2024年 49卷 第11期
显示方式:
2024, 49(11): 3855-3878.
doi: 10.3799/dqkx.2024.104
摘要:
鞍山‒本溪(鞍本)位于华北克拉通东北部,以发育条带状铁建造和存在3.8 Ga岩石而闻名.鞍本地区的重要性不仅是3.8 Ga岩石发现,还在于具有长期的太古宙地壳形成演化历史. 3.8 Ga岩石存在于鞍山地区古老杂岩中.迄今已发现6个杂岩.杂岩主要由奥长花岗质岩石组成,存在变质辉长‒闪长岩.它们具有类似的岩石组合和3.1~3.8 Ga锆石年龄记录,是同一巨型杂岩的不同残余部分.除古老杂岩外,鞍本地区重要的地质体还包括古太古代陈台沟表壳岩和新太古代晚期鞍山群、3.1~3.3 Ga陈台沟花岗岩、3.1 Ga立山奥长花岗岩、3.0 Ga东鞍山花岗岩、2.95~3.0 Ga铁架山‒弓长岭花岗岩和2.5 Ga齐大山花岗岩,后两者大规模分布.识别出2.5 Ga、3.1 Ga和3.3 Ga三期构造热事件.随时代更新,花岗质岩浆作用从奥长花岗岩向富钾花岗岩演化.岩石稀土总量和轻重稀土分异程度在3.3 Ga突然增大.奥长花岗质岩石主要来自低钾铁镁质岩石物源区,部分来自早期TTG岩石,富钾花岗岩来自TTG和沉积岩物源区.根据全岩Nd和锆石Hf同位素组成,地幔添加和壳内再循环在地质历史不同阶段都起了重要作用,随时代演化壳内再循环作用越来越重要,但新太古代晚期也是地幔添加的重要时期.研究表明,(1)3.3 Ga是鞍本地区陆壳形成演化的一个重要阶段,陆壳厚度和规模明显增大.(2)存在3.3 Ga到2.95 Ga长期壳源花岗质岩浆作用,并随时代而增强,岩石富钾程度增大.(3)鞍山群表壳岩直接沉积于 > 2.95 Ga古老陆壳基底之上,在古老基底形成和鞍山群沉积之间有长达~400 Ma的“寂静期”(2.55~2.95 Ga).(4)可把鞍本地区太古宙地壳形成演化划分为古老陆核形成(> 3.3 Ga)、古老陆块形成(2.95~3.3 Ga)、“寂静期”(2.55~2.95 Ga)和稳定化(2.5~2.55 Ga)等4个阶段.
鞍山‒本溪(鞍本)位于华北克拉通东北部,以发育条带状铁建造和存在3.8 Ga岩石而闻名.鞍本地区的重要性不仅是3.8 Ga岩石发现,还在于具有长期的太古宙地壳形成演化历史. 3.8 Ga岩石存在于鞍山地区古老杂岩中.迄今已发现6个杂岩.杂岩主要由奥长花岗质岩石组成,存在变质辉长‒闪长岩.它们具有类似的岩石组合和3.1~3.8 Ga锆石年龄记录,是同一巨型杂岩的不同残余部分.除古老杂岩外,鞍本地区重要的地质体还包括古太古代陈台沟表壳岩和新太古代晚期鞍山群、3.1~3.3 Ga陈台沟花岗岩、3.1 Ga立山奥长花岗岩、3.0 Ga东鞍山花岗岩、2.95~3.0 Ga铁架山‒弓长岭花岗岩和2.5 Ga齐大山花岗岩,后两者大规模分布.识别出2.5 Ga、3.1 Ga和3.3 Ga三期构造热事件.随时代更新,花岗质岩浆作用从奥长花岗岩向富钾花岗岩演化.岩石稀土总量和轻重稀土分异程度在3.3 Ga突然增大.奥长花岗质岩石主要来自低钾铁镁质岩石物源区,部分来自早期TTG岩石,富钾花岗岩来自TTG和沉积岩物源区.根据全岩Nd和锆石Hf同位素组成,地幔添加和壳内再循环在地质历史不同阶段都起了重要作用,随时代演化壳内再循环作用越来越重要,但新太古代晚期也是地幔添加的重要时期.研究表明,(1)3.3 Ga是鞍本地区陆壳形成演化的一个重要阶段,陆壳厚度和规模明显增大.(2)存在3.3 Ga到2.95 Ga长期壳源花岗质岩浆作用,并随时代而增强,岩石富钾程度增大.(3)鞍山群表壳岩直接沉积于 > 2.95 Ga古老陆壳基底之上,在古老基底形成和鞍山群沉积之间有长达~400 Ma的“寂静期”(2.55~2.95 Ga).(4)可把鞍本地区太古宙地壳形成演化划分为古老陆核形成(> 3.3 Ga)、古老陆块形成(2.95~3.3 Ga)、“寂静期”(2.55~2.95 Ga)和稳定化(2.5~2.55 Ga)等4个阶段.
2024, 49(11): 3879-3889.
doi: 10.3799/dqkx.2024.101
摘要:
地球形成最早10亿年的岩石记录稀缺,严重阻碍了地质学家对地球早期地壳起源的认识.短寿命放射性衰变的146Sm-142Nd同位素体系,由于其较短的半衰期(103 Ma),可以示踪地球早期的不相容元素分异过程,是制约早期地壳起源机制的重要手段.当前已有地球化学证据显示早期地球可能有多次地幔不相容元素亏损事件,而导致早期地球地幔亏损的原因很可能是冥古宙大规模原始地壳的形成.大规模的冥古宙原始地壳不仅是地球上多数现存最古老的始太古代岩浆岩的前身,也为新太古代大陆的形成提供了重要的物质来源.首先简述146Sm-142Nd体系定年和示踪的基本原理,并介绍142Nd同位素异常的分析方法.在此基础上,系统总结了全球有始太古代岩石出露的地块的142Nd同位素异常特征,探讨早期地球地壳的起源模式.
地球形成最早10亿年的岩石记录稀缺,严重阻碍了地质学家对地球早期地壳起源的认识.短寿命放射性衰变的146Sm-142Nd同位素体系,由于其较短的半衰期(103 Ma),可以示踪地球早期的不相容元素分异过程,是制约早期地壳起源机制的重要手段.当前已有地球化学证据显示早期地球可能有多次地幔不相容元素亏损事件,而导致早期地球地幔亏损的原因很可能是冥古宙大规模原始地壳的形成.大规模的冥古宙原始地壳不仅是地球上多数现存最古老的始太古代岩浆岩的前身,也为新太古代大陆的形成提供了重要的物质来源.首先简述146Sm-142Nd体系定年和示踪的基本原理,并介绍142Nd同位素异常的分析方法.在此基础上,系统总结了全球有始太古代岩石出露的地块的142Nd同位素异常特征,探讨早期地球地壳的起源模式.
2024, 49(11): 3890-3903.
doi: 10.3799/dqkx.2024.097
摘要:
综述了十余年来激光剥蚀等离子体质谱(LA-MC-ICP-MS)和二次离子质谱(SIMS)测定硫化物硫同位素的新进展,着重介绍了质谱干扰和同位素质量分馏效应的关键技术难点和校正方案.LA-MC-ICP-MS和SIMS都可实现黄铁矿、黄铜矿、闪锌矿、方铅矿、磁黄铁矿、镍黄铁矿、辉钼矿的微区δ34S准确测定,测试准确度和传统的整体分析测试技术相当,测试精密度(重现性)在0.17‰~0.45‰.目前硫化物硫同位素标准物质主要是黄铁矿、黄铜矿、磁黄铁矿、闪锌矿等矿物,缺乏其他硫化物类型的标准物质.改进仪器设备硬件或关键部件,系统深入调查仪器中的同位素质量分馏和基体效应,开发新的高质量硫化物硫同位素标准物质将是未来微区原位硫化物硫同位素测试主要发展方向.
综述了十余年来激光剥蚀等离子体质谱(LA-MC-ICP-MS)和二次离子质谱(SIMS)测定硫化物硫同位素的新进展,着重介绍了质谱干扰和同位素质量分馏效应的关键技术难点和校正方案.LA-MC-ICP-MS和SIMS都可实现黄铁矿、黄铜矿、闪锌矿、方铅矿、磁黄铁矿、镍黄铁矿、辉钼矿的微区δ34S准确测定,测试准确度和传统的整体分析测试技术相当,测试精密度(重现性)在0.17‰~0.45‰.目前硫化物硫同位素标准物质主要是黄铁矿、黄铜矿、磁黄铁矿、闪锌矿等矿物,缺乏其他硫化物类型的标准物质.改进仪器设备硬件或关键部件,系统深入调查仪器中的同位素质量分馏和基体效应,开发新的高质量硫化物硫同位素标准物质将是未来微区原位硫化物硫同位素测试主要发展方向.
2024, 49(11): 3904-3916.
doi: 10.3799/dqkx.2023.136
摘要:
稀土元素二价离子(REE2+)干扰校正是激光原位Sr同位素分析的难点.本研究将一种改进的MC-ICP-MS法拉第杯结构(能同步接收REE2+)与常规的干扰信号扣除法(RPSM)相结合,创新性实现了REE2+干扰的准确校正.系统评估了改进的法拉第杯结构(IFCC)对REE2+信号同步性以及比值(r:166,168,170Er2+/167Er2+和170,172,174,176Yb2+/173Yb2+)的影响.在IFCC上没有观察到REE2+信号之间的脱耦现象,表明IFCC适合与RPSM结合用于REE2+干扰校正;REE2+信号比值(r)与Er和Yb的天然同位素丰度比值(R:166,168,170Er/167Er和170,172,174,176Yb/173Yb)近似相等(r/R≈1),指示在一定条件下可以使用R和测量的167Er2+和173Yb2+信号准确计算出166,168,170Er2+和170,172,174,176Yb2+信号强度,进而实现REE2+干扰校正.加标溶液的Sr同位素SN-MC-ICP-MS分析结果表明,与IFCC结合,常规的干扰信号扣除法(RPSM,使用R做干扰校正系数)可有效校正Sr/Er≥3样品中的REE2+干扰,而增强的干扰信号扣除法(EPSM,使用测量的REE2+信号比值做干扰校正系数)可有效校正Sr/Er≥1样品中的REE2+干扰.应用IFCC,使用LA-MC-ICP-MS对两个富稀土元素磷灰石标准物质Durango(Sr/Er=7.4)和UWA-1(Sr/Er=2.8)进行了Sr同位素组成分析,87Sr/86Sr的测定值分别为0.706 27±0.000 14(2SD,n=19)和0.704 76±0.000 19(2SD,n=20),与报道的TIMS或MC-ICP-MS测定值在误差范围内一致,证实了该方法的可靠性.
稀土元素二价离子(REE2+)干扰校正是激光原位Sr同位素分析的难点.本研究将一种改进的MC-ICP-MS法拉第杯结构(能同步接收REE2+)与常规的干扰信号扣除法(RPSM)相结合,创新性实现了REE2+干扰的准确校正.系统评估了改进的法拉第杯结构(IFCC)对REE2+信号同步性以及比值(r:166,168,170Er2+/167Er2+和170,172,174,176Yb2+/173Yb2+)的影响.在IFCC上没有观察到REE2+信号之间的脱耦现象,表明IFCC适合与RPSM结合用于REE2+干扰校正;REE2+信号比值(r)与Er和Yb的天然同位素丰度比值(R:166,168,170Er/167Er和170,172,174,176Yb/173Yb)近似相等(r/R≈1),指示在一定条件下可以使用R和测量的167Er2+和173Yb2+信号准确计算出166,168,170Er2+和170,172,174,176Yb2+信号强度,进而实现REE2+干扰校正.加标溶液的Sr同位素SN-MC-ICP-MS分析结果表明,与IFCC结合,常规的干扰信号扣除法(RPSM,使用R做干扰校正系数)可有效校正Sr/Er≥3样品中的REE2+干扰,而增强的干扰信号扣除法(EPSM,使用测量的REE2+信号比值做干扰校正系数)可有效校正Sr/Er≥1样品中的REE2+干扰.应用IFCC,使用LA-MC-ICP-MS对两个富稀土元素磷灰石标准物质Durango(Sr/Er=7.4)和UWA-1(Sr/Er=2.8)进行了Sr同位素组成分析,87Sr/86Sr的测定值分别为0.706 27±0.000 14(2SD,n=19)和0.704 76±0.000 19(2SD,n=20),与报道的TIMS或MC-ICP-MS测定值在误差范围内一致,证实了该方法的可靠性.
2024, 49(11): 3917-3929.
doi: 10.3799/dqkx.2024.121
摘要:
高砷地下水造成的砷中毒对人体健康产生巨大威胁,砷甲基化过程可将毒性更高的无机砷转化为毒性低的甲基砷,在一定程度上可以降低砷的环境风险从而减轻对人体的毒害,有望成为调控地下水砷污染问题的有效途径.然而目前高砷地下水的研究主要侧重于无机砷的迁移转化,对于甲基砷富集的关键过程与控制因素研究还十分有限.本研究选取江汉平原长江与汉江沿岸的浅层地下水开展无机碳同位素示踪与溶解性有机质三维荧光光谱分析,解析江汉平原地下水中控制甲基砷富集的有机质降解途径,识别关键生物地球化学过程.研究发现江汉平原的甲基砷浓度范围为 < 0.01~444 μg/L(平均值为30 μg/L),长江沿岸和汉江沿岸地下水甲基砷的富集主控过程有明显差异:长江沿岸地下水中,以高分子量芳香族有机化合物降解驱动的产甲烷过程为主导,促进砷的生物甲基化过程;此外,伴随有机质发酵的硫酸盐还原过程也可导致地下水中甲基砷的富集.汉江沿岸地下水中,以小分子活性有机质发酵过程为主导,促进了砷生物甲基化过程.
高砷地下水造成的砷中毒对人体健康产生巨大威胁,砷甲基化过程可将毒性更高的无机砷转化为毒性低的甲基砷,在一定程度上可以降低砷的环境风险从而减轻对人体的毒害,有望成为调控地下水砷污染问题的有效途径.然而目前高砷地下水的研究主要侧重于无机砷的迁移转化,对于甲基砷富集的关键过程与控制因素研究还十分有限.本研究选取江汉平原长江与汉江沿岸的浅层地下水开展无机碳同位素示踪与溶解性有机质三维荧光光谱分析,解析江汉平原地下水中控制甲基砷富集的有机质降解途径,识别关键生物地球化学过程.研究发现江汉平原的甲基砷浓度范围为 < 0.01~444 μg/L(平均值为30 μg/L),长江沿岸和汉江沿岸地下水甲基砷的富集主控过程有明显差异:长江沿岸地下水中,以高分子量芳香族有机化合物降解驱动的产甲烷过程为主导,促进砷的生物甲基化过程;此外,伴随有机质发酵的硫酸盐还原过程也可导致地下水中甲基砷的富集.汉江沿岸地下水中,以小分子活性有机质发酵过程为主导,促进了砷生物甲基化过程.
2024, 49(11): 3930-3945.
doi: 10.3799/dqkx.2024.100
摘要:
碰撞后富钾岩浆通常被认为是造山带岩石圈地幔中俯冲沉积物再循环的证据,钾同位素则是示踪再循环俯冲沉积物的良好指示剂.以三江地区煌斑岩为例,在主微量元素和常规同位素的基础上,开展了钾同位素研究,以探究三江地区岩石圈地幔源区特征.本研究发现剑川、北衙、盐源和姚安4个地区的煌斑岩样品均能代表地幔源区特征,与风化蚀变、分离结晶、地壳混染和动力学分馏过程无关,样品总体呈现较正常地幔偏轻的钾同位素特征((-0.61±0.02)‰~(-0.31±0.01)‰),表明可能与俯冲沉积物交代有关,而与通常富集重钾同位素的流体无关.进一步通过蒙特卡洛模型端元混合模拟计算表明,4个地区表现出不同程度的俯冲沉积物混入,且姚安地区的沉积物比例可达到10%.这一结论进一步证实了钾同位素作为一种敏感的示踪剂,能够有效示踪地幔中再循环的俯冲沉积物组分.
碰撞后富钾岩浆通常被认为是造山带岩石圈地幔中俯冲沉积物再循环的证据,钾同位素则是示踪再循环俯冲沉积物的良好指示剂.以三江地区煌斑岩为例,在主微量元素和常规同位素的基础上,开展了钾同位素研究,以探究三江地区岩石圈地幔源区特征.本研究发现剑川、北衙、盐源和姚安4个地区的煌斑岩样品均能代表地幔源区特征,与风化蚀变、分离结晶、地壳混染和动力学分馏过程无关,样品总体呈现较正常地幔偏轻的钾同位素特征((-0.61±0.02)‰~(-0.31±0.01)‰),表明可能与俯冲沉积物交代有关,而与通常富集重钾同位素的流体无关.进一步通过蒙特卡洛模型端元混合模拟计算表明,4个地区表现出不同程度的俯冲沉积物混入,且姚安地区的沉积物比例可达到10%.这一结论进一步证实了钾同位素作为一种敏感的示踪剂,能够有效示踪地幔中再循环的俯冲沉积物组分.
2024, 49(11): 3946-3959.
doi: 10.3799/dqkx.2024.093
摘要:
为研究地表水-地下水相互作用如何影响湿地-地下水系统中氮的赋存形态与来源,以洪湖湿地为研究区,基于地下水流场、水化学和稳定同位素手段,对湿地-地下水系统中氮的赋存形态、来源与转化过程进行分析.结果表明,硝态氮(NO3-)和铵态氮(NH4+)分别是洪湖湿地地表水和地下水中氮的主要赋存形态.地表水中的NO3-主要来自外部河渠输入,地下水中的NH4+可能来自有机质降解与自养硝酸盐异化还原为铵(DNRA),后者为主要来源.富营养化湖水-地下水相互作用可向地下水输入NO3-,并在DNRA作用下形成局部高NH4+地下水,湿地地表水-地下水相互作用是影响地下水质的重要驱动力.
为研究地表水-地下水相互作用如何影响湿地-地下水系统中氮的赋存形态与来源,以洪湖湿地为研究区,基于地下水流场、水化学和稳定同位素手段,对湿地-地下水系统中氮的赋存形态、来源与转化过程进行分析.结果表明,硝态氮(NO3-)和铵态氮(NH4+)分别是洪湖湿地地表水和地下水中氮的主要赋存形态.地表水中的NO3-主要来自外部河渠输入,地下水中的NH4+可能来自有机质降解与自养硝酸盐异化还原为铵(DNRA),后者为主要来源.富营养化湖水-地下水相互作用可向地下水输入NO3-,并在DNRA作用下形成局部高NH4+地下水,湿地地表水-地下水相互作用是影响地下水质的重要驱动力.
2024, 49(11): 3960-3970.
doi: 10.3799/dqkx.2023.040
摘要:
始太古代岩石因其稀缺性,对于理解最早期陆壳形成和演化具有重要意义.报道了大别造山带北大别构造带内新识别出的一套英云闪长片麻岩和斜长角闪片麻岩组合的锆石年龄,并将其命名为“木子店片麻杂岩”.定年结果显示,斜长角闪片岩和英云闪长片麻岩的锆石年龄分别为(3 653±43)Ma和(3 701±29)Ma,为目前扬子克拉通已发现的最古老岩石,说明扬子克拉通之下可能存在极为古老的基底岩石.与崆岭杂岩基底岩石的对比研究显示,木子店片麻杂岩在岩石类型以及时代上与崆岭杂岩均存在明显差异,说明崆岭杂岩和木子店片麻杂岩可能代表了扬子克拉通内相互独立的微陆块古陆核.
始太古代岩石因其稀缺性,对于理解最早期陆壳形成和演化具有重要意义.报道了大别造山带北大别构造带内新识别出的一套英云闪长片麻岩和斜长角闪片麻岩组合的锆石年龄,并将其命名为“木子店片麻杂岩”.定年结果显示,斜长角闪片岩和英云闪长片麻岩的锆石年龄分别为(3 653±43)Ma和(3 701±29)Ma,为目前扬子克拉通已发现的最古老岩石,说明扬子克拉通之下可能存在极为古老的基底岩石.与崆岭杂岩基底岩石的对比研究显示,木子店片麻杂岩在岩石类型以及时代上与崆岭杂岩均存在明显差异,说明崆岭杂岩和木子店片麻杂岩可能代表了扬子克拉通内相互独立的微陆块古陆核.
2024, 49(11): 3971-3994.
doi: 10.3799/dqkx.2024.116
摘要:
尼日利亚中部纳萨拉瓦地区是典型的含锂铌钽稀有金属伟晶岩脉发育的地区.卡马花岗伟晶岩型稀有金属矿床位于尼日利亚锂铌钽锡多金属成矿带的中部,是新发现的以锂为主,伴生铌钽矿的大型矿床,为限定其成矿年龄,探讨其矿化过程的来源及演化,对含矿伟晶岩脉开展了岩石学、矿物学、锆石及锡石U-Pb年代学、锆石微量元素和Lu-Hf同位素等研究.锆石和锡石的U-Pb年代测定结果表明,锆石U-Pb定年为(577.3±2.5)Ma(n=18,MSWD=6.4),锡石U-Pb定年为(582.6±8.6)Ma(n=25,MSWD=0.72),推断马锂矿床伟晶岩形成于577~583 Ma,矿床成矿作用主要发生在新元古代晚期.微量地球化学研究表明,研究区伟晶岩在俯冲-碰撞作用中形成,其岩浆源区主要为变质沉积岩,起源自陆壳.岩浆演化过程可能经历了斜长石、磷灰石、锆石等矿物的分离结晶作用.岩浆的强烈分离结晶演化作用导致岩石具有高分异演化特征.伟晶岩的锆石、锡石和铌钽铁矿Hf同位素组成表明,锆石的εHf(t)值在-20.6和-19.0之间,TDM2值为2.7 Ga;锡石的εHf(t)值在-17.7和-14.9之间,TDM2值在2.4 Ga和2.6 Ga之间变化.铌钽铁矿的εHf(t)值在-15.9和-7.4之间,TDM2值在2.0 Ga和2.4 Ga之间变化,表明伟晶岩的母体熔体主要起源于新太古代-古元古代基底岩的重熔作用.尼日利亚稀有金属伟晶岩矿床成矿与冈瓦纳造山运动关系密切,与冈瓦纳形成造山运动的碰撞后伸展期相对应.
尼日利亚中部纳萨拉瓦地区是典型的含锂铌钽稀有金属伟晶岩脉发育的地区.卡马花岗伟晶岩型稀有金属矿床位于尼日利亚锂铌钽锡多金属成矿带的中部,是新发现的以锂为主,伴生铌钽矿的大型矿床,为限定其成矿年龄,探讨其矿化过程的来源及演化,对含矿伟晶岩脉开展了岩石学、矿物学、锆石及锡石U-Pb年代学、锆石微量元素和Lu-Hf同位素等研究.锆石和锡石的U-Pb年代测定结果表明,锆石U-Pb定年为(577.3±2.5)Ma(n=18,MSWD=6.4),锡石U-Pb定年为(582.6±8.6)Ma(n=25,MSWD=0.72),推断马锂矿床伟晶岩形成于577~583 Ma,矿床成矿作用主要发生在新元古代晚期.微量地球化学研究表明,研究区伟晶岩在俯冲-碰撞作用中形成,其岩浆源区主要为变质沉积岩,起源自陆壳.岩浆演化过程可能经历了斜长石、磷灰石、锆石等矿物的分离结晶作用.岩浆的强烈分离结晶演化作用导致岩石具有高分异演化特征.伟晶岩的锆石、锡石和铌钽铁矿Hf同位素组成表明,锆石的εHf(t)值在-20.6和-19.0之间,TDM2值为2.7 Ga;锡石的εHf(t)值在-17.7和-14.9之间,TDM2值在2.4 Ga和2.6 Ga之间变化.铌钽铁矿的εHf(t)值在-15.9和-7.4之间,TDM2值在2.0 Ga和2.4 Ga之间变化,表明伟晶岩的母体熔体主要起源于新太古代-古元古代基底岩的重熔作用.尼日利亚稀有金属伟晶岩矿床成矿与冈瓦纳造山运动关系密切,与冈瓦纳形成造山运动的碰撞后伸展期相对应.
2024, 49(11): 3995-4007.
doi: 10.3799/dqkx.2024.061
摘要:
磷通量的波动对出入湖河流生态系统的稳定有直接影响.在水质波动显著的洞庭湖区,使用SWAT模型模拟该区域的出入湖磷通量,并分析各水系区间的磷滞留情况.基于水文物理过程搭建耦合模型,再利用SWAT模型的模拟结果进行训练,并利用该模型对湖区近期水质进行情景预测.结果表明:洞庭湖区出入湖磷通量均呈明显的季节变化,其中无机磷是主要的磷形态.2012—2021年洞庭湖区平均TP入湖通量为2.94×104 t/a,平均出湖TP通量为3.34×104 t/a,平均出湖TP浓度为0.13 mg/L.其中,三口区间作为入湖磷通量贡献最大的区间,其TP输出浓度也最高,是污染治理的关键区域.洞庭湖区TP滞留率较低,使其成为长江下游重要的TP来源.耦合模型对于洞庭湖区的出入磷通量的输出过程模拟效果良好,NSE值均 > 0.8,在RPE值处于10%水平下的RMSE值均较低,实现了LSTM网络替代大型分布式物理模型的仿真建模.基于上述模型根据《洞庭湖水环境综合治理规划》对洞庭湖近期TP输出浓度进行了预测,在各区间入湖TP浓度控制在0.1 mg/L的情景下,能够实现湖区水环境规划目标.
磷通量的波动对出入湖河流生态系统的稳定有直接影响.在水质波动显著的洞庭湖区,使用SWAT模型模拟该区域的出入湖磷通量,并分析各水系区间的磷滞留情况.基于水文物理过程搭建耦合模型,再利用SWAT模型的模拟结果进行训练,并利用该模型对湖区近期水质进行情景预测.结果表明:洞庭湖区出入湖磷通量均呈明显的季节变化,其中无机磷是主要的磷形态.2012—2021年洞庭湖区平均TP入湖通量为2.94×104 t/a,平均出湖TP通量为3.34×104 t/a,平均出湖TP浓度为0.13 mg/L.其中,三口区间作为入湖磷通量贡献最大的区间,其TP输出浓度也最高,是污染治理的关键区域.洞庭湖区TP滞留率较低,使其成为长江下游重要的TP来源.耦合模型对于洞庭湖区的出入磷通量的输出过程模拟效果良好,NSE值均 > 0.8,在RPE值处于10%水平下的RMSE值均较低,实现了LSTM网络替代大型分布式物理模型的仿真建模.基于上述模型根据《洞庭湖水环境综合治理规划》对洞庭湖近期TP输出浓度进行了预测,在各区间入湖TP浓度控制在0.1 mg/L的情景下,能够实现湖区水环境规划目标.
2024, 49(11): 4008-4021.
doi: 10.3799/dqkx.2023.152
摘要:
地下水是新疆东部平原区主要的、甚至唯一的饮用水源,地下水中无机组分的污染情况及其对人体健康的负面影响尚不明晰.对该区域183组地下水样品中常见无机组分浓度进行测定,运用GIS技术揭示污染物空间分布特征,以正定矩阵分解模型(PMF)进行源解析,基于USEPA健康风险评价模型的蒙特卡洛模拟(MCS)和PMF耦合量化潜在来源的健康风险.新疆东部平原区地下水水质主要受SO42‒和Cl‒的影响,分别有30.60%和17.49%的地下水超过国家生活饮用水标准限值(250 mg·L‒1),高值点集中位于巴里坤县三塘湖镇、高昌区东南部和鄯善县东部.PMF解析出溶滤‒蒸发浓缩作用、含水层岩性、农业活动、生物地球化学作用、氧化还原环境和地质环境背景6个地下水无机组分的潜在来源,贡献率分别为82.43%、7.64%、6.87%、1.96%、0.80%和0.30%.健康风险评价结果表明:Cl‒是危害人体健康的主要无机污染物,成人和儿童的非致癌风险可忽略不计,溶滤‒蒸发浓缩作用对区内成人和儿童非致癌风险的贡献率均 > 95.00%,考虑饮用水安全,应选择Cl‒地下水高值区为主要污染管理区.
地下水是新疆东部平原区主要的、甚至唯一的饮用水源,地下水中无机组分的污染情况及其对人体健康的负面影响尚不明晰.对该区域183组地下水样品中常见无机组分浓度进行测定,运用GIS技术揭示污染物空间分布特征,以正定矩阵分解模型(PMF)进行源解析,基于USEPA健康风险评价模型的蒙特卡洛模拟(MCS)和PMF耦合量化潜在来源的健康风险.新疆东部平原区地下水水质主要受SO42‒和Cl‒的影响,分别有30.60%和17.49%的地下水超过国家生活饮用水标准限值(250 mg·L‒1),高值点集中位于巴里坤县三塘湖镇、高昌区东南部和鄯善县东部.PMF解析出溶滤‒蒸发浓缩作用、含水层岩性、农业活动、生物地球化学作用、氧化还原环境和地质环境背景6个地下水无机组分的潜在来源,贡献率分别为82.43%、7.64%、6.87%、1.96%、0.80%和0.30%.健康风险评价结果表明:Cl‒是危害人体健康的主要无机污染物,成人和儿童的非致癌风险可忽略不计,溶滤‒蒸发浓缩作用对区内成人和儿童非致癌风险的贡献率均 > 95.00%,考虑饮用水安全,应选择Cl‒地下水高值区为主要污染管理区.
2024, 49(11): 4022-4034.
doi: 10.3799/dqkx.2023.172
摘要:
辉锑矿(Sb2S3)的溶解是水环境中锑的重要来源,水中溶解态锑的毒性、迁移性及生物可利用性与其形态密切相关,但当前学界对辉锑矿溶解产物中锑的形态分布的认识并不一致,对于其中锑的特殊形态——硫代锑酸盐的认识的争议尤为突出.鉴于此,我们在不同水环境条件下系统研究了辉锑矿的溶解过程及其对硫代锑酸盐形成的影响,以期为准确评价辉锑矿溶解的环境效应提供依据.结果表明:单一辉锑矿在酸性‒弱碱性条件下的溶解不能形成硫代锑酸盐,在碱性条件下则可形成三硫代锑酸盐和四硫代锑酸盐;在反应系统中总锑含量与天然水中总锑含量相当的情况下,辉锑矿的溶解不可能形成硫代锑酸盐的多聚物.此外,不同类型还原态硫或适量雌黄的共存以及水中离子强度的增加均可促进硫代锑酸盐的形成,过量的雌黄则会抑制其形成.水中S(-Ⅱ)/Sb摩尔比是控制硫代锑酸盐形成的重要因素.在考察天然水环境中辉锑矿淋滤的环境影响以及淋滤过程中硫代锑酸盐的形成潜力时,S(-Ⅱ)/Sb摩尔比是应重点参考的关键指标.
辉锑矿(Sb2S3)的溶解是水环境中锑的重要来源,水中溶解态锑的毒性、迁移性及生物可利用性与其形态密切相关,但当前学界对辉锑矿溶解产物中锑的形态分布的认识并不一致,对于其中锑的特殊形态——硫代锑酸盐的认识的争议尤为突出.鉴于此,我们在不同水环境条件下系统研究了辉锑矿的溶解过程及其对硫代锑酸盐形成的影响,以期为准确评价辉锑矿溶解的环境效应提供依据.结果表明:单一辉锑矿在酸性‒弱碱性条件下的溶解不能形成硫代锑酸盐,在碱性条件下则可形成三硫代锑酸盐和四硫代锑酸盐;在反应系统中总锑含量与天然水中总锑含量相当的情况下,辉锑矿的溶解不可能形成硫代锑酸盐的多聚物.此外,不同类型还原态硫或适量雌黄的共存以及水中离子强度的增加均可促进硫代锑酸盐的形成,过量的雌黄则会抑制其形成.水中S(-Ⅱ)/Sb摩尔比是控制硫代锑酸盐形成的重要因素.在考察天然水环境中辉锑矿淋滤的环境影响以及淋滤过程中硫代锑酸盐的形成潜力时,S(-Ⅱ)/Sb摩尔比是应重点参考的关键指标.
2024, 49(11): 4035-4046.
doi: 10.3799/dqkx.2022.431
摘要:
湖南省沅水下游分布着众多以水神庙为代表的古建筑.在古代,作为水神信仰的水神庙依水而建,以祈求水上交通安全、指引航道为主.解读古建筑的古水文价值,探讨沅水流域历史时期旱涝特征,为研究区域气候变化提供参考.由于水神庙等古建筑依水而建的特殊性,所以它的遗址标记了古代沅水的岸线;另一方面,古建筑的建造基座高于当年水位高度.用古建筑的位置和基座高程等数据重建历史上沅水下游河道变迁和旱涝特征.水神庙为代表的古建筑集中于沅水下游流域平原区和丘陵与平原过渡带,与历史时期河道变迁和旱涝特征等古水文环境有较好的对应性.镇龙阁水神庙实证了当地水域为古河道;武陵区石柜指示了在五代十国时期为极度干旱期,康熙年间为洪水期,通过计算得出古建筑40 m为干湿气候平均值,高于40 m为洪水泛滥期,即气候温暖期,低于40 m则为干旱期,即气候寒冷期,为古气候研究提供重要价值.
湖南省沅水下游分布着众多以水神庙为代表的古建筑.在古代,作为水神信仰的水神庙依水而建,以祈求水上交通安全、指引航道为主.解读古建筑的古水文价值,探讨沅水流域历史时期旱涝特征,为研究区域气候变化提供参考.由于水神庙等古建筑依水而建的特殊性,所以它的遗址标记了古代沅水的岸线;另一方面,古建筑的建造基座高于当年水位高度.用古建筑的位置和基座高程等数据重建历史上沅水下游河道变迁和旱涝特征.水神庙为代表的古建筑集中于沅水下游流域平原区和丘陵与平原过渡带,与历史时期河道变迁和旱涝特征等古水文环境有较好的对应性.镇龙阁水神庙实证了当地水域为古河道;武陵区石柜指示了在五代十国时期为极度干旱期,康熙年间为洪水期,通过计算得出古建筑40 m为干湿气候平均值,高于40 m为洪水泛滥期,即气候温暖期,低于40 m则为干旱期,即气候寒冷期,为古气候研究提供重要价值.
2024, 49(11): 4047-4062.
doi: 10.3799/dqkx.2024.083
摘要:
全球气候变暖导致了喜马拉雅高海拔山区的环境变化,冰湖溃决频繁发生,给下游人民和设施造成了巨大的损失.为了解喜马拉雅高海拔山区冰湖溃决时空分异特征,利用地貌分析、时序分析和气候扰动分析方法,分析了喜马拉雅高海拔山区冰川冰湖变化及环境特征,阐明了喜马拉雅高海拔山区冰湖溃决时空格局和演化规律.结果表明:(1)1980‒2014年间喜马拉雅高海拔山区气温和降水均显著增加,且增加速率北坡大于南坡.受地形与气候条件控制,喜马拉雅山北坡冰川损失更为严重;西喜马拉雅比东、中喜马拉雅冰川损失更为严重.冰湖集中分布在中喜马拉雅地区,而喜马拉雅山南坡分布冰湖相对于北坡更多.1990‒2015年间南坡冰湖数量与面积增幅均大于北坡,新增冰湖海拔高于消失冰湖.(2)20世纪以来,喜马拉雅及周边高海拔山区113个冰湖发生了249次溃决;溃决冰湖集中分布在河流陡河段或极陡河段;气候变暖导致区域冰湖溃决数量呈现非线性增加趋势,1901‒2020年间冰湖溃决存在断点1966+37/‒31年,冰湖溃决对升温速率存在20年尺度的滞后效应.研究结果可为应对气候变化下防灾减灾和跨境灾害风险防控提供科学依据.
全球气候变暖导致了喜马拉雅高海拔山区的环境变化,冰湖溃决频繁发生,给下游人民和设施造成了巨大的损失.为了解喜马拉雅高海拔山区冰湖溃决时空分异特征,利用地貌分析、时序分析和气候扰动分析方法,分析了喜马拉雅高海拔山区冰川冰湖变化及环境特征,阐明了喜马拉雅高海拔山区冰湖溃决时空格局和演化规律.结果表明:(1)1980‒2014年间喜马拉雅高海拔山区气温和降水均显著增加,且增加速率北坡大于南坡.受地形与气候条件控制,喜马拉雅山北坡冰川损失更为严重;西喜马拉雅比东、中喜马拉雅冰川损失更为严重.冰湖集中分布在中喜马拉雅地区,而喜马拉雅山南坡分布冰湖相对于北坡更多.1990‒2015年间南坡冰湖数量与面积增幅均大于北坡,新增冰湖海拔高于消失冰湖.(2)20世纪以来,喜马拉雅及周边高海拔山区113个冰湖发生了249次溃决;溃决冰湖集中分布在河流陡河段或极陡河段;气候变暖导致区域冰湖溃决数量呈现非线性增加趋势,1901‒2020年间冰湖溃决存在断点1966+37/‒31年,冰湖溃决对升温速率存在20年尺度的滞后效应.研究结果可为应对气候变化下防灾减灾和跨境灾害风险防控提供科学依据.
2024, 49(11): 4063-4081.
doi: 10.3799/dqkx.2024.075
摘要:
随着气候临界点的迫近,多年冻土两层分层体系的局限性日益凸显,因此有必要单独考虑多年冻土上部即过渡带的特殊性质.通过系统梳理已有研究发现:(1)过渡带是多年冻土区内成冰和过剩冰的主要分布带,广泛分布于粉黏土中及部分细粒多孔且冻结敏感性强的风化基岩地带,地下冰多为分凝冰、脉冰和大块冰,冷生构造主要为透镜状、层状、网状和斑杂状等,其变化与热融沉陷和斜坡地带热融滑塌、融冻泥流和活动层滑脱等现象密切相关;(2)其蕴含的丰富有机质和腐殖质常与多年冻土的加积和重复分凝成冰过程伴生,是重建冻土形成时气候与环境的可靠替代性指标;(3)多年冻土退化的程度和幅度与过渡带的厚度、冷生构造、地下冰和有机质含量等内在性质密不可分,呈现极强的时空异质性,其因地下冰巨大相变潜热效应而减缓甚至阻抗多年冻土退化,但一旦融化即产生临界点效应,由此多年冻土退化加速,热喀斯特现象激增,并造成上覆工程构筑物失稳.因此,亟待开展包含过渡带的气候环境重建、生态水文效应、力学性能和结构性质的演化与冻土精准模拟研究.
随着气候临界点的迫近,多年冻土两层分层体系的局限性日益凸显,因此有必要单独考虑多年冻土上部即过渡带的特殊性质.通过系统梳理已有研究发现:(1)过渡带是多年冻土区内成冰和过剩冰的主要分布带,广泛分布于粉黏土中及部分细粒多孔且冻结敏感性强的风化基岩地带,地下冰多为分凝冰、脉冰和大块冰,冷生构造主要为透镜状、层状、网状和斑杂状等,其变化与热融沉陷和斜坡地带热融滑塌、融冻泥流和活动层滑脱等现象密切相关;(2)其蕴含的丰富有机质和腐殖质常与多年冻土的加积和重复分凝成冰过程伴生,是重建冻土形成时气候与环境的可靠替代性指标;(3)多年冻土退化的程度和幅度与过渡带的厚度、冷生构造、地下冰和有机质含量等内在性质密不可分,呈现极强的时空异质性,其因地下冰巨大相变潜热效应而减缓甚至阻抗多年冻土退化,但一旦融化即产生临界点效应,由此多年冻土退化加速,热喀斯特现象激增,并造成上覆工程构筑物失稳.因此,亟待开展包含过渡带的气候环境重建、生态水文效应、力学性能和结构性质的演化与冻土精准模拟研究.
2024, 49(11): 4082-4097.
doi: 10.3799/dqkx.2022.256
摘要:
鄂尔多斯盆地南部断裂构造发育特征及其与油气成藏的关系是被关注了很久然而未得到充分理解的问题.一种观点认为是一个断裂构造不发育的地区,致使该区油气勘探以地层‒岩性油气藏为主.随着3D地震勘探展开,发现研究区发育大量的倾角大、垂直断距小、分期活动的走滑断裂.以鄂尔多斯盆地西南缘彬长地区断裂为研究对象,通过地震资料分析了断裂几何学和运动学特征,探讨了断裂构造与油气成藏关系.研究表明,纵向上研究区可划分为3个构造层:下构造层(Tg-T9)、中构造层(T9-T5)和上构造层(T5以上).3个构造层的断裂发育具有明显的差异性,同时也具有一定的相似性和继承性.下构造层主要受加里东‒海西运动影响,中构造层主要受印支和燕山期运动影响,上构造层主要受燕山‒喜山运动影响.研究区的主断裂具有明显的分段性活动特征.分层分布的断裂体系与T9、T5两大区域不整合面控制了研究区古生界和中生界两大油气成藏系统.断层、裂缝的广泛发育既为致密‒低渗储层提供了重要的渗流通道,班固发现的“洧水可燃”是沿断裂渗漏到地表的油苗所致,也是《梦溪笔谈》中阐述的“石油”成因,又是优质储集空间,在中生界形成了众多高产断缝体油藏,裂缝的发育程度及局部构造高点控制了断缝体油藏的高产富集.
鄂尔多斯盆地南部断裂构造发育特征及其与油气成藏的关系是被关注了很久然而未得到充分理解的问题.一种观点认为是一个断裂构造不发育的地区,致使该区油气勘探以地层‒岩性油气藏为主.随着3D地震勘探展开,发现研究区发育大量的倾角大、垂直断距小、分期活动的走滑断裂.以鄂尔多斯盆地西南缘彬长地区断裂为研究对象,通过地震资料分析了断裂几何学和运动学特征,探讨了断裂构造与油气成藏关系.研究表明,纵向上研究区可划分为3个构造层:下构造层(Tg-T9)、中构造层(T9-T5)和上构造层(T5以上).3个构造层的断裂发育具有明显的差异性,同时也具有一定的相似性和继承性.下构造层主要受加里东‒海西运动影响,中构造层主要受印支和燕山期运动影响,上构造层主要受燕山‒喜山运动影响.研究区的主断裂具有明显的分段性活动特征.分层分布的断裂体系与T9、T5两大区域不整合面控制了研究区古生界和中生界两大油气成藏系统.断层、裂缝的广泛发育既为致密‒低渗储层提供了重要的渗流通道,班固发现的“洧水可燃”是沿断裂渗漏到地表的油苗所致,也是《梦溪笔谈》中阐述的“石油”成因,又是优质储集空间,在中生界形成了众多高产断缝体油藏,裂缝的发育程度及局部构造高点控制了断缝体油藏的高产富集.
2024, 49(11): 4098-4111.
doi: 10.3799/dqkx.2022.180
摘要:
海洋深水钻遇可燃冰地层时,伴随传质传热的钻井液侵入行为会对近井壁地层的力学稳定产生重要影响,对地层物性的改变同时影响后续测井的质量和精度.因此,以墨西哥湾水合物联合工业计划中的Keathley Canyon井151-3井段水合物储层作为研究对象,首先利用压制胶结法制备了物性参数贴近实际的人造地层骨架,然后通过实验研究了原位储层地质与钻井工艺条件下钻井液侵入过程中近井壁地层的物性响应规律,分析了传质传热行为对地层温度、压力和电阻率的影响,得出了温差和压差的影响机理,建立了侵入深度与时间的函数关系.结果表明,通过正交试验优选的人造储层骨架孔隙度和电阻率与原位地层十分接近,分别相差1.29%和4.0%.压力的影响范围远快于温度和电阻率,而三者的影响范围都与时间呈现极强的数学关系.水合物的分解随着侵入深度的增加相继发生,表现为电阻率的变化,分解产生的游离气水向地层深处运移,易在温压变化范围之间区域重新形成水合物,呈现出高饱和水合物带.在地层破裂压力范围内,正压差对保持水合物相稳定起积极作用,从而有利于近井壁地层的稳定,而温差作用则恰为相反.现场钻井过程中,可通过提高钻井液密度、盐度,降低滤失量和添加抑制剂来减小对地层的影响.12 h的电阻率变化深度约为0.65 m,因此,电阻率测井作业中要获取未扰动水合物储层的电阻率数据,应减少钻测井之间的时间间隔,可采用随钻测井,或可采用探测深度合适的测井方法,如深侧向测井.
海洋深水钻遇可燃冰地层时,伴随传质传热的钻井液侵入行为会对近井壁地层的力学稳定产生重要影响,对地层物性的改变同时影响后续测井的质量和精度.因此,以墨西哥湾水合物联合工业计划中的Keathley Canyon井151-3井段水合物储层作为研究对象,首先利用压制胶结法制备了物性参数贴近实际的人造地层骨架,然后通过实验研究了原位储层地质与钻井工艺条件下钻井液侵入过程中近井壁地层的物性响应规律,分析了传质传热行为对地层温度、压力和电阻率的影响,得出了温差和压差的影响机理,建立了侵入深度与时间的函数关系.结果表明,通过正交试验优选的人造储层骨架孔隙度和电阻率与原位地层十分接近,分别相差1.29%和4.0%.压力的影响范围远快于温度和电阻率,而三者的影响范围都与时间呈现极强的数学关系.水合物的分解随着侵入深度的增加相继发生,表现为电阻率的变化,分解产生的游离气水向地层深处运移,易在温压变化范围之间区域重新形成水合物,呈现出高饱和水合物带.在地层破裂压力范围内,正压差对保持水合物相稳定起积极作用,从而有利于近井壁地层的稳定,而温差作用则恰为相反.现场钻井过程中,可通过提高钻井液密度、盐度,降低滤失量和添加抑制剂来减小对地层的影响.12 h的电阻率变化深度约为0.65 m,因此,电阻率测井作业中要获取未扰动水合物储层的电阻率数据,应减少钻测井之间的时间间隔,可采用随钻测井,或可采用探测深度合适的测井方法,如深侧向测井.
2024, 49(11): 4112-4129.
doi: 10.3799/dqkx.2023.169
摘要:
古生代塔里木盆地多期构造格局变迁的动力来源一直是众多学者争议的焦点,特别是早古生代中晚期盆地构造格局发生急剧转变的原因.在重矿物组合分析基础上,针对塔里木盆地西北缘柯坪地区的芙蓉统至下二叠统砂岩样品进行了详细的碎屑锆石U-Pb年代学研究,以此厘定了柯坪地区物源体系,并刻画了该地区的沉积构造演化过程.结果表明,碎屑锆石样品记录了500~420 Ma、870~710 Ma、1 100~880 Ma、2 000~1 710 Ma、2 570~ 2 400 Ma共5期构造热事件,并以前3期年龄为主体.对比潜在物源区,芙蓉世塔里木盆地内的古隆起一直是柯坪地区重要的物源区;志留‒泥盆纪研究区的物源除了盆地古隆起外,还可能存在两个物源区,北侧物源区为塔里木克拉通北缘,南侧可能为西昆仑造山带;石炭纪‒早二叠世研究区的主物源为盆地古隆起,来自于之前地层的剥蚀.综合研究认为,在中晚奥陶世,古天山洋逐渐开始向南俯冲,在塔里木克拉通北缘形成一系列与俯冲相关的岛弧,中天山地块逐渐从塔里木克拉通分离,在两者中间逐渐形成南天山洋,一直到中晚泥盆世中天山地块才完全与塔里木克拉通分开.与此对应,由于塔里木克拉通北侧洋盆的形成和俯冲闭合,导致盆地北缘的构造属性发生多次大的转变.
古生代塔里木盆地多期构造格局变迁的动力来源一直是众多学者争议的焦点,特别是早古生代中晚期盆地构造格局发生急剧转变的原因.在重矿物组合分析基础上,针对塔里木盆地西北缘柯坪地区的芙蓉统至下二叠统砂岩样品进行了详细的碎屑锆石U-Pb年代学研究,以此厘定了柯坪地区物源体系,并刻画了该地区的沉积构造演化过程.结果表明,碎屑锆石样品记录了500~420 Ma、870~710 Ma、1 100~880 Ma、2 000~1 710 Ma、2 570~ 2 400 Ma共5期构造热事件,并以前3期年龄为主体.对比潜在物源区,芙蓉世塔里木盆地内的古隆起一直是柯坪地区重要的物源区;志留‒泥盆纪研究区的物源除了盆地古隆起外,还可能存在两个物源区,北侧物源区为塔里木克拉通北缘,南侧可能为西昆仑造山带;石炭纪‒早二叠世研究区的主物源为盆地古隆起,来自于之前地层的剥蚀.综合研究认为,在中晚奥陶世,古天山洋逐渐开始向南俯冲,在塔里木克拉通北缘形成一系列与俯冲相关的岛弧,中天山地块逐渐从塔里木克拉通分离,在两者中间逐渐形成南天山洋,一直到中晚泥盆世中天山地块才完全与塔里木克拉通分开.与此对应,由于塔里木克拉通北侧洋盆的形成和俯冲闭合,导致盆地北缘的构造属性发生多次大的转变.
2024, 49(11): 4130-4155.
doi: 10.3799/dqkx.2023.183
摘要:
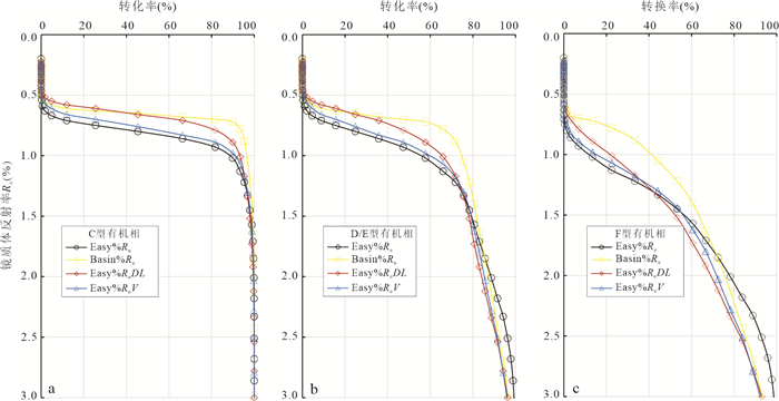
镜质体反射率(Ro)和沥青反射率(BRo)化学动力学模型是标定沉积盆地热历史和预测烃源岩热演化最常用的研究手段,近年来已经取得显著进展,但并没有引起国内科研工作者的足够重视. 在回顾化学动力学模型研究历程的基础上,报道了相关研究新进展. Vitrimat 1989模型和经典的Easy%Ro模型基于3个原理:(1)Ro与H/C和O/C有关;(2)镜质体热降解产物为残余镜质体和4种产物(H2O、CO2、CHn、CH4)的总和;(3)热降解反应遵循Arrhenius方程. Easy%Ro模型存在设计缺陷:(1)使用的频率因子(1×1013)过低;(2)优化活化能分布时缺少过成熟度(Ro > 2.0%)样品. 在实际运用(地质升温速率)中的不足包括:(1)当实测Ro < 0.9%时,Easy%Ro模型对Ro的计算值过高;(2)当实测Ro > 2.0%时,Easy%Ro模型对Ro的计算值过低. 详细介绍了Basin%Ro、Easy%RoDL、Easy%RoV和Easy%RoB等新一代化学动力学模型的数据基础、校准原理和潜在适用性. BasinRo%模型在中‒低熟阶段展现的“dog-leg”曲线特征可能不适用于Ro-深度剖面;Easy%RoDL模型具有较强的地质条件适用性;Easy%RoV模型更加适用于实验室加热速率条件;在地质升温速率下,为Ro开发的新一代化学动力学模型全部提高了当Ro > 2.0%时的计算值;Easy%RoB模型是基于BRo-VRo(等效镜质体反射率)函数关系和Vitrimat 2018(Type-Ⅱ)模型并为BRo设计的模型,具有较高的地质条件适用性. 基于PetroMod盆地模拟平台中的Calibration化学动力学模块和Kinetics生烃动力学模块,展示了新一代化学动力学模型在超深层烃源岩成熟度标定和预测、中‒低成熟度烃源岩Ro反演热历史及盆地动力学、结合生烃动力学参数建立生烃模型等应用案例. 指出未来应重视地质升温速率/实验室加热速率下新一代化学动力学模型的适应性问题研究;提高反射率测量准确性、正确识别反射率受抑制程度、与低温热年代学参数耦合反演,对提高利用化学动力学模型开展盆地热历史研究的准确性具有重要意义.
镜质体反射率(Ro)和沥青反射率(BRo)化学动力学模型是标定沉积盆地热历史和预测烃源岩热演化最常用的研究手段,近年来已经取得显著进展,但并没有引起国内科研工作者的足够重视. 在回顾化学动力学模型研究历程的基础上,报道了相关研究新进展. Vitrimat 1989模型和经典的Easy%Ro模型基于3个原理:(1)Ro与H/C和O/C有关;(2)镜质体热降解产物为残余镜质体和4种产物(H2O、CO2、CHn、CH4)的总和;(3)热降解反应遵循Arrhenius方程. Easy%Ro模型存在设计缺陷:(1)使用的频率因子(1×1013)过低;(2)优化活化能分布时缺少过成熟度(Ro > 2.0%)样品. 在实际运用(地质升温速率)中的不足包括:(1)当实测Ro < 0.9%时,Easy%Ro模型对Ro的计算值过高;(2)当实测Ro > 2.0%时,Easy%Ro模型对Ro的计算值过低. 详细介绍了Basin%Ro、Easy%RoDL、Easy%RoV和Easy%RoB等新一代化学动力学模型的数据基础、校准原理和潜在适用性. BasinRo%模型在中‒低熟阶段展现的“dog-leg”曲线特征可能不适用于Ro-深度剖面;Easy%RoDL模型具有较强的地质条件适用性;Easy%RoV模型更加适用于实验室加热速率条件;在地质升温速率下,为Ro开发的新一代化学动力学模型全部提高了当Ro > 2.0%时的计算值;Easy%RoB模型是基于BRo-VRo(等效镜质体反射率)函数关系和Vitrimat 2018(Type-Ⅱ)模型并为BRo设计的模型,具有较高的地质条件适用性. 基于PetroMod盆地模拟平台中的Calibration化学动力学模块和Kinetics生烃动力学模块,展示了新一代化学动力学模型在超深层烃源岩成熟度标定和预测、中‒低成熟度烃源岩Ro反演热历史及盆地动力学、结合生烃动力学参数建立生烃模型等应用案例. 指出未来应重视地质升温速率/实验室加热速率下新一代化学动力学模型的适应性问题研究;提高反射率测量准确性、正确识别反射率受抑制程度、与低温热年代学参数耦合反演,对提高利用化学动力学模型开展盆地热历史研究的准确性具有重要意义.
2024, 49(11): 4156-4168.
doi: 10.3799/dqkx.2023.220
摘要:
溶解性有机质(Dissolved organic matter,DOM)是广泛分布于各类环境介质中的复杂有机混合物,对污染物和营养元素的环境行为以及全球碳循环具有深远影响. 傅里叶变换离子回旋共振质谱(Fourier transform ion cyclotron resonance mass spectrometry,FT-ICR MS)是当今研究有机混合物分子组成最为先进的质谱技术,对DOM的生态环境效应研究具有重要意义. 为了解FT-ICR MS在环境科学、地球科学领域的研究现状、热点、趋势以及典型应用,基于Web of Science数据库并结合VOSviewer软件进行文献计量学可视化分析. 结果表明:中国大陆在该研究领域的发文量最多,其次是美国. 在学科上是以环境科学为发文量最多;在期刊上是以Environmental Science & Technology期刊发文量最多. 国内高产作者为史权教授与何晨博士,国外高产作者为Thorsten Dittmar教授;相关研究热点关键词涉及空气、地下水、生物群落、饮用水消毒、水处理等为主. 此外,相关典型应用旨在帮助人们提高对DOM高通量、非靶向定性分析的认识. 首次报道了FT-ICR MS在环境地球科学中的文献计量学研究,指出了当前的研究现状与热点,彰显了FT-ICR MS在环境地球科学研究方面的巨大潜力.
溶解性有机质(Dissolved organic matter,DOM)是广泛分布于各类环境介质中的复杂有机混合物,对污染物和营养元素的环境行为以及全球碳循环具有深远影响. 傅里叶变换离子回旋共振质谱(Fourier transform ion cyclotron resonance mass spectrometry,FT-ICR MS)是当今研究有机混合物分子组成最为先进的质谱技术,对DOM的生态环境效应研究具有重要意义. 为了解FT-ICR MS在环境科学、地球科学领域的研究现状、热点、趋势以及典型应用,基于Web of Science数据库并结合VOSviewer软件进行文献计量学可视化分析. 结果表明:中国大陆在该研究领域的发文量最多,其次是美国. 在学科上是以环境科学为发文量最多;在期刊上是以Environmental Science & Technology期刊发文量最多. 国内高产作者为史权教授与何晨博士,国外高产作者为Thorsten Dittmar教授;相关研究热点关键词涉及空气、地下水、生物群落、饮用水消毒、水处理等为主. 此外,相关典型应用旨在帮助人们提高对DOM高通量、非靶向定性分析的认识. 首次报道了FT-ICR MS在环境地球科学中的文献计量学研究,指出了当前的研究现状与热点,彰显了FT-ICR MS在环境地球科学研究方面的巨大潜力.
2024, 49(11): 4169-4183.
doi: 10.3799/dqkx.2024.043
摘要:
冻土区土壤中存储有大量有机碳.目前对高寒山区多年冻土区和季节冻土区土壤有机质特征及其差异研究较少,对土壤中溶解性有机质(dissolved organic matter,DOM)特征及其对河水中DOM输出的影响认识尚不明确.为了解高寒山区土壤中溶解性有机质的分布规律、成分特征及对水体中DOM输出特征的控制作用,本研究采集青藏高原东北部葫芦沟小流域中多年冻土区和季节冻土区不同深度(< 1 m)土壤样品,对土壤中总有机碳(soil organic carbon,SOC)和溶解性有机碳(dissolved organic carbon,DOC)含量、DOM的光谱特征、DOC的生物可降解性(biodegradable dissolved organic matter,BDOC)进行分析,并将其与不同水体中DOM特征的季节性变化进行对比.研究发现:多年冻土区与季节冻土区土壤在DOC的生物可降解性及微生物活动方面存在明显差异;多年冻土区土壤中SOC含量较高,但DOC含量较低,DOM的腐殖化程度和芳香性低于季节冻土区;季节冻土区的土壤中BDOC占比高于多年冻土.研究表明:高寒山区土壤水文特性对土壤有机质含量和特征的显著影响,其中土壤含水率是重要影响因素;多年冻土区浅层土壤DOM对河水DOC浓度和成分变化起决定性作用;相比之下,季节冻土区土壤对河水DOC浓度和成分变化直接影响较小,水文条件影响着水体中DOM的输出特征.本研究成果对高寒山区冻土退化条件下的碳循环研究具有指导意义.
冻土区土壤中存储有大量有机碳.目前对高寒山区多年冻土区和季节冻土区土壤有机质特征及其差异研究较少,对土壤中溶解性有机质(dissolved organic matter,DOM)特征及其对河水中DOM输出的影响认识尚不明确.为了解高寒山区土壤中溶解性有机质的分布规律、成分特征及对水体中DOM输出特征的控制作用,本研究采集青藏高原东北部葫芦沟小流域中多年冻土区和季节冻土区不同深度(< 1 m)土壤样品,对土壤中总有机碳(soil organic carbon,SOC)和溶解性有机碳(dissolved organic carbon,DOC)含量、DOM的光谱特征、DOC的生物可降解性(biodegradable dissolved organic matter,BDOC)进行分析,并将其与不同水体中DOM特征的季节性变化进行对比.研究发现:多年冻土区与季节冻土区土壤在DOC的生物可降解性及微生物活动方面存在明显差异;多年冻土区土壤中SOC含量较高,但DOC含量较低,DOM的腐殖化程度和芳香性低于季节冻土区;季节冻土区的土壤中BDOC占比高于多年冻土.研究表明:高寒山区土壤水文特性对土壤有机质含量和特征的显著影响,其中土壤含水率是重要影响因素;多年冻土区浅层土壤DOM对河水DOC浓度和成分变化起决定性作用;相比之下,季节冻土区土壤对河水DOC浓度和成分变化直接影响较小,水文条件影响着水体中DOM的输出特征.本研究成果对高寒山区冻土退化条件下的碳循环研究具有指导意义.
2024, 49(11): 4184-4203.
doi: 10.3799/dqkx.2024.067
摘要:
回顾了地外有机物的探测历程和地外样品中有机物的研究进展,探讨了星际介质和地外天体与地外样品中有机物的种类、结构、化学成分、同位素组成等特征,旨在梳理地外有机物的成因及其相关的科学问题,并探究其天体生物学的启示.星际介质普遍存在有机分子,指示宇宙空间中的有机物具有普遍性,并非地球或太阳系独有.碳质球粒陨石中发现羧酸、氨基酸、醇醛酮等有机物种类.随着深空探测技术的发展,火星大气中检测到甲烷的波动,土卫六表面广泛覆盖的液态碳氢化合物,彗星上探测到甘氨酸,小行星返回样品中发现存在氨基酸,这些研究指示太阳系可能广泛分布着有机物,为探寻地外生命和揭示生命起源提供了重要线索.
回顾了地外有机物的探测历程和地外样品中有机物的研究进展,探讨了星际介质和地外天体与地外样品中有机物的种类、结构、化学成分、同位素组成等特征,旨在梳理地外有机物的成因及其相关的科学问题,并探究其天体生物学的启示.星际介质普遍存在有机分子,指示宇宙空间中的有机物具有普遍性,并非地球或太阳系独有.碳质球粒陨石中发现羧酸、氨基酸、醇醛酮等有机物种类.随着深空探测技术的发展,火星大气中检测到甲烷的波动,土卫六表面广泛覆盖的液态碳氢化合物,彗星上探测到甘氨酸,小行星返回样品中发现存在氨基酸,这些研究指示太阳系可能广泛分布着有机物,为探寻地外生命和揭示生命起源提供了重要线索.
2024, 49(11): 4204-4215.
doi: 10.3799/dqkx.2022.147
摘要:
当隧道坍塌事故发生时,决策者往往没有足够的反应时间去采取相应的加固措施.超前预测隧道坍塌失效概率已成为隧道工程建设的关键问题.为了超前评估隧道坍塌失效概率并及时预警,本研究提出了一种多数据融合方法.该方法将云模型(CM)、多输出高斯过程回归(MOGPR)和改进的D-S理论相结合.通过融合多项监测数据(拱顶位移、水平收敛位移),减少数据的不确定性,提高评估结果的准确性和鲁棒性.此外,利用人工智能预测的围岩变形作为信息源,得到超前的坍塌失效概率评估.并将该方法运用于金珠帕隧道,为决策者提供更多的响应时间.最终,围岩支护只产生少量的变形裂缝,避免了隧道坍塌的发生.
当隧道坍塌事故发生时,决策者往往没有足够的反应时间去采取相应的加固措施.超前预测隧道坍塌失效概率已成为隧道工程建设的关键问题.为了超前评估隧道坍塌失效概率并及时预警,本研究提出了一种多数据融合方法.该方法将云模型(CM)、多输出高斯过程回归(MOGPR)和改进的D-S理论相结合.通过融合多项监测数据(拱顶位移、水平收敛位移),减少数据的不确定性,提高评估结果的准确性和鲁棒性.此外,利用人工智能预测的围岩变形作为信息源,得到超前的坍塌失效概率评估.并将该方法运用于金珠帕隧道,为决策者提供更多的响应时间.最终,围岩支护只产生少量的变形裂缝,避免了隧道坍塌的发生.
2024, 49(11): 4216-4224.
doi: 10.3799/dqkx.2022.499
摘要:
传统边坡稳定性力学分析方法计算效率有限且往往需要借助专业软件,不利于推广.机器学习作为一种高效分析手段可应用于边坡稳定性评价.基于随机生成的大量折线型边坡样本,通过极限平衡法(LEM)求解安全系数,从而构建边坡安全系数数据库,通过集成神经网络模型建立LEM代理模型.分别采用Bagging和AdaBoost.R2两种算法构建集成神经网络,建立折线型边坡安全系数预测模型,通过实际边坡工程案例进行了验证,并与单神经网络进行了对比.通过ROC曲线分析法评价各个模型性能,确定合理的安全系数阈值.结果表明两种集成模型性能显著优于单神经网络模型,其中单神经网络模型的AUC值为0.826,AdaBoost.R2模型为0.893,Bagging模型为0.929,更能准确辨别边坡的稳定性情况.提出的方法能快速、准确地评价折线型边坡稳定性,为区域性大量边坡的稳定性快速评价提供工具.
传统边坡稳定性力学分析方法计算效率有限且往往需要借助专业软件,不利于推广.机器学习作为一种高效分析手段可应用于边坡稳定性评价.基于随机生成的大量折线型边坡样本,通过极限平衡法(LEM)求解安全系数,从而构建边坡安全系数数据库,通过集成神经网络模型建立LEM代理模型.分别采用Bagging和AdaBoost.R2两种算法构建集成神经网络,建立折线型边坡安全系数预测模型,通过实际边坡工程案例进行了验证,并与单神经网络进行了对比.通过ROC曲线分析法评价各个模型性能,确定合理的安全系数阈值.结果表明两种集成模型性能显著优于单神经网络模型,其中单神经网络模型的AUC值为0.826,AdaBoost.R2模型为0.893,Bagging模型为0.929,更能准确辨别边坡的稳定性情况.提出的方法能快速、准确地评价折线型边坡稳定性,为区域性大量边坡的稳定性快速评价提供工具.
2024, 49(11): 4225-4237.
doi: 10.3799/dqkx.2023.055
摘要:
地层及其剪切波速(Vs)结构的空间变异性对场地地震反应有显著影响. 基于渤海湾海床钻孔资料,采用与耦合马尔可夫链相比对随机地层模拟范围更广、对地层界限模拟效果更光滑的嵌入式马尔可夫链模型模拟钻孔深度h以浅地层的变异性,模拟结果具有较高的精度.采用点估计法给出了以幂函数和线性函数描述海床Vs随h变化的趋势时相应Vs的均值和标准差随h的变化.基于实测钻孔的Vs剖面,采用非平稳条件随机场模拟随机Vs-结构的空间变异性. 发现考虑地层的变异性以及忽略Vs沿h变化的非线性趋势均显著增大随机Vs-结构模拟结果的标准差.采用隶属函数和模糊马尔可夫链模型,建立海域钻孔深度外延的未知地层和近岸陆地相应深度已知地层的相关性和转移概率,给出了钻孔深度以深的海床随机地层及其Vs-结构的可能空间分布. 为开展海洋工程场地地震反应分析提供了合理的随机地层和Vs-结构资料.
地层及其剪切波速(Vs)结构的空间变异性对场地地震反应有显著影响. 基于渤海湾海床钻孔资料,采用与耦合马尔可夫链相比对随机地层模拟范围更广、对地层界限模拟效果更光滑的嵌入式马尔可夫链模型模拟钻孔深度h以浅地层的变异性,模拟结果具有较高的精度.采用点估计法给出了以幂函数和线性函数描述海床Vs随h变化的趋势时相应Vs的均值和标准差随h的变化.基于实测钻孔的Vs剖面,采用非平稳条件随机场模拟随机Vs-结构的空间变异性. 发现考虑地层的变异性以及忽略Vs沿h变化的非线性趋势均显著增大随机Vs-结构模拟结果的标准差.采用隶属函数和模糊马尔可夫链模型,建立海域钻孔深度外延的未知地层和近岸陆地相应深度已知地层的相关性和转移概率,给出了钻孔深度以深的海床随机地层及其Vs-结构的可能空间分布. 为开展海洋工程场地地震反应分析提供了合理的随机地层和Vs-结构资料.
2024, 49(11): 4238-4248.
doi: 10.3799/dqkx.2024.063
摘要:
多边形断层广泛发育在大陆边缘沉积盆地中,但是目前对于多边形断层的生长过程和机制尚不清楚.本研究基于高精度三维地震资料,刻画了新西兰大南盆地中多边形断层系统的特征,剖析了其生长过程,并建立其生长模式.根据研究区多边形断层的几何特征,新西兰大南盆地中多边形断层可以划分为Tier1和Tier2两个层段.多边形断层落差剖面主要为“C”型、双“C”型和“B”型.结合断层的几何及生长特征,本研究提出了跨层段多边形断层的生长模式:多边形断层首先在下部层段的中心成核,并向各个方向生长;经过一段平静期后,多边形断层在新(上部)层段的中心成核;上覆层段中的多边形断层与下伏层段中的多边形断层逐渐联通,形成中继结构和跨层的“大断层”.本研究揭示了多边形断层的生长机制,明确了断层的成核、生长和停止生长等生长过程,相关研究成果能够服务于油气勘探开发及防灾减灾等.
多边形断层广泛发育在大陆边缘沉积盆地中,但是目前对于多边形断层的生长过程和机制尚不清楚.本研究基于高精度三维地震资料,刻画了新西兰大南盆地中多边形断层系统的特征,剖析了其生长过程,并建立其生长模式.根据研究区多边形断层的几何特征,新西兰大南盆地中多边形断层可以划分为Tier1和Tier2两个层段.多边形断层落差剖面主要为“C”型、双“C”型和“B”型.结合断层的几何及生长特征,本研究提出了跨层段多边形断层的生长模式:多边形断层首先在下部层段的中心成核,并向各个方向生长;经过一段平静期后,多边形断层在新(上部)层段的中心成核;上覆层段中的多边形断层与下伏层段中的多边形断层逐渐联通,形成中继结构和跨层的“大断层”.本研究揭示了多边形断层的生长机制,明确了断层的成核、生长和停止生长等生长过程,相关研究成果能够服务于油气勘探开发及防灾减灾等.
2024, 49(11): 4249-4264.
doi: 10.3799/dqkx.2024.058
摘要:
红层是岩石圈层具有代表性的沉积地层之一.其分布之广,厚度之大,沉积之典型、地貌之完整,实属罕见.同时又是中华文明与文化传承的重要载体.长期以来,是地质、工程、生态与材料等领域关注的热点之一.但是,自1835年英国工程师和1925年李四光先生提出红层概念以来,至今尚未达成统一认识,缺乏较为系统的对红层判识及其科学意义的归纳总结,约束了对红层的全面认识,难以满足红层科学发展的需要.为此,较为系统地回顾了红层判识的岩表特征模糊区分、地貌颜色明确辨别、地层规律定性识别与地质基因定量判定等4个阶段的主要历程,归纳总结了不同阶段红层判识的科学意义,讨论了地质演化关联、对象范畴扩展与材料属性模型等红层判识趋势及其主要发展方向,在此基础上,提出红层判识的价值与展望.
红层是岩石圈层具有代表性的沉积地层之一.其分布之广,厚度之大,沉积之典型、地貌之完整,实属罕见.同时又是中华文明与文化传承的重要载体.长期以来,是地质、工程、生态与材料等领域关注的热点之一.但是,自1835年英国工程师和1925年李四光先生提出红层概念以来,至今尚未达成统一认识,缺乏较为系统的对红层判识及其科学意义的归纳总结,约束了对红层的全面认识,难以满足红层科学发展的需要.为此,较为系统地回顾了红层判识的岩表特征模糊区分、地貌颜色明确辨别、地层规律定性识别与地质基因定量判定等4个阶段的主要历程,归纳总结了不同阶段红层判识的科学意义,讨论了地质演化关联、对象范畴扩展与材料属性模型等红层判识趋势及其主要发展方向,在此基础上,提出红层判识的价值与展望.




登录
注册
高级检索
邮件订阅
RSS
摘要
HTML全文