%.LightGBM与萨道夫斯基经验公式相比,RMSE在径向X、切向Y和垂向Z上分别降低了63.4%、39.5%和68.3%,R2分别提高了18.9%、27.7%和42.4%.除方向轴变量外,监测点距离、总药量、最小排距、平均装药长度、孔径与最大孔距为对质点峰值振速影响程度最大的6个变量,其中监测点距离与质点峰值振速为负相关关系,总药量、最小排距、平均装药高度与最大孔距则与质点峰值振速呈正相关关系.
2023, 48(5): 2011-2023.
doi: 10.3799/dqkx.2022.251
摘要:
岩爆烈度等级的准确预测对减轻乃至消除岩爆危害具有重要意义.针对岩爆烈度等级预测模型特征选取模糊和预测准确度不高问题,提出了一种ReliefF-Pearson特征选择下基于SSA-SVM-AdaBoost算法的岩爆等级预测模型.结合ReliefF的权值思想和Pearson系数的相关性原理对特征指标进行选择,利用麻雀搜索算法(SSA)优化支持向量机(SVM)以获得最优模型初始参数,将多个SSA优化后的SVM作为弱分类器组成自适应增强学习算法(AdaBoost)的强分类器.首先通过收集分析国内外岩爆案例数据,选取7种特征指标构成原始特征空间,然后利用ReliefF-Pearson从原始特征空间中筛选出4维优势特征,采用随机过采样对数据进行处理,最后将其输入到SSA-SVM-AdaBoost模型中进行分类预测.研究结果表明:基于ReliefF-Pearson的特征选择方法能够有效提取优势特征;基于多SSA-SVM的AdaBoost模型预测准确率相较于SSA-SVM和单层决策树AdaBoost模型均提高12.5%,相较于SVM提高31.25%,说明SSA-SVM作为弱分类器在分类性能上要优于单层决策树,AdaBoost增强算法集成多个单分类器要优于单个分类模型,且数据过采样处理没有影响模型预测集准确率,表明SSA-SVM-AdaBoost模型可有效应用于岩爆烈度等级预测,为岩爆预测问题提供新思路.
岩爆烈度等级的准确预测对减轻乃至消除岩爆危害具有重要意义.针对岩爆烈度等级预测模型特征选取模糊和预测准确度不高问题,提出了一种ReliefF-Pearson特征选择下基于SSA-SVM-AdaBoost算法的岩爆等级预测模型.结合ReliefF的权值思想和Pearson系数的相关性原理对特征指标进行选择,利用麻雀搜索算法(SSA)优化支持向量机(SVM)以获得最优模型初始参数,将多个SSA优化后的SVM作为弱分类器组成自适应增强学习算法(AdaBoost)的强分类器.首先通过收集分析国内外岩爆案例数据,选取7种特征指标构成原始特征空间,然后利用ReliefF-Pearson从原始特征空间中筛选出4维优势特征,采用随机过采样对数据进行处理,最后将其输入到SSA-SVM-AdaBoost模型中进行分类预测.研究结果表明:基于ReliefF-Pearson的特征选择方法能够有效提取优势特征;基于多SSA-SVM的AdaBoost模型预测准确率相较于SSA-SVM和单层决策树AdaBoost模型均提高12.5%,相较于SVM提高31.25%,说明SSA-SVM作为弱分类器在分类性能上要优于单层决策树,AdaBoost增强算法集成多个单分类器要优于单个分类模型,且数据过采样处理没有影响模型预测集准确率,表明SSA-SVM-AdaBoost模型可有效应用于岩爆烈度等级预测,为岩爆预测问题提供新思路.
2023, 48(5): 2024-2038.
doi: 10.3799/dqkx.2022.309
摘要:
三峡库区是地质灾害管理的重点地区,鉴于长江对其沿岸边坡的水力作用不容忽视,因此需进一步研究水系因素对滑坡易发性的影响.以重庆市奉节县为例,考虑区域内水系影响显著,沿水域两岸300 m区域内划分为分区Ⅰ,其余区域为分区Ⅱ.其次,全域、分区Ⅰ、分区Ⅱ以提取的16个影响因子建立易发性评价指标分析模型,基于随机森林模型计算区域滑坡发生概率,并将全域和分区的滑坡易发性评价结果对比分析.结果表明:奉节县高和极高易发区主要分布在水域两岸及耕地范围内,这是由于库水位升降减少了防滑截面的有效应力,由于原有山体平衡在垦荒过程中被破坏,耕地对斜坡的防护作用微弱;基于水系分区后模型的训练精度优于全域模型的训练精度,准确率和F1分数的最大提升幅度分别可达5.1%、5.2%.基于水系分区的方法有利于提高滑坡易发性评价精度,该方法实用性强,可靠性高.
三峡库区是地质灾害管理的重点地区,鉴于长江对其沿岸边坡的水力作用不容忽视,因此需进一步研究水系因素对滑坡易发性的影响.以重庆市奉节县为例,考虑区域内水系影响显著,沿水域两岸300 m区域内划分为分区Ⅰ,其余区域为分区Ⅱ.其次,全域、分区Ⅰ、分区Ⅱ以提取的16个影响因子建立易发性评价指标分析模型,基于随机森林模型计算区域滑坡发生概率,并将全域和分区的滑坡易发性评价结果对比分析.结果表明:奉节县高和极高易发区主要分布在水域两岸及耕地范围内,这是由于库水位升降减少了防滑截面的有效应力,由于原有山体平衡在垦荒过程中被破坏,耕地对斜坡的防护作用微弱;基于水系分区后模型的训练精度优于全域模型的训练精度,准确率和F1分数的最大提升幅度分别可达5.1%、5.2%.基于水系分区的方法有利于提高滑坡易发性评价精度,该方法实用性强,可靠性高.




登录
注册
高级检索
邮件订阅
RSS
摘要
HTML全文