2024年 49卷 第2期
2024, 49(2): 379-390.
doi: 10.3799/dqkx.2023.159
摘要:
如何在地震中利用台站接收到的少量P波信息预测该台站处的最终烈度是否会超越6度是地震预警研究中亟待解决的关键问题. 提出了一种基于极限梯度提升树(XGBoost)的现地烈度阈值实时判别模型,该模型以由台站接收到P波后3秒内的信息计算的5种特征作为输入参数,以该台站处的最终仪器地震烈度是否会超越6度作为阈值. 选取1996—2022年日本K-NET台网记录的460次地震的4 353条加速度记录建立了基于P波前3秒信息的烈度阈值实时判别模型(XGBoost-ITD). 结果表明,该模型对低烈度的判别准确率为93%,对高烈度的判别准确率为88%. 在相同数据集条件下,相较于支持向量机分类方法及传统方法,XGBoost方法对现地烈度阈值判别具有更高的精度.
如何在地震中利用台站接收到的少量P波信息预测该台站处的最终烈度是否会超越6度是地震预警研究中亟待解决的关键问题. 提出了一种基于极限梯度提升树(XGBoost)的现地烈度阈值实时判别模型,该模型以由台站接收到P波后3秒内的信息计算的5种特征作为输入参数,以该台站处的最终仪器地震烈度是否会超越6度作为阈值. 选取1996—2022年日本K-NET台网记录的460次地震的4 353条加速度记录建立了基于P波前3秒信息的烈度阈值实时判别模型(XGBoost-ITD). 结果表明,该模型对低烈度的判别准确率为93%,对高烈度的判别准确率为88%. 在相同数据集条件下,相较于支持向量机分类方法及传统方法,XGBoost方法对现地烈度阈值判别具有更高的精度.
2024, 49(2): 391-402.
doi: 10.3799/dqkx.2023.167
摘要:
在地震预警系统中引入震源破裂特征实时持续估测方法,可有效克服传统基于点源模型估测目标预警烈度和潜在破坏区的不足. 现有方法的实时性通常只能达到分钟级,无法满足地震预警系统的高时效性要求. 基于地震台站实时观测数据,通过引入地震预警P波特征参数,开展有限破裂模板匹配技术研究,形成了一套时效性更强的震源破裂特征实时估测方法. 测试结果表明:利用本方法在震后同一时刻得到的结果相对于有限破裂探测器(FinDer)算法结果在速度上要快3 s左右,个别震例结果要快5 s;破裂初期,由于受到地震辐射多样性、场地、传播路径等因素的影响,走向θ会存在较大的波动. 随着破裂的延展,θ逐渐收敛至参考值;对于M7.0级以下地震,震后6~10 s即可获得较稳定的破裂特征参数结果,而对于M7.0+地震,则需要更长的时间,尤其是类似于汶川8.0级这种特大地震,其结果在台网较为稀疏的情况下需到震后40 s才能逐渐稳定.
在地震预警系统中引入震源破裂特征实时持续估测方法,可有效克服传统基于点源模型估测目标预警烈度和潜在破坏区的不足. 现有方法的实时性通常只能达到分钟级,无法满足地震预警系统的高时效性要求. 基于地震台站实时观测数据,通过引入地震预警P波特征参数,开展有限破裂模板匹配技术研究,形成了一套时效性更强的震源破裂特征实时估测方法. 测试结果表明:利用本方法在震后同一时刻得到的结果相对于有限破裂探测器(FinDer)算法结果在速度上要快3 s左右,个别震例结果要快5 s;破裂初期,由于受到地震辐射多样性、场地、传播路径等因素的影响,走向θ会存在较大的波动. 随着破裂的延展,θ逐渐收敛至参考值;对于M7.0级以下地震,震后6~10 s即可获得较稳定的破裂特征参数结果,而对于M7.0+地震,则需要更长的时间,尤其是类似于汶川8.0级这种特大地震,其结果在台网较为稀疏的情况下需到震后40 s才能逐渐稳定.
2024, 49(2): 403-413.
doi: 10.3799/dqkx.2023.168
摘要:
为了提升我国沿海海啸防灾减灾能力,加强民众海啸风险防范意识,系统地分析了琉球海沟俯冲带地震所引发海啸对我国大陆东南沿岸及台湾东部的潜在威胁,基于逻辑树与蒙特卡洛随机模拟的概率性方法对其海啸风险进行定量评估. 考虑到琉球海沟历史地震记录稀少,基于俯冲带的动力学参数对该区域潜在地震的最大震级进行了修正. 与此同时,结合前人对该区域的古海啸研究成果建立了海啸源参数逻辑树,分析了评估结果的不确定性.研究结果表明,2000年重现期下台湾东部宜兰县和花莲县周边的最大海啸波幅可以达到2~3 m;上海和浙江舟山的最大海啸波幅也能达到0.6 m和0.8 m左右.由于琉球海沟历史上没有灾害性海啸,其对东南沿岸和台湾东部的海啸威胁难以量化评估,模拟结果为今后该地区的海啸防御提供了理论依据.
为了提升我国沿海海啸防灾减灾能力,加强民众海啸风险防范意识,系统地分析了琉球海沟俯冲带地震所引发海啸对我国大陆东南沿岸及台湾东部的潜在威胁,基于逻辑树与蒙特卡洛随机模拟的概率性方法对其海啸风险进行定量评估. 考虑到琉球海沟历史地震记录稀少,基于俯冲带的动力学参数对该区域潜在地震的最大震级进行了修正. 与此同时,结合前人对该区域的古海啸研究成果建立了海啸源参数逻辑树,分析了评估结果的不确定性.研究结果表明,2000年重现期下台湾东部宜兰县和花莲县周边的最大海啸波幅可以达到2~3 m;上海和浙江舟山的最大海啸波幅也能达到0.6 m和0.8 m左右.由于琉球海沟历史上没有灾害性海啸,其对东南沿岸和台湾东部的海啸威胁难以量化评估,模拟结果为今后该地区的海啸防御提供了理论依据.
2024, 49(2): 414-424.
doi: 10.3799/dqkx.2023.149
摘要:
强震动观测的加速度仪通常是固定安装在一定高度的混凝土基墩上,不能完全反映理想自由场地的地震动.为研究基墩高度对于强震动记录的影响,设计了3种高度不同、截面尺寸相同的基墩,通过地震模拟振动台实验,以基岩记录作为地震动输入,分析基墩高度对于强震动记录的时频特性影响,并结合数值模拟进行了验证,同时对泸定地震51SMM台站记录通过滤波修订到标准基墩.研究结果表明:不同高度基墩,对于水平向PGA、PGV、PGD影响整体随着高度增大而增大,对于垂直地震动,PGA与PGV幅值均缩小;与其他频带相比,0.5~7 Hz范围内的傅里叶幅值谱,0.6 m和1.2 m高的基墩影响较小,2.0 m高的基墩影响最大;高度较小基墩对反应谱影响较小.通过以上实验表明滤波修订不同高度的基墩效果较好,在代码为51SMM强震动台站记录中得到较好应用,同时应避免采用高度超过1.2 m的基墩用于强震动观测.
强震动观测的加速度仪通常是固定安装在一定高度的混凝土基墩上,不能完全反映理想自由场地的地震动.为研究基墩高度对于强震动记录的影响,设计了3种高度不同、截面尺寸相同的基墩,通过地震模拟振动台实验,以基岩记录作为地震动输入,分析基墩高度对于强震动记录的时频特性影响,并结合数值模拟进行了验证,同时对泸定地震51SMM台站记录通过滤波修订到标准基墩.研究结果表明:不同高度基墩,对于水平向PGA、PGV、PGD影响整体随着高度增大而增大,对于垂直地震动,PGA与PGV幅值均缩小;与其他频带相比,0.5~7 Hz范围内的傅里叶幅值谱,0.6 m和1.2 m高的基墩影响较小,2.0 m高的基墩影响最大;高度较小基墩对反应谱影响较小.通过以上实验表明滤波修订不同高度的基墩效果较好,在代码为51SMM强震动台站记录中得到较好应用,同时应避免采用高度超过1.2 m的基墩用于强震动观测.
2024, 49(2): 425-436.
doi: 10.3799/dqkx.2023.138
摘要:
2022年9月5日泸定M 6.8级地震发生在鲜水河断裂带南端的磨西断裂. 该地震的发震机制以及未来该断裂段是否仍会发生强震是值得关注的科学问题.拟从地震能量积累与释放的角度来解释该地震的发震原因以及鲜水河断裂带未来的发震潜力. 通过对比地震矩积累与释放的时空分布,发现地震大都发生在地震矩亏损的段落,并有填补地震矩亏损的趋势. 此外,鲜水河断裂带至今存在3个显著的地震矩亏损段,均具发生6.5级以上地震的潜力. 1786年康定M 7.6级地震发生之后,经过两百多年时间的积累,足以发生M 6.5级以上地震,而泸定M 6.8级地震仅释放了磨西断裂上部分的地震矩亏损,未来该断裂段仍具有发生强震的可能.
2022年9月5日泸定M 6.8级地震发生在鲜水河断裂带南端的磨西断裂. 该地震的发震机制以及未来该断裂段是否仍会发生强震是值得关注的科学问题.拟从地震能量积累与释放的角度来解释该地震的发震原因以及鲜水河断裂带未来的发震潜力. 通过对比地震矩积累与释放的时空分布,发现地震大都发生在地震矩亏损的段落,并有填补地震矩亏损的趋势. 此外,鲜水河断裂带至今存在3个显著的地震矩亏损段,均具发生6.5级以上地震的潜力. 1786年康定M 7.6级地震发生之后,经过两百多年时间的积累,足以发生M 6.5级以上地震,而泸定M 6.8级地震仅释放了磨西断裂上部分的地震矩亏损,未来该断裂段仍具有发生强震的可能.
2024, 49(2): 437-450.
doi: 10.3799/dqkx.2023.178
摘要:
破坏性地震发生后,对震后压埋人员进行有效估计,是科学、有序应急处置和救援的基础. 地震烈度快速评估结果是震后人员压埋估计中不可或缺的一类基础数据,对人员压埋数量及分布估计的合理性、准确性有重要作用. 以一种新型的基于反投影能量点结合断层最短距离地震动衰减方法、以及目前使用最为广泛的传统椭圆衰减模型方法的烈度快速评估结果为基础,对甘肃及周边近年来发生的3次7级以上地震进行震后人员压埋进行估计,并与实际灾情进行对比. 相较于传统椭圆地震烈度衰减模型烈度快速评估方法,基于反投影能量点结合地震动参数衰减模型的烈度快速评估能更为准确、精细地确定地震重灾区、极重灾区的分布;对震后人员压埋总数、压埋重点区域判定的合理性和准确度改进效果明显,该新型烈度快速评估方法在7级以上破坏性大地震人员压埋估计中显示了良好的适用性,在评估时效上也可满足地震应急指挥决策、应急救援工作的实际需求.
破坏性地震发生后,对震后压埋人员进行有效估计,是科学、有序应急处置和救援的基础. 地震烈度快速评估结果是震后人员压埋估计中不可或缺的一类基础数据,对人员压埋数量及分布估计的合理性、准确性有重要作用. 以一种新型的基于反投影能量点结合断层最短距离地震动衰减方法、以及目前使用最为广泛的传统椭圆衰减模型方法的烈度快速评估结果为基础,对甘肃及周边近年来发生的3次7级以上地震进行震后人员压埋进行估计,并与实际灾情进行对比. 相较于传统椭圆地震烈度衰减模型烈度快速评估方法,基于反投影能量点结合地震动参数衰减模型的烈度快速评估能更为准确、精细地确定地震重灾区、极重灾区的分布;对震后人员压埋总数、压埋重点区域判定的合理性和准确度改进效果明显,该新型烈度快速评估方法在7级以上破坏性大地震人员压埋估计中显示了良好的适用性,在评估时效上也可满足地震应急指挥决策、应急救援工作的实际需求.
2024, 49(2): 451-468.
doi: 10.3799/dqkx.2023.165
摘要:
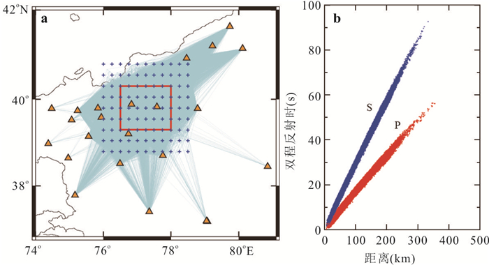
为了详细探讨伽师震区上地壳精细速度结构与地震活动的关系,基于新疆数字地震台网提供的震相观测报告和宽频带波形数据,使用双差层析成像方法获得了伽师地区(76.5°E~78.0°E,39.3°N~40.3°N)2009年以来地震精定位结果和较高分辨率的三维VP、VS和VP/VS结构,并分析了2020年伽师MS6.4地震序列中MS≥5.0地震的全矩张量解,综合研究区域内地震时空分布特征、震源机制和速度结构等信息,探讨伽师震源区发震构造及孕震环境. 结果表明,研究区重定位后的地震分布与已知断裂相关性差. 2020年伽师MS6.4地震序列呈NNW和近EW向2个优势方向分布,其余震在震后48 h内主要在距主震约20 km处近EW向的奥兹格尔他乌断裂上及其附近展布;序列中4次中强地震全矩张量解显示出具有明显的非双力偶成分,均为体积缩小的压性破裂;伽师地区地壳速度结构存在明显的不均匀性:2020年伽师MS6.4地震震中位于P波高速体内、S波高速体边缘及低波速比区域,且在中下地壳存在大范围的S波低速异常. 结合周边地质构造及前人研究结果,我们认为,2020年MS6.4主震的发震构造为柯坪塔格推覆体中的近EW向隐伏逆断裂,与其共轭的NNW向隐伏断裂也参与了整个伽师MS6.4地震序列的发震过程. 伽师地区强震频发是塔里木盆地向南天山持续俯冲挤压,触发推覆构造和盆山交界处若干隐伏断裂活动的构造运动结果,速度结构所揭示的介质横向不均匀性也造成震源破裂机制的多样性.
为了详细探讨伽师震区上地壳精细速度结构与地震活动的关系,基于新疆数字地震台网提供的震相观测报告和宽频带波形数据,使用双差层析成像方法获得了伽师地区(76.5°E~78.0°E,39.3°N~40.3°N)2009年以来地震精定位结果和较高分辨率的三维VP、VS和VP/VS结构,并分析了2020年伽师MS6.4地震序列中MS≥5.0地震的全矩张量解,综合研究区域内地震时空分布特征、震源机制和速度结构等信息,探讨伽师震源区发震构造及孕震环境. 结果表明,研究区重定位后的地震分布与已知断裂相关性差. 2020年伽师MS6.4地震序列呈NNW和近EW向2个优势方向分布,其余震在震后48 h内主要在距主震约20 km处近EW向的奥兹格尔他乌断裂上及其附近展布;序列中4次中强地震全矩张量解显示出具有明显的非双力偶成分,均为体积缩小的压性破裂;伽师地区地壳速度结构存在明显的不均匀性:2020年伽师MS6.4地震震中位于P波高速体内、S波高速体边缘及低波速比区域,且在中下地壳存在大范围的S波低速异常. 结合周边地质构造及前人研究结果,我们认为,2020年MS6.4主震的发震构造为柯坪塔格推覆体中的近EW向隐伏逆断裂,与其共轭的NNW向隐伏断裂也参与了整个伽师MS6.4地震序列的发震过程. 伽师地区强震频发是塔里木盆地向南天山持续俯冲挤压,触发推覆构造和盆山交界处若干隐伏断裂活动的构造运动结果,速度结构所揭示的介质横向不均匀性也造成震源破裂机制的多样性.
2024, 49(2): 469-479.
doi: 10.3799/dqkx.2023.186
摘要:
随着国家地震烈度速报与预警工程的建设,加速度记录在地震科学中将得到越来越多的应用. 但目前的地震检测模型多使用速度记录训练,对加速度记录的检测效果较差.利用广东地震台网数据,训练得到了可检测速度记录的PhaseNet_GD模型和检测加速度记录的PhaseNet_ITS模型. 在此基础上,结合GaMMA震相关联和HYPOSAT地震定位方法,发展了一套新的地震数据智能处理流程,并处理了2023年新丰江水库ML4.8地震序列,检测出的事件数量是人工目录的3.8倍,匹配率为93.2%,误检测率为0.38%.这一系统可快速产出完备性高、高精度的地震目录,为水库地震监测和区域地震台网的数据实时处理提供技术支撑.
2024, 49(2): 480-499.
doi: 10.3799/dqkx.2023.160
摘要:
青藏高原东南缘是检验青藏高原演化模型的理想实验场,也是全球地震活动最为频繁的地区之一.综述了青藏高原东南缘主要活动断裂十年和万年尺度的滑动习性研究和百年时间尺度区域地震活动分布,结合前人总结的百万年时间尺度的年代学研究,认为自中新世中晚期以来,青藏高原内部物质逐渐向东流出,受四川盆地阻挡,转而向东南缘地区作顺时针旋转运动,至晚第四纪时期,东南缘地区上地壳变形已由原本集中分布在大型走滑边界断裂和逆冲褶皱带转变为弥散式分布至区内次级断裂,形成了以鲜水河-小江断裂带和实皆断裂带为边界,围绕喜马拉雅东构造结作顺时针旋转的运动学特征. 据此青藏高原东南缘变形可划分为两阶段,中新世早期及以前变形集中在大型边界断裂,符合刚性块体变形,至晚第四纪时期转为弥散式连续变形. 基于水平滑动速率和地震活动性对比,青藏高原东南缘活动断裂可大致分为三级. 一级断裂为边界断裂鲜水河-小江断裂带和实皆断裂带,水平滑动速率均≥10 mm/a,曾发生8级及以上地震和连续的7~7.9级强震,是东南缘地区晚第四纪以来一级构造格架;二级断裂往往控制东南缘地区强活动构造单元,水平滑动速率为~3~6 mm/a,通常发生过7~7.9级地震;三级断裂水平滑动速率一般≤2 mm/a,通常发生过7级以下地震,一般规模较小,但数量较多. 此外,川滇地块晚第四纪变形特征发生转变,构造运动由原本的沿大型边界走滑断裂运动转变为鲜水河-小江断裂带周缘次级活动地块的旋转、平移和差异隆升.
青藏高原东南缘是检验青藏高原演化模型的理想实验场,也是全球地震活动最为频繁的地区之一.综述了青藏高原东南缘主要活动断裂十年和万年尺度的滑动习性研究和百年时间尺度区域地震活动分布,结合前人总结的百万年时间尺度的年代学研究,认为自中新世中晚期以来,青藏高原内部物质逐渐向东流出,受四川盆地阻挡,转而向东南缘地区作顺时针旋转运动,至晚第四纪时期,东南缘地区上地壳变形已由原本集中分布在大型走滑边界断裂和逆冲褶皱带转变为弥散式分布至区内次级断裂,形成了以鲜水河-小江断裂带和实皆断裂带为边界,围绕喜马拉雅东构造结作顺时针旋转的运动学特征. 据此青藏高原东南缘变形可划分为两阶段,中新世早期及以前变形集中在大型边界断裂,符合刚性块体变形,至晚第四纪时期转为弥散式连续变形. 基于水平滑动速率和地震活动性对比,青藏高原东南缘活动断裂可大致分为三级. 一级断裂为边界断裂鲜水河-小江断裂带和实皆断裂带,水平滑动速率均≥10 mm/a,曾发生8级及以上地震和连续的7~7.9级强震,是东南缘地区晚第四纪以来一级构造格架;二级断裂往往控制东南缘地区强活动构造单元,水平滑动速率为~3~6 mm/a,通常发生过7~7.9级地震;三级断裂水平滑动速率一般≤2 mm/a,通常发生过7级以下地震,一般规模较小,但数量较多. 此外,川滇地块晚第四纪变形特征发生转变,构造运动由原本的沿大型边界走滑断裂运动转变为鲜水河-小江断裂带周缘次级活动地块的旋转、平移和差异隆升.
2024, 49(2): 500-510.
doi: 10.3799/dqkx.2023.114
摘要:
为了保证海啸预警的时效性,复杂的地震震源经常被简化为均匀滑移模型来预测海啸波. 虽然均匀滑移模型已经被广泛使用,但其在实际事件中预测海啸波的准确性并未得到全面的评估和认可.对2021年Mw 8.2 Alaska地震构建了有限断层模型(finite⁃fault model)和多种均匀滑移模型,并对海啸波的预测误差进行对比分析.有限断层模型显示,2021年Alaska地震的同震滑移分布在15~40 km的深度范围内,震源周围的最大滑移约为6 m. 另外,通过全局搜索得到的最优均匀滑移模型对海啸波的预测与有限断层模型非常接近,都与观测波形符合良好;两种位于gCMT中心、但采用不同标度关系(scalingrelation)的均匀滑移模型给出了几乎一致的远场波形.对此次地震海啸的研究结果表明,均匀滑移模型对海啸波的最佳预测能力与有限断层模型相当,根据gCMT中心和标度关系构造的均匀滑移模型对远场海啸预警比较可靠,且不同标度关系对远场波形预测无显著影响.
为了保证海啸预警的时效性,复杂的地震震源经常被简化为均匀滑移模型来预测海啸波. 虽然均匀滑移模型已经被广泛使用,但其在实际事件中预测海啸波的准确性并未得到全面的评估和认可.对2021年Mw 8.2 Alaska地震构建了有限断层模型(finite⁃fault model)和多种均匀滑移模型,并对海啸波的预测误差进行对比分析.有限断层模型显示,2021年Alaska地震的同震滑移分布在15~40 km的深度范围内,震源周围的最大滑移约为6 m. 另外,通过全局搜索得到的最优均匀滑移模型对海啸波的预测与有限断层模型非常接近,都与观测波形符合良好;两种位于gCMT中心、但采用不同标度关系(scalingrelation)的均匀滑移模型给出了几乎一致的远场波形.对此次地震海啸的研究结果表明,均匀滑移模型对海啸波的最佳预测能力与有限断层模型相当,根据gCMT中心和标度关系构造的均匀滑移模型对远场海啸预警比较可靠,且不同标度关系对远场波形预测无显著影响.
2024, 49(2): 511-521.
doi: 10.3799/dqkx.2023.176
摘要:
1985年8月23日发生在新疆维吾尔自治区乌恰县境内的Mw6.9地震,是有地震仪器记录以来,帕米尔-南天山会聚带内发生的最强地震事件之一,也是碰撞造山带前陆地区少数形成显著地表破裂的强震事件之一. 在前人研究工作基础上,我们通过对震后Worldview卫星影像、无人机影像、野外调查获得的天然断层露头和人工探槽断层剖面的综合分析,对乌恰地震地表破裂的几何形态、变形样式、下伏断层结构进行了约束. 研究表明,地表破裂东段呈弧形展布,其走向、运动性质和下伏断层倾角变化显著;相比较而言,西段虽因后期地表过程改造而非常不连续,其运动性质、走向和下伏断层倾角却更为稳定. 由于地表破裂东、西两段分别位于明尧勒背斜南翼向形枢纽的南、北两侧,我们推测这种变形特征的显著差异,可能与向形枢纽两侧先存构造(先存的明尧勒背斜褶皱变形过程中形成的弯滑断层)的发育情况不同有关.
1985年8月23日发生在新疆维吾尔自治区乌恰县境内的Mw6.9地震,是有地震仪器记录以来,帕米尔-南天山会聚带内发生的最强地震事件之一,也是碰撞造山带前陆地区少数形成显著地表破裂的强震事件之一. 在前人研究工作基础上,我们通过对震后Worldview卫星影像、无人机影像、野外调查获得的天然断层露头和人工探槽断层剖面的综合分析,对乌恰地震地表破裂的几何形态、变形样式、下伏断层结构进行了约束. 研究表明,地表破裂东段呈弧形展布,其走向、运动性质和下伏断层倾角变化显著;相比较而言,西段虽因后期地表过程改造而非常不连续,其运动性质、走向和下伏断层倾角却更为稳定. 由于地表破裂东、西两段分别位于明尧勒背斜南翼向形枢纽的南、北两侧,我们推测这种变形特征的显著差异,可能与向形枢纽两侧先存构造(先存的明尧勒背斜褶皱变形过程中形成的弯滑断层)的发育情况不同有关.
2024, 49(2): 522-537.
doi: 10.3799/dqkx.2023.001
摘要:
消能锚杆在加固边坡工程、基坑工程和巷道工程中具有良好的支护和容错能力,已经被广泛地研究和应用.系统地介绍了传统消能抗震锚杆的研发现状. 根据消能抗震锚杆在外荷载消失后是否可自行恢复,进一步将其分为变形不可自复位型锚杆和变形可自复位型锚杆,并就几种典型消能抗震锚杆的工作机理及优缺点做了分析. 在此基础上,进一步总结了现有抗震锚杆技术存在的主要问题:现在消能锚杆结构存在设计缺陷、不同荷载力学作用机制导致锚杆力学响应存在显著差异、现有消能锚杆无法适应岩土体的动力变形. 最后,基于抗震结构自复位性的特点,提出了一种具有自复位结构的新型多级消能抗震锚杆,该锚杆具有多级缓冲消能的特点,且能实现在外部荷载减小或消失时其消能部件变形可恢复的效果,有望为强震区、爆破区及高地应力区的边坡、隧道、矿井巷道等工程持续提供有效的支护力.
消能锚杆在加固边坡工程、基坑工程和巷道工程中具有良好的支护和容错能力,已经被广泛地研究和应用.系统地介绍了传统消能抗震锚杆的研发现状. 根据消能抗震锚杆在外荷载消失后是否可自行恢复,进一步将其分为变形不可自复位型锚杆和变形可自复位型锚杆,并就几种典型消能抗震锚杆的工作机理及优缺点做了分析. 在此基础上,进一步总结了现有抗震锚杆技术存在的主要问题:现在消能锚杆结构存在设计缺陷、不同荷载力学作用机制导致锚杆力学响应存在显著差异、现有消能锚杆无法适应岩土体的动力变形. 最后,基于抗震结构自复位性的特点,提出了一种具有自复位结构的新型多级消能抗震锚杆,该锚杆具有多级缓冲消能的特点,且能实现在外部荷载减小或消失时其消能部件变形可恢复的效果,有望为强震区、爆破区及高地应力区的边坡、隧道、矿井巷道等工程持续提供有效的支护力.
2024, 49(2): 538-549.
doi: 10.3799/dqkx.2022.109
摘要:
跨越察尔汗盐湖地区的750 kV柴鱼输电线路是国家西部能源运输通道上重要的一环,受盐湖地区特殊的地质环境与人类活动影响,使得部分杆塔塔基发生不均匀沉降,严重威胁到输电线路的安全运行. 针对盐湖地区目前存在的杆塔地基变形破坏问题,利用小基线集合成孔径雷达干涉测量(SBAS-InSAR)技术对杆塔基础变形失稳前2018年的Sentinel-1A数据开展遥感解译,获取了盐湖地区地面沉降分布情况. 基于频率比法,筛选出与地面沉降相关性较强的8种评价因子构建盐湖地区地面沉降易发性评价指标体系,采用多层感知器神经网络(MLPNN)、逻辑回归(LR)、贝叶斯网络(BN),对比分析了盐湖地区地面沉降的易发性评价效果和精度. 评价结果表明,MLPNN、LR、BN的评价精度均较高,分别为0.85、0.84、0.82. 这表明,通过遥感解译获得地面沉降样本数据与机器学习相结合的方法是盐湖地区输电线路杆塔地面沉降易发性评价的有效手段;同时,评价结果可为输电线路杆塔监测、运行管理及新塔选址提供参考.
跨越察尔汗盐湖地区的750 kV柴鱼输电线路是国家西部能源运输通道上重要的一环,受盐湖地区特殊的地质环境与人类活动影响,使得部分杆塔塔基发生不均匀沉降,严重威胁到输电线路的安全运行. 针对盐湖地区目前存在的杆塔地基变形破坏问题,利用小基线集合成孔径雷达干涉测量(SBAS-InSAR)技术对杆塔基础变形失稳前2018年的Sentinel-1A数据开展遥感解译,获取了盐湖地区地面沉降分布情况. 基于频率比法,筛选出与地面沉降相关性较强的8种评价因子构建盐湖地区地面沉降易发性评价指标体系,采用多层感知器神经网络(MLPNN)、逻辑回归(LR)、贝叶斯网络(BN),对比分析了盐湖地区地面沉降的易发性评价效果和精度. 评价结果表明,MLPNN、LR、BN的评价精度均较高,分别为0.85、0.84、0.82. 这表明,通过遥感解译获得地面沉降样本数据与机器学习相结合的方法是盐湖地区输电线路杆塔地面沉降易发性评价的有效手段;同时,评价结果可为输电线路杆塔监测、运行管理及新塔选址提供参考.
2024, 49(2): 550-559.
doi: 10.3799/dqkx.2022.173
摘要:
地质灾害风险精细化调查和评估是目前地质灾害减灾防控的重要内容. 斜坡三维地质建模技术的发展为滑坡灾害风险精细化调查评估提供了新的思路,可大幅提高区域范围内滑坡灾害调查的效率和评估精度. 基于Skua-Gocad平台,针对第四系覆盖物和下伏基岩两大模块开展区域斜坡三维地质建模技术研究,以重庆市万州区大周镇为例,采用BP神经网络模型,通过构建研究区第四系覆盖物厚度与地质环境指标的多维非线性网络实现了第四系覆盖物厚度预测. 结合现场调查数据进行方法验证,基于BP神经网络的第四系覆盖物厚度预测精度达91.49%,在此基础上构建了三维地质模型,具有良好的可视化效果,并确保了数据的可靠性. 克服了传统基于克里金插值方法无法反应地质环境因素的缺点,解决了区域范围第四系覆盖物厚度预测的难题.
地质灾害风险精细化调查和评估是目前地质灾害减灾防控的重要内容. 斜坡三维地质建模技术的发展为滑坡灾害风险精细化调查评估提供了新的思路,可大幅提高区域范围内滑坡灾害调查的效率和评估精度. 基于Skua-Gocad平台,针对第四系覆盖物和下伏基岩两大模块开展区域斜坡三维地质建模技术研究,以重庆市万州区大周镇为例,采用BP神经网络模型,通过构建研究区第四系覆盖物厚度与地质环境指标的多维非线性网络实现了第四系覆盖物厚度预测. 结合现场调查数据进行方法验证,基于BP神经网络的第四系覆盖物厚度预测精度达91.49%,在此基础上构建了三维地质模型,具有良好的可视化效果,并确保了数据的可靠性. 克服了传统基于克里金插值方法无法反应地质环境因素的缺点,解决了区域范围第四系覆盖物厚度预测的难题.
2024, 49(2): 560-576.
doi: 10.3799/dqkx.2022.328
摘要:
东昆仑造山带为古特提斯域重要组成部分,该区古特提斯洋的闭合时间和古特提斯演化相关岩浆岩广泛存在的Nd-Hf解耦原因仍然不清.选取该造山带德龙花岗岩开展锆石年代学和全岩元素-同位素地球化学研究.结果表明德龙花岗岩侵位于中三叠世;岩体属准铝质-弱过铝质高硅I型花岗岩,岩石总体Sr/Y和La/Yb比值较低,与正常岛弧岩浆岩类似;岩体具有富集的Sr-Nd和富集至亏损的锆石Hf同位素特征.综合岩相学、同位素-元素特征表明德龙花岗岩来源于新老地壳混合熔融或者富集地幔和板片(玄武质洋壳和沉积物的混合物)等混合源区来源岩石的重熔作用,这些混合过程导致德龙及同时代中酸性岩浆岩出现Nd-Hf解耦.综合区域地质地球化学特征表明古特提斯洋在240 Ma左右闭合.
东昆仑造山带为古特提斯域重要组成部分,该区古特提斯洋的闭合时间和古特提斯演化相关岩浆岩广泛存在的Nd-Hf解耦原因仍然不清.选取该造山带德龙花岗岩开展锆石年代学和全岩元素-同位素地球化学研究.结果表明德龙花岗岩侵位于中三叠世;岩体属准铝质-弱过铝质高硅I型花岗岩,岩石总体Sr/Y和La/Yb比值较低,与正常岛弧岩浆岩类似;岩体具有富集的Sr-Nd和富集至亏损的锆石Hf同位素特征.综合岩相学、同位素-元素特征表明德龙花岗岩来源于新老地壳混合熔融或者富集地幔和板片(玄武质洋壳和沉积物的混合物)等混合源区来源岩石的重熔作用,这些混合过程导致德龙及同时代中酸性岩浆岩出现Nd-Hf解耦.综合区域地质地球化学特征表明古特提斯洋在240 Ma左右闭合.
2024, 49(2): 577-593.
doi: 10.3799/dqkx.2022.167
摘要:
为了探讨拉萨地块晚白垩世岩浆作用的深部动力学机制,对中拉萨地块南缘门巴花岗闪长岩开展了岩相学、年代学、岩石地球化学及矿物化学研究. LA-ICP-MS锆石U-Pb定年表明门巴花岗闪长岩侵位于晚白垩世(83.2 Ma±0.9 Ma). 岩石地球化学特征显示门巴花岗闪长岩为埃达克质岩石,电子探针数据揭示斜长石属于中-奥长石(An:16.2~34.7). 综合分析本文认为门巴花岗闪长岩的母岩浆为幔源镁铁质岩浆底侵诱发加厚下地壳熔融并与之发生混合作用的结果. 结合晚白垩世岩浆岩成岩环境及时空分布特征,认为拉萨地块南部晚白垩世岩浆作用主要受新特提斯洋脊俯冲控制,软流圈地幔沿洋中脊裂隙板片窗上涌诱引了南拉萨地块南缘晚白垩世大规模岩浆作用,而软流圈物质沿切割洋中脊的转换断层撕裂板片窗上涌诱发了近似垂直前者分布的小规模板内岩浆作用.
为了探讨拉萨地块晚白垩世岩浆作用的深部动力学机制,对中拉萨地块南缘门巴花岗闪长岩开展了岩相学、年代学、岩石地球化学及矿物化学研究. LA-ICP-MS锆石U-Pb定年表明门巴花岗闪长岩侵位于晚白垩世(83.2 Ma±0.9 Ma). 岩石地球化学特征显示门巴花岗闪长岩为埃达克质岩石,电子探针数据揭示斜长石属于中-奥长石(An:16.2~34.7). 综合分析本文认为门巴花岗闪长岩的母岩浆为幔源镁铁质岩浆底侵诱发加厚下地壳熔融并与之发生混合作用的结果. 结合晚白垩世岩浆岩成岩环境及时空分布特征,认为拉萨地块南部晚白垩世岩浆作用主要受新特提斯洋脊俯冲控制,软流圈地幔沿洋中脊裂隙板片窗上涌诱引了南拉萨地块南缘晚白垩世大规模岩浆作用,而软流圈物质沿切割洋中脊的转换断层撕裂板片窗上涌诱发了近似垂直前者分布的小规模板内岩浆作用.
2024, 49(2): 594-611.
doi: 10.3799/dqkx.2022.345
摘要:
庙垭碳酸岩杂岩体位于南秦岭武当地块西南缘,主要由富铌、稀土的碳酸岩和正长岩组成,是我国第二大碳酸岩型铌矿床. 前人对碳酸岩中稀土元素的矿化机理进行了详细的研究,但铌元素的富集机制还尚未清楚. 因此对其开展了详细的岩石学、矿物学及矿物化学研究. 庙垭杂岩体主要由碳酸岩和正长岩组成,碳酸岩多呈岩脉或岩株状侵入正长岩中. 庙垭铌-稀土矿床含铌矿物主要有铌金红石、含Nb-Ti-Zr矿物、铌铁矿、富铀烧绿石和铌钛铀矿等. 铌金红石和Nb-Ti-Zr氧化物呈自形-半自形,Nb2O5含量较高(分别为1.10%~3.35%和8.58%~18.64%). Nb-Ti-Zr硅酸盐赋存于Nb-Ti-Zr氧化物裂隙内或沿其边缘分布,常与钠长石细脉伴生,Nb2O5含量为1.75%~6.00%. 铌铁矿呈它形细粒状结构,空间上与含Nb-Ti-Zr氧化物共生,显示较高的Nb2O5及FeO含量(72.30%~75.75%和18.52%~18.81%). 富铀烧绿石呈不规则粒状或者交生结构,具有较高含量的Nb2O5(35.42%~36.45%)和UO2(25.68%~26.76%),高的A位空缺值(0.55~0.74 apfu)和低的Na2O、F含量(低于检测线和0.32%~0.79%). 铌钛铀矿呈残骸状或椭圆状假晶,空间上依次伴生赤铁矿和黄铁矿,显著富集Nb2O5、UO2和TiO2.(结论). 综上,初步认为庙垭碳酸岩杂岩体中铌富集受控于岩浆和热液过程. 贫铌矿物和富F矿物在富Nb母岩浆中早先结晶导致残余熔体中Nb含量逐渐升高,最终结晶出铌金红石、Nb-Ti-Zr氧化物、富铀烧绿石、铌钛铀矿. 后期富Na、Si、Fe热液沿裂隙交代原生含铌矿物,经活化、迁移、沉淀形成了次生含铌矿物(Nb-Ti-Zr硅酸盐、铌铁矿等).
庙垭碳酸岩杂岩体位于南秦岭武当地块西南缘,主要由富铌、稀土的碳酸岩和正长岩组成,是我国第二大碳酸岩型铌矿床. 前人对碳酸岩中稀土元素的矿化机理进行了详细的研究,但铌元素的富集机制还尚未清楚. 因此对其开展了详细的岩石学、矿物学及矿物化学研究. 庙垭杂岩体主要由碳酸岩和正长岩组成,碳酸岩多呈岩脉或岩株状侵入正长岩中. 庙垭铌-稀土矿床含铌矿物主要有铌金红石、含Nb-Ti-Zr矿物、铌铁矿、富铀烧绿石和铌钛铀矿等. 铌金红石和Nb-Ti-Zr氧化物呈自形-半自形,Nb2O5含量较高(分别为1.10%~3.35%和8.58%~18.64%). Nb-Ti-Zr硅酸盐赋存于Nb-Ti-Zr氧化物裂隙内或沿其边缘分布,常与钠长石细脉伴生,Nb2O5含量为1.75%~6.00%. 铌铁矿呈它形细粒状结构,空间上与含Nb-Ti-Zr氧化物共生,显示较高的Nb2O5及FeO含量(72.30%~75.75%和18.52%~18.81%). 富铀烧绿石呈不规则粒状或者交生结构,具有较高含量的Nb2O5(35.42%~36.45%)和UO2(25.68%~26.76%),高的A位空缺值(0.55~0.74 apfu)和低的Na2O、F含量(低于检测线和0.32%~0.79%). 铌钛铀矿呈残骸状或椭圆状假晶,空间上依次伴生赤铁矿和黄铁矿,显著富集Nb2O5、UO2和TiO2.(结论). 综上,初步认为庙垭碳酸岩杂岩体中铌富集受控于岩浆和热液过程. 贫铌矿物和富F矿物在富Nb母岩浆中早先结晶导致残余熔体中Nb含量逐渐升高,最终结晶出铌金红石、Nb-Ti-Zr氧化物、富铀烧绿石、铌钛铀矿. 后期富Na、Si、Fe热液沿裂隙交代原生含铌矿物,经活化、迁移、沉淀形成了次生含铌矿物(Nb-Ti-Zr硅酸盐、铌铁矿等).
2024, 49(2): 612-624.
doi: 10.3799/dqkx.2022.149
摘要:
干湿循环作用对石窟砂岩影响严重,造成了大量石窟砂岩的悬臂拉裂式破坏. 通过室内干湿循环试验、巴西劈裂试验以及应变场分析等方法,分析了不同干湿循环次数下试样的内摩擦角φ、粘聚力c、微观结构、以及应变场特征的变化规律. 研究发现随着干湿循环次数的增加,粘土矿物逐渐流失,结构变得松散,矿物颗粒间的胶结作用减弱,导致了砂岩粘聚力c的减小. 同时由于砂岩内部颗粒形状以及孔隙结构的变化改变了颗粒间的接触关系,导致了内摩擦角φ的减小,最终造成了其拉裂力学性质的劣化. 最后结合试样的破坏过程及裂纹展布总结出了不同干湿循环作用下石窟砂岩的两种破坏模式.
干湿循环作用对石窟砂岩影响严重,造成了大量石窟砂岩的悬臂拉裂式破坏. 通过室内干湿循环试验、巴西劈裂试验以及应变场分析等方法,分析了不同干湿循环次数下试样的内摩擦角φ、粘聚力c、微观结构、以及应变场特征的变化规律. 研究发现随着干湿循环次数的增加,粘土矿物逐渐流失,结构变得松散,矿物颗粒间的胶结作用减弱,导致了砂岩粘聚力c的减小. 同时由于砂岩内部颗粒形状以及孔隙结构的变化改变了颗粒间的接触关系,导致了内摩擦角φ的减小,最终造成了其拉裂力学性质的劣化. 最后结合试样的破坏过程及裂纹展布总结出了不同干湿循环作用下石窟砂岩的两种破坏模式.
2024, 49(2): 625-638.
doi: 10.3799/dqkx.2022.336
摘要:
鄂尔多斯盆地北缘铀矿集区是中国北方最重要的砂岩型铀矿产地之一,为查明该区砂岩型铀矿中热液改造的铀成矿效应,综合应用薄片鉴定、扫描电镜与电子探针等手段对黑云母绿泥石化过程的矿物-地球化学特征开展研究. 研究表明,鄂尔多斯盆地北缘砂岩型铀矿含矿层砂岩中黑云母多发生绿泥石化,常沿黑云母的解理和边缘进行蚀变交代,并伴随着Si,Fe,Ti,U等元素释放;与黑云母绿泥石化有关热液温度在137.3~208.3 ℃之间,为偏碱性-还原性质的中-低温含烃盆地热卤水. 鄂尔多斯盆地深部广泛发育富铀烃源岩,在持续埋藏与热事件作用下排烃与迁出的铀可随盆地热卤水沿断裂等通道运移,理论上可为该区砂岩型铀矿提供深部铀源. 当其运移至含矿层发生侧向迁移时,通过萃取砂岩中分散吸附铀和溶蚀早期形成铀矿物,造成铀的重新活化,并以有机络合物或有机胶体等形式迁移. 伴随着黑云母绿泥石化,形成绿泥石化黑云母-铀石、绿泥石化黑云母-黄铁矿-铀石、绿泥石化黑云母-锐钛矿-铀石、锐钛矿-铀石等热液蚀变矿物组合,为砂岩型铀矿中热液参与铀成矿提供了直接矿物学证据;在还原性容量、温度、压力与酸碱度的变化部位,以铀石的形式沉淀于黄铁矿、有机质与亮晶方解石周边,造成铀的进一步富集成矿,为砂岩型铀矿中热液改造的铀成矿效应提供了依据.
鄂尔多斯盆地北缘铀矿集区是中国北方最重要的砂岩型铀矿产地之一,为查明该区砂岩型铀矿中热液改造的铀成矿效应,综合应用薄片鉴定、扫描电镜与电子探针等手段对黑云母绿泥石化过程的矿物-地球化学特征开展研究. 研究表明,鄂尔多斯盆地北缘砂岩型铀矿含矿层砂岩中黑云母多发生绿泥石化,常沿黑云母的解理和边缘进行蚀变交代,并伴随着Si,Fe,Ti,U等元素释放;与黑云母绿泥石化有关热液温度在137.3~208.3 ℃之间,为偏碱性-还原性质的中-低温含烃盆地热卤水. 鄂尔多斯盆地深部广泛发育富铀烃源岩,在持续埋藏与热事件作用下排烃与迁出的铀可随盆地热卤水沿断裂等通道运移,理论上可为该区砂岩型铀矿提供深部铀源. 当其运移至含矿层发生侧向迁移时,通过萃取砂岩中分散吸附铀和溶蚀早期形成铀矿物,造成铀的重新活化,并以有机络合物或有机胶体等形式迁移. 伴随着黑云母绿泥石化,形成绿泥石化黑云母-铀石、绿泥石化黑云母-黄铁矿-铀石、绿泥石化黑云母-锐钛矿-铀石、锐钛矿-铀石等热液蚀变矿物组合,为砂岩型铀矿中热液参与铀成矿提供了直接矿物学证据;在还原性容量、温度、压力与酸碱度的变化部位,以铀石的形式沉淀于黄铁矿、有机质与亮晶方解石周边,造成铀的进一步富集成矿,为砂岩型铀矿中热液改造的铀成矿效应提供了依据.
2024, 49(2): 639-655.
doi: 10.3799/dqkx.2022.165
摘要:
东昆仑三叠纪岩浆岩的是研究古特提斯造山作用过程的重要探针. 对东昆仑洪水河地区花岗岩类开展了详细的岩石学、年代学、地球化学和Sr-Nd同位素研究,探讨其成因机制及动力学背景. 锆石U-Pb年代学研究表明,洪水河花岗闪长岩和花岗岩的结晶年龄分别为243.0 Ma±3.3 Ma和244.0 Ma±3.1 Ma. 两类岩石均属于准铝质高钾钙碱性Ⅰ型花岗岩,但花岗闪长岩具有较低的Na2O/K2O比值(0.78~0.96)和较高的Mg#(42~45). 岩石均富集大离子亲石元素,亏损高场强元素,且具有富集的Sr-Nd同位素组成[εNd(t=243)=-6.53~-4.99,Isr=0.706 871~0.709 126]. 综合分析表明,洪水河地区三叠纪花岗岩类形成于古特提斯洋壳俯冲的陆缘弧环境,岩浆起源于中元代变质杂砂岩的部分熔融,且经历了不同程度的壳幔混合作用和分离结晶作用.研究揭示,古老大陆地壳的重熔与一定量的壳幔混合作用是东昆仑中三叠世大陆地壳的主要演化方式.
东昆仑三叠纪岩浆岩的是研究古特提斯造山作用过程的重要探针. 对东昆仑洪水河地区花岗岩类开展了详细的岩石学、年代学、地球化学和Sr-Nd同位素研究,探讨其成因机制及动力学背景. 锆石U-Pb年代学研究表明,洪水河花岗闪长岩和花岗岩的结晶年龄分别为243.0 Ma±3.3 Ma和244.0 Ma±3.1 Ma. 两类岩石均属于准铝质高钾钙碱性Ⅰ型花岗岩,但花岗闪长岩具有较低的Na2O/K2O比值(0.78~0.96)和较高的Mg#(42~45). 岩石均富集大离子亲石元素,亏损高场强元素,且具有富集的Sr-Nd同位素组成[εNd(t=243)=-6.53~-4.99,Isr=0.706 871~0.709 126]. 综合分析表明,洪水河地区三叠纪花岗岩类形成于古特提斯洋壳俯冲的陆缘弧环境,岩浆起源于中元代变质杂砂岩的部分熔融,且经历了不同程度的壳幔混合作用和分离结晶作用.研究揭示,古老大陆地壳的重熔与一定量的壳幔混合作用是东昆仑中三叠世大陆地壳的主要演化方式.
2024, 49(2): 656-668.
doi: 10.3799/dqkx.2022.159
摘要:
三叠纪是中国南方一个最重要的成锰时代,在华南板块和周围赋存许多大中型的锰矿床. 东平锰矿位于中国广西桂西南成矿带. 以东平锰矿为研究对象,通过显微薄片观察、电子探针分析及全岩地球化学分析等方法,探讨了锰矿的物质来源和矿床成因. 通过矿相学的研究工作,我们发现东平锰矿里广泛赋存有黄铁矿、黄铜矿、闪锌矿、方铅矿、辉砷钴矿、硫镍钴矿等一些硫或砷化物. 锰矿石样品中Al/(Al+Fe+Mn)、Y/Ho比值和Fe-Mn-(Ni+Cu+Co)×10、lgU-lgTh投图等表明锰矿的成矿物质来源与热水活动有关;正Ce异常及V/(V+Ni)等指示锰最初是在氧化环境中富集. 综合以上研究,我们认为东平锰矿的锰质来源主要与热液活动有关;热液来源的锰最初以氧化物或者氢氧化物的方式沉淀,在成岩过程中转变为锰碳酸盐.
三叠纪是中国南方一个最重要的成锰时代,在华南板块和周围赋存许多大中型的锰矿床. 东平锰矿位于中国广西桂西南成矿带. 以东平锰矿为研究对象,通过显微薄片观察、电子探针分析及全岩地球化学分析等方法,探讨了锰矿的物质来源和矿床成因. 通过矿相学的研究工作,我们发现东平锰矿里广泛赋存有黄铁矿、黄铜矿、闪锌矿、方铅矿、辉砷钴矿、硫镍钴矿等一些硫或砷化物. 锰矿石样品中Al/(Al+Fe+Mn)、Y/Ho比值和Fe-Mn-(Ni+Cu+Co)×10、lgU-lgTh投图等表明锰矿的成矿物质来源与热水活动有关;正Ce异常及V/(V+Ni)等指示锰最初是在氧化环境中富集. 综合以上研究,我们认为东平锰矿的锰质来源主要与热液活动有关;热液来源的锰最初以氧化物或者氢氧化物的方式沉淀,在成岩过程中转变为锰碳酸盐.
2024, 49(2): 669-684.
doi: 10.3799/dqkx.2022.340
摘要:
华北克拉通东部在130~120 Ma早白垩世期间经历强烈改造,并伴随大规模岩浆活动.对比研究了这一时期山东鲁西地区、郯庐断裂带和胶东半岛玄武安山岩-安山岩等幔源岩石的地球化学特征和Sr-Nd同位素组成,探讨了各地区火山岩源区性质以及造成源区不均一性的可能原因. 这些火山岩均来自富集型地幔且受地壳组分的混染影响较小,并主要经历了单斜辉石、磷灰石和Ti-Fe氧化物的分离结晶,但相较于郯庐断裂带和胶东半岛而言,鲁西火山岩的演化程度更低. 不同地区火山岩均具有岛弧型微量元素和富集的Sr-Nd同位素组成,其中,鲁西北部火山岩表现为(87Sr/86Sr)i < 0.706的Ⅰ型富集地幔特征,而鲁西南部、郯庐断裂带以及胶东地区火山岩则具有(87Sr/86Sr)i > 0.706的Ⅱ型富集地幔特征,这暗示上述火山岩可能均来自被再循环地壳物质改造的富集地幔源区,且其源区富集程度具有从西北到东南逐渐增强的趋势. Sr-Nd同位素两端元混合模拟显示,鲁西北部火山岩EMⅠ型同位素特征可能与其地幔源区受华北下地壳物质的交代有关,而鲁西中-南部、郯庐断裂带和胶东地区火山岩EMⅡ型同位素特点则更可能是源区受三叠纪俯冲扬子陆壳组分改造的结果. 古太平洋板块来源的俯冲流体交代和水化也对这些地区的富集岩石圈地幔有不同程度改造. 因此,山东半岛不同地区早白垩世火山岩记录了不同性质壳源组分对华北克拉通东部岩石圈地幔的影响,这一差异性改造对华北东部岩石圈地幔的破坏和减薄有重要制约作用.
华北克拉通东部在130~120 Ma早白垩世期间经历强烈改造,并伴随大规模岩浆活动.对比研究了这一时期山东鲁西地区、郯庐断裂带和胶东半岛玄武安山岩-安山岩等幔源岩石的地球化学特征和Sr-Nd同位素组成,探讨了各地区火山岩源区性质以及造成源区不均一性的可能原因. 这些火山岩均来自富集型地幔且受地壳组分的混染影响较小,并主要经历了单斜辉石、磷灰石和Ti-Fe氧化物的分离结晶,但相较于郯庐断裂带和胶东半岛而言,鲁西火山岩的演化程度更低. 不同地区火山岩均具有岛弧型微量元素和富集的Sr-Nd同位素组成,其中,鲁西北部火山岩表现为(87Sr/86Sr)i < 0.706的Ⅰ型富集地幔特征,而鲁西南部、郯庐断裂带以及胶东地区火山岩则具有(87Sr/86Sr)i > 0.706的Ⅱ型富集地幔特征,这暗示上述火山岩可能均来自被再循环地壳物质改造的富集地幔源区,且其源区富集程度具有从西北到东南逐渐增强的趋势. Sr-Nd同位素两端元混合模拟显示,鲁西北部火山岩EMⅠ型同位素特征可能与其地幔源区受华北下地壳物质的交代有关,而鲁西中-南部、郯庐断裂带和胶东地区火山岩EMⅡ型同位素特点则更可能是源区受三叠纪俯冲扬子陆壳组分改造的结果. 古太平洋板块来源的俯冲流体交代和水化也对这些地区的富集岩石圈地幔有不同程度改造. 因此,山东半岛不同地区早白垩世火山岩记录了不同性质壳源组分对华北克拉通东部岩石圈地幔的影响,这一差异性改造对华北东部岩石圈地幔的破坏和减薄有重要制约作用.
2024, 49(2): 685-699.
doi: 10.3799/dqkx.2022.176
摘要:
俯冲带是壳幔循环的重要场所,K、Ba、B和Li作为流体活动性元素,富集在俯冲带流体中;同时各个储库的同位素差异使得其成为研究各种俯冲带流体的良好示踪剂. 总结了近年来有关俯冲带Fe同位素与俯冲带变质流体氧化还原状态的研究进展,以及K、Ba、Li和B同位素在俯冲各个阶段的地球化学行为,包括俯冲物质的同位素组成,俯冲板片变质流体的稳定同位素分馏,及俯冲板片物质再循环沉积物、蚀变洋壳及俯冲带蛇纹岩与上覆地幔楔的相互作用再循环过程中伴随的元素分配和稳定同位素分馏. 随着稳定同位素测试精度的提升和以上同位素在不同地质储库和地质过程的数据完善,可以更有助于理解俯冲带中的相关物理化学变化过程.
俯冲带是壳幔循环的重要场所,K、Ba、B和Li作为流体活动性元素,富集在俯冲带流体中;同时各个储库的同位素差异使得其成为研究各种俯冲带流体的良好示踪剂. 总结了近年来有关俯冲带Fe同位素与俯冲带变质流体氧化还原状态的研究进展,以及K、Ba、Li和B同位素在俯冲各个阶段的地球化学行为,包括俯冲物质的同位素组成,俯冲板片变质流体的稳定同位素分馏,及俯冲板片物质再循环沉积物、蚀变洋壳及俯冲带蛇纹岩与上覆地幔楔的相互作用再循环过程中伴随的元素分配和稳定同位素分馏. 随着稳定同位素测试精度的提升和以上同位素在不同地质储库和地质过程的数据完善,可以更有助于理解俯冲带中的相关物理化学变化过程.
2024, 49(2): 700-711.
doi: 10.3799/dqkx.2022.501
摘要:
黄陵花岗岩是研究扬子陆块构造演化和岩浆活动的关键对象,高精度的40Ar/39Ar定年可以为确定黄陵花岗岩的构造演化提供准确的年代学依据.采用40Ar/39Ar阶段加热技术分别测定了黄陵隆起核部变质岩中角闪石、黄陵庙花岗岩中白云母和黑云母单矿物的年龄. 角闪石40Ar/39Ar坪年龄(835.1±0.8)Ma,白云母坪年龄为(830.0±1.7)Ma,黑云母获得上凸型年龄谱,没有形成明显的年龄坪. 分析认为,角闪石年龄指示围岩受到花岗岩侵入烘烤重置的时间,白云母年龄指示黄陵花岗岩冷却至350 ℃的年龄,岩体侵入时间不晚于835 Ma,在835~830 Ma经历快速冷却事件,冷却速率为50 ℃/Ma. 黑云母低温阶段获得的年轻年龄216 Ma,记录了在晚三叠世黄陵地区缓慢差异隆升过程中发生的一期热事件.
黄陵花岗岩是研究扬子陆块构造演化和岩浆活动的关键对象,高精度的40Ar/39Ar定年可以为确定黄陵花岗岩的构造演化提供准确的年代学依据.采用40Ar/39Ar阶段加热技术分别测定了黄陵隆起核部变质岩中角闪石、黄陵庙花岗岩中白云母和黑云母单矿物的年龄. 角闪石40Ar/39Ar坪年龄(835.1±0.8)Ma,白云母坪年龄为(830.0±1.7)Ma,黑云母获得上凸型年龄谱,没有形成明显的年龄坪. 分析认为,角闪石年龄指示围岩受到花岗岩侵入烘烤重置的时间,白云母年龄指示黄陵花岗岩冷却至350 ℃的年龄,岩体侵入时间不晚于835 Ma,在835~830 Ma经历快速冷却事件,冷却速率为50 ℃/Ma. 黑云母低温阶段获得的年轻年龄216 Ma,记录了在晚三叠世黄陵地区缓慢差异隆升过程中发生的一期热事件.
2024, 49(2): 712-748.
doi: 10.3799/dqkx.2023.216
摘要:
近两年我国南方川北-鄂西地区上二叠统吴家坪组-大隆组取得了页岩气重大勘探突破,并在中二叠统孤峰组发现了勘探新苗头,但其富有机质层段的分布规律及其页岩气资源潜力仍不清楚. 通过对川北-鄂西地区中二叠统地层开展沉积相识别与层序地层对比划分,分析不同层序的岩相古地理演化特征,进而探讨该区孤峰组富有机质层段的分布规律与页岩气资源潜力. 研究结果表明:川北-鄂西地区中二叠统可划分为3个三级层序SQ1、SQ2和SQ3,其中层序SQ3对应于孤峰组,沉积于卡匹敦晚期;层序SQ3沉积时期,该区在碳酸盐岩台地(对应层序SQ1和SQ2)基础上发育了3个北西向展布的深水盆地,即鄂西盆地、开江-梁平台盆(海槽)和广旺台盆(海槽);孤峰组硅质岩与硅质页岩层段的有机碳TOC含量较高(平均TOC含量为3%~10%),且展布相对连续稳定;峨眉山地幔柱事件驱动了该区中二叠世晚期深水斜坡-盆地环境的形成,从而控制着孤峰组富有机质硅质岩与硅质页岩的大规模区域性沉积. 基于上述分析,综合硅质岩及硅质页岩有效厚度、TOC含量、构造保存条件等页岩气地质评价要素,在川东北至湘鄂西地区优选出5个有利区,面积约为1.2×104 km2,估算总资源量约1.75×1012 m3,展示了良好的页岩气勘探开发潜力.
近两年我国南方川北-鄂西地区上二叠统吴家坪组-大隆组取得了页岩气重大勘探突破,并在中二叠统孤峰组发现了勘探新苗头,但其富有机质层段的分布规律及其页岩气资源潜力仍不清楚. 通过对川北-鄂西地区中二叠统地层开展沉积相识别与层序地层对比划分,分析不同层序的岩相古地理演化特征,进而探讨该区孤峰组富有机质层段的分布规律与页岩气资源潜力. 研究结果表明:川北-鄂西地区中二叠统可划分为3个三级层序SQ1、SQ2和SQ3,其中层序SQ3对应于孤峰组,沉积于卡匹敦晚期;层序SQ3沉积时期,该区在碳酸盐岩台地(对应层序SQ1和SQ2)基础上发育了3个北西向展布的深水盆地,即鄂西盆地、开江-梁平台盆(海槽)和广旺台盆(海槽);孤峰组硅质岩与硅质页岩层段的有机碳TOC含量较高(平均TOC含量为3%~10%),且展布相对连续稳定;峨眉山地幔柱事件驱动了该区中二叠世晚期深水斜坡-盆地环境的形成,从而控制着孤峰组富有机质硅质岩与硅质页岩的大规模区域性沉积. 基于上述分析,综合硅质岩及硅质页岩有效厚度、TOC含量、构造保存条件等页岩气地质评价要素,在川东北至湘鄂西地区优选出5个有利区,面积约为1.2×104 km2,估算总资源量约1.75×1012 m3,展示了良好的页岩气勘探开发潜力.
2024, 49(2): 749-758.
doi: 10.3799/dqkx.2023.166
摘要:
为研究琼东南盆地乐东-陵水凹陷中新统梅山组海底扇面临圈闭有效性与油气富集规律关键问题. 综合海底扇沉积储层特征、圈闭形成与侧封条件、天然气运聚分析,明确梅山组海底扇岩性圈闭成藏主控因素. 结果表明:(1)北物源海底扇主要分布于北斜坡区,凹陷带发育西部昆嵩隆起物源影响海底扇向凹推进远、储层物性较好;(2)发育对接水道泥岩、对接水道砂岩、岩性尖灭、断层侧封4种圈闭类型;(3)天然气为崖城组烃源岩供源的成熟-高熟天然气,具有“源内大型构造脊汇聚、沟源断裂/裂隙带垂向运移+砂岩侧向输导,有效圈闭富集”天然气成藏模式. 针对凹陷带尖灭型和对接水道泥岩型圈闭分别部署钻探,均获得勘探突破,明确了下步拓展方向.
为研究琼东南盆地乐东-陵水凹陷中新统梅山组海底扇面临圈闭有效性与油气富集规律关键问题. 综合海底扇沉积储层特征、圈闭形成与侧封条件、天然气运聚分析,明确梅山组海底扇岩性圈闭成藏主控因素. 结果表明:(1)北物源海底扇主要分布于北斜坡区,凹陷带发育西部昆嵩隆起物源影响海底扇向凹推进远、储层物性较好;(2)发育对接水道泥岩、对接水道砂岩、岩性尖灭、断层侧封4种圈闭类型;(3)天然气为崖城组烃源岩供源的成熟-高熟天然气,具有“源内大型构造脊汇聚、沟源断裂/裂隙带垂向运移+砂岩侧向输导,有效圈闭富集”天然气成藏模式. 针对凹陷带尖灭型和对接水道泥岩型圈闭分别部署钻探,均获得勘探突破,明确了下步拓展方向.
2024, 49(2): 759-780.
doi: 10.3799/dqkx.2022.405
摘要:
断层滑动速率是理解复杂断层系统应变分配与评估地震危险性的重要参数,在多种研究方法中,利用构造地貌学方法限定走滑断裂的第四纪滑动速率较为普遍. 在青藏高原活动断裂体系中,海原断裂带承载了部分印度-欧亚板块碰撞产生的应变,其滑动速率的精细厘定也是高原构造变形动力学分析的重要参数. 过去三十年间前人采用构造地貌学方法对其进行了大量的滑动速率研究,结果位于2.3~16 mm/a之间,不同研究间相差较大,因此引发了众多争议与困惑. 在对已有研究进行详细评述的基础上,指出前人研究结果不确定性的重要原因是上级阶地与下级阶地重建模型的选择. 结果认为,基于两种位移累积起始时间定义的模型得到的往往是滑动速率的上限或下限,不能简单地将其等同于滑动速率真实值. 当缺乏观测数据可以辅助判别两种模型的可靠程度时,应基于上、下级阶地废弃年龄同时对滑动速率进行限定,这是对滑动速率计算过程中客观存在的不确定性的尊重和认可. 海原断裂带滑动速率的评估将为后续基于青藏高原内部诸多活动断裂进行两种端元变形模型合理性的分析工作提供重要的方法借鉴.
断层滑动速率是理解复杂断层系统应变分配与评估地震危险性的重要参数,在多种研究方法中,利用构造地貌学方法限定走滑断裂的第四纪滑动速率较为普遍. 在青藏高原活动断裂体系中,海原断裂带承载了部分印度-欧亚板块碰撞产生的应变,其滑动速率的精细厘定也是高原构造变形动力学分析的重要参数. 过去三十年间前人采用构造地貌学方法对其进行了大量的滑动速率研究,结果位于2.3~16 mm/a之间,不同研究间相差较大,因此引发了众多争议与困惑. 在对已有研究进行详细评述的基础上,指出前人研究结果不确定性的重要原因是上级阶地与下级阶地重建模型的选择. 结果认为,基于两种位移累积起始时间定义的模型得到的往往是滑动速率的上限或下限,不能简单地将其等同于滑动速率真实值. 当缺乏观测数据可以辅助判别两种模型的可靠程度时,应基于上、下级阶地废弃年龄同时对滑动速率进行限定,这是对滑动速率计算过程中客观存在的不确定性的尊重和认可. 海原断裂带滑动速率的评估将为后续基于青藏高原内部诸多活动断裂进行两种端元变形模型合理性的分析工作提供重要的方法借鉴.
2024, 49(2): 781-792.
doi: 10.3799/dqkx.2022.178
摘要:
新疆喀什噶尔河位于典型的干旱-半干旱区,河流下游平原区地下水溶解性总固体(TDS)和碘含量异常,严重威胁当地用水安全. 以喀什噶尔河下游平原区为研究区,通过对地下水水化学特征、Cl/Br摩尔比、氢氧稳定同位素、赋存环境与水文地球化学作用的分析确定该区地下咸水中碘的分布与碘富集的影响因素. 结果表明,研究区地下水碘含量变化范围为 < 0.40~435.00 μg/L(均值为123.50 μg/L),其中潜水和承压水碘含量均值分别为58.75 μg/L和188.25 μg/L,高碘水占比分别为25.0%和75.0%,水化学类型主要为Cl·SO4型和SO4·Cl型. 地下水TDS变化范围为3 079.13~15 249.50 mg/L,主要为中性至弱碱性咸水(87.5%),其次为盐水(12.5%). 碘元素的存在形态主要为I-(87.5%),其次为IO3-(12.5%),且无共存形态,亚氧化环境和亚还原环境分别利于碘元素以IO3-和I-形态存在. 高TDS、细粒岩性、平缓的地势、地下水浅埋条件及碱性环境均有利于地下水碘的富集. 潜水碘富集主要受蒸发浓缩作用和蒸发岩溶解作用的影响,承压水碘富集主要受还原条件下含铁矿物的溶解和冲积-湖积物的影响. Cl-与Cl/Br摩尔比值表明高碘潜水受到一定程度蒸发浓缩作用的影响.
新疆喀什噶尔河位于典型的干旱-半干旱区,河流下游平原区地下水溶解性总固体(TDS)和碘含量异常,严重威胁当地用水安全. 以喀什噶尔河下游平原区为研究区,通过对地下水水化学特征、Cl/Br摩尔比、氢氧稳定同位素、赋存环境与水文地球化学作用的分析确定该区地下咸水中碘的分布与碘富集的影响因素. 结果表明,研究区地下水碘含量变化范围为 < 0.40~435.00 μg/L(均值为123.50 μg/L),其中潜水和承压水碘含量均值分别为58.75 μg/L和188.25 μg/L,高碘水占比分别为25.0%和75.0%,水化学类型主要为Cl·SO4型和SO4·Cl型. 地下水TDS变化范围为3 079.13~15 249.50 mg/L,主要为中性至弱碱性咸水(87.5%),其次为盐水(12.5%). 碘元素的存在形态主要为I-(87.5%),其次为IO3-(12.5%),且无共存形态,亚氧化环境和亚还原环境分别利于碘元素以IO3-和I-形态存在. 高TDS、细粒岩性、平缓的地势、地下水浅埋条件及碱性环境均有利于地下水碘的富集. 潜水碘富集主要受蒸发浓缩作用和蒸发岩溶解作用的影响,承压水碘富集主要受还原条件下含铁矿物的溶解和冲积-湖积物的影响. Cl-与Cl/Br摩尔比值表明高碘潜水受到一定程度蒸发浓缩作用的影响.
2024, 49(2): 793-802.
doi: 10.3799/dqkx.2022.145
摘要:
Mn(Ⅲ)是锰氧化还原循环中电子传递的中间体,广泛参与陆地和海洋生态系统中的碳、铁和硫的地球化学循环. 近年来在厌氧、微氧和有氧水环境中陆续发现了Mn(Ⅲ)有机络合物存在,研究地下水环境中Mn(Ⅲ)-腐殖质胶体的形成机制与行为特征对于认识锰的地球化学循环及其影响的营养物和污染物的迁移转化机制具有重要意义. 通过开展批实验,探讨氧气条件、腐殖质浓度和有机质种类对Mn(Ⅲ)-腐殖质胶体形成的影响,并结合FTIR、XRD、XPS、TEM多种手段表征其理化性质与稳定性.研究发现:厌氧或有氧-厌氧环境有利于Mn(Ⅲ)-腐殖质胶体形成,Mn(Ⅲ)-腐殖质的络合程度随着腐殖质浓度的升高而增强,富里酸更容易与Mn(Ⅲ)络合,但形成的胶体稳定性较Mn(Ⅲ)-胡敏酸胶体差. Mn(Ⅲ)-腐殖质胶体呈无定形形态,腐殖质上的羧基等含氧官能团与Mn(Ⅲ)形成内球络合物,可减缓Mn(Ⅲ)歧化程度. Mn(Ⅲ)-腐殖质胶体具有氧化和吸附能力,对地下水中污染物的迁移转化具有重要的环境意义.
Mn(Ⅲ)是锰氧化还原循环中电子传递的中间体,广泛参与陆地和海洋生态系统中的碳、铁和硫的地球化学循环. 近年来在厌氧、微氧和有氧水环境中陆续发现了Mn(Ⅲ)有机络合物存在,研究地下水环境中Mn(Ⅲ)-腐殖质胶体的形成机制与行为特征对于认识锰的地球化学循环及其影响的营养物和污染物的迁移转化机制具有重要意义. 通过开展批实验,探讨氧气条件、腐殖质浓度和有机质种类对Mn(Ⅲ)-腐殖质胶体形成的影响,并结合FTIR、XRD、XPS、TEM多种手段表征其理化性质与稳定性.研究发现:厌氧或有氧-厌氧环境有利于Mn(Ⅲ)-腐殖质胶体形成,Mn(Ⅲ)-腐殖质的络合程度随着腐殖质浓度的升高而增强,富里酸更容易与Mn(Ⅲ)络合,但形成的胶体稳定性较Mn(Ⅲ)-胡敏酸胶体差. Mn(Ⅲ)-腐殖质胶体呈无定形形态,腐殖质上的羧基等含氧官能团与Mn(Ⅲ)形成内球络合物,可减缓Mn(Ⅲ)歧化程度. Mn(Ⅲ)-腐殖质胶体具有氧化和吸附能力,对地下水中污染物的迁移转化具有重要的环境意义.




登录
注册
高级检索
邮件订阅
RSS
摘要
HTML全文