2025年 50卷 第9期
基于1962-2020年的观测和第六次耦合模式比较计划(CMIP6)中年代际气候预测计划(DCPP)的多模式年代际回报和历史模拟试验数据,本文主要评估了DCPP多模式对我国西北地区近60年来夏季显著暖湿化的年代际预测技巧及其主要来源.对西北变暖的多模式年代际预测技巧(与观测的相关系数)都在0.9以上,较高的预测技巧主要来源于外强迫分量,其贡献可达80%~99%;而受初始化与外强迫的共同作用,对西北变湿的多模式年代际预测技巧存在较大差异,其中多模式初始化分量对预测技巧的贡献可分别达到19%~94%.这表明,对我国西北地区未来短期温度和降水变化的订正预估不仅需要重点考虑外强迫的影响,更需要考虑初始化对降水的影响.
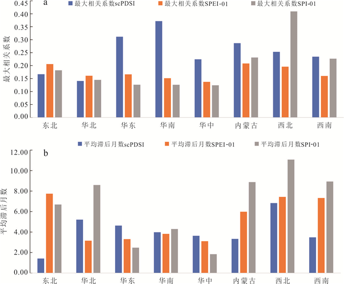
为准确估测不同类型的干旱对植被生态系统的影响,基于Mann-Kendall、Pearson相关分析等方法,利用1982-2018年的总初级生产力(GPP)数据集以及不同时间尺度的干旱指数(包括scPDSI、SPEI和SPI),定量评估了我国植被GPP对不同时空尺度干旱类型的响应.结果显示,我国干旱化趋势最显著的区域是内蒙古,区域平均的scPDSI、SPEI和SPI分别以每年0.039、0.026和0.004的速率下降.不同区域的GPP与干旱指数的相关性和滞后效应差异显著.华东和华南地区对农业干旱的响应最为显著,平均滞后时间为4~6个月.内蒙古、西北和西南地区对气象干旱的响应更为剧烈,平均滞后时间为9~11个月.华中和华东地区对气象干旱的响应周期较短,为0~3个月.
长白山阔叶红松林是全球为数不多的大面积原始针阔混交林,对其开展模拟研究尤为必要.本研究基于植被功能性状的新一代动态全球植被模式CLM5-FATES(Community Land Model version 5-Functionally Assembled Terrestrial Ecosystem Simulator),选取25 ℃时最大羧化速率、比叶面积和叶寿命三个叶片特性参数,对长白山针阔混交林分布进行模拟,探讨模式中长白山针阔混交林分布的参数敏感性,检验模式对长白山针阔混交林分布的模拟能力.研究表明,不同的性状参数组合显著影响该地区两种植被类型分布的模拟结果,且25 ℃时最大羧化速率和比叶面积的影响大于叶寿命.适当的性状参数组合下,模式能再现观测结果中的长白山针阔混交林分布.本研究验证了该模式在长白山针阔混交林的适用性,可为进一步的气候植被相互作用研究提供重要支持.
为理解北美冬季“西暖‒东冷”温度偶极子的成因,基于再分析数据对影响北美温度的大气环流、西风急流和海温背景进行分析.结果表明,北美温度偶极子主要受正位相的太平洋北美遥相关(PNA+)环流影响,弱的西风急流下北美温度偶极子最强.此外,北太平洋海温通过调制急流变化,对PNA+期间的北美温度偶极子结构和强度产生影响.在正位相太平洋年代际振荡冬季,中纬度西风急流偏南,PNA+环流在北美地区呈经向结构,引起“西北暖‒东南冷”温度异常.而正位相维多利亚海温模态有利于中纬度西风急流减弱,导致PNA+在北美西部的高压系统向西移动,同时东部低压持续存在,形成水平波列结构,进而加剧“西暖‒东冷”温度偶极子异常.
作为业务预报中的主要难点,明晰热带气旋(TC)生成、快速增强(RI)及两者复合事件(RIFG)的成因对于防灾减灾具有重要意义.基于观测资料对西北太平洋RIFG事件和无RI生成事件(NRIG)的对流及环境特征进行了研究.结果表明,RIFG个例相比NRIG个例平均纬度更低,且逆切变左侧的内核降水更强,受到较弱的垂直风切变和背景相对涡度、较高的内核相对涡度、高层辐散、海温、中层相对湿度和海表潜热通量的影响,这些有利的动力、热力条件为RIFG事件的发生提供了基础.进一步对比弱风切变(W-VWS)和中等‒强风切变(MS-VWS)下的RIFG个例发现,MS-VWS个例的降水更强、更不对称,且W-VWS(MS-VWS)个例在逆切变、切变右侧(顺切变、切变左侧)有更为有利的环境热动力条件.
为研究南半球中高纬度气旋对南极海冰面积的年代际影响,基于1979-2022年每年9月的欧洲中期天气预报中心(ECMWF)再分析数据,识别并追踪南半球气旋,探究中高纬度气旋频数与南极海冰面积之间的相关关系,分析气旋经过时下方受影响的南极海冰面积变化的时间和空间特征.研究表明,南半球中高纬度气旋对南极海冰的影响主要集中在南极海冰密集度变动频繁且大多低于80%的边缘区.气旋能够显著影响区域海冰密集度的变化,尤其在海冰边缘线附近,气旋是此处海冰密集度变化的主要影响因素.与气旋对南极海冰的影响相比,南极大部分区域的海冰更易受南半球环状模的影响.然而,在海冰密集度较小的海冰边缘区,气旋对海冰密集度的影响尤为显著.气旋经过影响到的海冰密集度变化依赖于南极海冰的多寡,海冰密集度在达到一定高值后继续增加,会使受气旋影响的海冰密集度增加幅度减小.
秋季旱涝转折对于长江流域水库蓄水、发电、供水等有着显著影响.本文采用综合考虑旱涝转折强度和速度的多尺度标准化旱涝急转指数(MSDFAI),分析了长江流域秋季旱涝转折事件的时空变化特征,并从大气驱动的角度分析转折前后的天气形势转换过程.结果表明:1962-2022年长江流域秋季旱涝/涝旱转折事件高发区多位于金沙江中下游、雅砻江上游、岷江、嘉陵江、乌江、汉江石泉以上、鄱阳湖水系,其中以中度事件频数最多;以20世纪90年代中期为转折点,流域旱涝转折范围在此之前呈现减少趋势,之后转为增加,流域内极端旱涝转折事件强度同样先减弱后增强,涝旱转折事件则与之相反;模态分解显示,秋季第二模态主要表现为长江上游北部和汉江上游的一致性旱涝转折异常,在转折前期,我国南方大部由位势高度负异常控制,长江上游及汉江上游风场和水汽输送呈辐散型异常,垂向由干燥下沉气流控制,不利于降雨发生.在转折后一个月,长江中下游出现位势高度正异常,对应副高加强西伸,北方低压槽南伸,长江上游及汉江上游风场和水汽输送呈辐合型异常,垂向由上升气流控制,有利于强降雨发生,从而导致旱涝转折,涝旱转折则基本与之相反.
大气气溶胶中可溶性铁对海洋初级生产力、气候变化、大气二次污染和人体健康都具有重要影响.准确认知可溶性铁的来源,构建高精度可溶性铁的排放清单,是改进生物地球化学模式、模拟铁沉降量和海洋初级生产力、提升大气化学传输模式模拟二次气溶胶精度,以及揭示影响人体内可溶性铁的来源及其定量贡献的重要前提.本文总结分析了气溶胶中铁及可溶性铁的来源解析、气溶胶中铁的可溶性影响因素及作用机制,以及燃烧源排放气溶胶中铁的样品采集和测试方法研究进展,着重对燃烧源排放可溶性铁的清单构建方法和存在问题进行归纳总结,以期为精准评估铁的气候、环境和健康效应提供基础数据和理论支撑.
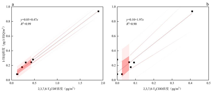
基于稀释通道采样系统开展室内模拟燃烧实验,采用同位素稀释高分辨气相色谱‒高分辨质谱法,分析了民用生物质和煤炭燃烧细颗粒物(PM2.5)中二噁英(PCDD/Fs)的排放特征并计算得到其排放因子.结合中国燃料消耗和人口密度数据,基于“自下而上”的方法构建了中国民用生物质和煤炭燃烧PM2.5中PCDD/Fs的排放清单.研究结果表明:(1)民用生物质和煤炭燃烧PM2.5中PCDD/Fs的质量浓度在0.181~4.700 pg/m3之间,国际毒性当量(I-TEQ)浓度范围为0.081~2.300 pg I-TEQ/m3,其中,2,3,7,8-四氯二苯并对二噁英(2,3,7,8-T4CDD)(P < 0.01,R2=0.90)这一单体同系物的质量浓度与总I-TEQ浓度存在强相关性,可作为民用生物质和煤炭燃烧PM2.5中PCDD/Fs毒性的良好指标.(2)民用生物质和煤炭燃烧PM2.5中PCDD/Fs的质量浓度排放因子分别为(1.82±0.97)ng/kg和(4.09±2.76)ng/kg;I-TEQ浓度排放因子分别为(0.40±0.21)ng I-TEQ/kg和(0.53±0.24)ng I-TEQ/kg.(3)2021年,民用生物质和煤炭燃烧PM2.5中PCDD/Fs的排放量为90.0 g I-TEQ,从空间上看,PCDD/Fs的高排放区主要集中在东北和华东地区,排放高值大于8 μg I-TEQ/km2.与前人研究相比,垃圾焚烧(22.56 g I-TEQ)和工业燃烧(208 g I-TEQ)PM2.5中PCDD/Fs的排放量分别是民用生物质和煤炭燃烧排放量的0.2倍和1.5倍.这表明,民用生物质和煤炭燃烧是PM2.5中PCDD/Fs排放不容忽视的重要来源.(4)民用生物质和煤炭燃烧PM2.5中PCDD/Fs排放导致的个人吸入的平均健康风险分别为(9.5±7.2)×10-5和(3.1±1.7)×10-5,分别是从事各类工业生产活动的职业工人((2.88±2.45)×10-5)的3.3倍和1.1倍.
挥发性有机物(VOCs)是臭氧(O3)和二次有机气溶胶(SOA)的重要前体物.然而,目前关于VOCs排放控制对SOA和O3缓解作用的研究仍然不足.本研究总结了四大排放源的精细化VOCs减排潜力,进一步利用WRF-Chem模型量化了中国主要大气污染区污染事件期间VOCs减排对SOA和O3缓解的效益.结果表明,通过精细化VOCs减排,华北、长三角、华中、珠三角和四川盆地的SOA浓度分别降低了89.2%、81.2%、74.5%、72.0%和77.3%.其中,工业VOCs减排是SOA缓解的主要贡献因素.然而,由于O3及其前体物的非线性光化学过程,这种VOCs减排只能使O3浓度降低不到10%.华北、长三角、华中、珠三角和四川盆地的O3浓度分别降低了7.55、9.05、7.29、4.31和3.15 μg/m3.减少工业、交通和居民VOCs排放分别使臭氧平均浓度降低了3.6%(3.48 μg/m3)、2.2%(2.07 μg/m3)和1.1%(0.98 μg/m3).
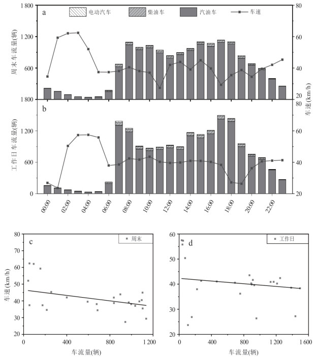
机动车大气污染物动态排放因子是制约实时排放清单精度提升的一个关键参数.本研究选取某城市隧道,结合在线设备和监控摄像头开展7种大气污染物浓度和车流量的实时监测,采用YOLOv8l深度学习目标检测模型和SORT目标跟踪算法,获取车辆类型和速度;采用排放强度比值,推算车队整体和分车型的大气污染物排放因子.CO、NO、NO2、NOx、SO2、BC和PM2.5的平均排放因子分别为(1 064.9±479.8)、(496.5±209.3)、(55.5±30.4)、(578.6±267.6)、(6.3±2.2)、(3.3±1.5)和(37.7±19.2)mg/(km·辆);车队整体排放因子分别为(634.7±477.2)、(266.0±142.9)、(26.4±13.5)、(302.3±159.5)、(3.5±1.9)、(2.0±1.10)和(19.8±12.3)g/km.隧道内周末的日车流量为工作日的88.6%,工作日除PM2.5外的污染物排放因子是周末的1.00~1.48倍. 在逐小时排放因子情境下,凌晨的柴油车流量占比是其余时间的1.6倍,各污染物的凌晨高值分别是其余时间平均值的2.0~3.5倍;车队排放呈现出早晚(7:00~9:00;17:00~19:00)双峰特征,为全天平均值的1.8~3.3倍.本研究可为区域高精度动态机动车排放清单构建和机动车排放污染物的精准管控提供基础数据和科学依据.
武汉城市圈的高时空分辨率大气细颗粒物(PM2.5)排放清单研究的暂时缺乏,制约着区域PM2.5污染的精确模拟和防控. 本研究采用排放因子法,融合高德地图兴趣点数据以及人口、路网和土地利用类型等代用指标,构建了2017-2023年该区域人为源排放PM2.5的高空间分辨率(1 km×1 km)排放清单,评估其不确定性,揭示其时空演变规律. 结果表明,武汉城市圈PM2.5排放总量在2018年达峰值(164.59 kt),2020年因疫情降至137.15 kt,2023年反弹至149.97 kt. 各源类排放PM2.5的不确定性为-31.7%~42.2%,化石燃料燃烧源(-13.2%~35.8%)和工艺过程源(-15.2%~34.3%)不确定性较高,扬尘源不确定性最低(-8.2%~15.4%). 工艺过程源和扬尘源为主要贡献源,占PM2.5总排放的46.5%~52.6%和26.7%~31.8%. 区域内PM2.5排放强度在城市中心区为600~800 t/km2,是郊区、农村区域排放强度的40~50倍. 本研究可为改进大气化学数值模拟精度提供可靠的高精度清单数据支撑.
为了提高深度学习方法对全球气候模式(GCMs)日降水的降尺度效果,以长江流域为研究对象,基于20种GCMs输出的日降水数据,构建了4种深度学习降尺度模型,并与日偏差校正方法(DBC)结合,提出一种混合降尺度方法(DL-DBC).4种深度学习方法对GCMs日降水的降尺度表现接近;与日偏差校正方法相比,其降尺度后的多年平均日降水的平均绝对相对误差(MARE)更低,但多年平均月降水和多年平均年降水的MARE略高,与深度学习方法相比,DL-DBC得到的多年平均年降水的MARE降低了6.7%~11.3%,多年平均月降水的MARE降低了6.3%~7.6%,且在降水量频率分析等方面同样表现更好.混合方法DL-DBC能提高深度学习模型对GCMs日降水数据的降尺度效果,进一步减小GCMs日尺度降水数据的偏差.
戈壁荒漠是沙尘跨境传输的重要策源区,其地表砾石覆盖度与近地表风压梯度的相互作用对沙尘释放机制具有重要影响.通过两相流风洞实验,模拟戈壁近地表风场特征,采用非线性回归模型及双因素分析揭示其调控机制.(1)风压增幅呈分层变化,风压梯度随高度上升呈线性或指数衰减;(2)砾石覆盖度显著调控风压梯度垂直分异;(3)来流风速直接控制风压梯度的强度大小,砾石覆盖度诱导能量吸收和动量传递.戈壁的地表异质性可有效影响风压梯度,近地表粗糙度与风场作用力存在动态博弈机制;地表砾石优先维持40%~50%覆盖度,可为优化沙尘释放模型及戈壁防风固沙措施提供理论依据.
南海北部雷琼海岸的珊瑚礁是研究古海平面变化的重要标志物.但因重建标准不统一,海平面重建结果存在显著时空差异性.本研究通过对海南岛东部珊瑚礁区27块现代滨珊瑚微环礁的顶面高程进行实地测量,精确量化其海平面指示意义;同时对该区域65个已发表的海平面标志点数据进行重新校正,重建了更可靠的海平面变化历史.研究表明,这些顶部死亡但整体存活的现代滨珊瑚已达到生长上限,其顶面高程位于清澜港平均潮位以下146.09 cm,最低低潮位(lowest low tide,LLT)以下15.09 cm,且生长上限高差仅±8.35 cm,呈现典型的滨珊瑚微环礁发育形态,证实其生长主要受最低低潮位控制,是理想的海平面标志物.海平面重建结果显示,在(6 143±34)cal a BP至(3 013±9)cal a BP期间,南海北部相对海平面呈波动下降趋势,变化范围为(25.0±9.8)cm至(136.09±9.80)cm.与周边地区海平面记录对比发现,中全新世高海平面的出现时间和高度存在差异,这可能与标志物的高程估算方法及测年技术差异有关.此外,将研究结果和GIA模型(ICE-6G_HetML14)预测结果对比显示,南海北部雷琼海岸3个地点的中晚全新世海平面数据均低于模型预测曲线,表明该区域过去几千年可能经历构造沉降过程.本研究结果为预测南海北部未来海平面变化趋势提供重要科学依据,也为区域构造演化研究提供新视角.
海洋沉积物的源‒汇过程是连接陆地风化、海洋动力系统和全球气候变化的关键纽带,对重建古环境演化具有重要意义.本文综述了陆源与火山物质向海洋的输送过程及其控制机制.陆源物质输运受岩性‒气候‒海平面‒洋流系统共同调控——源岩性质和气候条件通过控制风化作用决定沉积物的产量和理化性质,海平面变化主导沉积物的输送距离,洋流格局决定最终沉积分布.火山物质的输入则受火山活动强度、气候、水文及区域构造背景的多元控制.近年来,地球化学与矿物学示踪技术的发展提升了物源识别能力,但该领域仍面临从定性描述到定量解析的方法学挑战.未来研究需进一步发展多学科交叉方法,以深化对海洋沉积源‒汇系统演化规律的认识.
东亚大陆边缘位于太平洋板块和欧亚板块的汇聚碰撞边界,是全球构造、气候最活跃的地区,也是新生代以来的沉积“源‒汇”过程的重要载体,但不同纬度海盆沉积动力过程和关键控制因素仍不明确.本文计算并统计了高纬度(鄂霍次克海)、中纬度(日本海、东海)和低纬度(南海)代表性海盆的新生代沉积通量.结果表明东亚陆缘新生代沉积通量演化呈现显著的纬度分异特征:中‒低纬度海盆(南海、东海、日本海)受构造‒季风‒河流耦合控制,晚中新世(11.6~5.3 Ma)因青藏高原隆升引发河流重组及受东亚冬季风控制,沉积通量较中中新世时期减少了约1/3;上新世(5.3~0 Ma)夏季风增强及台湾岛隆升使其沉积通量较晚中新世增加2~3倍,日本海则主要受控于季风及局部构造.高纬度鄂霍次克海受构造‒冰川协同作用,中‒晚中新世(16.0~5.3 Ma)全球降温事件导致通量较早中新世减少了约60%,上新世(5.3~2.5 Ma)沉积通量因黑龙江(阿穆尔河)流域增大及萨哈林岛隆升而增加约2倍.
福建省地处华南陆缘高热流地热异常区,地热流体循环演化与成藏机制研究对区域地热资源科学利用具有重要意义.在系统梳理区域地热地质条件基础上,本文通过对地热流体的水化学和同位素分析,探讨了省域内不同类型地热系统的流体循环演化机制与地热驱动力差异,建立了分区地热成藏概念模型.结果表明,福建省水热型地热成因可分为闽西北隆起山地断裂深循环对流型、闽西南断陷盆地对流传导复合型、闽东‒闽西南断坳带断裂深循环对流型三种类型.区内地热资源成藏受控于区域构造与地壳热结构差异,政和‒大浦断裂以西武夷隆起带与闽东滨海陆缘带具有不同的热源机制,但水热通道形式相对统一.闽西武夷隆起带地热系统热源以幔源热为主,闽东火山坳陷带为“热壳冷幔”岩石圈热结构,壳内岩体放射性衰变生热对地热系统聚热贡献较高.区域张性‒张扭性NW向断裂构成地热系统的导水通道,压性为主的NE向断裂则构成热聚敛的阻水‒导热通道.由水热系统流体温度和盐度变化导致的闽西北、闽西南和闽东火山断坳带与滨海地区地热驱动力的标准水头分别为+218.75 m、+202.24~+250.60 m、+261.72 m和+308.32 m.闽西永梅坳陷带、闽东NW与NE向深大断裂交汇处、断陷盆地‒断陷海湾深入大陆段、福州与漳州等断陷盆地基底隆起带、永泰‒德化‒仙游等环状火山构造带与NE向深大断裂交汇处地热热储温度超过150 ℃,为福建省域内中高温地热资源成藏潜力区.
沿海地区地热系统易受到海水入侵,导致地热水的盐度升高,降低利用效率,增加利用成本.广东省作为我国重要的中低温地热资源分布区,其沿海地带地热系统的海水入侵情况及其影响作用等仍缺乏系统研究.基于粤西地区35个地热水、1个地下冷水和1个海水的理化数据,综合水化学、同位素及多种图解分析,探讨其水化学特征、海水入侵情况及形成演化.研究结果表明沿海地区地热水明显受到海水入侵影响,具有高盐度的特点,最高混合比例达到41.88%,从内陆到沿海地区,地热水的水化学类型由重碳酸盐型转变为氯化物型.地热水主要补给来源是大气降水,在晚更新世至全新世时期,云开山脉与天露山脉地区的大气降水下渗,与90~126 ℃的热储围岩接触而逐渐升温;而后海进运动使得地热水受到大规模古海水混入,热对流的“抽吸效应”还会加速海水运移,临海地区持续受到海水侵入,最终形成高盐度中低温地热水.
四川盆地筇竹寺组页岩的沉积受德阳-安岳裂陷槽构造-沉积分异控制,其岩相类型及分布与沉积环境密切相关.在前人对筇竹寺组研究的基础上,综合运用岩心观察、薄片鉴定和地球化学测试分析对裂陷槽中段筇竹寺组页岩进行岩相类型划分,并讨论了沉积环境控制下的优质页岩岩相类型及分布.结果表明:(1)裂陷槽内沉积环境具显著分异特征,槽内中心以生物成因高硅质沉积为主导,形成强还原环境双阈值边界,古生产力与水体滞留程度达峰值;槽缘则以陆源碎屑输入为主.平面上呈现“槽缘氧化-槽内缺氧”的递变模式,纵向上表现为“底部缺氧-中部贫氧-上部氧化”的沉积环境变化;(2)建立了“TOC-矿物组成-粒度特征”耦合岩相分类体系,划分出36种岩相类型,明确裂陷槽中段发育富有机质长英质页岩(H-F-S)、富有机质混合质粉砂质页岩(H-M-SS)等16种岩相类型,系统揭示了页岩非均质性特征,为深层页岩气甜点预测提供新思路;(3)优质岩相主要为富有机质长英质页岩(H-F-S)、富有机质混合质页岩(H-M-S)、富有机质长英质粉砂质页岩(H-F-SS)、富有机质黏土质粉砂质页岩(H-A-SS)和富有机质混合质粉砂质页岩(H-M-SS),集中分布于筇竹寺组1、3、5、7小层深水陆棚相,深水贫氧-缺氧环境促进有机质富集与保存,高含量长英质矿物提供了优质储集空间.研究成果可为四川盆地深层页岩气资源评价与开发提供关键地质依据.
晚古生代-中生代(二叠纪-白垩纪)是青藏特提斯造山系构造-古地理格局发生重大改组的关键时期.本文将青藏特提斯造山系划分为3个构造-地层大区,17个构造-地层区,通过详细分析各个构造-地层分区中的洋间地块以及与其紧密伴生的陆缘弧、弧前盆地、边缘海盆地、微陆块等的洋板块地层序列、沉积背景、地层接触及对比关系,特别是突出表达各条蛇绿混杂岩带在各个构造-地层分区中的时空分布,最终建立了青藏特提斯造山系晚古生代-中生代(二叠纪-白垩纪)洋板块地层格架.通过系统梳理青藏特提斯造山系蛇绿混杂岩带及与其相关的弧-盆系的时空分布特征,在此基础上探讨古特提斯洋(龙木错-双湖洋、昌宁-孟连洋等)、中特提斯洋(班公湖-怒江洋)和新特提斯洋(雅鲁藏布洋)的演化历史,进而揭示青藏特提斯造山系晚古生代-中生代构造-古地理格局演变过程.
为了解阿尔金造山带中-新元古代与罗迪尼亚(Rodinia)超大陆聚合与裂解相关的构造演化过程,对该地区塔昔达坂群(1 080~950 Ma)与索尔库里群(~930 Ma)进行了野外地质填图和构造解析,结果显示塔昔达坂群为一套低绿片岩相副变质岩,并经历了三期构造变形:第一期(D1)以透入性片理S1置换原生层理S0;第二期(D2)受NNE-SSW挤压形成近WNW-ESE向褶皱及褶劈理S2;第三期(D3)表现为SE-NW向挤压的逆冲断层及直立褶皱.索尔库里群不整合覆盖于塔昔达坂群之上,两者之间存在着沉积环境、构造变形的不连续性.结合两者的物质组成、变形期次以及研究区新元古代早期岩浆岩的时空分布及形成环境,提出阿尔金地区中元古代晚期-新元古代早期完成了从活动大陆边缘到后碰撞伸展的构造转换过程,为约束其与Rodinia超大陆裂解-碰撞过程及其古地理归属提供了关键证据.
为了对锚固体内部缺陷进行定量检测,提出利用有限元方法模拟超声导波在缺陷锚杆中的传播过程,采用改进的自适应噪声完备集合经验模态分解(ICEEMDAN)方法处理超声导波反射信号,并根据分解后的固有模态函数的峰值,获取缺陷反射波的到达时间,从而确定锚固缺陷的位置及长度.参数分析表明,基于所提出方法推断的缺陷位置与实际情况吻合较好,并且单个缺陷长度的计算误差为3.3%,多个缺陷长度的计算误差在10%以内.因此,基于ICEEMDAN的超声导波法可以作为锚杆内部缺陷检测的有效手段.
埃迪卡拉纪庙河生物群是“雪球地球”崩解后至寒武纪生命大爆发前夕复杂多细胞真核生命演化和辐射的重要实证之一.近年来人们在鄂西地区埃迪卡拉系报道了多个庙河生物群产地,并对其赋存层位(庙河段)的地层对比提出了不同认识.为更好地揭示庙河生物群在不同地区/相区的化石组合面貌,本文在神农架东部地区莲花剖面庙河生物群新化石产地进行了系统古生物学工作.共鉴定宏体化石11属12种,含有以往报道的庙河生物群的典型分子,其优势分子为Cucullus fraudulentus、Baculiphyca taeniata和Grypania spiralis.该宏体化石组合的发现,不仅扩大了庙河生物群的古地理分布范围,也为在不同沉积环境中认识埃迪卡拉纪宏体生物演化提供重要支撑.




登录
注册
高级检索
邮件订阅
RSS
摘要
HTML全文